The Use of Aminated Wheat Straw for Reactive Black 5 Dye Removal from Aqueous Solutions as a Potential Method of Biomass Valorization
Abstract
1. Introduction
2. Materials
2.1. Wheat Straw
2.2. Reactive Black 5 Dye
2.3. Chemical Reagents
- -
- Sulfuric acid VI (H2SO4) > 96.0%—(diluted—for straw cleaning);
- -
- Hydrochloric acid (HCl)—37%—(diluted—to correct the pH of dye solutions);
- -
- Sodium hydroxide (NaOH) > 99.9% (microgranules)—(in a solution form—for straw cleaning and for correction of pH of solutions);
- -
- Ammonia (NH3·H2O)—25%—(for amination of straw-based sorbent);
- -
- Epichlorohydrin (C3H5ClO) > 99.0%—(for modification/activation of straw-based sorbent).
2.4. Laboratory Equipment
- -
- Laboratory grinder Microfine MF-2 (CONBEST, Kraków, Poland)—(for crushing the wheat straw);
- -
- Water bath shaker type 357 (Elpin-Plus, Lubawa, Poland)—(for modification/activation of wheat straw with epichlorohydrin);
- -
- HI 110 pH meter (HANNA Instruments, Olsztyn, Poland)—(for the measurement and correction of solutions pH);
- -
- Laboratory shaker SK-71 (JEIO TECH, Daejeon, Korea)—(for the process of sorption);
- -
- UV-3100 PC spectrophotometer (VWR spectrophotometers, VWR International LLC., Mississauga, ON, Canada)—(for determining the concentration of dye in solutions);
- -
- FT/IR-4700LE FT-IR Spectrometer with single reflection ATR attachment (JASCO International, Tokyo, Japan)—(for preparing sorbent’s FTIR spectra);
- -
- FLASH 2000 analyzer (Thermo Scientific, Waltham, MA, USA)—(for elemental analysis, and for measurement of carbon and nitrogen contents).
3. Methods
3.1. Preparation of the Sorbent form Unmodified Wheat Straw (WS)
3.2. Preparation of Aminated Wheat Straw (WS-A)
3.3. Preparation of Wheat Straw Modified with Epichlorohydrin (WS-E)
3.4. Preparation of Aminated Wheat Straw, Pre-Activated with Epichlorohydrin (WS-EA)
3.5. Research on the Influence of pH on the Sorption Efficiency of RB5
3.6. Research on the Kinetics of RB5 Dye Sorption
3.7. Research on the Maximum Sorption Capacity
3.8. Calculation Methods
- QS—mass of sorbed dye [mg/g DM]
- C0—initial concentration of dye [mg/L]
- CS—concentration of dye after sorption [mg/L]
- V—volume of the solution [L]
- m—mass of the sorbent [g DM].
- q—instantaneous value of sorbed dye [mg/g DM]
- qe—the amount of dye sorbed at equilibrium state [mg/g DM]
- t—time of sorption [min]
- k1—pseudo-first order adsorption rate constant [1/min]
- k2—pseudo-second order adsorption rate constant [g/(mg·min)]
- kid—intramolecular diffusion model adsorption rate constant [mg/(g·min0.5)].
- QS—mass of sorbed dye [mg/g DM];
- Qmax—maximum sorption capacity in Langmuir equation [mg/g DM];
- b1—maximum sorption capacity of sorbent (type I active sites) [mg/g DM];
- b2—maximum sorption capacity of sorbent (type II active sites) [mg/g DM];
- KC—constant in Langmuir equation [L/mg];
- K1,K2—constants in Langmuir 2 equation [L/mg];
- K—the equilibrium sorption constant in Freundlich model;
- n—Freundlich equilibrium constant;
- C—concentration of the dye remaining in the solution [mg/L].
