Experimental and Numerical Analysis of the Impeller Backside Cavity in a Centrifugal Compressor for CAES
Abstract
:1. Introduction
2. Research Object
3. Experimental and Numerical Methods
3.1. Test Facility and Measuring Points
3.2. Measurement Method and Error Analysis
3.3. Computational Fluid Dynamic (CFD) Model
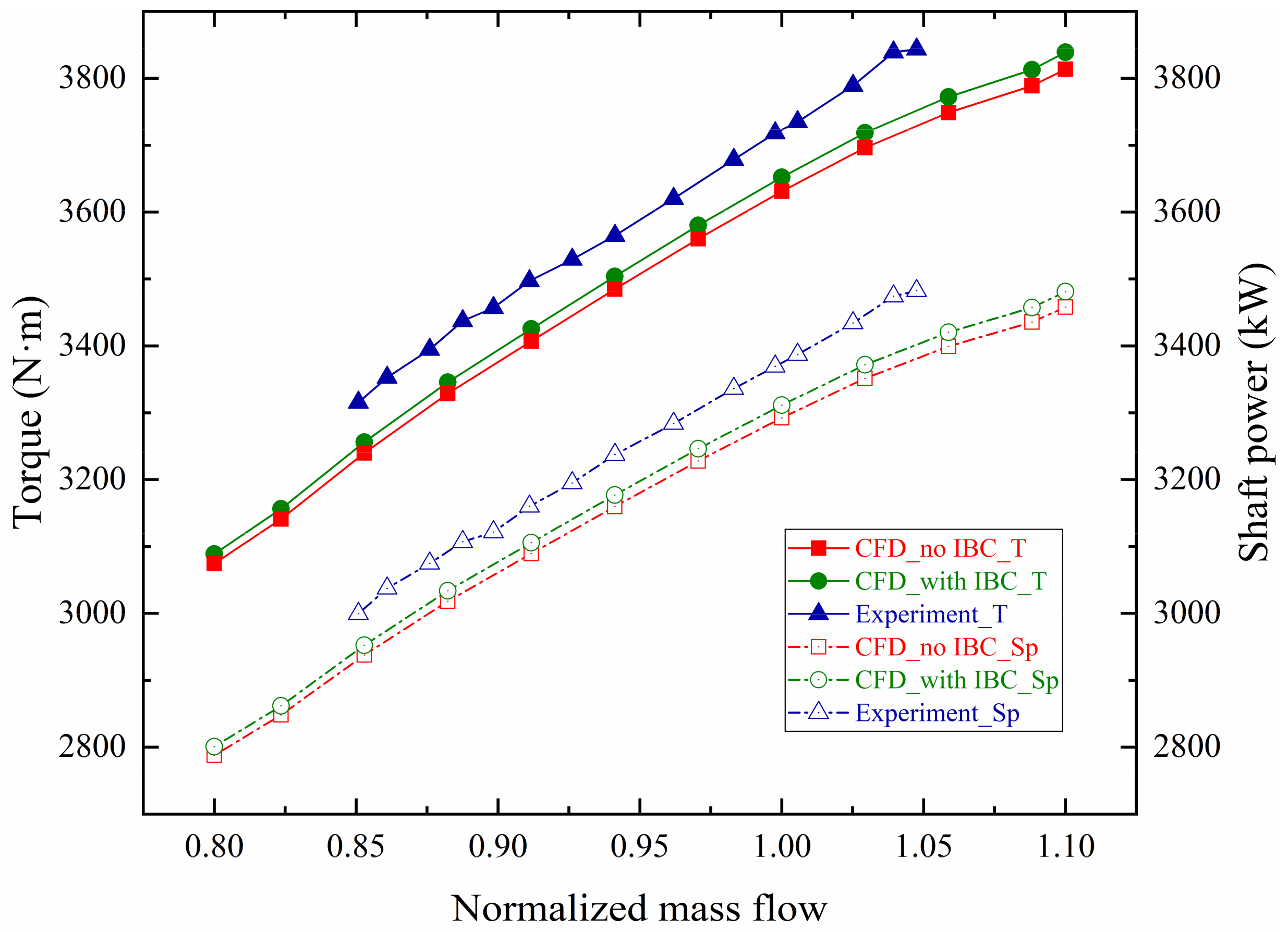
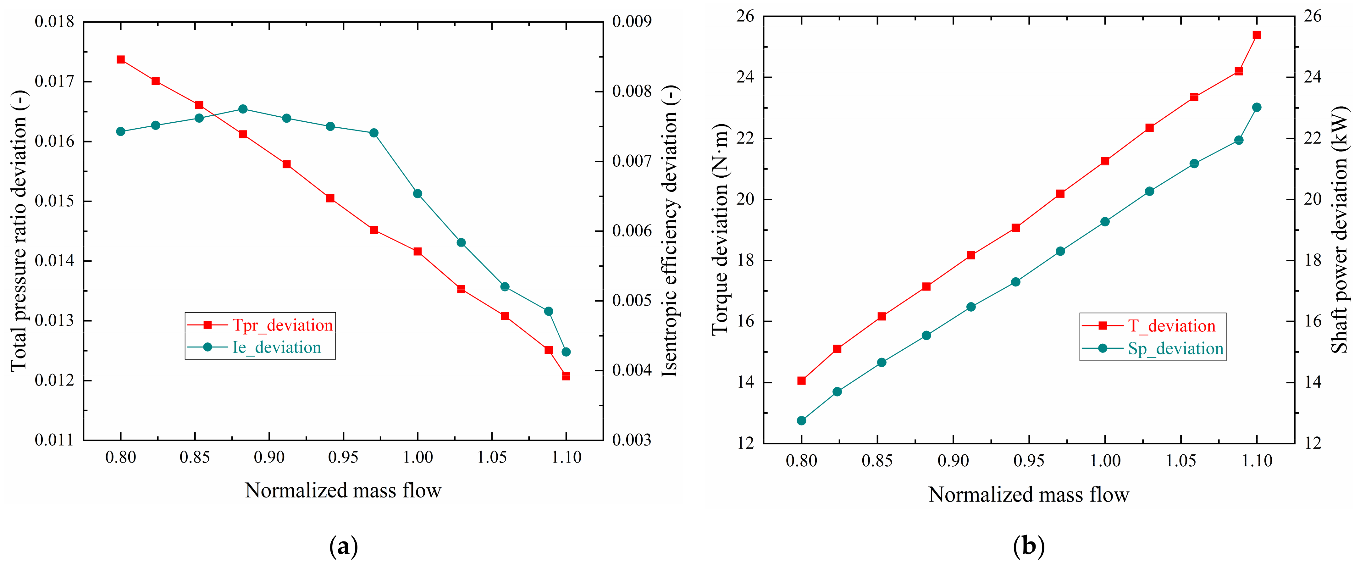
3.4. Model Validation
4. Results and Discussion
4.1. Coupling Characteristics with IBC
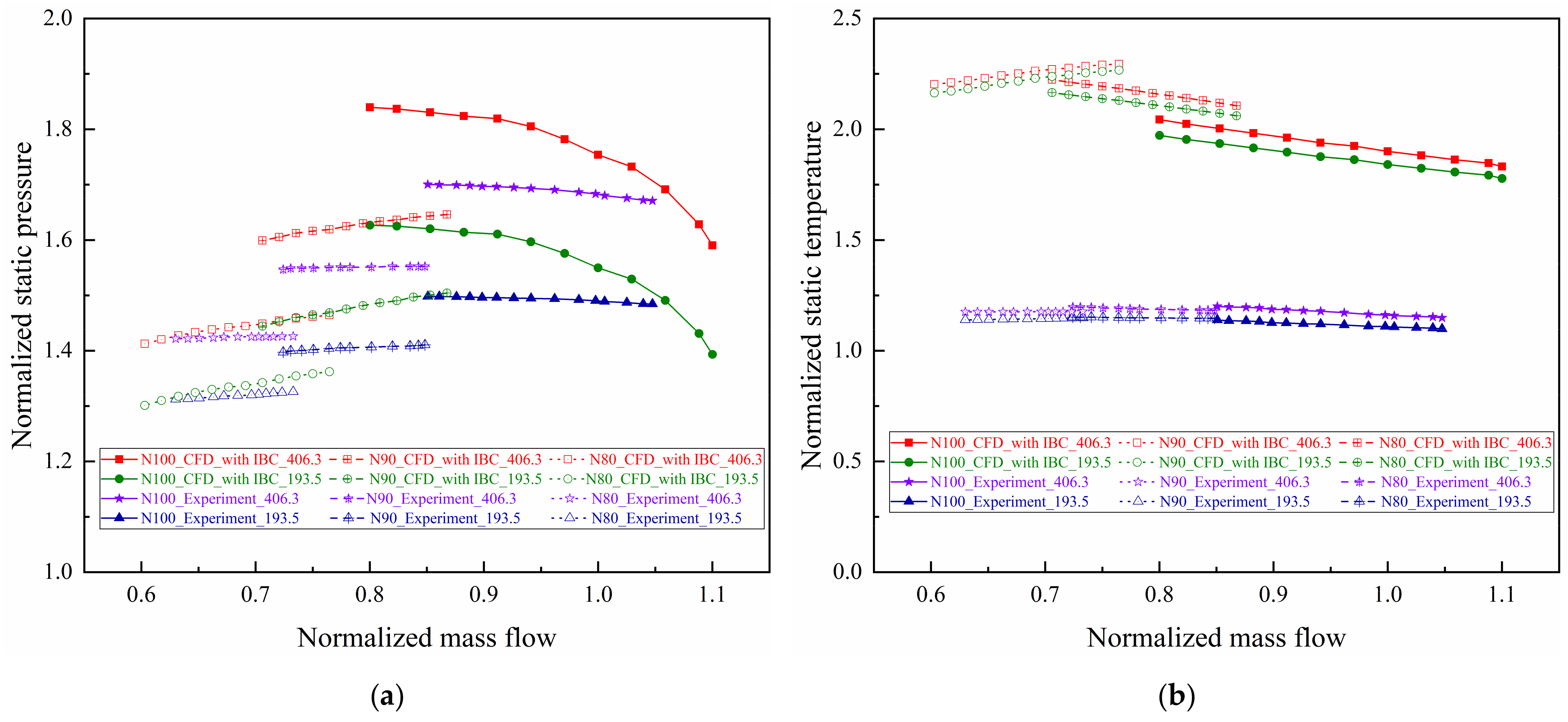
4.2. Aerodynamic Parameters Distributions in IBC
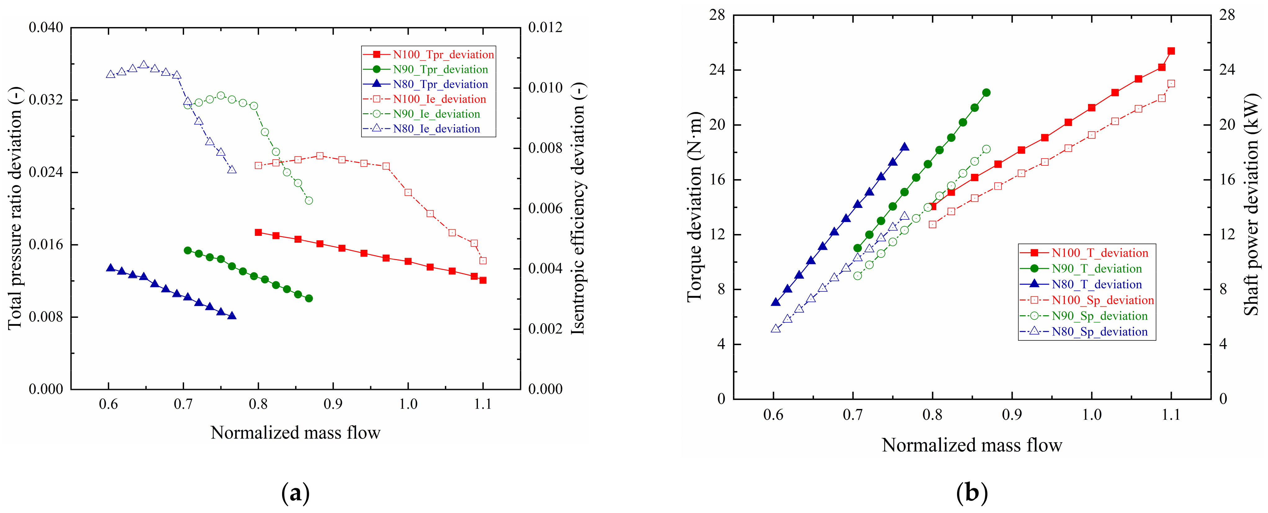
4.3. Effect of Variable Rotating Speeds
5. Conclusions
Author Contributions
Funding
Institutional Review Board Statement
Informed Consent Statement
Data Availability Statement
Conflicts of Interest
Nomenclature
| m | Mass flow (kg/s) |
| n | Rotating speed (r/min) |
| ps | Static pressure (Pa) |
| pt | Total pressure (Pa) |
| Ps | Shaft power (W) |
| PRt | Total pressure ratio |
| T | Torque (N·m) |
| Ts | Static temperature (K) |
| Tt | Total temperature (K) |
| ηis | Isentropic efficiency |
| Greek letter | |
| η | Efficiency |
| Dimensionless number | |
| Cp | Dimensionless static pressure |
| Cploss | Dimensionless static pressure loss |
| CT | Dimensionless static temperature |
| CTloss | Dimensionless static temperature loss |
| Cw | Dimensionless mass flow |
| G | Gap ratio |
| Gr | Grashof number |
| Reω | Rotational Reynolds number |
| Rez | Axial Reynolds number |
