Theoretical and Experimental Analysis of Engine Performance and Emissions Fuelled with Jojoba Biodiesel
Abstract
:1. Introduction
2. Theoretical and Experimental Study
2.1. Model Development
2.2. Assumption
- (i)
- The cylinder charge temperature and pressure vary with CA and are assumed to be uniform.
- (ii)
- The mass remains constant, because there is no leakage through the piston valve and rings.
- (iii)
- The heat is transferred to the cylinder head area; however, the piston surface and the cylinder wall are in touch with the gas mixture.
- (iv)
- The surface temperature is constant during the cycle.
- (v)
- Due to the combustion chamber mechanism and motion of the piston, heat transfer changes rapidly towards the wall, which is calculated from the combustion gases and wall temperature.
- (vi)
- Consider uniform crank speed.
3. Simulation Procedure
4. Experimental Test Facility
4.1. Engine Description
4.2. Measurement Devices and Test Procedure
4.3. Instrument Accuracy and Measurement Uncertainity
4.4. Fuel Selection, Preparation, and Specifications
5. Results and Discussions
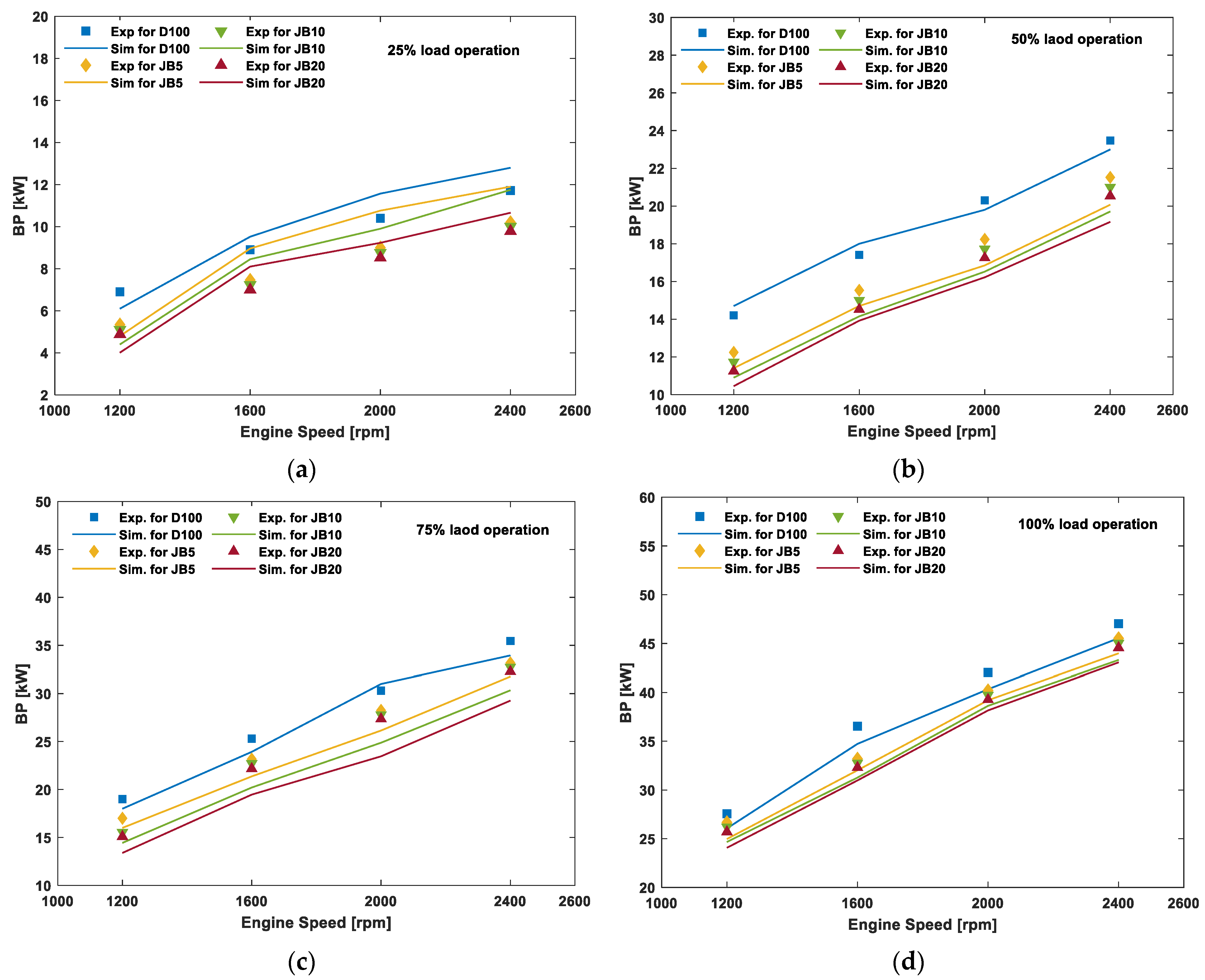
5.1. Engine Performances
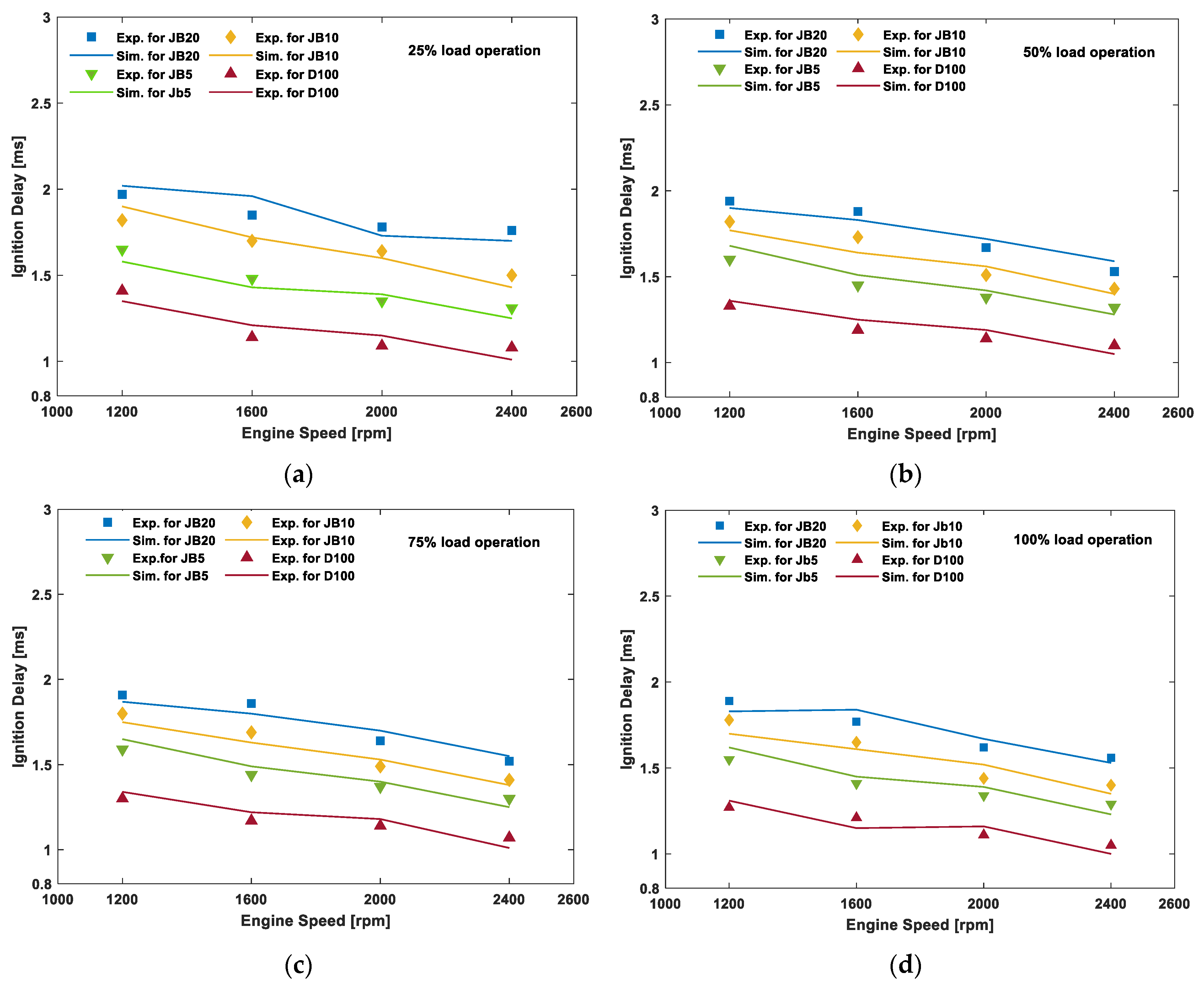
5.2. ID
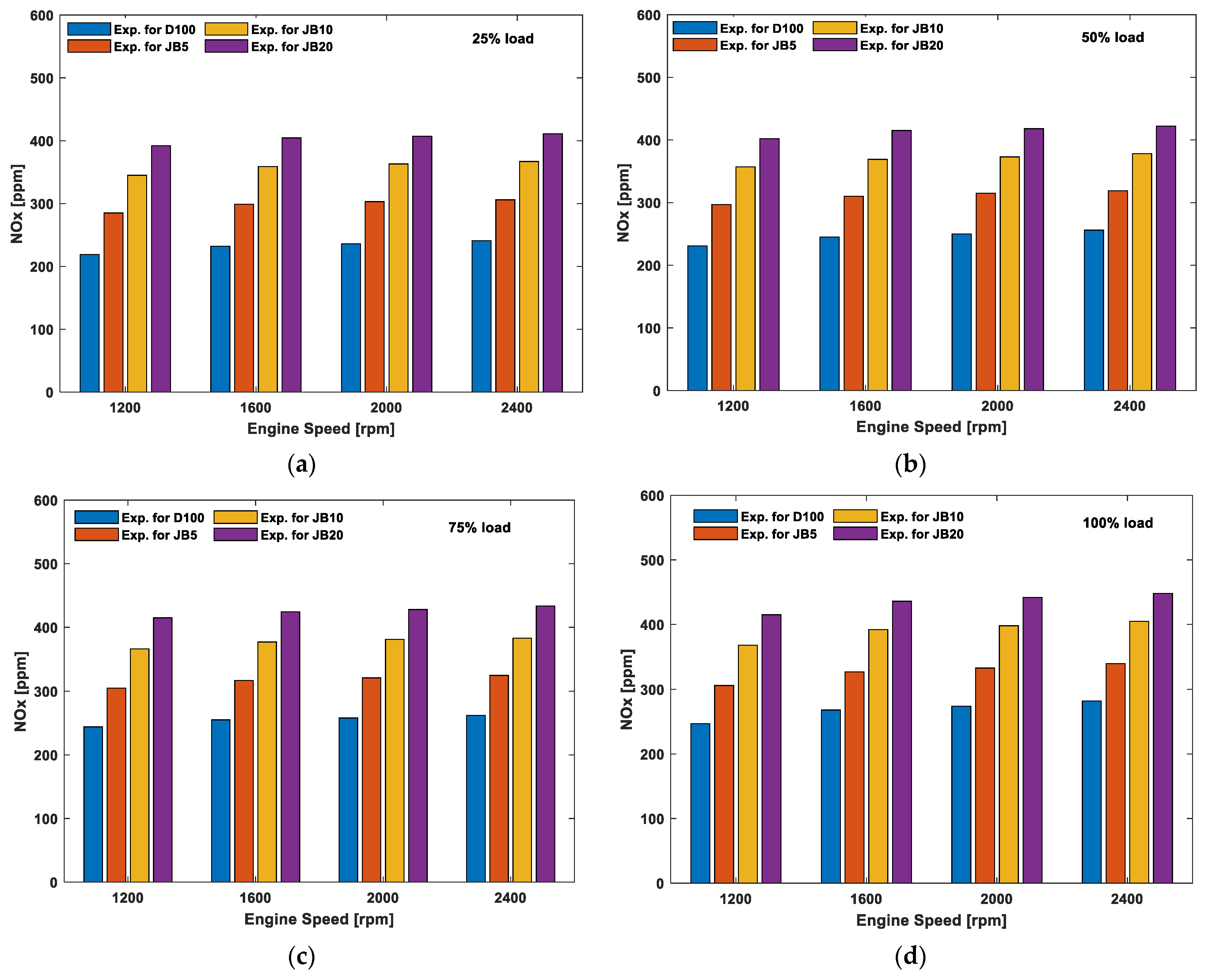
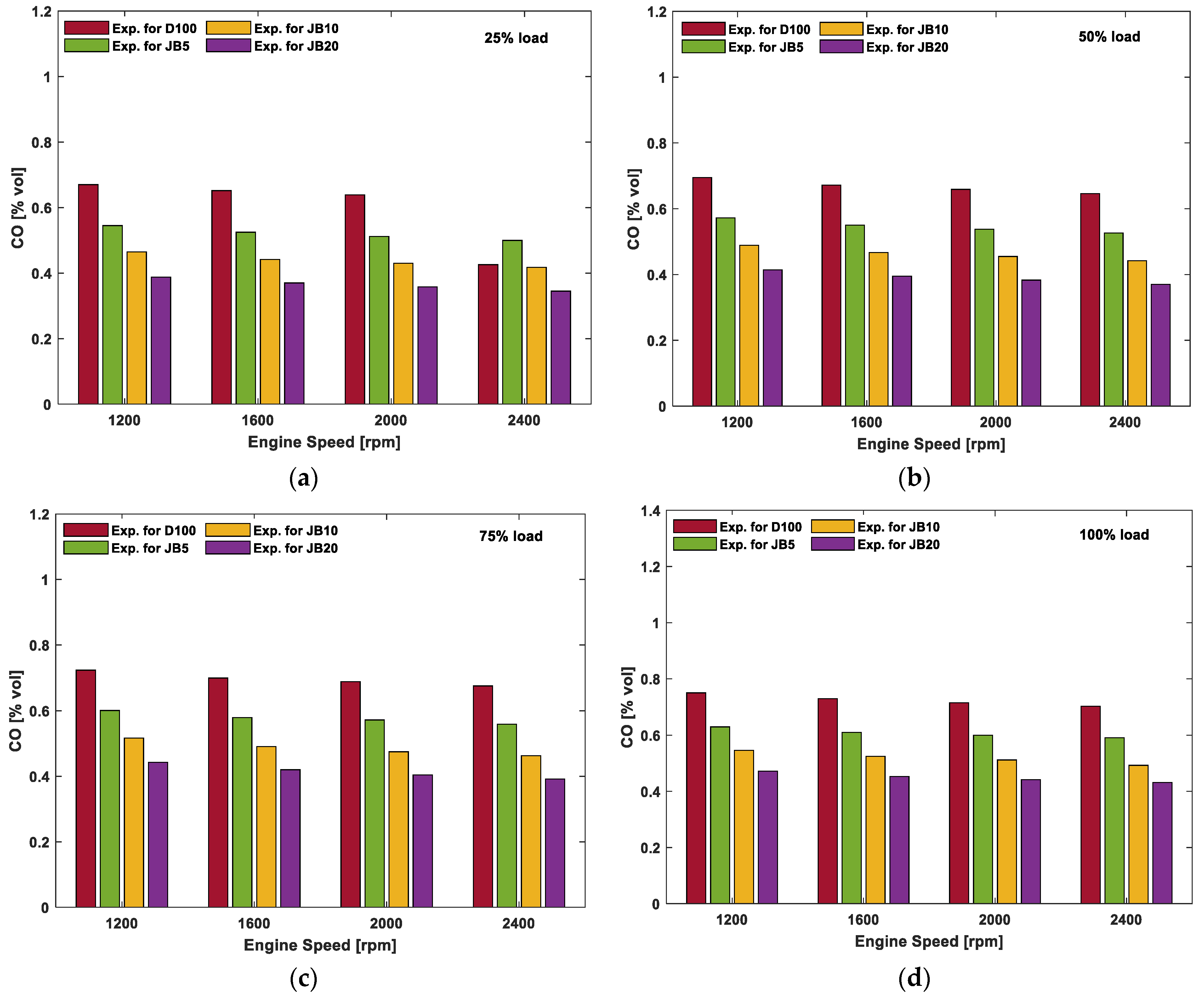
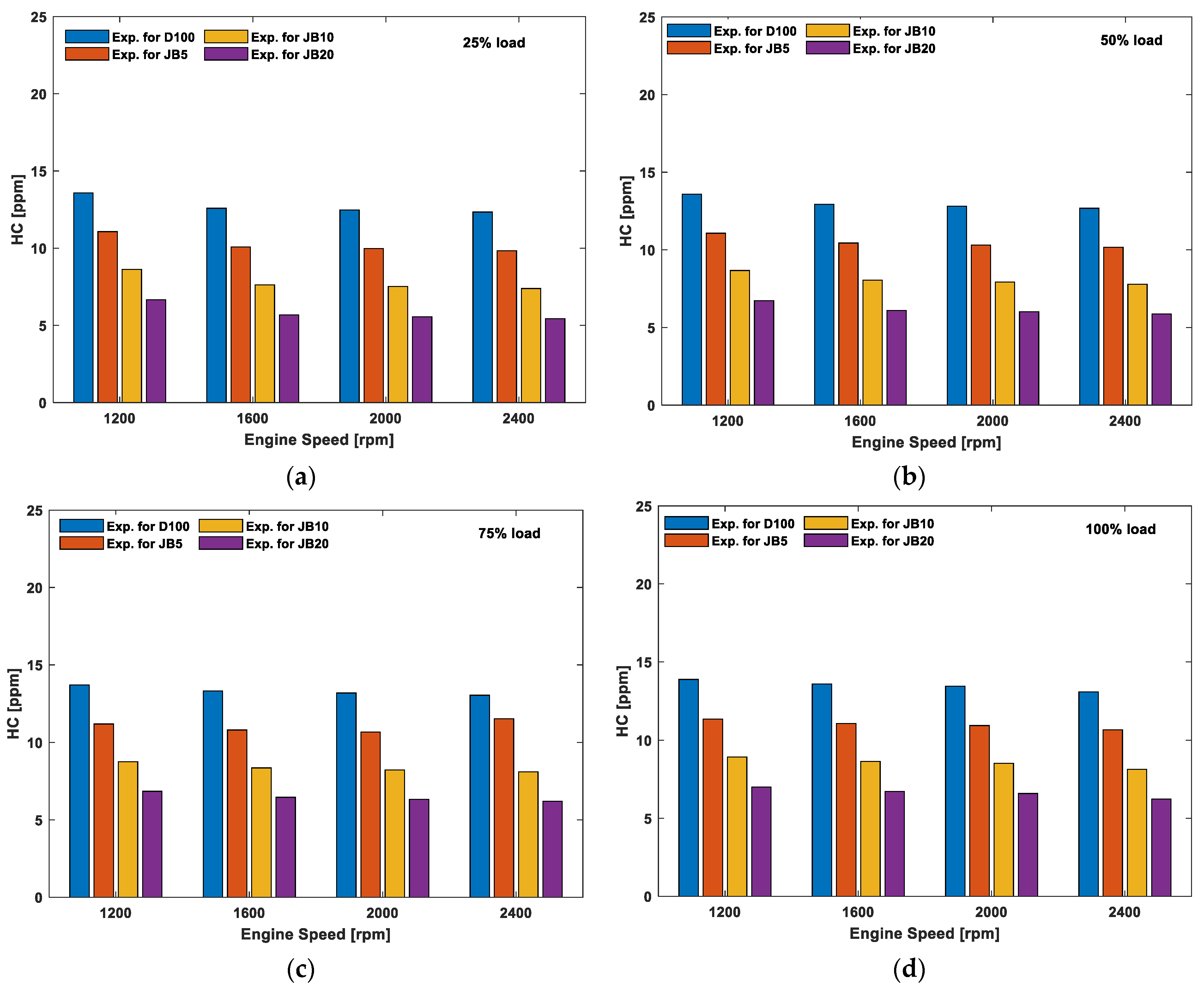
5.3. Emissions Analysis of Diesel and Jojoba Blends
6. Recommendations
7. Conclusions
Author Contributions
Funding
Institutional Review Board Statement
Informed Consent Statement
Data Availability Statement
Conflicts of Interest
References
- Labeckas, G.; Slavinskas, S.; Kanapkienė, I. The individual effects of cetane number, oxygen content or fuel properties on performance efficiency, exhaust smoke and emissions of a turbocharged CRDI diesel engine–Part 2. Energy Convers. Manag. 2017, 149, 442–466. [Google Scholar] [CrossRef]
- Merola, S.S.; Irimescu, A.; Marchitto, L.; Tornatore, C.; Valentino, G. Effect of injection timing on combustion and soot formation in a direct injection spark ignition engine fueled with butanol. Int. J. Engine Res. 2017, 18, 490–504. [Google Scholar] [CrossRef]
- Hardalupas, Y.; Hong, C.; Keramiotis, C.; Taylor, A.M.; Touloupis, D.; Vourliotakis, G. Optical diagnostics investigation into the effect of pilot injection dwell time and injection pressure on combustion characteristics and soot emissions in a single-cylinder optical diesel engine. J. Energy Eng. 2018, 144, 04018056. [Google Scholar] [CrossRef]
- Mustayen, A.G.M.B.; Rasul, M.G.; Wang, X.; Negnevitsky, M.; Hamilton, J.M. Remote areas and islands power generation: A review on diesel engine performance and emission improvement techniques. Energy Convers. Manag. 2022, 260, 115614. [Google Scholar] [CrossRef]
- Levendis, Y.A.; Pavlatos, I.; Abrams, R.F. Control of Diesel Soot, Hydrocarbon and NOx Emissions with a Particulate Trap and EGR; 0148-7191; SAE Technical Paper; SAE International: Warrendale, PA, USA, 1994. [Google Scholar]
- Pulkrabek, W.W. Engineering Fundamentals of the Internal Combustion Engine; Pearson Prentice Hall: Upper Saddle River, NJ, USA, 2004. [Google Scholar]
- Rakopoulos, D.C.; Rakopoulos, C.D.; Giakoumis, E.G.; Papagiannakis, R.G. Evaluating oxygenated fuel’s influence on combustion and emissions in diesel engines using a two-zone combustion model. J. Energy Eng. 2018, 144, 04018046. [Google Scholar] [CrossRef]
- Anwar, M.; Rasul, M.G.; Hassan, N.M.S.; Jahirul, M.I.; Haque, R.; Hasan, M.M.; Mustayen, A.G.M.B.; Karami, R.; Schaller, D. Stone fruit seed: A Source of renewable fuel for transport. Energies 2022, 15, 4667. [Google Scholar] [CrossRef]