4. Results and Discussion
4.1. The FTIR Spectra Analysis and C/N Analysis of Tested Sorbents
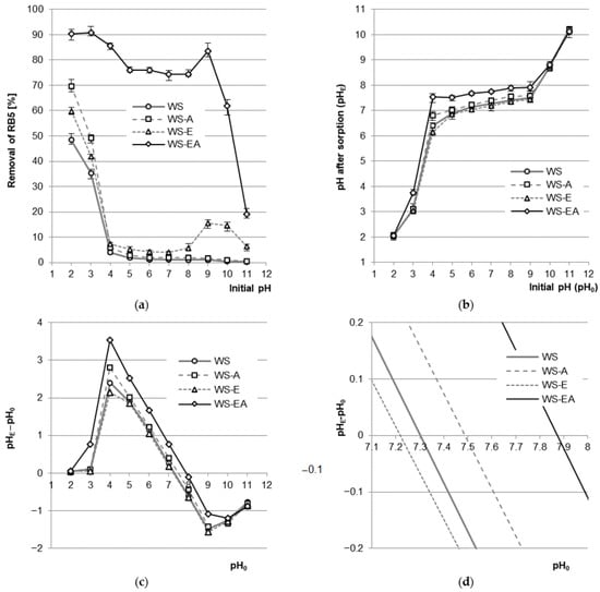
4.2. Influence of pH on the RB5 Sorption Effectiveness
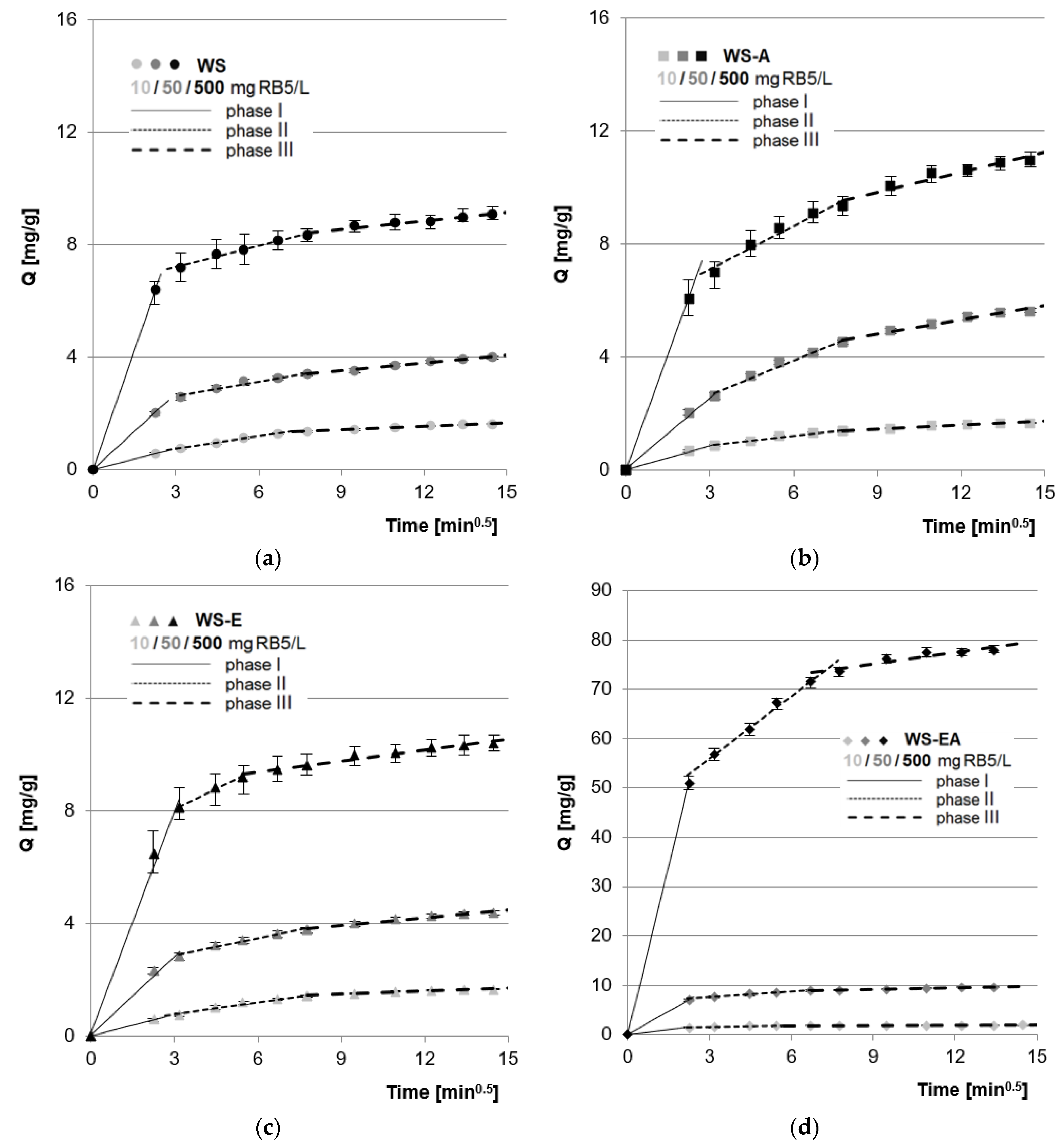
4.3. Kinetics of RB5 Sorption
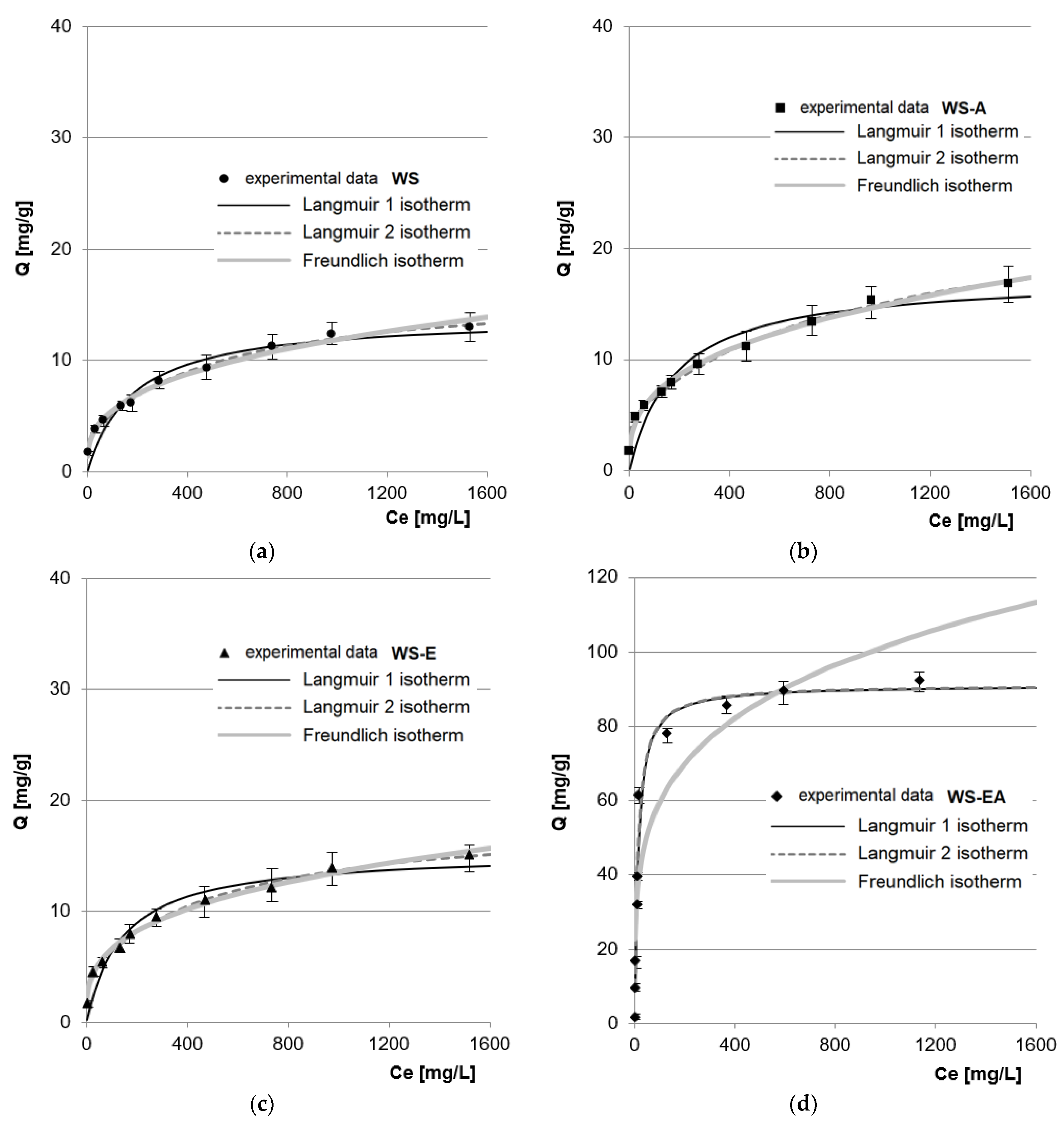
4.4. Maximum Sorption Capacity
5. Conclusions
Author Contributions
Funding
Institutional Review Board Statement
Informed Consent Statement
Data Availability Statement
Conflicts of Interest
References
- Pafcuga, M.; Holubcik, M.; Durcansky, P.; Kapjor, A.; Malcho, M. Small heat source used for combustion of wheat-straw pellets. Appl. Sci. 2021, 11, 5239. [Google Scholar] [CrossRef]
- Qi, J.; Liu, L.; Wu, J. Improving combustion technology for cooking activities for pollutant emission reduction and carbon neutrality. Atmosphere 2022, 13, 561. [Google Scholar] [CrossRef]
- Priscak, J.; Fürsatz, K.; Kuba, M.; Skoglund, N.; Benedikt, F.; Hofbauer, H. Investigation of the formation of coherent ash residues during fluidized bed gasification of wheat straw lignin. Energies 2020, 13, 3935. [Google Scholar] [CrossRef]
- Lucantonio, S.; Di Giuliano, A.; Gallucci, K. Influences of the pretreatments of residual biomass on gasification processes: Experimental devolatilizations study in a fluidized bed. Appl. Sci. 2021, 11, 5722. [Google Scholar] [CrossRef]
- Sieradzka, M.; Kirczuk, C.; Kalemba-Rec, I.; Mlonka-Mędrala, A.; Magdziarz, A. Pyrolysis of biomass wastes into carbon materials. Energies 2022, 15, 1941. [Google Scholar] [CrossRef]
- Chojnacki, J.; Kielar, J.; Kukiełka, L.; Najser, T.; Pachuta, A.; Berner, B.; Zdanowicz, A.; Frantík, J.; Najser, J.; Peer, V. Batch pyrolysis and co-pyrolysis of beet pulp and wheat straw. Materials 2022, 15, 1230. [Google Scholar] [CrossRef]
- Zborowska, M.; Harun, S.N.; Hanafiah, M.M.; Noor, N.M. Rice straw utilisation for bioenergy production: A brief overview. Energies 2022, 15, 5542. [Google Scholar] [CrossRef]
- Marks-Bielska, R.; Bielski, S.; Novikova, A.; Romaneckas, K. Straw stocks as a source of renewable energy. A case study of a district in Poland. Sustainability 2019, 11, 4714. [Google Scholar] [CrossRef]
- Vasić, K.; Knez, Ž.; Leitgeb, M. Bioethanol production by enzymatic hydrolysis from different lignocellulosic sources. Molecules 2021, 26, 753. [Google Scholar] [CrossRef]
- Dębowski, M.; Dudek, M.; Zieliński, M.; Nowicka, A.; Kazimierowicz, J. Microalgal hydrogen production in relation to other biomass-based technologies—A review. Energies 2021, 14, 6025. [Google Scholar] [CrossRef]
- Kabaivanova, L.; Hubenov, V.; Dimitrova, L.; Simeonov, I.; Wang, H.; Petrova, P. Archaeal and bacterial content in a two-stage anaerobic system for efficient energy production from agricultural wastes. Molecules 2022, 27, 1512. [Google Scholar] [CrossRef]
- Zieliński, M.; Dębowski, M.; Kazimierowicz, J. The effect of electromagnetic microwave radiation on methane fermentation of selected energy crop species. Processes 2021, 10, 45. [Google Scholar] [CrossRef]
