Insight into the Thermodynamic Properties of Promising Energetic HNTO·AN Co-Crystal: Heat Capacity, Combustion Energy, and Formation Enthalpy
Abstract
:1. Introduction
2. Experimental Section
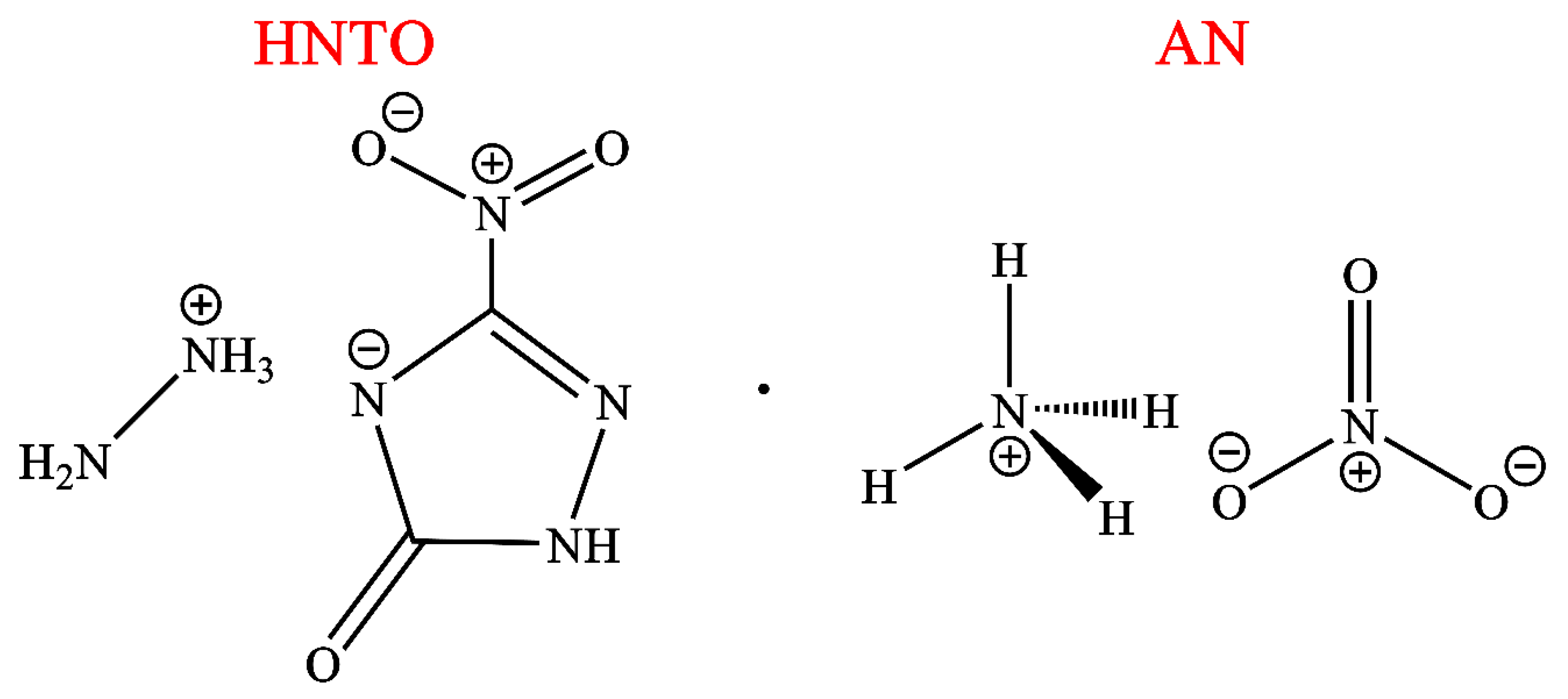
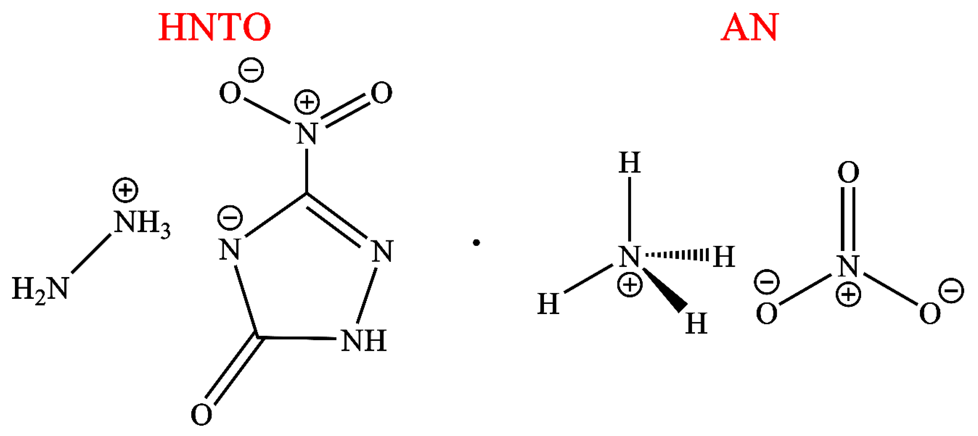
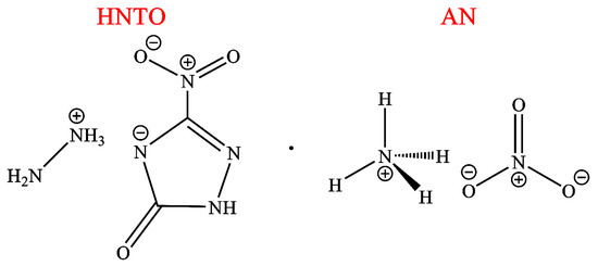
2.1. Materials and Cocrystal Preparation
2.2. Apparatus and Methods
2.2.1. Heat Capacity Measurements
2.2.2. Heat of Combustion Determination
3. Results and Discussion
3.1. The Specific Heat Capacity and Thermodynamic Function of HNTO and HNTO·AN Cocrystal
3.2. The Standard Molar Enthalpies of Formation of HNTO and HNTO·AN
4. Conclusions
Author Contributions
Funding
Conflicts of Interest
References
- Herweyer, D.; Brusso, J.L.; Murugesu, M. Modern trends in “Green” primary energetic materials. New J. Chem. 2021, 45, 10150–10159. [Google Scholar] [CrossRef]
- Tariq, Q.; Manzoor, S.; Cao, W.; Dong, W.; Arshad, F.; Zhang, J. Synthesis and Energetic Properties of Trending Metal-Free Potential Green Primary Explosives: A Review. ChemistrySelect 2022, 7, e202200017. [Google Scholar] [CrossRef]
- Huang, B.; Xue, Z.; Fu, X.; Yan, Q.-L. Advanced crystalline energetic materials modified by coating/intercalation techniques. Chem. Eng. J. 2020, 417, 128044. [Google Scholar] [CrossRef]
- Pang, W.; Deng, C.; Li, H.; DeLuca, L.T.; Ouyang, D.; Xu, H.; Fan, X. Effect of Nano-Sized Energetic Materials (nEMs) on the Performance of Solid Propellants: A Review. Nanomaterials 2021, 12, 133. [Google Scholar] [CrossRef]
- Klapötke, T.M. Chemistry of High-Energy Materials, 4th ed.; de Gruyter: Berlin, Germany, 2022; p. 369. [Google Scholar]
- Trache, D.; Klapötke, T.M.; Maiz, L.; Abd-Elghany, M.; DeLuca, L.T. Recent advances in new oxidizers for solid rocket propulsion. Green Chem. 2017, 19, 4711–4736. [Google Scholar] [CrossRef]
- Anniyappan, M.; Talawar, M.B.; Sinha, R.K.; Murthy, K.P.S. Review on Advanced Energetic Materials for Insensitive Munition Formulations. Combust. Explos. Shock Waves 2020, 56, 495–519. [Google Scholar] [CrossRef]
- Ma, Q.; Zhang, Z.; Yang, W.; Li, W.; Ju, J.; Fan, G. Strategies for constructing melt-castable energetic materials: A critical review. Energetic Mater. Front. 2021, 2, 69–85. [Google Scholar] [CrossRef]