| β0 | Inlet swirl ratio |
| λT | Turbulent flow parameter |
| Subscript | |
| i | Marked measuring point |
| in | Compressor inlet |
| is | Isentropic |
| s | Static state or Shaft |
| t | Stagnation state |
| Abbreviation | |
| AIGVs | Adjustable Inlet Guide Vanes |
| AT | Axial Thrust |
| AVDs | Adjustable Vaned Diffusers |
| CAES | Compressed Air Energy Storage |
| IBC | Impeller Backside Cavity |
References
- Chen, H.; Cong, T.N.; Yang, W.; Tan, C.; Li, Y.; Ding, Y. Progress in electrical energy storage system: A critical review. Prog. Nat. Sci. 2009, 19, 291–312. [Google Scholar] [CrossRef]
- Sun, Z.; Tan, C.; Zhang, D. Flow Field Structures of the Impeller Backside Cavity and Its Influences on the Centrifugal Compressor; ASME Paper No. GT2009-59879; American Society of Mechanical Engineers: New York, NY, USA, 2009. [Google Scholar]
- Guidotti, E.; Toni, L.; Rubino, D.; Tapinassi, L.; Naldi, G.; Koyyalamudi, V.V.N.K.S.; Prasad, S. Influence of Cavity Flows Modeling on Centrifugal Compressor Stages Performance Prediction across Different Flow Coefficient Impellers; ASME Paper No. GT2014-25830; American Society of Mechanical Engineers: New York, NY, USA, 2014. [Google Scholar]
- Jyothishkumar, V.; Mihaescu, M.; Semlitsch, B.; Fuchs, L. Numerical flow analysis in centrifugal compressor near surge condition. In Proceedings of the 43rd Aiaa Fluid Dynamics Conference, San Diego, CA, USA, 24–27 June 2013. [Google Scholar]