- Ouahabi, Y.; Bensadok, K.; Ouahabi, A. Optimization of the biomethane production process by anaerobic digestion of wheat straw using chemical pretreatments coupled with ultrasonic disintegration. Sustainability 2021, 13, 7202. [Google Scholar] [CrossRef]
- Zieliński, M.; Kisielewska, M.; Dudek, M.; Rusanowska, P.; Nowicka, A.; Krzemieniewski, M.; Kazimierowicz, J.; Dębowski, M. Comparison of microwave thermohydrolysis and liquid hot water pretreatment of energy crop Sida hermaphrodita for enhanced methane production. Biomass Bioenergy 2019, 128, 105324. [Google Scholar] [CrossRef]
- Kaldis, F.; Cysneiros, D.; Day, J.; Karatzas, K.-A.G.; Chatzifragkou, A. Anaerobic digestion of steam-exploded wheat straw and co-digestion strategies for enhanced biogas production. Appl. Sci. 2020, 10, 8284. [Google Scholar] [CrossRef]
- Duque-Acevedo, M.; Belmonte-Ureña, L.J.; Yakovleva, N.; Camacho-Ferre, F. Analysis of the circular economic production models and their approach in agriculture and agricultural waste biomass management. Int. J. Environ. Res. Public Health 2020, 17, 9549. [Google Scholar] [CrossRef]
- Kazimierowicz, J.; Dzienis, L.; Dębowski, M.; Zieliński, M. Optimisation of methane fermentation as a valorisation method for food waste products. Biomass-Bioenergy 2020, 144, 105913. [Google Scholar] [CrossRef]
- Matrawy, A.A.; Khalil, A.I.; Marey, H.S.; Embaby, A.M. Use of wheat straw for value-added product xylanase by Penicillium chrysogenum strain A3 DSM105774. J. Fungi 2021, 7, 696. [Google Scholar] [CrossRef]
- Kadhom, M.; Albayati, N.; Alalwan, H.; Al-Furaiji, M. Removal of dyes by agricultural waste. Sustain. Chem. Pharm. 2020, 16, 100259. [Google Scholar] [CrossRef]
- Singh, H.; Chauhan, G.; Jain, A.K.; Sharma, S. Adsorptive potential of agricultural wastes for removal of dyes from aqueous solutions. J. Environ. Chem. Eng. 2017, 5, 122–135. [Google Scholar] [CrossRef]
- Bharathi, K.S.; Ramesh, S.T. Removal of dyes using agricultural waste as low-cost adsorbents: A review. Appl. Water Sci. 2013, 3, 773–790. [Google Scholar] [CrossRef]
- Liu, Z.; Alam Khan, T.; Islam, A.; Tabrez, U. A review on the treatment of dyes in printing and dyeing wastewater by plant biomass carbon. Bioresour. Technol. 2022, 354, 127168. [Google Scholar] [CrossRef]
- Papić, S.; Koprivanac, N.; Lončarić Božić, A.; Meteš, A. Removal of some reactive dyes from synthetic wastewater by combined Al(III) coagulation/carbon adsorption process. Dye. Pigment. 2004, 62, 291–298. [Google Scholar] [CrossRef]
- Yousefi, N.; Fatehizadeh, A.; Azizi, E.; Ahmadian, M.; Rajabizadeh, A.; Toolabi, A. Adsorption of reactive black 5 dye onto modified wheat straw: Isotherm and kinetics study. Mater. Sci. 2011, 1, 81–91. [Google Scholar]
- Zhang, W.; Li, H.; Kan, X.; Dong, L.; Yan, H.; Jiang, Z.; Yang, H.; Li, A.; Cheng, R. Adsorption of anionic dyes from aqueous solutions using chemically modified straw. Bioresour. Technol. 2012, 117, 40–47. [Google Scholar] [CrossRef]
- Jóźwiak, T.; Filipkowska, U.; Brym, S.; Kopeć, L. Use of aminated hulls of sunflower seeds for the removal of anionic dyes from aqueous solutions. Int. J. Environ. Sci. Technol. 2019, 17, 1211–1224. [Google Scholar] [CrossRef]