- Muravyev, N.V.; Meerov, D.B.; Monogarov, K.A.; Melnikov, I.N.; Kosareva, E.K.; Fershtat, L.L.; Sheremetev, A.B.; Dalinger, I.L.; Fomenkov, I.V.; Pivkina, A.N. Sensitivity of energetic materials: Evidence of thermodynamic factor on a large array of CHNOFCl compounds. Chem. Eng. J. 2021, 421, 129804. [Google Scholar] [CrossRef]
- Zhang, X.; Pan, L.; Wang, L.; Zou, J.-J. Review on synthesis and properties of high-energy-density liquid fuels: Hydrocarbons, nanofluids and energetic ionic liquids. Chem. Eng. Sci. 2018, 180, 95–125. [Google Scholar] [CrossRef]
- Zhang, Q.; Shreeve, J.n.M. Energetic ionic liquids as explosives and propellant fuels: A new journey of ionic liquid chemistry. Chem. Rev. 2014, 114, 10527–10574. [Google Scholar] [CrossRef]
- Yan, Q.-L.; Zhao, F.-Q.; Kuo, K.K.; Zhang, X.-H.; Zeman, S.; DeLuca, L.T. Catalytic effects of nano additives on decomposition and combustion of RDX-, HMX-, and AP-based energetic compositions. Prog. Energy Combust. Sci. 2016, 57, 75–136. [Google Scholar] [CrossRef]
- Gruhne, M.S.; Lommel, M.; Wurzenberger, M.H.H.; Klapötke, T.M.; Stierstorfer, J. Investigation of Ethylenedinitramine as a Versatile Building Block in Energetic Salts, Cocrystals, and Coordination Compounds. Inorg. Chem. 2021, 60, 4816–4828. [Google Scholar] [CrossRef] [PubMed]
- Kuchurov, I.V.; Zharkov, M.N.; Fershtat, L.L.; Makhova, N.; Zlotin, S.G. Prospective Symbiosis of Green Chemistry and Energetic Materials. ChemSusChem 2017, 10, 3914–3946. [Google Scholar] [CrossRef]
- Thayyil, A.R.; Juturu, T.; Nayak, S.; Kamath, S. Pharmaceutical Co-Crystallization: Regulatory Aspects, Design, Characterization, and Applications. Adv. Pharm. Bull. 2020, 10, 203–212. [Google Scholar] [CrossRef] [PubMed]
- Chaudhari, S.; Nikam, S.A.; Khatri, N.; Wakde, S. Co-Crystals: A Review. J. Drug Deliv. Ther. 2018, 8, 350–358. [Google Scholar] [CrossRef]
- Pang, W.-Q.; Wang, K.; Zhang, W.; Luca, L.; Fan, X.-Z.; Li, J.-Q. CL-20-Based Cocrystal Energetic Materials: Simulation, Preparation and Performance. Molecules 2020, 25, 4311. [Google Scholar] [CrossRef]
- Sultan, M.; Wu, J.; Haq, I.U.; Imran, M.; Yang, L.; Wu, J.; Lu, J.; Chen, L. Recent Progress on Synthesis, Characterization, and Performance of Energetic Cocrystals: A Review. Molecules 2022, 27, 4775. [Google Scholar] [CrossRef]