- Misra, R.; Murthy, M. Straight vegetable oils usage in a compression ignition engine—A review. Renew. Sustain. Energy Rev. 2010, 14, 3005–3013. [Google Scholar] [CrossRef]
- Karthikeyan, S.; Prathima, A.; Elango, A.; Silaimani, S. Environmental effect of vitis vinifera (grape seed oil) biofuel blends in marine engine. Indian J. Geo-Mar. Sci. 2015, 44, 1852–1856. [Google Scholar]
- Karthikeyan, S.; Prathima, A.; Sabariswaran, K. An environmental effect of nano additive on performance and emission in a biofuel fuelled marine engine. Indian J. Geo-Mar. 2015, 44, 896–901. [Google Scholar]
- Karami, R.; Rasul, M.G.; Khan, M.M.K. CFD simulation and a pragmatic analysis of performance and emissions of tomato seed biodiesel blends in a 4-cylinder diesel engine. Energies 2020, 13, 3688. [Google Scholar] [CrossRef]
- Akbarian, E.; Najafi, B. A novel fuel containing glycerol triacetate additive, biodiesel and diesel blends to improve dual-fuelled diesel engines performance and exhaust emissions. Fuel 2019, 236, 666–676. [Google Scholar] [CrossRef]
- Khiari, K.; Awad, S.; Loubar, K.; Tarabet, L.; Mahmoud, R.; Tazerout, M. Experimental investigation of pistacia lentiscus biodiesel as a fuel for direct injection diesel engine. Energy Convers. Manag. 2016, 108, 392–399. [Google Scholar] [CrossRef]
- Awad, S.; Paraschiv, M.; Varuvel, E.G.; Tazerout, M. Optimization of biodiesel production from animal fat residue in wastewater using response surface methodology. Bioresour. Technol. 2013, 129, 315–320. [Google Scholar] [CrossRef] [PubMed]
- Ashraful, A.M.; Masjuki, H.H.; Kalam, M.A.; Rizwanul Fattah, I.M.; Imtenan, S.; Shahir, S.A.; Mobarak, H.M. Production and comparison of fuel properties, engine performance, and emission characteristics of biodiesel from various non-edible vegetable oils: A review. Energy Convers. Manag. 2014, 80, 202–228. [Google Scholar] [CrossRef]
- Karthikeyan, S.; Prathima, A. Neochloris oleoabundans microalgae oil as a fuel for diesel engines. Energy Sources Part A: Recovery Util. Environ. Eff. 2017, 39, 606–612. [Google Scholar] [CrossRef]
- Karthikeyan, S.; Prathima, A. Microalgae biofuel with CeO2 nano additives as an eco-friendly fuel for CI engine. Energy Sources Part A: Recovery Util. Environ. Eff. 2017, 39, 1332–1338. [Google Scholar] [CrossRef]
- Karthikeyan, S.; Kalaimurugan, K.; Prathima, A.; Somasundaram, D. Novel microemulsion fuel additive Ce–Ru–O catalysts with algae biofuel on diesel engine testing. Energy Sources Part A: Recovery Util. Environ. Eff. 2018, 40, 630–637. [Google Scholar] [CrossRef]
- Vidhyaprakash, D.; Karthikeyan, S.; Periyasamy, M.; Kalaimurugan, K.; Navaneethasanthakumar, S. Positioning of two-Wheeled mobile robot to control wheelslip by using the wheel rotate planning technique. J. Sci. Ind. Res. 2019, 78, 879–884. [Google Scholar]
- Huzayyin, A.; Bawady, A.; Rady, M.; Dawood, A. Experimental evaluation of diesel engine performance and emission using blends of jojoba oil and diesel fuel. Energy Convers. Manag. 2004, 45, 2093–2112. [Google Scholar] [CrossRef]
- Soudagar, M.E.M.; Khan, H.M.; Khan, T.; Razzaq, L.; Asif, T.; Mujtaba, M.; Hussain, A.; Farooq, M.; Ahmed, W.; Shahapurkar, K. Experimental analysis of engine performance and exhaust pollutant on a single-cylinder diesel engine operated using moringa oleifera biodiesel. Appl. Sci. 2021, 11, 7071. [Google Scholar] [CrossRef]
- Zhang, Y.; Zhong, Y.; Wang, J.; Tan, D.; Zhang, Z.; Yang, D. Effects of different biodiesel-diesel blend fuel on combustion and emission characteristics of a diesel engine. Processes 2021, 9, 1984. [Google Scholar] [CrossRef]