- Owen, J.M.; Pincombe, J.R. Vortex breakdown in a rotating cylindrical cavity. J. Fluid Mech. 1979, 90, 109–127. [Google Scholar] [CrossRef]
- Farthing, P.R.; Long, G.A.; Owen, J.M.; Pincombe, J.R. Rotating cavity with axial throughflow of cooling air: Flow structure. J. Turbomach. 1992, 114, 237–246. [Google Scholar] [CrossRef]
- Gantar, M.; Florjancic, D.; Sirok, B. Hydraulic axial thrust in multistage pumps-origins and solutions. J. Fluids Eng. 2002, 124, 336–341. [Google Scholar] [CrossRef]
- Zeng, Y.; Liu, J. Investigations on Three-Dimensional Coupled Flow of Secondary Air System and Main Flow Passages in a Micro Gas Turbine; ASME Paper No. GT2014-26582; American Society of Mechanical Engineers: New York, NY, USA, 2014. [Google Scholar]
- Dong, W.; Chu, W. Numerical investigation of the fluid flow characteristics in the hub plate crown of a centrifugal pump. Chin. J. Mech. Eng. 2018, 31, 64. [Google Scholar] [CrossRef] [Green Version]
- Qin, R.; Sun, Y.; Wang, S.; Ju, Y.; Zhang, C. Flow structure in impeller backside cavity and its effect on aerodynamic performance of the centrifugal compressor. Chin. J. Eng. Thermophys. 2016, 37, 2349–2354. [Google Scholar]
- Li, C.; Ji, C.; Shi, M.; Sun, Q. Influence of rotor–stator component partition structure on the aerodynamic performance of centrifugal compressors. Eng. Appl. Comput. Fluid Mech. 2019, 13, 1080–1094. [Google Scholar] [CrossRef] [Green Version]