- Gao, P.; Chen, D.; Chen, W.; Sun, J.; Wang, G.; Zhou, L. Facile synthesis of amine-crosslinked starch as an efficient biosorbent for adsorptive removal of anionic organic pollutants from water. Int. J. Biol. Macromol. 2021, 191, 1240–1248. [Google Scholar] [CrossRef]
- Liu, M.; Zheng, J.; Wang, L.; Hu, Z.; Lan, S.; Rao, W.; Liu, Y.; Xie, Y.; Yu, C. Ultrafast and selective adsorption of anionic dyes with amine-functionalized glucose-based adsorbents. J. Mol. Struct. 2022, 1263, 133150. [Google Scholar] [CrossRef]
- Song, Y.; Tan, J.; Wang, G.; Zhou, L. Superior amine-rich gel adsorbent from peach gum polysaccharide for highly efficient removal of anionic dyes. Carbohydr. Polym. 2018, 199, 178–185. [Google Scholar] [CrossRef]
- Zeng, S.; Long, J.; Sun, J.; Wang, G.; Zhou, L. A review on peach gum polysaccharide: Hydrolysis, structure, properties and applications. Carbohydr. Polym. 2022, 279, 119015. [Google Scholar] [CrossRef]
- Jóźwiak, T.; Filipkowska, U.; Brym, S.; Zyśk, M. The use of aminated cotton fibers as an unconventional sorbent to remove anionic dyes from aqueous solutions. Cellulose 2020, 27, 3957–3969. [Google Scholar] [CrossRef]
- Bakker, R.; Elbersen, W.; Poppens, R.; Lesschen, P. Rice straw and wheat straw—Potential feedstocks for the biobased economy. NL Agency 2013, 1–30. [Google Scholar]
- Poszytek, K. Microbial cellulose utilization. Postępy Mikrobiol. 2016, 55, 132–146. [Google Scholar]
- Wahyono, T.; Astuti, D.A.; Wiryawan, I.K.G.; Sugoro, I.; Jayanegara, A. Fourier Transform Mid-Infrared (FTIR) spectroscopy to identify tannin compounds in the panicle of sorghum mutant lines. IOP Conf. Ser. Mater. Sci. Eng. 2019, 546, 042045. [Google Scholar] [CrossRef]
- Obeidat, S.M.; Hammoudeh, A.Y.; Alomary, A.A. Application of FTIR spectroscopy for assessment of green coffee beans according to their origin. J. Appl. Spectrosc. 2018, 84, 1051–1055. [Google Scholar] [CrossRef]
- Li, X.; Zhou, R.; Xu, K.; Xu, J.; Jin, J.; Fang, H.; He, Y. Rapid Determination of chlorophyll and pheophytin in green tea using fourier transform infrared spectroscopy. Molecules 2018, 23, 1010. [Google Scholar] [CrossRef] [PubMed]
- Deng, Z.; Xia, A.; Liao, Q.; Zhu, X.; Huang, Y.; Fu, Q. Laccase pretreatment of wheat straw: Effects of the physicochemical characteristics and the kinetics of enzymatic hydrolysis. Biotechnol. Biofuels 2019, 12, 159. [Google Scholar] [CrossRef]
- Zhuang, J.; Li, M.; Pu, Y.; Ragauskas, A.J.; Yoo, C.G. Observation of potential contaminants in processed biomass using fourier transform infrared spectroscopy. Appl. Sci. 2020, 10, 4345. [Google Scholar] [CrossRef]
- Nandiyanto, A.B.D.; Oktiani, R.; Ragadhita, R. How to read and interpret FTIR spectroscope of organic material. Indones. J. Sci. Technol. 2019, 4, 97–118. [Google Scholar] [CrossRef]
- Subbaiah, M.V.; Kim, D.-S. Adsorption of methyl orange from aqueous solution by aminated pumpkin seed powder: Kinetics, isotherms, and thermodynamic studies. Ecotoxicol. Environ. Saf. 2016, 128, 109–117. [Google Scholar] [CrossRef]
- Alhujaily, A.; Yu, H.; Zhang, X.; Ma, F. Adsorptive removal of anionic dyes from aqueous solutions using spent mushroom waste. Appl. Water Sci. 2020, 10, 183. [Google Scholar] [CrossRef]