- Pérez, A.; Mateos, D.; García, C.; Caraveo, C.; Montero, G.; Coronado, M.; Valdez, B. Quantitative Evaluation of the emissions of a transport engine operating with diesel-biodiesel. Energies 2020, 13, 3594. [Google Scholar] [CrossRef]
- Gautam, P.S.; Vishnoi, P.K.; Maheshwari, P.; Samant, T.S.; Gupta, V. Experimental analysis and theoretical validation of CI engine performance and combustion parameters using zero-dimensional mathematical model fuelled with biodiesel and diesel blends. In Proceedings of the IOP Conference Series: Materials Science and Engineering, Greater Noida, India, 20 February 2021; p. 012018. [Google Scholar]
- Hariram, V.; Bharathwaaj, R. Application of zero-dimensional thermodynamic model for predicting combustion parameters of CI engine fuelled with biodiesel-diesel blends. Alex. Eng. J. 2016, 55, 3345–3354. [Google Scholar] [CrossRef]
- Awad, S.; Varuvel, E.G.; Loubar, K.; Tazerout, M. Single zone combustion modeling of biodiesel from wastes in diesel engine. Fuel 2013, 106, 558–568. [Google Scholar] [CrossRef]
- Gogoi, T.; Baruah, D. A cycle simulation model for predicting the performance of a diesel engine fuelled by diesel and biodiesel blends. Energy 2010, 35, 1317–1323. [Google Scholar] [CrossRef]
- Nabi, M.N.; Rasul, M.; Gudimetla, P. Modelling and simulation of performance and combustion characteristics of diesel engine. Energy Procedia 2019, 160, 662–669. [Google Scholar] [CrossRef]
- Mustayen, A.; Wang, X.; Rasul, M.; Hamilton, J.; Negnevitsky, M. Theoretical investigation of combustion and performance analysis of diesel engine under low load conditions. In Proceedings of the IOP Conference Series: Earth and Environmental Science, Sanya, China, 8–10 July 2021; p. 012013. [Google Scholar]
- Chmela, F.G.; Pirker, G.H.; Wimmer, A. Zero-dimensional ROHR simulation for DI diesel engines–a generic approach. Energy Convers. Manag. 2007, 48, 2942–2950. [Google Scholar] [CrossRef]
- Ngayihi Abbe, C.V.; Nzengwa, R.; Danwe, R.; Ayissi, Z.M.; Obonou, M. A study on the 0D phenomenological model for diesel engine simulation: Application to combustion of Neem methyl esther biodiesel. Energy Convers. Manag. 2015, 89, 568–576. [Google Scholar] [CrossRef]
- Rezaei, R.; Eckert, P.; Seebode, J.; Behnk, K. Zero-Dimensional Modeling of Combustion and Heat Release Rate in DI Diesel Engines. SAE Int. J. Engines 2012, 5, 874–885. [Google Scholar] [CrossRef]
- Wolfer, H. Ignition lag in diesel engines. VDI-Forsch 1938, 392, 621-436.047. [Google Scholar]
- Watson, N.; Pilley, A.; Marzouk, M. A Combustion Correlation for Diesel Engine Simulation; 0148-7191; A Technical Paper; SAE International: Warrendale, PA, USA, 1980. [Google Scholar]
- Saravanan, S.; Nagarajan, G.; Sampath, S. A correlation for the ignition delay of a CI engine fuelled with diesel and biodiesel. Int. J. Green Energy 2014, 11, 542–557. [Google Scholar] [CrossRef]
- Assanis, D.N.; Filipi, Z.S.; Fiveland, S.B.; Syrimis, M. A predictive ignition delay correlation under steady-state and transient operation of a direct injection diesel engine. J. Eng. Gas Turbines Power 2003, 125, 450–457. [Google Scholar] [CrossRef]
- Hardenberg, H.; Hase, F. An empirical formula for computing the pressure rise delay of a fuel from its cetane number and from the relevant parameters of direct-injection diesel engines. SAE Trans. 1979, 1823–1834. [Google Scholar]
- Mustayen, A.; Wang, X.; Rasul, M.; Hamilton, J.; Negnevitsky, M. Thermodynamic analysis of diesel engine ignition delay under low load conditions. Energy Rep. 2022, 8, 495–501. [Google Scholar] [CrossRef]