- Liu, G.; Du, Q.; Liu, J.; Wang, P.; Wang, R.; Lian, Z. Computational investigation of flow control methods in the impeller rear cavity. Int. J. Aerosp. Eng. 2020, 2020, 2187975. [Google Scholar] [CrossRef]
- Qiao, B.; Ju, Y.; Zhang, C. Numerical investigation on labyrinth seal leakage flow and its effects on aerodynamic performance for a multistage centrifugal compressor. J. Fluids Eng. 2018, 141, 071107. [Google Scholar] [CrossRef]
- Hazby, H.; Casey, M.; Březina, L. Effect of leakage flows on the performance of a family of inline centrifugal compressors. J. Turbomach. 2019, 141, 18–1347. [Google Scholar] [CrossRef]
- Pitz, D.B.; Chew, J.W.; Marxen, O. Effect of an axial throughflow on buoyancy-induced flow in a rotating cavity. Int. J. Heat Fluid Flow 2019, 80, 108468. [Google Scholar] [CrossRef]
- Haaser, F.; Jack, J.; McGreehan, W. Windage rise and flowpath gas ingestion in turbine rim cavities. J. Eng. Gas Turbines Power 1988, 110, 78–85. [Google Scholar] [CrossRef]
- Farthing, P.R.; Long, G.A.; Owen, J.M.; Pincombe, J.R. Rotating cavity with axial throughflow of cooling air: Heat transfer. J. Turbomach. 1992, 114, 229–236. [Google Scholar] [CrossRef]
- Alexiou, A.; Hills, N.J.; Long, C.A.; Turner, A.; Millward, J. Heat transfer in high-pressure compressor gas turbine internal air systems: A rotating disc-cone cavity with axial throughflow. Exp. Heat Transf. 2000, 13, 299–328. [Google Scholar] [CrossRef]
- Young, C.; Sonwsill, G.D. CFD optimization of cooling air offtake passages within rotor cavities. J. Fluid Mech. 2003, 125, 380–386. [Google Scholar] [CrossRef]