- Li, B.; Wang, Q.; Guo, J.-Z.; Huan, W.-W.; Liu, L. Sorption of methyl orange from aqueous solution by protonated amine modified hydrochar. Bioresour. Technol. 2018, 268, 454–459. [Google Scholar] [CrossRef] [PubMed]
- Fernández, R.; D’Arlas, B.F.; Oyanguren, P.A.; Mondragon, I. Kinetic studies of the polymerization of an epoxy resin modified with rhodamine B. Thermochim. Acta 2009, 493, 6–13. [Google Scholar] [CrossRef]
- Jóźwiak, T.; Filipkowska, U.; Kowalkowska, A.; Struk-Sokołowska, J.; Werbowy, D. The influence of amination of sorbent based on buckwheat (Fagopyrum esculentum) husks on the sorption effectiveness of Reactive Black 5 dye. J. Environ. Chem. Eng. 2021, 9, 105092. [Google Scholar] [CrossRef]
- Yaseen, D.A.; Scholz, M. Textile dye wastewater characteristics and constituents of synthetic effluents: A critical review. Int. J. Environ. Sci. Technol. 2019, 16, 1193–1226. [Google Scholar] [CrossRef]
- Osma, J.F.; Saravia, V.; Toca-Herrera, J.L.; Couto, S.R. Sunflower seed shells: A novel and effective low-cost adsorbent for the removal of the diazo dye Reactive Black 5 from aqueous solutions. J. Hazard. Mater. 2007, 147, 900–905. [Google Scholar] [CrossRef]
- Greluk, M.; Hubicki, Z. Kinetics, isotherm and thermodynamic studies of Reactive Black 5 removal by acid acrylic resins. Chem. Eng. J. 2010, 162, 919–926. [Google Scholar] [CrossRef]
- Ribas, M.C.; Adebayo, M.A.; Prola, L.D.T.; Lima, E.C.; Cataluña, R.; Feris, L.A.; Puchana-Rosero, M.J.; Machado, F.M.; Pavan, F.A.; Calvete, T. Comparison of a homemade cocoa shell activated carbon with commercial activated carbon for the removal of reactive violet 5 dye from aqueous solutions. Chem. Eng. J. 2014, 248, 315–326. [Google Scholar] [CrossRef]
- Rawat, A.P.; Kumar, V.; Singh, D.P. A combined effect of adsorption and reduction potential of biochar derived from Mentha plant waste on removal of methylene blue dye from aqueous solution. Sep. Sci. Technol. 2020, 55, 907–921. [Google Scholar] [CrossRef]
- Ngaha, M.C.D.; Djemmoe, L.G.; Njanja, E.; Kenfack, I.T.; Ngaha, M.C.D.; Djemmoe, L.G.; Njanja, E.; Kenfack, I.T. Biosorption isotherms and kinetics studies for the removal of 2,6-Dichlorophenolindophenol using palm tree trunk (Elaeis guineensis). J. Encapsulation Adsorpt. Sci. 2018, 08, 156–177. [Google Scholar] [CrossRef]
- Dotto, G.L.; Pinto, L.A.A. Adsorption of food dyes onto chitosan: Optimization process and kinetic. Carbohydr. Polym. 2011, 84, 231–238. [Google Scholar] [CrossRef]
- Suteu, D.; Zaharia, C.; Badeanu, M. Kinetic modeling of dye sorption from aqueous solutions onto apple seed powder. Cellul. Chem. Technol. 2016, 50, 1085–1091. [Google Scholar]
- Gómez, V.; Larrechi, M.S.; Callao, M.P. Kinetic and adsorption study of acid dye removal using activated carbon. Chemosphere 2007, 69, 1151–1158. [Google Scholar] [CrossRef] [PubMed]
- Cheung, W.H.; Szeto, Y.S.; McKay, G. Intraparticle diffusion processes during acid dye adsorption onto chitosan. Bioresour. Technol. 2007, 98, 2897–2904. [Google Scholar] [CrossRef] [PubMed]
