Abstract
The work proposes a technique to improve the infrastructure and energy resilience of new developments during the planning stage. Several resilience-related parameters are developed in this paper that can be used to quantify resilience. To apply these parameters, the work assumes various energy outage scenarios varying from less than 24 h to 3 weeks. During these scenarios, a neighborhood population can be relocated to several public buildings promoting better utilization of onsite energy resources. The technique is applied to four representative neighborhoods encompassing various sustainability measures including clean energy. Further, this paper demonstrates an urban scale improvement technique for greater energy and infrastructure resilience. The results indicate a significant improvement in infrastructure resilience by relocating public shelter buildings on the main street intersections so that these can be easily accessible during energy outages or disaster events. Energy resilience can be achieved by the appropriate design of onsite energy resources to eliminate vulnerabilities. For instance, 8.8% to 15.4% of additional land for solar thermal collectors can eliminate thermal energy vulnerabilities. When surplus generation from onsite resources is twice or more as compared to demand during their unavailability, the electrical vulnerability can be eliminated by employing suitable battery banks in various buildings.
1. Introduction
Engineering resilience refers to the management of risks associated with infrastructure of urban areas. It emphasizes the importance of maintaining the resilience of critical infrastructure within the built environment []. This conceptualization of adaptive resilience is based on the recognition that cities are complex and dynamic systems [,]. It states that a resilient system can maintain the same characteristics while going through significant changes. This concept also encourages the system to adopt a self-sufficient approach to deal with the inevitable changes brought about by disasters [,]. In connection to urban design, infrastructure and energy resilience are critical. Infrastructure resilience is related to various components of urban design such as street networks and their response to natural disasters, neighborhood layout, and access to public evacuation buildings (i.e., schools, community centers, etc.). Further, considering net-zero energy goals of various nations, it is essential to ensure energy resilience by making neighborhoods adaptive to the accommodation of various load demands using onsite energy resources, especially during power outages. Governments around the globe should focus on making policies and designing tools for enhancing infrastructure and energy resilience in building the infrastructure of the future.
Greater dependence of urban areas on non-renewable energy sources presents various challenges to achieve resilience, climate change mitigation and sustainable development []. Due to the rising frequency and intensity of natural disasters, the systems of urban energy networks are potentially vulnerable. Vulnerability can be referred to as a condition or a process that has a certain disruption of the operation of the energy systems []. Additionally, the vulnerability of energy systems is also critical due to other threats such as demographic increase, fossil fuel crises, cyber-attacks, vandalism, energy poverty, interconnected energy systems, and economic challenges [,]. Urban energy resilience is an area of research that focuses on addressing the various threats that can affect the energy security of communities. However, the power sector is gradually shifting from a traditional distribution system to a smart grid involving renewable energy generation [,]. This transition is expected to reduce greenhouse gas emissions and improve the resiliency of the electricity supply [] due to onsite clean generation.
In the event of disasters, the uncertainties in designing for fail-safe urban design may lead to system reconfiguration. System flexibility is a critical component that should allow a system to adapt to changing conditions and avoid experiencing a safe failure []. A flexible system can detect and respond to threats immediately, allowing it to maintain its overall performance during a disaster []. Rogge [] argues that the constituent elements of a flexible urban system should have been designed and arranged in a manner that allows them to be disassembled and reused. This concept would allow the system components to work seamlessly and maintain their critical functions during a short-term disturbance. It would also allow the system to recover quickly and return to normal operation after a few days []. This concept refers to the ability to alter or shift the configuration of an energy system according to changing conditions []. For instance, in order to enhance energy resilience, the relocation of the population of a specific urban area to public buildings employed as temporary shelters can be considered [].
Despite the increasing number of initiatives related to energy resilience, the lack of information about this issue on the municipal level remains an unknown topic for local communities, hence the absence of energy resilience strategies at a regional scale []. This process involves assessing the energy resilience of an urban area based on a variety of factors, such as the area’s geospatial characteristics, the crisis duration, and the scope of the disaster. A recent study by Sara et al. [] pointed out that only a limited number of tools are available to support resilience implementation. Understanding the resilience of neighborhoods and communities along with relevant design methodologies are important steps in designing long-term and short-term responses to energy outages, which is currently underexplored in current literature. For instance, estimating the suitability of shelters to be used for evacuation is one of the critical factors in a resilient community scheme. As such, the location of shelter buildings and their accessibility can play a crucial role in urban infrastructure resilience ensuring energy security. It is also of interest to study the effects of allocating the energy supply to certain buildings during an energy crisis on the availability of energy supply and the resilience of a community.