- Owen, J.M.; Powell, J. Buoyancy-induced flow in a heated rotating cavity. J. Eng. Gas Turbines Power 2006, 128, 128–134. [Google Scholar] [CrossRef]
- Coren, D.; Childs, P.R.N.; Long, C.A. Windage sources in smooth-walled rotating disc systems. Proc. Inst. Mech. Eng. Part C J. Mech. Eng. Sci. 2009, 223, 873–888. [Google Scholar] [CrossRef] [Green Version]
- Luo, X.; Zhang, D.; Tao, Z.; Xu, G.; Wang, Q. Windage measurements in a rotor-stator system with superimposed cooling and rotor-mounted protrusions. J. Eng. Gas. Turb Power 2014, 136, 80. [Google Scholar] [CrossRef]
- Tao, Z.; Zhang, D.; Luo, X.; Xu, G.; Han, J. Windage heating in a shrouded rotor-stator system. J. Eng. Gas Turb Power 2014, 136, 0626021–6260210. [Google Scholar] [CrossRef]
- Antinori, G.; Arsenyev, I.; Fischersworring-Bunk, A. Robust Design Optimization of a Low Pressure Turbine Rotor Discs Secondary Air System; ASME Paper No. GT2017-63289; American Society of Mechanical Engineers: New York, NY, USA, 2017. [Google Scholar]
- Lin, Z.; Zuo, Z.; Guo, W.; Sun, J.; Liang, Q.; Chen, H. Experimental study on effects of adjustable vaned diffusers on impeller backside cavity of centrifugal compressor in CAES. Energies 2021, 14, 6187. [Google Scholar] [CrossRef]
- ASME. Test Uncertain. In PTC 19.1-2018; American Society of Mechanical Engineers: New York, NY, USA, 2019; Available online: https://www.asme.org/codes-standards/find-codes-standards/ptc-19-1-test-uncertainty (accessed on 12 June 2020).