- Ganapathy, T.; Gakkhar, R.; Murugesan, K. Influence of injection timing on performance, combustion and emission characteristics of Jatropha biodiesel engine. Appl. Energy 2011, 88, 4376–4386. [Google Scholar] [CrossRef]
- Mani, M.; Nagarajan, G. Influence of injection timing on performance, emission and combustion characteristics of a DI diesel engine running on waste plastic oil. Energy 2009, 34, 1617–1623. [Google Scholar] [CrossRef]
- Karthikeyan, S.; Periyasamy, M.; Prathima, A. Emission analysis of CI engine fueled by pilot dual fuel blends. Mater. Today Proc. 2020, 33, 3248–3253. [Google Scholar] [CrossRef]
- Karthikeyan, S.; Prathima, A.; Periyasamy, M.; Mahendran, G. Emission analysis of the diesel engine using Stoechospermum marginatum, brown marine algae with Al2O3 nano fluid. Mater. Today Proc. 2020, 33, 4047–4053. [Google Scholar] [CrossRef]
- Karthikeyan, S.; Periyasamy, M.; Prathima, A. Biodiesel from microalgae: Environmental aspects. Mater. Today Proc. 2020, 33, 3664–3667. [Google Scholar] [CrossRef]
- Prathima, A.; Karthikeyan, S.; Devi, K.R.; Usha, K.; Shanthi, M. Environmental effect of lubricity additives through dielectric molecular parameters. Mater. Today Proc. 2020, 33, 3658–3663. [Google Scholar] [CrossRef]
- Prathima, A.; Karthikeyan, S.; Mahalakshmi, S.; Thenappan, T. Environmental effect of ZOCO (Zro2/Ceo2) nano composite in methyl ester from canola oil through the performance and emission studies on IC engine. Mater. Today Proc. 2020, 33, 3203–3207. [Google Scholar] [CrossRef]
- Karthikeyan, S.; Periyasamy, M.; Prathima, A.; Yuvaraj, M. Agricultural tractor engine performance analysis using Stoechospermum marginatum microalgae biodiesel. Mater. Today Proc. 2020, 33, 3438–3442. [Google Scholar] [CrossRef]
- Karthikeyan, S.; Periyasamy, M.; Prathima, A.; Ajai, M. Effect of biosolar fuels and S. Marginatum algae biofuel on equivalence ratio in diesel engine with EGR. Mater. Today Proc. 2020, 33, 3443–3448. [Google Scholar] [CrossRef]
- Abbaszadehmosayebi, G.; Ganippa, L. Characterising Wiebe equation for heat release analysis based on combustion burn factor (Ci). Fuel 2014, 119, 301–307. [Google Scholar] [CrossRef]
- Heywood, J.B. Internal Combustion Engine Fundamentals; McGraw-Hill Education: New York, NY, USA, 2018. [Google Scholar]
- Hadjiconstantinou, N.G.; Simek, O. Constant-wall-temperature Nusselt number in micro and nano-channels. J. Heat Transf. 2002, 124, 356–364. [Google Scholar] [CrossRef] [Green Version]
- Thermodynamics and Fluid Mechanics Group; Annand, W. Heat transfer in the cylinders of reciprocating internal combustion engines. Proc. Inst. Mech. Eng. 1963, 177, 973–996. [Google Scholar] [CrossRef]
- Woschni, G. A Universally Applicable Equation for the Instantaneous Heat Transfer Coefficient in the Internal Combustion Engine; 0148-7191; SAE Technical paper; SAE International: Warrendale, PA, USA, 1967. [Google Scholar]
- Pirotais, F.; Bellettre, J.; Le Corre, O.; Tazerout, M.; De Pelsemaeker, G.; Guyonvarch, G. A Diesel Engine Thermal Transient Simulation: Coupling Between a Combustion Model and a Thermal Model; 0148-7191; SAE Technical Paper; SAE International: Warrendale, PA, USA, 2003. [Google Scholar]
- Yasar, H.; Soyhan, H.S.; Walmsley, H.; Head, B.; Sorusbay, C. Double-Wiebe function: An approach for single-zone HCCI engine modeling. Appl. Therm. Eng. 2008, 28, 1284–1290. [Google Scholar] [CrossRef]
- Kim, J.; Bae, C.; Kim, G. Simulation on the effect of the combustion parameters on the piston dynamics and engine performance using the Wiebe function in a free piston engine. Appl. Energy 2013, 107, 446–455. [Google Scholar] [CrossRef]
