Molecular Dynamics Simulation of Thermophysical Properties and the Microstructure of Na2CO3 Heat Storage Materials
Abstract
1. Introduction
2. MD Simulation Methods and Experimental Details
2.1. Interaction Potential and Parameter Setting
2.2. Evaluation of Properties
2.2.1. Phase Change Temperature and Heat Capacity at Constant Pressure
2.2.2. Density and Thermal Expansion Coefficient
2.2.3. The RDF and ADF of Na2CO3
2.3. Experimental details
3. Results and Discussion
3.1. Thermophysical Properties of Na2CO3
3.1.1. Phase Change Temperature and Specific Heat Capacity of Na2CO3
3.1.2. Density and Thermal Expansion Coefficient of Na2CO3
3.2. Local Microstructure
3.2.1. The RDF of Na2CO3
3.2.2. The ADF of Na2CO3
4. Conclusions
- (1)
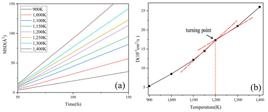
- The self-diffusion coefficient (D) of Na2CO3 increases as the temperature rises, and the D changes significantly with temperature during solid-liquid transformation. The simulated solid-liquid phase change temperature is 1200 K, and the error is 5.4%.
- (2)
- The enthalpy of Na2CO3 increases as temperature rises, and the specific heat capacity (Cp) is higher in liquid than in solid. The Cp has a peak in the temperature range of 700~800 K. The average specific heat capacity of solid is 1.45 J/g and that of liquid is 1.79 J/g, the minimum error is 2.8%.
- (3)
- When the Na2CO3 transforms from solid to liquid, the thermal expansion coefficient changes suddenly and the density decreases rapidly. The calculated expansion coefficient shows that the expansion coefficient was the largest in the solid-liquid phase transformation (1200~1400 K), and the maximum expansion coefficient was 22·10−4 K−1.
- (4)
- The RDF and ADF results show that the atomic spacing of Na2CO3 increases, the coordination number decreases, and the angle distribution between atoms becomes wider as the temperature rises. When the solid state changes to the liquid state, the long-range peak disappears and the short-range peak widens in the RDF curve, the distribution of the included angle between atoms widens and the periodicity of the arrangement worsens. The degree of short-range peak broadening increases, and the order of short-range structure becomes worse, as the temperature of the liquid rises.
- (5)
- The microscopic changes of ions during the phase transition of Na2CO3 from solid to liquid shows that the angle change of in the liquid state is sharper.
Author Contributions
Funding
Data Availability Statement
Conflicts of Interest
References
- Zhang, H.; Baeynes, J.; Caceres, G.; Degrève, J.; Lv, Y. Thermal energy storage: Recent developments and practical aspects. Prog. Energ. Combust. 2016, 53, 1–40. [Google Scholar] [CrossRef]
- Goods, S.H.; Bradshaw, R.W. Corrosion of stainless steels and carbon steel by molten mixtures of commercial nitrate salts. J. Mater. Eng. Perform. 2004, 13, 78–87. [Google Scholar] [CrossRef]
- Mozafari, M.; Lee, A.; Cheng, S. Simulation Study of Solidification in the Shell-And-Tube Energy Storage System with a Novel Dual-PCM Configuration. Energies 2022, 15, 832. [Google Scholar] [CrossRef]
- Mohammadpour, J.; Lee, A.; Timchenko, V.; Taylor, R. Nano-Enhanced Phase Change Materials for Thermal Energy Storage: A Bibliometric Analysis. Energies 2022, 15, 3426. [Google Scholar] [CrossRef]
- Ge, Z.; Ye, F.; Ding, Y. Composite Materials for Thermal Energy Storage: Enhancing Performance through Microstructures. Chemsuschem 2014, 7, 1318–1325. [Google Scholar] [CrossRef]
- Hasan, A. Phase change material energy storage system employing palmitic acid. Sol. Energy 1994, 52, 143–154. [Google Scholar] [CrossRef]
- Wei, G.S.; Xing, L.J.; Du, X.Z.; Yang, Y. Research status and selection of phase change thermal Energy storage materials for CSP systems. Proc. Csee. 2014, 34, 325–335. [Google Scholar] [CrossRef]
- Aneke, M.; Wang, M. Energy storage technologies and real life applications-a state of the art review. Appl. Energy 2016, 179, 350–377. [Google Scholar] [CrossRef]
- Lu, Y.; Peng, G.W.; Wang, Z.P.; Wang, K.Z.; Ma, R. A review on research for molten salt as a phase change material. Mater. Rev. 2011, 25, 38–42. [Google Scholar] [CrossRef]
- Peng, Q.; Ding, J.; Wei, X.L.; Yang, J.P.; Yang, X.X. Research progress in application of molten nitrate salt in energy utilization. Mod. Chem. Ind. 2009, 29, 17–24. Available online: http://refhub.elsevier.com/S0306-2619(18)30454-9/h0015 (accessed on 20 September 2022).