- Nabil, G.M.; El-Mallah, N.M.; Mahmoud, M.E. Enhanced decolorization of reactive black 5 dye by active carbon sorbent-immobilized-cationic surfactant (AC-CS). J. Ind. Eng. Chem. 2014, 20, 994–1002. [Google Scholar] [CrossRef]
- Eren, Z.; Acar, F.N. Adsorption of Reactive Black 5 from an aqueous solution: Equilibrium and kinetic studies. Desalination 2006, 194, 1–10. [Google Scholar] [CrossRef]
- Ahmad, A.A.; Hameed, B.H. Fixed-bed adsorption of reactive azo dye onto granular activated carbon prepared from waste. J. Hazard. Mater. 2010, 175, 298–303. [Google Scholar] [CrossRef]
- Güzel, F.; Sayğılı, H.; Sayğılı, G.A.; Koyuncu, F. New low-cost nanoporous carbonaceous adsorbent developed from carob (Ceratonia siliqua) processing industry waste for the adsorption of anionic textile dye: Characterization, equilibrium and kinetic modeling. J. Mol. Liq. 2015, 206, 244–255. [Google Scholar] [CrossRef]
- Hamzeh, Y.; Ashori, A.; Azadeh, E.; Abdulkhani, A. Removal of acid orange 7 and Remazol black 5 reactive dyes from aqueous solutions using a novel biosorbent. Mater. Sci. Eng. C 2012, 32, 1394–1400. [Google Scholar] [CrossRef]
- Munagapati, V.S.; Yarramuthi, V.; Kim, Y.; Lee, K.M.; Kim, D.-S. Removal of anionic dyes (reactive black 5 and Congo red) from aqueous solutions using Banana Peel Powder as an adsorbent. Ecotoxicol. Environ. Saf. 2018, 148, 601–607. [Google Scholar] [CrossRef]
- Tze, M.W.; Aroua, M.K.; Szlachta, M. Palm shell-based activated carbon for removing reactive black 5 dye: Equilibrium and kinetics studies. BioResources 2016, 11, 1432–1447. [Google Scholar] [CrossRef]
- Heibati, B.; Rodriguez-Couto, S.; Amrane, A.; Rafatullah, M.; Hawari, A.; Al-Ghouti, M.A. Uptake of reactive black 5 by pumice and walnut activated carbon: Chemistry and adsorption mechanisms. J. Ind. Eng. Chem. 2014, 20, 2939–2947. [Google Scholar] [CrossRef]
- Ucun, H. Equilibrium, thermodynamic and kinetics of reactive black 5 biosorption on loquat (Eriobotrya japonica) seed. Sci. Res. Essays 2011, 6, 4113–4124. [Google Scholar] [CrossRef][Green Version]
- Uçar, D.; Armağan, B. The removal of reactive black 5 from aqueous solutions by cotton seed shell. Water Environ. Res. 2012, 84, 323–327. [Google Scholar] [CrossRef]
- Amin, M.T.; Alazba, A.A.; Shafiq, M. Comparative study for adsorption of methylene blue dye on biochar derived from orange peel and banana biomass in aqueous solutions. Environ. Monit. Assess. 2019, 191, 735. [Google Scholar] [CrossRef]
- Xue, Z.; Zhong, Z.; Zhang, B. Experimental studies on co-combustion of sludge and wheat straw. Catalysts 2019, 9, 182. [Google Scholar] [CrossRef]
- Olguin-Maciel, E.; Singh, A.; Chable-Villacis, R.; Tapia-Tussell, R.; Ruiz, H.A. Consolidated bioprocessing, an innovative strategy towards sustainability for biofuels production from crop residues: An overview. Agronomy 2020, 10, 1834. [Google Scholar] [CrossRef]






| Structural formula | ![]() |
| Chemical formula | C26H21N5Na4O19S6 |
| Molecular weight | 991 [g/mol] |
| Dye type | anionic (reactive) |
| Type of chromophore group | azo (bis-azo) |
| Type of active groups | vinylsulfone |
| λmax | 600 [nm] |
| Calibr. curve (range of conc.) | 0.00–80.00 [mg/L] |