- Alkhulaifi, K.; Hamdalla, M. Ignition delay correlation for a direct injection diesel engine fuelled with automotive diesel and water diesel emulsion. Int. J. Chem. Mol. Eng. 2011, 5, 884–896. [Google Scholar]
- Fattah, I.R.; Kalam, M.; Masjuki, H.; Wakil, M. Biodiesel production, characterization, engine performance, and emission characteristics of Malaysian Alexandrian laurel oil. RSC Adv. 2014, 4, 17787–17796. [Google Scholar] [CrossRef]
- Al-Widyan, M.I.; Tashtoush, G.; Khdair, A.I. Briquettes of olive cake as a potential source of thermal energy. J. Solid Waste Technol. Manag. 2002, 28, 51–59. [Google Scholar]
- Nabi, M.N.; Rasul, M.G.; Anwar, M.; Mullins, B.J. Energy, exergy, performance, emission and combustion characteristics of diesel engine using new series of non-edible biodiesels. Renew. Energy 2019, 140, 647–657. [Google Scholar] [CrossRef]
- Aydin, H.; Bayindir, H. Performance and emission analysis of cottonseed oil methyl ester in a diesel engine. Renew. Energy 2010, 35, 588–592. [Google Scholar] [CrossRef]
- Ağbulut, Ü.; Sarıdemir, S.; Karagöz, M. Experimental investigation of fusel oil (isoamyl alcohol) and diesel blends in a CI engine. Fuel 2020, 267, 117042. [Google Scholar] [CrossRef]
- Rahman, M.; Rasul, M.G.; Hassan, N.M.S.; Azad, A.K.; Uddin, M. Effect of small proportion of butanol additive on the performance, emission, and combustion of Australian native first-and second-generation biodiesel in a diesel engine. Environ. Sci. Pollut. Res. 2017, 24, 22402–22413. [Google Scholar] [CrossRef] [PubMed]
- Bhuiya, M.; Rasul, M.; Khan, M.; Ashwath, N. Performance and Emission Characteristics of Binary Mixture of Poppy and Waste Cooking Biodiesel. Energy Procedia 2017, 110, 523–528. [Google Scholar] [CrossRef]
- Anwar, M.; Rasul, M.G.; Ashwath, N. A Systematic Multivariate Analysis of Carica papaya Biodiesel Blends and Their Interactive Effect on Performance. Energies 2018, 11, 2931. [Google Scholar] [CrossRef] [Green Version]
- Carraretto, C.; Macor, A.; Mirandola, A.; Stoppato, A.; Tonon, S. Biodiesel as alternative fuel: Experimental analysis and energetic evaluations. Energy 2004, 29, 2195–2211. [Google Scholar] [CrossRef]
- Liaquat, A.M.; Masjuki, H.H.; Kalam, M.A.; Varman, M.; Hazrat, M.A.; Shahabuddin, M.; Mofijur, M. Application of blend fuels in a diesel engine. Energy Procedia 2012, 14, 1124–1133. [Google Scholar] [CrossRef]
- Sajjad, H.; Masjuki, H.H.; Varman, M.; Kalam, M.A.; Arbab, M.I.; Imtenan, S.; Ashraful, A.M. Influence of gas-to-liquid (GTL) fuel in the blends of calophyllum inophyllum biodiesel and diesel: An analysis of combustion–performance–emission characteristics. Energy Convers. Manag. 2015, 97, 42–52. [Google Scholar] [CrossRef]
- Channapattana, S.; Kantharaj, C.; Shinde, V.; Pawar, A.A.; Kamble, P.G. Emissions and performance evaluation of DI CI-VCR engine fuelled with honne oil methyl ester/diesel blends. Energy Procedia 2015, 74, 281–288. [Google Scholar] [CrossRef]
- Ong, H.C.; Masjuki, H.; Mahlia, T.; Silitonga, A.; Chong, W.; Leong, K. Optimization of biodiesel production and engine performance from high free fatty acid Calophyllum inophyllum oil in CI diesel engine. Energy Convers. Manag. 2014, 81, 30–40. [Google Scholar] [CrossRef]
- Imdadul, H.; Masjuki, H.; Kalam, M.; Zulkifli, N.; Alabdulkarem, A.; Rashed, M.; Teoh, Y.; How, H. Higher alcohol–biodiesel–diesel blends: An approach for improving the performance, emission, and combustion of a light-duty diesel engine. Energy Convers. Manag. 2016, 111, 174–185. [Google Scholar] [CrossRef]
- Mofijur, M.; Masjuki, H.H.; Kalam, M.A.; Atabani, A.E. Evaluation of biodiesel blending, engine performance and emissions characteristics of Jatropha curcas methyl ester: Malaysian perspective. Energy 2013, 55, 879–887. [Google Scholar] [CrossRef]