This paper establishes a relationship between infrastructure and energy resilience as well as proposes a method to improve the overall urban resilience during the planning stage of new developments. Firstly, several infrastructure and energy resilience indicators are developed and applied to four representative neighborhood archetypes combinations. After quantifying the infrastructure and energy resilience of these neighborhood archetypes, the work proposes a framework to improve urban resilience. For the demonstration of the proposed methodology, the work uses various archetype combinations based on trends in Canada. Each archetype combination integrates a number of neighborhood units to maximize energy sharing. These combinations are also optimized to obtain net electric neutral status (zero net electricity consumption within one year) using onsite clean energy generation (solar PV, solar thermal, wind, waste-to-energy, borehole thermal energy storage (details presented in []). Thus, to study urban resilience several energy outage scenarios are assumed (duration varying from 24 h to 3 weeks), and the population is assumed to be shifted to public buildings during the period of disruption. The evacuation of the neighborhood population to public buildings allows to concentrate energy supply to support the accommodation needs of the shelter buildings. Accordingly, the energy supply from onsite resources can be directed to these public buildings used for temporary accommodation to ensure community energy resilience. Re-allocating the population during disaster or power outage also demands good infrastructure resilience ensuring easy access to public buildings and their accommodation capacities. Hence the work simultaneously studies the energy and infrastructure resilience.
2. Materials and Methods
This section discusses the methodology employed in the current paper. First, the details of neighborhood unit combinations including their configurations are discussed, followed by energy outage scenarios, adopted in this study. Thereafter, infrastructure and energy resilience indicators are presented.
2.1. Combinations of Neighborhood Units
Various neighborhood configurations (termed neighborhood units) are used for the development of resilience indicators and power outage response scenarios. these neighborhood units (NU) aim at enhancing walkability and to provide basic amenities within proximity. A fused grid street layout is adopted in the design of NUs, where one neighborhood unit is of 5 acres with 8 such NUs building one module (total of 40 acres). Each module is aimed to have various building types such as residential, commercial, institutional, etc. aiming more urban design sustainability. The type of buildings included in each NU is presented in Table 1 and more details can be referred in []. All of the NUs are mixed-use neighborhoods that consist of commercial, institutional and residential buildings of different types.
Table 1.
Details of each neighborhood unit (NU).
Different neighborhood units (NUs) are combined to enable maximum energy sharing and to achieve a net-zero electrical energy (NZEE) status. An optimization method was developed to maximize onsite energy generation which prioritizes electricity generation []. Employing this optimization method, different neighborhood sizes and compositions are obtained by combining individual neighborhood units. A neighborhood unit can be repeated multiple times within the same neighborhood combination (C), depending on the excess energy that this neighborhood unit can supply, and the energy deficit of other types of NUs in the neighborhood combination detailed methodology and combination formulations can be found in [,]). The combinations of neighborhoods (C1, C2, C3, and C4) are presented in Figure 1and their configuration is presented below:

Figure 1.
Three-dimensional representation of various NU combinations (a) C1; (b) C2, (c) C3; (d) C4..
- C1: composed of MU-P(V2), 4 CR and 4 CR/I(V1)
- C2: composed of MU-P(V1), 4 CR and 4 CR/I(V1)
- C3: composed of MU-S, and a CR and a CR/I(V1)
- C4: composed of a CR/I (V2) and a CR
For the above-discussed neighborhood combinations along with optimized capacities of onsite energy resources (solar PV, solar thermal, wind, waste-to-energy, and borehole thermal energy storage) [], this work proposes a framework to analyze infrastructure and energy resilience together using various quantifiable indicators. These indicators will help various stakeholders in the design of sustainable communities to study the performance in terms of infrastructure and energy resilience. This paper demonstrates the method of application of these indicators to improve the resilience performance of urban areas.