- Xue, Z.-H.; Zhang, X.-X.; Huang, B.; Cheng, J.; Wang, K.; Yang, Z.; Yan, Q.-L. Assembling of Hybrid Nano-sized HMX/ANPyO Cocrystals Intercalated with 2D High Nitrogen Materials. Cryst. Growth Des. 2021, 21, 4488–4499. [Google Scholar] [CrossRef]
- Aakeröy, C.B.; Wijethunga, T.K.; Desper, J. Crystal Engineering of Energetic Materials: Co-crystals of Ethylenedinitramine (EDNA) with Modified Performance and Improved Chemical Stability. Chem. A Eur. J. 2015, 21, 11029–11037. [Google Scholar] [CrossRef]
- Bennion, J.C.; McBain, A.; Son, S.F.; Matzger, A.J. Design and Synthesis of a Series of Nitrogen-Rich Energetic Cocrystals of 5,5′-Dinitro-2H,2H′-3,3′-bi-1,2,4-triazole (DNBT). Cryst. Growth Des. 2015, 15, 2545–2549. [Google Scholar] [CrossRef]
- Zhang, J.; Parrish, D.A.; Jean’ne, M.S. Curious cases of 3, 6-dinitropyrazolo [4, 3-c] pyrazole-based energetic cocrystals with high nitrogen content: An alternative to salt formation. Chem. Commun. 2015, 51, 7337–7340. [Google Scholar] [CrossRef] [PubMed]
- Zhang, M.; Li, C.; Gao, H.; Fu, W.; Li, Y.; Tang, L.; Zhou, Z. Promising hydrazinium 3-Nitro-1,2,4-triazol-5-one and its analogs. J. Mater. Sci. 2016, 51, 10849–10862. [Google Scholar] [CrossRef]
- Yi, J.-H.; Zhao, F.-Q.; Gao, H.-X.; Xu, S.-Y.; Wang, M.-C.; Hu, R.-Z. Preparation, characterization, non-isothermal reaction kinetics, thermodynamic properties, and safety performances of high nitrogen compound: Hydrazine 3-nitro-1,2,4-triazol-5-one complex. J. Hazard. Mater. 2008, 153, 261–268. [Google Scholar] [CrossRef] [PubMed]
- Yi, J.-H.; Zhao, F.-Q.; Ren, Y.-H.; Xu, S.-Y.; Ma, H.-X.; Hu, R.-Z. Thermal decomposition mechanism and quantum chemical investigation of hydrazine 3-nitro-1,2,4-triazol-5-one (HNTO). J. Therm. Anal. 2009, 100, 623–627. [Google Scholar] [CrossRef]
- Hanafi, S.; Trache, D.; Meziani, R.; Boukciat, H.; Mezroua, A.; Tarchoun, A.F.; Derradji, M. Synthesis, characterization and thermal decomposition behavior of a novel HNTO/AN co-crystal as a promising rocket propellant oxidizer. Chem. Eng. J. 2020, 417, 128010. [Google Scholar] [CrossRef]