- Anwar, M.; Rasul, M.; Ashwath, N. Combustion characteristics of an agricultural diesel engine fuelled with papaya and stone fruit biodiesel: A comparison. In Proceedings of the 2019 IEEE 2nd International Conference on Renewable Energy and Power Engineering (REPE), Toronto, Canada, 2–4 November 2019; pp. 26–31. [Google Scholar]
- Silitonga, A.; Masjuki, H.; Mahlia, T.; Ong, H.C.; Chong, W. Experimental study on performance and exhaust emissions of a diesel engine fuelled with Ceiba pentandra biodiesel blends. Energy Convers. Manag. 2013, 76, 828–836. [Google Scholar] [CrossRef]
- Ong, H.C.; Masjuki, H.; Mahlia, T.I.; Silitonga, A.; Chong, W.; Yusaf, T. Engine performance and emissions using Jatropha curcas, Ceiba pentandra and Calophyllum inophyllum biodiesel in a CI diesel engine. Energy 2014, 69, 427–445. [Google Scholar] [CrossRef]
- Tesfa, B.; Mishra, R.; Zhang, C.; Gu, F.; Ball, A. Combustion and performance characteristics of CI (compression ignition) engine running with biodiesel. Energy 2013, 51, 101–115. [Google Scholar] [CrossRef] [Green Version]
- Qi, D.H.; Chen, H.; Geng, L.M.; Bian, Y.Z. Experimental studies on the combustion characteristics and performance of a direct injection engine fueled with biodiesel/diesel blends. Energy Convers. Manag. 2010, 51, 2985–2992. [Google Scholar] [CrossRef]
- Anwar, M.; Rasul, M.G.; Ashwath, N. The synergistic effects of oxygenated additives on papaya biodiesel binary and ternary blends. Fuel 2019, 256, 115980. [Google Scholar] [CrossRef]
- Lyn, W.; Valdmanis, E. The Effects of Physical Factors on Ignition Delay; 0148-7191; SAE Technical Paper; SAE International: Warrendale, PA, USA, 1968. [Google Scholar]
- Sahoo, P.; Naik, S.; Das, L. Studies on biodiesel production technology from jatropha curcas and its performance in a CI engine. J. Agric. Eng. 2005, 42, 14–20. [Google Scholar]
- Shaafi, T.; Velraj, R. Influence of alumina nanoparticles, ethanol and isopropanol blend as additive with diesel–soybean biodiesel blend fuel: Combustion, engine performance and emissions. Renew. Energy 2015, 80, 655–663. [Google Scholar] [CrossRef]
- Mofijur, M.; Rasul, M.G.; Hyde, J. Recent developments on internal combustion engine performance and emissions fuelled with biodiesel-diesel-ethanol blends. Procedia Eng. 2015, 105, 658–664. [Google Scholar] [CrossRef]
- Buyukkaya, E. Effects of biodiesel on a DI diesel engine performance, emission and combustion characteristics. Fuel 2010, 89, 3099–3105. [Google Scholar] [CrossRef]
- Xing-Cai, L.; Jian-Guang, Y.; Wu-Gao, Z.; Zhen, H. Effect of cetane number improver on heat release rate and emissions of high speed diesel engine fueled with ethanol–diesel blend fuel. Fuel 2004, 83, 2013–2020. [Google Scholar] [CrossRef]
- Gumus, M.; Kasifoglu, S. Performance and emission evaluation of a compression ignition engine using a biodiesel (apricot seed kernel oil methyl ester) and its blends with diesel fuel. Biomass Bioenergy 2010, 34, 134–139. [Google Scholar] [CrossRef]
- Koçak, M.S.; Ileri, E.; Utlu, Z. Experimental study of emission parameters of biodiesel fuels obtained from canola, hazelnut, and waste cooking oils. Energy Fuels 2007, 21, 3622–3626. [Google Scholar] [CrossRef]
- Tse, H.; Leung, C.W.; Cheung, C.S. Investigation on the combustion characteristics and particulate emissions from a diesel engine fueled with diesel-biodiesel-ethanol blends. Energy 2015, 83, 343–350. [Google Scholar] [CrossRef]