2.2. Energy Outage Scenarios
To study the neighborhood resilience, it is assumed that the population is evacuated to particular type of public buildings (designated as shelter buildings) due to a general energy outage (power and natural gas). In other words, the affected individuals are placed in shelter buildings. Therefore, determining the infrastructure resilience, it is crucial to study the accessibility of these shelter buildings with respect to the residential buildings. For this purpose, the infrastructure resilience indicators are developed. For instance, it is desirable to have the shelter building on the main intersections of the street network, within the neighborhood. Thereafter, the paper establishes the energy resilience indicators to see the energy performance of neighborhood combinations (C1, C2, C3 and C4) under the energy outage scenarios.
For energy outages, different time frames for the evacuation are used, which are designated as S1-A, S1-B, S1-C, and S1-D as indicated in Table 2. Under each scenario, various shelter buildings are identified (also presented in Table 2). For instance, for short-term scenarios (up to 72 h) full restaurants, small offices, medium offices, hotels, and schools can be used for shelter by meeting the basic hygiene needs of the individuals. Nevertheless, some of these buildings cannot be used for long-term scenarios (i.e., 1–3 weeks). For the long-term scenarios, hotels and schools are ideal as these buildings have shower facilities and other basic amenities for a prolonged stay. The assumptions for the energy calculations for these buildings (equipped with various energy efficiency measures) during the shelter usage can be referred in [] as an initial part of this research. EnergyPlus [] is used for the energy simulations conducted in this work.
Table 2.
Various energy outage scenarios.
In the following, this paper establishes resilience indicators to be used for the infrastructure and energy resilience analysis. These indicators will be further used to improve the overall resilience of the neighborhood combinations.
2.3. Infrastructure Resilience Indicators
To study the infrastructure resilience, centrality and connectivity parameters are used to assess the effectiveness and efficiency of the neighborhood street network. However, for this work, the location of shelter buildings with respect to residential buildings is determined to quantify the resilience, so this work selects several centrality-related indicators as discussed below. These indicators (degree centrality, closeness centrality, and straightness centrality) are then used to evaluate the centrality index (CI) to quantify the infrastructure resilience as a single number.
2.3.1. Degree Centrality
The degree centrality (DC) is a parameter that defines the number of paths between a set of nodes and other nodes in the street network, which is computed by using the primal graph. Disruption in the nodes and links with a high degree of centrality can affect the reliability of the network [,]. For instance, if a node with high centrality is disrupted during a disaster, it can greatly affect the functionality of a street network because of being a key intersection in the street network. The degree centrality is calculated using the below presented equation,
where refers to the absence of a link between nodes i and j, and the total number of nodes is defined using N. In above equation, the term is represented by ki.
2.3.2. Closeness Centrality
The closeness centrality (CC) is a measure of the distance between two nodes in the shortest path. It allows faster and easier connections between two locations [,]. It is important to place emergency services facilities and evacuation areas in areas with high closeness centrality values to improve their availability during emergencies []. For example, in the context of the present study, it is desirable to have evacuation buildings (i.e., schools, hotels, etc.) on the nodes with high closeness centrality. The equation below is used to evaluate the closeness centrality,
The distance between nodes i and j is the shortest distance between them, which is denoted as .
2.3.3. Straightness Centrality
The straightness centrality (SC) from node i to another node is computed as the distance between the shortest paths from that node to the other nodes in the network. The straightness centrality is proportional to the distance between the nodes and inversely proportional to the shortest actual distance between them. It shows the distance between a specific node and the other nodes in the primal graph. The greater valve of the straightness centrality is desirable in the street network as it indicates the closeness of the actual route with respect to a straight line. From a resilience perspective, it is desirable to have evacuation buildings close at the intersection with high straightness centrality enhancing walkability access from various neighborhood street network nodes. The distance can be used to evaluate the efficiency of communicating among the nodes. The following equation is used to compute SC [,],
In the above equation is defined as Euclidian distance between node i and j, whereas the shortest distance between these nodes is called di,j.
2.3.4. Development of Centrality Index
In the various presently available literature, a number of centrality indexes are used individually to analyze the street network (e.g., [,]). One of the challenges to do this practice is that it is difficult to draw the conclusions about infrastructure resilience of the given urban area. In this work, for each node, a centrality index () is developed for this paper for the ease of application as a single measure to quantify various centrality measures. Centrality index for node i is defined by the below equation,
where, are normalized values of degree centrality (between 0 and 1), closeness centrality and straightness centrality. For instance, normalized value is calculated as,
In above equation is degree centrality of each node whereas and are its maximum and minimum values respectively. In the similar manner, are also calculated. For the evacuation buildings, it is desirable to use nodes with high centrality index ensuring good access from various neighborhood nodes.