| Dye application | Dyeing of: cotton, viscose, wool, polyamide fibers |
| Other trade names | Begazol Black B, Celmazol Black B, Diamira Black B |
| Type of Sorbent | Carbon Content [%] | Nitrogen Content [%] | C/N Ratio | N/C Ratio | ||
|---|---|---|---|---|---|---|
| Range of Content | Average Content | Range of Content | Average Content | Based on Average Content | Based on Average Content | |
| WS | 42.44–43.56 | 42.80 | 0.59–0.63 | 0.61 | 70.16 | 0.0143 |
| WS-A | 41.99–43.43 | 42.69 | 0.61–0.65 | 0.63 | 67.76 | 0.0148 |
| WS-E | 42.51–43.56 | 43.07 | 0.58–0.61 | 0.60 | 71.78 | 0.0139 |
| WS-EA | 40.96–42.23 | 41.51 | 0.86–0.91 | 0.88 | 47.17 | 0.0212 |
| Sorbent | RB5 Conc. | Pseudo-First Order Model | Pseudo-Second Order Model | Exp. Data | ||||
|---|---|---|---|---|---|---|---|---|
| k1 | Qe, cal. | R2 | k2 | Qe, cal. | R2 | Qe, exp. | ||
| [mg/L] | [1/min] | [mg/g] | - | [g/mg·min] | [mg/g] | - | [mg/g] | |
| WS | 10 | 0.051 | 1.54 | 0.955 | 0.048 | 1.70 | 0.991 | 1.64 |
| 50 | 0.119 | 3.64 | 0.928 | 0.044 | 3.91 | 0.981 | 3.98 | |
| 500 | 0.238 | 8.54 | 0.960 | 0.043 | 8.90 | 0.990 | 8.80 | |
| WS-A | 10 | 0.051 | 1.56 | 0.929 | 0.055 | 1.76 | 0.982 | 1.70 |
| 50 | 0.064 | 5.27 | 0.937 | 0.017 | 5.82 | 0.984 | 5.64 | |
| 500 | 0.123 | 10.12 | 0.919 | 0.013 | 10.84 | 0.979 | 11.00 | |
| WS-E | 10 | 0.053 | 1.60 | 0.961 | 0.043 | 1.71 | 0.993 | 1.68 |
| 50 | 0.124 | 4.03 | 0.925 | 0.042 | 4.32 | 0.981 | 4.39 | |
| 500 | 0.189 | 9.89 | 0.974 | 0.032 | 10.36 | 0.997 | 10.40 | |
| WS-EA | 10 | 0.264 | 1.85 | 0.972 | 0.275 | 1.92 | 0.995 | 1.92 |
| 50 | 0.243 | 9.12 | 0.965 | 0.048 | 9.48 | 0.993 | 9.54 | |
| 500 | 0.178 | 74.27 | 0.946 | 0.004 | 78.18 | 0.988 | 78.07 | |
| Sorbent | RB5 Conc. | Phase I | Phase II | Phase III | ||||||
|---|---|---|---|---|---|---|---|---|---|---|
| kd1 * | Duration | R2 | kd2 | Duration | R2 | kd3 * | Duration | R2 | ||
| [mg/L] | [*] | [min] | - | [*] | [min] | - | [*] | [min] | - | |
| WS | 10 | 0.253 | ~5 | 0.999 | 0.153 | ~40 | 0.998 | 0.044 | ~165 | 0.979 |
| 50 | 0.900 | ~5 | 0.999 | 0.174 | ~55 | 0.970 | 0.092 | ~150 | 0.982 | |
| 500 | 2.861 | ~5 | 0.999 | 0.251 | ~55 | 0.983 | 0.099 | ~150 | 0.948 | |
| WS-A | 10 | 0.283 | ~10 | 0.993 | 0.164 | ~50 | 0.981 | 0.044 | ~150 | 0.969 |
| 50 | 0.846 | ~10 | 0.995 | 0.406 | ~50 | 0.982 | 0.170 | ~150 | 0.977 | |
| 500 | 2.704 | ~5 | 0.999 | 0.511 | ~55 | 0.964 | 0.234 | ~150 | 0.931 | |
| WS-E | 10 | 0.268 | ~5 | 0.999 | 0.143 | ~55 | 0.985 | 0.037 | ~150 | 0.962 |
| 50 | 0.930 | ~5 | 0.987 | 0.201 | ~55 | 0.983 | 0.091 | ~150 | 0.977 | |
| 500 | 2.631 | ~5 | 0.991 | 0.477 | ~55 | 0.996 | 0.133 | ~150 | 0.976 | |
| WS-EA | 10 | 0.653 | ~5 | 0.999 | 0.093 | ~25 | 0.984 | 0.011 | ~180 | 0.907 |
| 50 | 3.107 | ~5 | 0.999 | 0.362 | ~40 | 0.982 | 0.090 | ~135 | 0.966 | |
| 500 | 22.83 | ~5 | 0.999 | 4.208 | ~40 | 0.995 | 0.750 | ~135 | 0.881 | |
| Sorbent | Langmuir 1 Model | Langmuir 2 Model | Freundlich Model | |||||||||
|---|---|---|---|---|---|---|---|---|---|---|---|---|
| Qmax | Kc | R2 | Qmax | b1 | K1 | b2 | K2 | R2 | k | n | R2 | |