- Oró, E.; Gracia, A.; Castell, A.; Farid, M.M.; Cabeza, L.F. Review on phase change materials (PCMs) for cold thermal energy storage applications. Appl. Energy 2012, 99, 513–533. [Google Scholar] [CrossRef]
- Zhou, D.; Zhao, C.Y.; Tian, Y. Review on thermal energy storage with phase change materials (PCMs) in building applications. Appl. Energy 2012, 92, 593–605. [Google Scholar] [CrossRef]
- Vignarooban, K.; Xu, X.; Arvay, A.; Hsu, K.; Kannan, A.M. Heat transfer fluids for concentrating solar power systems—A review. Appl. Energy 2015, 146, 383–396. [Google Scholar] [CrossRef]
- Wang, T.; Mantha, D.; Reddy, R.G. Novel high thermal stability LiF–Na2CO3–K2CO3 eutectic ternary system for thermal energy storage applications. Sol. Energ. Mater. Sol. Cells 2015, 140, 366–375. [Google Scholar] [CrossRef]
- Forsberg, C.W.; Peterson, P.F.; Zhao, H. High-Temperature Liquid-Fluoride-Salt Closed-Brayton-Cycle Solar Power Towers. J. Sol. Energy Eng. 2007, 129, 141–146. [Google Scholar] [CrossRef]
- Cunha, J.P.; Eames, P. Thermal energy storage for low and medium temperature applications using phase change materials—A review. Appl. Energy 2016, 177, 227–238. [Google Scholar] [CrossRef]
- Ismail, K.A.R.; Lino, F.A.M.; Machado, P.L.O.; Teggar, M.; Arıcı, M.; Alves, T.A.; Teles, M.P.R. New potential applications of phase change materials: A review. J. Energy Storage. 2022, 53, 105202. [Google Scholar] [CrossRef]
- Wu, Y.T.; Ren, N.; Ma, C.F. Research and application of molten salts for sensible heat storage. Energy Storage Sci. Technol. 2013, 2, 586–592. Available online: http://refhub.elsevier.com/S0306-2619(18)30454-9/h0040 (accessed on 20 September 2022).
- Shen, X.Y.; Ding, J.; Peng, Q.; Yang, J. Application of high temperature molten salt to solar thermal power. Guangdong Chem. Ind. 2007, 34, 49. Available online: http://refhub.elsevier.com/S0306-2619(18)30454-9/h0035 (accessed on 20 September 2022).