2.3.5. Application of Infrastructure Resilience Indicators
In this paper, the above centrality index (CI) is applied to a variety of nodes within the neighborhood. For instance, nodes are classified under 3 categories such as (i) shelter node (SN), (ii) residential node (RN), and (iii) residential cum shelter node (RN/SN). On SN only shelter buildings are present, similarly on RN residential buildings are accessible. However, at RN/SN mode both residential and shelter buildings are accessible. This paper also establishes the CI product that is a product of mean CI for a given type of nodes and the number of a specific type of nodes within NU. If any CI product is greater for SN or RN/SN in a given neighborhood unit (NU), it can be considered NU with greater infrastructure resilience. It eventually means that these nodes are highly accessible in the neighborhood during the unlikely event, providing thus higher resilience to the community. For instance, if all shelter buildings in the neighborhood are placed around nodes with higher centrality or a neighborhood has higher number of shelters or residential cum shelter nodes (SN or RN/SN), then CI product will be also higher. For calculating, various infrastructure-related parameters (DC, CC, and SC), Matlab-based primal graph functions [] are used that eventually lead to the calculation of centrality index (CI) at various neighborhood nodes.
2.3.6. Shelter to Population Ratio
In addition to the location of evacuation shelter buildings during energy outage scenarios, it is also important to determine the accommodation capacity of the nearest shelter building within a given neighborhood unit (NU). Therefore, while estimating the infrastructure resilience this paper develops the shelter to population ratio (SPR) index to quantify the shelter accommodation capacity with respect to the population. The SPR is calculated using the below equation,
where, represent summation of accommodation capacity of all types of evacuation buildings in NU and is total NU population.
2.4. Energy Resilience Indicators
In addition to the infrastructure resilience, this paper simultaneously studies the energy resilience. For energy resilience, several parameter indexes are developed as discussed below.
2.4.1. Energy Use Index
When a given shelter building is considered for evacuation during the energy outage, its energy use index (EUI) can play a significant role in energy resilience. For this work, the EUI is calculated as energy use per person for a given NU considering the energy consumption and people accommodated by a given building under various evacuation scenarios. The EUI is calculated for each NU under various evacuation scenarios (S1-A to S1-D) as per the following equation,
is calculated as the product of (people accommodation capacity of given shelter building), (number of shelter buildings of each type), and (energy intensity per person for a specific type of shelter building). Hence, is a weighted average of for a given NU. For instance, if one primary school and two restaurants are used for shelter, then for restaurant will be the shelter capacity for one restaurant, will be 2, and is driven by energy use per person in the restaurant building under evacuation situation. Similarly, the calculation will be made for school and ultimately calculation can be made for that NU. Low value for a given NU means that it is more energy resilient as the temporary accommodation is less energy expensive and can potentially have better chances to be served by onsite energy resources.
2.4.2. Vulnerability Index
The energy resilience of a given neighborhood can be identified by the synergy of onsite energy generation and changed consumption patterns during the energy outage (when shelter buildings are prioritized for energy supply). To determine this, the present work uses a vulnerability index to quantify the mismatch in energy generation and consumption. Under the evacuation scenario, and assuming full accommodation in shelter buildings, the neighborhood is not energy vulnerable (vulnerability index = 0). When onsite energy resources are sufficient to fulfill the requirement of these buildings However, when the dependence on the onsite resources decreases, the vulnerability index increases as the grid becomes the main source of energy supply. In the worst-case scenario, if the connectivity from the grid is affected then the load or demand side can be energy vulnerable. Hence, the below equation is formulated to determine the vulnerability index (),
where, are the number of hours when the dependence on onsite energy resources greater than 99% during various evacuation scenarios (S1-A to S1-D, <24 h to 3 weeks), whereas is the total number of hours under each scenario. The energy vulnerability index, = 0, indicates that the neighborhood is not vulnerable to the sudden loss of electricity supply due to the lack of energy storage, whereas 1 means that it is energy vulnerable. Additional onsite storage can help improve the energy vulnerability index. For instance, this can be achieved by adding a battery bank for standby power outages. The vulnerability index is separately calculated for electrical and thermal energies.