- Hanafi, S.; Trache, D.; Mezroua, A.; Boukeciat, H.; Meziani, R.; Tarchoun, A.F.; Abdelaziz, A. Optimized energetic HNTO/AN co-crystal and its thermal decomposition kinetics in the presence of energetic coordination nanomaterials based on functionalized graphene oxide and cobalt. RSC Adv. 2021, 11, 35287–35299. [Google Scholar] [CrossRef]
- Jos, J.; Mathew, S. Ammonium Nitrate as an Eco–Friendly Oxidizer for Composite Solid Propellants: Promises and Challenges. Crit. Rev. Solid State Mater. Sci. 2016, 42, 470–498. [Google Scholar] [CrossRef]
- Wu, H.B.; Nin Chan, M.; Chan, C.K. FTIR Characterization of Polymorphic Transformation of Ammonium Nitrate. Aerosol Sci. Technol. 2007, 41, 581–588. [Google Scholar] [CrossRef]
- Lee, T.; Chen, J.W.; Lee, H.L.; Lin, T.Y.; Tsai, Y.C.; Cheng, S.-L.; Lee, S.-W.; Hu, J.-C.; Chen, L.-T. Stabilization and spheroidization of ammonium nitrate: Co-crystallization with crown ethers and spherical crystallization by solvent screening. Chem. Eng. J. 2013, 225, 809–817. [Google Scholar] [CrossRef]
- Hanafi, S.; Trache, D.; Meziani, R.; Boukeciat, H.; Abdelaziz, A.; Tarchoun, A.F.; Mezroua, A. Catalytic reactivity of graphene oxide stabilized Fe complexe of triaminoguanidine on thermolysis of HNTO/AN co-crystal. Thermochim. Acta 2022, 717. [Google Scholar] [CrossRef]
- Hanafi, S.; Trache, D.; Meziani, R.; Boukeciat, H.; Tarchoun, A.F.; Abdelaziz, A.; Mezroua, A. Thermal decomposition and kinetic modeling of HNTO/AN-based composite solid propellant in the presence of GO-based nanocatalyst. FirePhysChem 2022. [Google Scholar] [CrossRef]
- Emel’Yanenko, V.N.; Kabo, G.J.; Verevkin, S.P. Measurement and Prediction of Thermochemical Properties: Improved Increments for the Estimation of Enthalpies of Sublimation and Standard Enthalpies of Formation of Alkyl Derivatives of Urea. J. Chem. Eng. Data 2006, 51, 79–87. [Google Scholar] [CrossRef]
- Abdelaziz, A.; Zaitsau, D.H.; Buzyurov, A.V.; Verevkin, S.P.; Schick, C. Sublimation thermodynamics of nucleobases derived from fast scanning calorimetry. Phys. Chem. Chem. Phys. 2020, 22, 838–853. [Google Scholar] [CrossRef]
- Abdelaziz, A.; Zaitsau, D.; Kuratieva, N.; Verevkin, S.; Schick, C. Melting of nucleobases. Getting the cutting edge of “Walden’s Rule”. Phys. Chem. Chem. Phys. 2019, 21, 12787–12797. [Google Scholar] [CrossRef]