- Gokon, N.S.; Nakamura, S.; Hatamachi, T.; Kodama, T. Steam reforming of methane using double-walled reformer tubes containing high-temperature thermal storage Na2CO3/MgO composites for solar fuel production. Energy 2014, 68, 773–782. [Google Scholar] [CrossRef]
- Ye, F.; Ge, Z.; Ding, Y.; Yang, J. Multi-walled carbon nanotubes added to Na2CO3/MgO composites for thermal energy storage. Particuology 2014, 15, 56–60. [Google Scholar] [CrossRef]
- Wang, J.; Wu, J.; Lu, G.; Yu, J. Molecular dynamics study of the transport properties and local structures of molten alkali metal chlorides. Part III. Four binary systems LiCl-RbCl, LiCl-CsCl, NaCl-RbCl and NaCl-CsCl. J. Mol. Liq. 2017, 238, 236–247. [Google Scholar] [CrossRef]
- Suleiman, B.; Yu, Q.; Ding, Y.; Li, Y. Fabrication of form stable NaCl-Al2O3 composite for thermal energy storage by cold sintering process. Front. Chem. Sci. Eng. 2019, 13, 1–9. [Google Scholar] [CrossRef]
- Papapetrou, M.; Kosmadakis, G.; Cipollina, A.; La Commare, U.; Micale, G. Industrial waste heat: Estimation of the technically available resource in the EU per industrial sector, temperature level and country. Appl. Therm. Eng. 2018, 138, 207–216. [Google Scholar] [CrossRef]
- Kenisarin, M.M. High-temperature phase change materials for thermal energy storage. Renew. Sustain. Energy Rev. 2010, 14, 955–970. [Google Scholar] [CrossRef]
- Kourkova, L.; Sadovska, G. Heat capacity enthalpy and entropy of Li2CO3 at 303.5–563.15 K. Thermochim. Acta 2007, 452, 80. [Google Scholar] [CrossRef]
- Lantelme, F.; Turq, P.; Quentrec, B.; Lewis, J.W. Application of the molecular dynamics method to a liquid system with long range forces (Molten NaCl). Mol. Phys. 1974, 28, 1537–1549. [Google Scholar] [CrossRef]
- Du, L.; Xie, W.; Ding, J.; Lu, J.; Wei, X.; Wang, W. Molecular dynamics simulations of the thermodynamic properties and local structures on molten alkali carbonate Na2CO3. Int. J. Heat Mass Transfer. 2019, 131, 41–51. [Google Scholar] [CrossRef]
- Ding, J.; Du, L.; Pan, G.; Lu, J.; Wei, X.; Li, J.; Wang, W.; Yan, J. Molecular dynamics simulations of the local structures and thermodynamic properties on molten alkali carbonate K2CO3. Appl. Energy 2018, 220, 536–544. [Google Scholar] [CrossRef]
- Fumi, F.G.; Tosi, M.P. Ionic sizes and born repulsive parameters in the NaCl-type alkali halides—I: The Huggins-Mayer and Pauling forms. J. Phys. Chem. Solids 1964, 25, 31–43. [Google Scholar] [CrossRef]
- Tosi, M.P.; Fumi, F.G. Ionic sizes and born repulsive parameters in the NaCl-type alkali halides—II: The generalized Huggins-Mayer form. J. Phys. Chem. Solids 1964, 25, 45–52. [Google Scholar] [CrossRef]
- Ding, J.; Pan, G.; Du, L.C.; Lu, J.; Wang, W.; Wei, X.; Li, J. Molecular dynamics simulations of the local structures and transport properties of Na2CO3 and K2CO3. Appl. Energy 2018, 227, 555–563. [Google Scholar] [CrossRef]