| [mg/g] | [L/mg] | - | [mg/g] | [mg/g] | [L/mg] | [mg/g] | [L/mg] | - | - | - | - | |
| WS | 14.01 | 0.006 | 0.938 | 16.72 | 13.66 | 0.002 | 3.06 | 0.620 | 0.996 | 1.194 | 0.333 | 0.987 |
| WS-A | 17.45 | 0.006 | 0.913 | 24.12 | 19.45 | 0.001 | 4.67 | 0.495 | 0.998 | 1.439 | 0.338 | 0.994 |
| WS-E | 15.28 | 0.007 | 0.936 | 18.79 | 14.60 | 0.002 | 4.18 | 0.382 | 0.997 | 1.571 | 0.312 | 0.996 |
| WS-EA | 91.04 | 0.075 | 0.985 | 91.04 | 76.26 | 0.075 | 17.78 | 0.075 | 0.985 | 20.34 | 0.233 | 0.857 |
| Sorbent | Qmax [mg RB5/g] | Sorption Time [min] | Sorption pH | Source |
|---|---|---|---|---|
| Aminated wheat straw with epichlorohydrin pre-activation (WS-EA) | 91.04 | 210 | 3.0 | Own research |
| Aminated buckwheat hulls | 85.18 | 300 | 3.0 | [44] |
| Modified activated carbon SPC | 69.90 | < 60 | 2.0 | [55] |
| Powdered activated carbon | 58.82 | - | - | [56] |
| Aminated sunflower seed shells | 51.00 | 240 | 3.0 | [26] |
| Activated carbon from bamboo | 39.02 | 60 | 2.0 | [57] |
| Activated carbon from Carob tree | 36.90 | 120 | 2.0 | [58] |
| Aminated cotton fibers | 36.77 | 240 | 3.0 | [31] |
| Rape stalks (waste) | 32.80 | 30 | 2.5 | [59] |
| Banana peel (powder) | 26.90 | 60 | 3.0 | [60] |
| Activated carbon from palm shell | 25.10 | 300 | 2.0 | [61] |
| Wood (walnut) activated carbon | 19.30 | 400 | 5.0 | [62] |
| Wheat straw (WS) | 16.72 | 210 | 3.0 | Own research |
| Wheat straw (other research) | 15.70 | 195 | 7.0 | [24] |
| The seed scales of Eriobotrya japonica | 13.76 | 150 | 3.0 | [63] |
| Cotton seed husks | 12.90 | 30 | 2.0 | [64] |
| Buckwheat hulls | 4.43 | 300 | 3.0 | [44] |
| Cotton fibers | 2.74 | 240 | 3.0 | [31] |
| Sunflower seed shells | 2.89 | 210 | 3.0 | [26] |
| Macadamia seed husks | 1.21 | 510 | 3.0 | [65] |
Publisher’s Note: MDPI stays neutral with regard to jurisdictional claims in published maps and institutional affiliations. |
© 2022 by the authors. Licensee MDPI, Basel, Switzerland. This article is an open access article distributed under the terms and conditions of the Creative Commons Attribution (CC BY) license (https://creativecommons.org/licenses/by/4.0/).
Share and Cite
Jóźwiak, T.; Filipkowska, U.; Walczak, P. The Use of Aminated Wheat Straw for Reactive Black 5 Dye Removal from Aqueous Solutions as a Potential Method of Biomass Valorization. Energies 2022, 15, 6257. https://doi.org/10.3390/en15176257
Jóźwiak T, Filipkowska U, Walczak P. The Use of Aminated Wheat Straw for Reactive Black 5 Dye Removal from Aqueous Solutions as a Potential Method of Biomass Valorization. Energies. 2022; 15(17):6257. https://doi.org/10.3390/en15176257
Chicago/Turabian StyleJóźwiak, Tomasz, Urszula Filipkowska, and Paulina Walczak. 2022. "The Use of Aminated Wheat Straw for Reactive Black 5 Dye Removal from Aqueous Solutions as a Potential Method of Biomass Valorization" Energies 15, no. 17: 6257. https://doi.org/10.3390/en15176257
APA StyleJóźwiak, T., Filipkowska, U., & Walczak, P. (2022). The Use of Aminated Wheat Straw for Reactive Black 5 Dye Removal from Aqueous Solutions as a Potential Method of Biomass Valorization. Energies, 15(17), 6257. https://doi.org/10.3390/en15176257