- Ouvrard, C.; Mitchell, J.B. Can we predict lattice energy from molecular structure? Crystallogr. B. Struct. Sci. Cryst. Eng. Mater. 2003, 59, 676–685. [Google Scholar] [CrossRef]
- Siewert, R.; Ludwig, R.; Verevkin, S.P. Non-covalent interactions in molecular systems: Thermodynamic evaluation of the hydrogen bond strength in aminoalcohols. Phys. Chem. Chem. Phys. 2021, 23, 25226–25238. [Google Scholar] [CrossRef]
- Siewert, R.; Zherikova, K.V.; Verevkin, S.P. Non-Covalent Interactions in Molecular Systems: Thermodynamic Evaluation of the Hydrogen-Bond Strength in Amino-Ethers and Amino-Alcohols. Chem. Eur. J. 2022, 28. [Google Scholar] [CrossRef]
- Klapötke, T.M.; Witkowski, T.G. Nitrogen-Rich Energetic 1, 2, 5-Oxadiazole-Tetrazole–Based Energetic Materials. Propellants Explos. Pyrotech. 2015, 40, 366–373. [Google Scholar] [CrossRef]
- Klapötke, T.M.; Cudziło, S.; Trzciński, W.A. An Answer to the Question about the Energetic Performance of TKX-50. Propellants, Explos. Pyrotech. 2022, 47. [Google Scholar] [CrossRef]
- Sarge, S.M.; Hemminger, W.; Gmelin, E.; Höhne, G.W.H.; Cammenga, H.K.; Eysel, W. Metrologically based procedures for the temperature, heat and heat flow rate calibration of DSC. J. Therm. Anal. 1997, 49, 1125–1134. [Google Scholar] [CrossRef]
- Mentado-Morales, J.; Hernández-Sánchez, E.; Regalado-Méndez, A.; Peralta-Reyes, E. An isoperibolic combustion calorimeter developed to measure the enthalpy of combustion of organic compounds. J. Therm. Anal. Calorim. 2017, 127, 2307–2314. [Google Scholar] [CrossRef]
- Cebe, P.; Partlow, B.P.; Kaplan, D.L.; Wurm, A.; Zhuravlev, E.; Schick, C. Using flash DSC for determining the liquid state heat capacity of silk fibroin. Thermochim. Acta 2015, 615, 8–14. [Google Scholar] [CrossRef]
- Nagatani, M.; Seiyama, T.; Sakiyama, M.; Suga, H.; Seki, S. Heat Capacities and Thermodynamic Properties of Ammonium Nitrate Crystal: Phase Transitions between Stable and Metastable Phases. Bull. Chem. Soc. Jpn. 1967, 40, 1833–1844. [Google Scholar] [CrossRef]
- Chaturvedi, S.; Dave, P.N. Review on Thermal Decomposition of Ammonium Nitrate. J. Energetic Mater. 2013, 31, 1–26. [Google Scholar] [CrossRef]