- Du, L.; Ding, J.; Wang, W.; Pan, G.; Lu, J.; Wei, X. Molecular dynamics simulations on the binary eutectic system Na2CO3-K2CO3. Energy Procedia 2017, 142, 3553–3559. [Google Scholar] [CrossRef]
- Janssen, G.J.M.; Tissen, J. Pair potentials from ab initio calculations for use in MD simulations of molten alkali carbonates. Mol. Simulat. 1990, 5, 83–98. [Google Scholar] [CrossRef]
- Arakcheeva, A.; Bindi, L.; Pattison, P.; Meisser, N.; Chapuis, G.; Pekov, I. The incommensurately modulated structures of natural natrite at 120 and 293 K from synchrotron X-ray data. Am. Miner. 2010, 95, 574–581. [Google Scholar] [CrossRef]
- Rao, R.P.; Seshasayee, M. Molecular dynamics simulation of ternary glasses Li2O–P2O5–LiCl. Solid State Commun. 2004, 131, 537–542. [Google Scholar] [CrossRef]
- Que, Y.; Chao, L.; Chen, Q.Y. Molecular Dynamics Simulation of Phase Change in Heptadecane-Pentadecane Binary System. Mater. Rep. 2010, 24, 77–80. [Google Scholar]
- Naghizadeh, J.; Rice, S.A. Kinetic theory of dense fluids. X. Measurement and interpretation of self-diffusion in liquid Ar, Kr, Xe, and CH4. J. Chem. Phys. 1962, 36, 2710–2720. [Google Scholar] [CrossRef]
- Jolly, D.L.; Bearman, R.J. Molecular dynamics simulation of the mutual and self-diffusion coefficients in Lennard-Jones liquid mixtures. Mol. Phys. 1981, 41, 137–147. [Google Scholar] [CrossRef]
- Lu, Y.K.; Zhang, G.Q.; Hao, J.J. Molecular dynamics simulation of thermodynamic properties and local structure of Na2CO3-K2CO3 eutectic salt during phase transition. J. Chem. Phys. 2021, 43, 103221. [Google Scholar] [CrossRef]
- Feng, T.X.; Yang, B.; Lu, G.M. Deep learning-driven molecular dynamics simulations of molten carbonates: 1. Local structure and transport properties of molten Li2CO3-Na2CO3 system. Ionics 2022, 28, 1231–1248. [Google Scholar] [CrossRef]
- Karad, S.K.; Jones, F.R.; Attwood, D. Moisture absorption by cyanate ester modified epoxy resin matrices. Part I. Effect of spiking parameters. Polymer 2002, 43, 5209–5218. [Google Scholar] [CrossRef]
- Ye, D.L. Handbook of Inorganic Thermodynamic Data, 1st ed.; Metallurgical Industry Press: Beijing, China, 2002; pp. 659–660. [Google Scholar]







| Atom | Na | C | O |
|---|---|---|---|
| z(e) | 1.00 | 1.54 | −1.18 |
| n | 8.00 | 2.46 | 7.18 |
| σ(Å) | 1.07 | 1.10 | 1.33 |
| Salt | a, b, c (Å) | α, β, γ (°) |
|---|---|---|
| Na2CO3 | 8.851, 5.240, 6.021 | 90.000, 101.080, 90.000 |
| Temp. K | Simulation Cp J/(g·K) | Test Cp J/(g·K) | Error (with Test) % |
|---|---|---|---|
| 500–600 | 1.34 | 1.27 | 5.22 |
| 600–700 | 1.43 | 1.47 | 2.80 |
| 700–800 | 1.50 | 1.59 | 6.00 |
| 800–900 | 1.23 | 1.43 | 16.26 |
| 900–1000 | 1.49 | 1.43 | 4.03 |
| 1000–1100 | 1.48 | 1.30 | 12.16 |
| 500–1100 | 1.45 | 1.42 | 2.07 |
| Temp. (K) | 500~900 | 900~1000 | 1000~1200 | 1200~1400 | 1500~1600 |
|---|---|---|---|---|---|