3. Results
This section presents key results for infrastructure and energy resilience employing the above-described methodology. The building models used in developing the methodology are adopted from validated standard building stock from the US Department of Energy, which are modified as per high-performance building envelopes. Hence, based on literature, the accuracy of energy demand profiles of various neighborhoods is ensured which leads to energy resilience results. Further, infrastructure resilience methodology is formulated based on primal graph theory which is also a well-established technique.
As presented in Figure 2a under scenarios S1-A and S1-B for NU1, centrality index (CI) for RN/SN nodes is high around 0.7–0.8 for NU combination C1. Out of a total of 7 nodes, 2 nodes are RN/SN, while 4 are access points to residential units (RN). CI product value for RN/SN nodes is greater than its value for RN nodes even after having a lesser number. Hence, the infrastructure resilience of NU1 is good. In NU2, out of total nodes RN, SN, and RN/SN are 3, 2, and 1, respectively. It can be noted here that RN/SN node is poorly located with the lower value of CI (it is also evident in the bar plot). Any disruption in the street network can strongly influence access to RN/SN. Although, SN has a good value of CI that varies between 0.6 to 0.8. As shown in the bar graph, the CI product for SN is better than RN. Intuitively, the CI product for SN nodes is quite good and favorable for infrastructure resilience. In NU3, 4 RN/SN, and 2 RN are present. The CI product value for RN/SN is higher than RN. Hence the infrastructure resilience of NU3 is favorable. Further, in the case of NU4 the CI product is significantly higher for RN/SN nodes that represent better infrastructure resilience. NU5 also performs similarly to NU4, whereas the CI product is slightly higher. NU6 has 3 RN/SN, two of them have a good value of CI that consequently led to better CI product that signifies good infrastructure resilience. NU7 has the poorest infrastructure resilience among all NUs as it consists of only 1 RN/SN (residential cum shelter node) that also has a negligible value of CI due to the placement of RN/SN node at the dead end (see Figure 2a) For NU8 the centrality index and CI product can be also correlated from Figure 2a. Overall, NU3, NU4, NU5, and NU6 outperform in terms of infrastructure resilience under scenarios S1-A and S1-B.
Figure 2.
Centrality analysis of combination C1 (a) for scenarios S1-A and S1-B, (b) for scenarios S1-C and S1-D along with (c) shelter to population ratio (SPR) and (d) energy use index (EUI).
In Figure 2b the centrality analysis has been applied under the circumstance of scenarios S1-C and S1-D (1–3 weeks evacuation scenarios). Due to exclusion of specific types of evacuation buildings for S1-C and D, the infrastructure resilience of all NUs decreases. For instance, in NU1 only one RN/SN node is present that represents the location of primary school. The CI product for RN/SN nodes is also reduced for NU1. The infrastructure resilience of NU2 also decreases due to the lower number of SN that consequently reduces CI product. NU3 loses its resilience characteristics due to the loss of one RN/SN node and having poor CI for the present single RN/SN node. For NU4, NU5, NU6, and NU8 the CI product of RN/SN nodes significantly reduces as compared to short term scenarios S1-A and S1-B (discussed above), hence resulting in lower resilience. Still, relative to other NUs (neighborhood units), NU3, NU4, NU5, and NU6 perform better. For more infrastructure resilience of NU8, RN/SN nodes can be shifted to the position where CI is higher (for instance at the position of T intersection by moving the primary school). However, this will also influence the resilience of NU1.
In addition to infrastructure resilience analysis, this paper also extends the study by correlating shelter to population ratio (SPR) and their energy use index (EUI). Referring to Figure 2c, for S1-A and S1-B, all NUs except NU3 and NU7 can accommodate people more than their population (i.e., SPR = 1 means that shelter capacity is equivalent to NU population). SPR for NU4 and NU8 is highest for S1-A and S1-B. For S1-C and S1-D (long term scenarios, 1–3 weeks), only NU2, NU4, NU6, and NU8 have SPR greater than 1, while all other NUs are failed to respond in long-term evacuation response. The energy use index for various NUs is also presented in Figure 2d. Here it is evident that NU3 has the highest value of EUI (energy use index) under all scenarios that represent poor energy resilience. However, all other NUs have very similar values of EUI under various scenarios.