- Babrauskas, V.; Leggett, D. Thermal decomposition of ammonium nitrate. Fire Mater. 2020, 44, 250–268. [Google Scholar] [CrossRef]
- Risch, T.K. Curve Fits of the NIST-JANNAF Thermochemical Tables Fourth Edition; Armstrong Flight Research Center, Edwards: Irvinem, CA, USA, 2021. [Google Scholar]



| Compound | Fitting Parameters | Cp (cr, 298.15 K)/J·g−1·K−1 | r2 | RMSE | |
|---|---|---|---|---|---|
| HNTO | α | 0.27562 ± 0.00468 | 1.1790 ± 0.0093 | 0.9982 | 0.00623 |
| β | 0.00303 ± 1.56263 × 10−5 | ||||
| HNTO·AN | α | 0.12112 ± 0.00353 | 1.5105 ± 0.0070 | 0.9996 | 0.00469 |
| β | 0.00466 ± 1.17659 × 10−5 | ||||
| HNTO | HNTO·AN | |||||||
|---|---|---|---|---|---|---|---|---|
| T / K | Cp / J·g−1·K−1 | ΔH298.15K / J·g−1 | ΔS298.15K / J·g−1·K−1 | ΔG298.15K / J·g−1 | Cp / J·g−1·K−1 | ΔH298.15K / J·g−1 | ΔS298.15K / J·g−1·K−1 | ΔG298.15K / J·g−1 |
| 213.15 | 0.9212 | −155.1 | −0.35 | −80.5 | 1.1149 | −212.8 | −0.44 | −119.7 |
| 218.15 | 0.9363 | −147.2 | −0.33 | −75.5 | 1.1382 | −202.2 | −0.41 | −112.6 |
| 228.15 | 0.9666 | −130.9 | −0.29 | −65.7 | 1.1849 | −180.2 | −0.36 | −98.3 |
| 238.15 | 0.9969 | −114.0 | −0.24 | −56.0 | 1.2315 | −157.2 | −0.31 | −84.1 |
| 248.15 | 1.0272 | −96.5 | −0.20 | −46.4 | 1.2782 | −133.3 | −0.26 | −70.0 |
| 258.15 | 1.0575 | −78.4 | −0.16 | −36.9 | 1.3248 | −108.5 | −0.20 | −55.9 |
| 268.15 | 1.0877 | −59.7 | −0.12 | −27.5 | 1.3714 | −82.8 | −0.15 | −41.9 |
| 278.15 | 1.1180 | −40.4 | −0.08 | −18.3 | 1.4181 | −56.1 | −0.10 | −27.9 |
| 288.15 | 1.1483 | −20.5 | −0.04 | −9.1 | 1.4647 | −28.5 | −0.05 | −13.9 |
| 298.15 | 1.1786 | 0.0 | 0.00 | 0.0 | 1.5114 | 0.0 | 0.00 | 0.0 |
| 308.15 | 1.2089 | 21.1 | 0.04 | 9.0 | 1.5580 | 29.5 | 0.05 | 13.9 |
| 318.15 | 1.2392 | 42.9 | 0.08 | 17.9 | 1.6046 | 59.9 | 0.10 | 27.7 |
| 328.15 | 1.2695 | 65.2 | 0.12 | 26.7 | 1.6513 | 91.2 | 0.15 | 41.5 |
| 338.15 | 1.2998 | 88.1 | 0.16 | 35.4 | 1.6979 | 123.5 | 0.20 | 55.3 |
| 348.15 | 1.3300 | 111.7 | 0.19 | 44.1 | 1.7446 | 156.6 | 0.25 | 69.0 |
| 358.15 | 1.3603 | 135.9 | 0.23 | 52.6 | 1.7912 | 190.8 | 0.30 | 82.7 |
| 368.15 | 1.3906 | 160.6 | 0.27 | 61.1 | 1.8378 | 225.8 | 0.35 | 96.3 |
| 378.15 | 1.4209 | 186.0 | 0.31 | 69.5 | 1.8845 | 261.8 | 0.40 | 110.0 |