- Menter, F.R. Two-equation eddy-viscosity turbulence models for engineering applications. AIAA J. 1994, 32, 1598–1605. [Google Scholar] [CrossRef] [Green Version]
















| Mainstream Components | Number of Blades | Tip Clearance | Blade Inlet Radius | Inlet Installation Angle | Inlet Vane Span | Blade Outlet Radius | Outlet Installation Angle | Outlet Vane Span |
|---|---|---|---|---|---|---|---|---|
| Impeller | 13 | 1.17 mm | 294.4 mm | 30° | 190.0 mm | 417.5 mm | 60° | 65.9 mm |
| AVDs | 11 | - | 466.2 mm | 27° | 55.4 mm | 564.3 mm | 31° | 55.4 mm |
| IGVs | Number of Blades | Tip Clearance | Channel Radius | Blade Height | Hollow Radius | |||
| 12 | 5 mm | 294.5 mm | 264.5 mm | 25 mm | ||||
| Volute | Interface Entrance Width | Inlet Circumference Radius | Diffuser Tube Inlet Radius | Diffuser Tube Outlet Radius | Diffuser Tube Length | |||
| 55.4 mm | 720 mm | 656 mm | 946 mm | 1700 mm | ||||
| Sensor Name | Uncertainty |
|---|---|
| Total pressure probe comb | ±0.05% FS |
| WRN thermocouple total temperature probe comb | ±(0.15 + 0.004|t|) |
| UNIK5000 pressure sensor | ±0.04% FS BSL |
| WZPK thermal resistance PT100 | ±(0.15 + 0.002|t|) |
| Flow sensor | ±1.5% |
| Speed sensor | ±0.05% FS ± 1 r/min |
| Torque sensor | ±0.3% |
| Static pressure sensor of IBC | ±0.05% FS |
| Static temperature sensor of IBC | ±0.1% FS |
Publisher’s Note: MDPI stays neutral with regard to jurisdictional claims in published maps and institutional affiliations. |
© 2022 by the authors. Licensee MDPI, Basel, Switzerland. This article is an open access article distributed under the terms and conditions of the Creative Commons Attribution (CC BY) license (https://creativecommons.org/licenses/by/4.0/).
Share and Cite
Lin, Z.; Zuo, Z.; Li, W.; Sun, J.; Zhou, X.; Chen, H.; Zhou, X. Experimental and Numerical Analysis of the Impeller Backside Cavity in a Centrifugal Compressor for CAES. Energies 2022, 15, 420. https://doi.org/10.3390/en15020420
Lin Z, Zuo Z, Li W, Sun J, Zhou X, Chen H, Zhou X. Experimental and Numerical Analysis of the Impeller Backside Cavity in a Centrifugal Compressor for CAES. Energies. 2022; 15(2):420. https://doi.org/10.3390/en15020420
Chicago/Turabian StyleLin, Zhihua, Zhitao Zuo, Wei Li, Jianting Sun, Xin Zhou, Haisheng Chen, and Xuezhi Zhou. 2022. "Experimental and Numerical Analysis of the Impeller Backside Cavity in a Centrifugal Compressor for CAES" Energies 15, no. 2: 420. https://doi.org/10.3390/en15020420
APA StyleLin, Z., Zuo, Z., Li, W., Sun, J., Zhou, X., Chen, H., & Zhou, X. (2022). Experimental and Numerical Analysis of the Impeller Backside Cavity in a Centrifugal Compressor for CAES. Energies, 15(2), 420. https://doi.org/10.3390/en15020420