Interestingly, under scenarios S1-C and S1-D, it can be concluded from SPR and EUI analysis that NU2, NU4, NU6, and NU8 are not only able to accommodate the local NU population but can also respond to the evacuation needs in an energy-efficient manner. However, under scenarios S1-A and S1-B, NU3 and NU7 do not yield sufficient shelter to population ratio (SPR), whereas also NU3 has poor EUI values that makes it poor in terms of resilience. NU3 is better in terms of infrastructure resilience but it is not suitable in terms of SPR and EUI. NU4, NU5, and NU6 are not only more infrastructure resilient but also energy resilient under all evacuation scenarios.
Various resilience aspects of C2 are presented in Figure 3. For scenarios S1-A and S1-B (23–72 h), NU1 contains two RN/SN are there and all other nodes are residential nodes, RN (refer Figure 3a). The centrality index and its product for RN/SN nodes are good because of the favorable location of these nodes indicating higher resilience. However, for NU2 the infrastructure resilience is moderate due to the poor location (dead end street) of one of the two RN/SN nodes, which is evident from the CI product as well. Among all the NUs in C2, NU3 has the highest infrastructure resilience due to the excellent location of RN/SN yielding a higher value of CI. NU4, NU5, and NU6 are also good in terms of infrastructure resilience. Their centrality index (CI) product varies from 2.5 to 2.8. NU7 performs the worst among all NUs due to the presence of only one RN/SN node that is poorly located. To enhance the infrastructure resilience of NU7, RN/SN can be shifted towards the outer street. This will not only increase the resilience of NU7 but also increase the same for NU8. Similarly, the infrastructure resilience of NU8 can be correlated. As indicated in Figure 3b, under scenarios S1-C and S1-D (long term evacuations for 1 to 3 weeks), the infrastructure resilience of NU3 is still high as compared to all other NUs, and NU7 still performs poorly as compared to short term scenarios presented in Figure 3a.
Figure 3.
Centrality analysis of combination C2 (a) for scenarios S1-A and S1-B, (b) for scenarios S1-C and S1-D along with (c) shelter to population ratio (SPR) and (d) energy use index (EUI).
In Figure 3c,d the shelter to population ratio (SPR) and energy use index (EUI) are indicated for various scenarios. Although the infrastructure resilience is the highest for NU3, its SPR (for S1-B, C, and D scenarios), it is poor with respect to the denser population due to the inclusion of apartment buildings. The SPR for NU2, NU4, NU6, and NU8 exceeds 1 for all the scenarios. These NUs also perform similarly in terms of EUI that varies between 1.9 to 0.5 kWh/person. Overall, together with considering infrastructure resilience, SPR, and EUI, NU4 performs best due to the good value of centrality index (CI), able to accommodate the population in the evacuation situation by yielding a low value of EUI.
For combination C3, the resilience analysis results are represented in Figure 4. As evident in Figure 4a, this combination has three NU units that are used for the buildings. For instance, in the case of S1-A and S1-B scenarios, NU1 has only one RN/SN, whereas all other nodes are RN. Based on the CI product, the infrastructure resilience is observed to be maximum for NU4 as it has 2 SN (shelter nodes) and 2 RN/SN (residential cum shelter nodes). The CI of SN is quite good varies between 0.8 and 0.9. However, out of two RN/SN nodes, one has a higher CI of 0.9 (at T intersection it is favorably accessible) and the other has a lower value of CI. The CI product of SN and RN/SN for NU4 is around 1.7 and 1, respectively. For scenarios S1-C and S1-D (refer Figure 4b), all the NUs except NU4 perform poorly in terms of infrastructure resilience due to the absence of SN and RN/SN, which means they are not able to respond to any evacuation situation. Similar trends are observed from the SPR graph in Figure 4c. NU1 and NU4 can accommodate the local population during S1-A and B evacuation scenarios (23–72 h shelter), whereas NU4 can support the local population and exceed the SPR greater than 1 under evacuation scenario S1-C and D. NU4 also performs well as compared to NU1 in terms of EUI as shown in Figure 4d as it yields lower EUI values. Further, it can be concluded that NU4 is infrastructure and energy resilient along with sufficient shelter capacity that can respond to the evacuation well.
Figure 4.
Centrality analysis of combination C3 (a) for scenarios S1-A and S1-B, (b) for scenarios S1-C and S1-D along with (c) shelter to population ratio (SPR) and (d) energy use index (EUI).