- Godiganur, S.; Suryanarayana Murthy, C.; Reddy, R.P. Performance and emission characteristics of a Kirloskar HA394 diesel engine operated on fish oil methyl esters. Renew. Energy 2010, 35, 355–359. [Google Scholar] [CrossRef]
- Sharma, N.; Agarwal, A.K. Effect of fuel injection pressure and engine speed on performance, emissions, combustion, and particulate investigations of gasohols fuelled gasoline direct injection engine. J. Energy Resour. Technol. 2020, 142, 042201. [Google Scholar] [CrossRef]
- Murugesan, P.; Hoang, A.T.; Venkatesan, E.P.; Kumar, D.S.; Balasubramanian, D.; Le, A.T. Role of hydrogen in improving performance and emission characteristics of homogeneous charge compression ignition engine fueled with graphite oxide nanoparticle-added microalgae biodiesel/diesel blends. Int. J. Hydrog. Energy 2021, in press. [Google Scholar] [CrossRef]
- Rajak, U.; Ağbulut, Ü.; Veza, I.; Dasore, A.; Sarıdemir, S.; Verma, T.N. Numerical and experimental investigation of CI engine behaviours supported by zinc oxide nanomaterial along with diesel fuel. Energy 2022, 239, 122424. [Google Scholar] [CrossRef]
- Bakar, R.A.; Widudo; Kadirgama, K.; Ramasamy, D.; Yusaf, T.; Kamarulzaman, M.K.; Sivaraos; Aslfattahi, N.; Samylingam, L.; Alwayzy, S.H. Experimental analysis on the performance, combustion/emission characteristics of a DI diesel engine using hydrogen in dual fuel mode. Int. J. Hydrog. Energy 2022. [Google Scholar] [CrossRef]
- Zhang, Z.; Lv, J.; Xie, G.; Wang, S.; Ye, Y.; Huang, G.; Tan, D. Effect of assisted hydrogen on combustion and emission characteristics of a diesel engine fueled with biodiesel. Energy 2022, 254, 124269. [Google Scholar] [CrossRef]
- Anish, M.; Bency, P.; Jayaprabakar, J.; Joy, N.; Jayaprakash, V.; Sahaya Susmi, S.K.; Aravind Kumar, J.; Ansar, S.; Rezania, S. An evaluation of biosynthesized nanoparticles in biodiesel as an enhancement of a VCR diesel engine. Fuel 2022, 328, 125299. [Google Scholar] [CrossRef]
- Zhang, X.; Yang, R.; Anburajan, P.; Le, Q.V.; Alsehli, M.; Xia, C.; Brindhadevi, K. Assessment of hydrogen and nanoparticles blended biodiesel on the diesel engine performance and emission characteristics. Fuel 2022, 307, 121780. [Google Scholar] [CrossRef]
- Devaraj, A.; Nagappan, M.; Yogaraj, D.; Prakash, O.; Rao, Y.A.; Sharma, A. Influence of nano-additives on engine behaviour using diesel-biodiesel blend. Mater. Today Proc. 2022, 62, 2266–2270. [Google Scholar] [CrossRef]
- Abdallah, A.M.; Abdel-Rahman, A.A.; Elwardany, A.E. Analysis of the impact of different nanoparticle metal oxides as fuel additives in compression ignition engine performance. Energy Rep. 2020, 6, 99–105. [Google Scholar] [CrossRef]
- Dinesha, P.; Kumar, S.; Rosen, M.A. Effects of particle size of cerium oxide nanoparticles on the combustion behavior and exhaust emissions of a diesel engine powered by biodiesel/diesel blend. Biofuel Res. J. 2021, 8, 1374. [Google Scholar] [CrossRef]
- Kegl, T.; Kovač Kralj, A.; Kegl, B.; Kegl, M. Nanomaterials as fuel additives in diesel engines: A review of current state, opportunities, and challenges. Prog. Energy Combust. Sci. 2021, 83, 100897. [Google Scholar] [CrossRef]
- Kumar, S.; Dinesha, P.; Ajay, C.M.; Kabbur, P. Combined effect of oxygenated liquid and metal oxide nanoparticle fuel additives on the combustion characteristics of a biodiesel engine operated with higher blend percentages. Energy 2020, 197, 117194. [Google Scholar] [CrossRef]
- Atarod, P.; Khlaife, E.; Aghbashlo, M.; Tabatabaei, M.; Hoang, A.T.; Mobli, H.; Nadian, M.H.; Hosseinzadeh-Bandbafha, H.; Mohammadi, P.; Roodbar Shojaei, T.; et al. Soft computing-based modeling and emission control/reduction of a diesel engine fueled with carbon nanoparticle-dosed water/diesel emulsion fuel. J. Hazard. Mater. 2021, 407, 124369. [Google Scholar] [CrossRef] [PubMed]