| Rxn N° | Decomposition Reactions | (AN)/kJ·mol−1 |
|---|---|---|
| 1 | NH4NO3 ⇄ HNO3 + NH3 | +179.9 |
| 2 | NH4NO3 → N2O + 2 H2O | −42.3 |
| 3 | 4 NH4NO3 → 3 N2 + N2O4 + 8 H2O | −121.1 |
| 4 | NH4NO3 → N2 + 2H2O + ½ O2 | −123.9 |
| 5 | NH4NO3 → NO + ½ N2 + 2 H2O | −32.6 |
| 6 | 3 NH4NO3 → 2N2 + N2O3 + 6 H2O | −95.0 |
| 7 | 5 NH4NO3 → 2 HNO3 + 4 N2 + 9 H2O | −129.1 |
| 8 | 8 NH4NO3 → 16 H2O + 2 NO2 + 4 NO + 5 N2 | −70.0 |
| 9 | 4 NH4NO3 → 3 N2 + 2 NO2 + 8 H2O | −377.1 |
| 10 | 4 NH4NO3 → 2 NH3 + 3 NO2 + NO +N2 + 5 H2O | +82.2 |
| Compound | Fitting Parameters | r2 | |
|---|---|---|---|
| AN-BA | a | −0.24933 ± 0.00217 | 0.9998 |
| b | −1.62282 ± 0.09694 | ||
| HNTO·AN-BA | a | −0.19858 ± 6.15467 × 10−4 | 0.9999 |
| b | −6.4836 ± 0.03198 | ||
Publisher’s Note: MDPI stays neutral with regard to jurisdictional claims in published maps and institutional affiliations. |
© 2022 by the authors. Licensee MDPI, Basel, Switzerland. This article is an open access article distributed under the terms and conditions of the Creative Commons Attribution (CC BY) license (https://creativecommons.org/licenses/by/4.0/).
Share and Cite
Abdelaziz, A.; Tarchoun, A.F.; Boukeciat, H.; Trache, D. Insight into the Thermodynamic Properties of Promising Energetic HNTO·AN Co-Crystal: Heat Capacity, Combustion Energy, and Formation Enthalpy. Energies 2022, 15, 6722. https://doi.org/10.3390/en15186722
Abdelaziz A, Tarchoun AF, Boukeciat H, Trache D. Insight into the Thermodynamic Properties of Promising Energetic HNTO·AN Co-Crystal: Heat Capacity, Combustion Energy, and Formation Enthalpy. Energies. 2022; 15(18):6722. https://doi.org/10.3390/en15186722
Chicago/Turabian StyleAbdelaziz, Amir, Ahmed Fouzi Tarchoun, Hani Boukeciat, and Djalal Trache. 2022. "Insight into the Thermodynamic Properties of Promising Energetic HNTO·AN Co-Crystal: Heat Capacity, Combustion Energy, and Formation Enthalpy" Energies 15, no. 18: 6722. https://doi.org/10.3390/en15186722
APA StyleAbdelaziz, A., Tarchoun, A. F., Boukeciat, H., & Trache, D. (2022). Insight into the Thermodynamic Properties of Promising Energetic HNTO·AN Co-Crystal: Heat Capacity, Combustion Energy, and Formation Enthalpy. Energies, 15(18), 6722. https://doi.org/10.3390/en15186722