| β (10−4 K−1) | 2 | 1 | 3.5 | 22 | 7 |
| Temp.(K) | Na-Na | Na-C | Na-O | C-C | C-O | O-O | |
|---|---|---|---|---|---|---|---|
| rmax (Å) | 500 | 3.47 | 3.65 | 2.57 | 3.74 | 2.48 | 3.56 |
| 700 | 3.56 | 3.65 | 2.57 | 3.74 | 2.48 | 3.56 | |
| 900 | 3.56 | 3.65 | 2.48 | 3.74 | 2.39 | 3.56 | |
| 1100 | 3.56 | 3.65 | 2.48 | 3.83 | 2.39 | 3.65 | |
| 1200 | 3.65 | 3.65 | 2.48 | 3.83 | 2.39 | 3.65 | |
| 1300 | 3.56 | 3.74 | 2.48 | 3.83 | 2.39 | 3.65 | |
| 1400 | 3.65 | 3.74 | 2.48 | 3.83 | 2.39 | 3.65 | |
| 1500 | 3.65 | 3.74 | 2.48 | 3.83 | 2.39 | 3.65 | |
| rmin (Å) | 500 | 5.18 | 5.09 | 3.38 | 5.00 | 3.29 | 5.09 |
| 700 | 5.09 | 5.18 | 3.47 | 5.18 | 3.38 | 5.09 | |
| 900 | 5.09 | 5.18 | 3.47 | 5.09 | 3.38 | 5.18 | |
| 1100 | 5.18 | 5.18 | 3.56 | 5.09 | 3.38 | 5.18 | |
| 1200 | 5.18 | 5.18 | 3.56 | 5.18 | 3.38 | 5.18 | |
| 1300 | 5.18 | 5.18 | 3.56 | 5.18 | 3.38 | 5.18 | |
| 1400 | 5.27 | 5.27 | 3.56 | 5.18 | 3.38 | 5.18 | |
| 1500 | 5.36 | 5.27 | 3.56 | 5.18 | 3.47 | 5.18 | |
| N (rmin) | 500 | 9.83 | 4.88 | 4.86 | 4.53 | 5.12 | 14.42 |
| 700 | 9.48 | 5.12 | 5.09 | 4.75 | 5.31 | 14.47 | |
| 900 | 9.03 | 4.94 | 4.86 | 4.31 | 5.07 | 14.33 | |
| 1100 | 8.98 | 4.70 | 4.86 | 4.22 | 4.91 | 13.71 | |
| 1200 | 8.97 | 4.51 | 4.77 | 4.48 | 4.87 | 13.47 | |
| 1300 | 8.68 | 4.44 | 4.69 | 4.35 | 4.82 | 13.17 | |
| 1400 | 8.80 | 4.55 | 4.59 | 4.15 | 4.73 | 12.85 | |
| 1500 | 8.26 | 4.40 | 4.50 | 4.09 | 4.78 | 12.52 |
Publisher’s Note: MDPI stays neutral with regard to jurisdictional claims in published maps and institutional affiliations. |
© 2022 by the authors. Licensee MDPI, Basel, Switzerland. This article is an open access article distributed under the terms and conditions of the Creative Commons Attribution (CC BY) license (https://creativecommons.org/licenses/by/4.0/).
Share and Cite
Long, H.; Lu, Y.; Chang, L.; Zhang, H.; Zhang, J.; Zhang, G.; Hao, J. Molecular Dynamics Simulation of Thermophysical Properties and the Microstructure of Na2CO3 Heat Storage Materials. Energies 2022, 15, 7080. https://doi.org/10.3390/en15197080
Long H, Lu Y, Chang L, Zhang H, Zhang J, Zhang G, Hao J. Molecular Dynamics Simulation of Thermophysical Properties and the Microstructure of Na2CO3 Heat Storage Materials. Energies. 2022; 15(19):7080. https://doi.org/10.3390/en15197080
Chicago/Turabian StyleLong, Haiming, Yunkun Lu, Liang Chang, Haifeng Zhang, Jingcen Zhang, Gaoqun Zhang, and Junjie Hao. 2022. "Molecular Dynamics Simulation of Thermophysical Properties and the Microstructure of Na2CO3 Heat Storage Materials" Energies 15, no. 19: 7080. https://doi.org/10.3390/en15197080
APA StyleLong, H., Lu, Y., Chang, L., Zhang, H., Zhang, J., Zhang, G., & Hao, J. (2022). Molecular Dynamics Simulation of Thermophysical Properties and the Microstructure of Na2CO3 Heat Storage Materials. Energies, 15(19), 7080. https://doi.org/10.3390/en15197080