| Feedstocks | Jojoba Blends | Findings | Ref. Articles |
|---|---|---|---|
| Jojoba (JB) blends with standard diesel | JB5, JB20 |
| [17,18,19] |
| JB5, JB10, JB20 |
| [21] | |
| JB5, JB10, JB15, JB20 |
| [42,43] | |
| JB5, JB10, JB15, JB20 |
| [44,45,46] | |
| JB5, JB10, JB15, JB20 |
| [47,48] |
| Operation Parameters | Boundary Conditions |
|---|---|
| Fuel injection timing | 16 deg. BTDC |
| Injection pressure (MPa) | 13.73 |
| IVO | 17 deg. BTDC |
| IVC | 63 deg. ABDC |
| EVO | 51 deg. BTDC |
| EVC | 28 deg. ATDC |
| Inlet manifold temperature | 80 °C |
| Items | Specifications |
|---|---|
| Engine model | Kubota V3300 |
| Total displacement (L) | 3.318 |
| Stroke (S) | 98 mm |
| Bore (B) | 110 mm |
| Connecting rod length | 170 mm |
| Combustion system | E-TVCS |
| Rated power output (kW/rpm) | 50.7/2600 |
| Rated torque (Nm/rpm) | 230/1400 |
| Compression ratio (CR) | 22.6:1 |
| Parameters | Measurement Accuracy | Uncertainty (%) |
|---|---|---|
| Fuel flow | ±0.031 (L/h) | ±0.38 |
| Temperature | ±1.1 °C | ±0.20 |
| Engine speed | ±2.0 rpm | ±0.15 |
| BP | ±0.031 kW | ±0.14 |
| Torque | ±5.01 N/m | ±0.06 |
| BSFC | ±4.05 g/kWh | ±2.02 |
| BTE | ±4.02% | ±1.91 |
| Properties | Method/Standard | Diesel | JB5 | JB10 | JB20 |
|---|---|---|---|---|---|
| Density (kg/m3) | ASTM D4052 | 832 | 833.4 | 834.5 | 836.2 |
| Kinematic viscosity (mm2/s) | ASTM D445 | 3.32 | 3.95 | 4.02 | 4.10 |
| Acid value (mg KOH/g) | ASTM D664 | 0.05 | 0.17 | 0.18 | 0.20 |
| Calorific value (MJ/kg) | EN 14213 | 45.66 | 42.2 | 41.4 | 40.5 |
| Oxidation stability (h) | EN 14112 | 39 | 27 | 24 | 20 |
| Cetane number | ASTM D6890 | 48 | 53.3 | 62.6 | 71.4 |
| Parameters | Min. Error | Load (%) | Speed (rpm) | Fuel Type | Max. Error | Load (%) | Speed (rpm) | Fuel Type |
|---|---|---|---|---|---|---|---|---|
| BP | 3.7% | 100 | 2000 | D100 | 15.3% | 25 | 2400 | JB10 |
| Torque | 4.7% | 100 | 1600 | JB5 | 19.2% | 25 | 1200 | JB10 |
| BTE | 3.4% | 100 | 2000 | D100 | 18.3% | 25 | 1200 | JB10 |
| BSFC | 4.2% | 100 | 1400 | D100 | 15.7% | 25 | 1200 | JB20 |
Publisher’s Note: MDPI stays neutral with regard to jurisdictional claims in published maps and institutional affiliations. |
© 2022 by the authors. Licensee MDPI, Basel, Switzerland. This article is an open access article distributed under the terms and conditions of the Creative Commons Attribution (CC BY) license (https://creativecommons.org/licenses/by/4.0/).
Share and Cite
Mustayen, A.G.M.B.; Rasul, M.G.; Wang, X.; Bhuiya, M.M.K.; Negnevitsky, M.; Hamilton, J. Theoretical and Experimental Analysis of Engine Performance and Emissions Fuelled with Jojoba Biodiesel. Energies 2022, 15, 6282. https://doi.org/10.3390/en15176282
Mustayen AGMB, Rasul MG, Wang X, Bhuiya MMK, Negnevitsky M, Hamilton J. Theoretical and Experimental Analysis of Engine Performance and Emissions Fuelled with Jojoba Biodiesel. Energies. 2022; 15(17):6282. https://doi.org/10.3390/en15176282
Chicago/Turabian StyleMustayen, A. G. M. B., M. G. Rasul, Xiaolin Wang, M. M. K. Bhuiya, Michael Negnevitsky, and James Hamilton. 2022. "Theoretical and Experimental Analysis of Engine Performance and Emissions Fuelled with Jojoba Biodiesel" Energies 15, no. 17: 6282. https://doi.org/10.3390/en15176282
APA StyleMustayen, A. G. M. B., Rasul, M. G., Wang, X., Bhuiya, M. M. K., Negnevitsky, M., & Hamilton, J. (2022). Theoretical and Experimental Analysis of Engine Performance and Emissions Fuelled with Jojoba Biodiesel. Energies, 15(17), 6282. https://doi.org/10.3390/en15176282