In Figure 5 the resilience analysis has been applied to combination C4, where only two NUs (NU1 and NU2) are populated. Under scenarios S1-A and B (23–72 h evacuation), NU1 performs better than NU2 as it has a higher CI product for RN/SN (refer Figure 5a). However, for scenarios S1-C and D (1–3 weeks) shown in Figure 5b, both NU1 and NU2 perform equally worse due to the poor locality of RN/SN with a very low value of CI. The SPR of NU2 is also higher as compared to NU1 as represented in Figure 5c. For instance, the SPR is around 16 for S1-A that means NU2 can accommodate 16 times more people than its population. This SPR is 4 times higher as compared to NU1. Also, NU2 can accommodate people more than its population for long-term evacuation scenarios (S1-C and D, i.e., 1–3 weeks). The EUI performance of NU2 is also better than NU1 as presented in Figure 5d. For example, under S1-A, EUI for NU1 is 0.22 kWh/person, whereas that is around 0.13 kWh/person for NU2. Therefore, overall NU2 is better than NU1 in terms of infrastructure resilience, SPR, and EUI.
Figure 5.
Centrality analysis of combination C4 (a) for scenarios S1-A and S1-B, (b) for scenarios S1-C and S1-D along with (c) shelter to population ratio (SPR) and (d) energy use index (EUI).
3.1. Layout Optimization of Resilience
From the infrastructure resilience analysis, it is clear that is more desirable to place potential shelter buildings on the intersections so that they can be easily accessible. Utilizing the infrastructure resilience analysis results, this section attempts the optimization of neighborhood combination C1 intending the infrastructure resilience improvement.
As shown in Figure 6, some shelter buildings are shifted from the current location to a new location. In NU1, one full restaurant is moved to the node (indicated as a blue color dot). Accordingly, that RN node is converted to RN/SN node which is more desirable for the infrastructure resilience as the shelter building can be easily accessed by the residential occupants. Similarly, in NU3, two full restaurant buildings are repositioned in the middle of two apartment buildings and place at two nodes to enhance the infrastructure resilience. In NU4, a primary school building is also relocated from the internal node to main street nodes as this building has the largest shelter capacity and must be easily accessible within the NU combination as occupants from the other NUs will be also using this building in the disaster energy outage event. However, the relocation of this school building results in two adjacent school buildings (along with school building in NU6), so the school building located in NU6 can be further moved to T intersection node (indicated as a green dot), this will increase the overall infrastructure resilience of NU combination C1. Similar to NU1, the changes in the full restaurant building location have been made in NU5, whereas in line with NU4 primary school relation the adjustments to the school building in NU8 are also conducted.
Figure 6.
Updated layout of C1 based on observations during resilience analysis (movement of buildings highlighted in yellow blocks).
After implementing these adjustments, the infrastructure resilience analysis is reperformed as presented in Figure 7 and the improvement in resilience indicators within the updated C1 layout are compared to original layout as indicated in Table 3. In Figure 7, the centrality index (CI) and CI product are presented for S1-A and S1-B (Figure 7a) as well as for S1-C and S1-D (Figure 7b). These figures can be compared with the original infrastructure resilience results presented in Figure 2. It is clearly evident that there is a significant increase in the resilience parameters that has been yielded by making small location adjustments to the shelter buildings. These comparative improvements in terms of CI product are quantified in Table 3 for various NUs. For instance, for scenarios S1-A & B (short-term), one RN node is converted to RN/SN node by moving for full restaurant building that result in more RN/SN nodes and fewer RN nodes. Consequently, there is 30% increase in CI product for RN/SN nodes and also it is more desirable to have higher number of such nodes. However, there is an 80% decrease in the CI product for RN nodes due to the greater proximity of RN node that is converted to RN/SN. Further under scenarios S1-A & B, in NU2 and NU7 there is a respective 1339% and 303,597% increase in the CI product that indicates a significant improvement in the infrastructure resilience of combination C1. CI product increases for NU7 is quite high due to relatively lower value in the original layout (it can be correlated by comparing Figure 2 and Figure 7). Similarly, the improvement in infrastructure resilience for scenarios S1-C & D (long-term) can be also referred in Table 3. In conclusion, the infrastructure resilience analysis developed in this work can help the urban planners during the neighborhood planning process to improve the infrastructure resilience of the designed layout by adopting the present methodology during design stage.
Figure 7.
Centrality analysis of combination C1 (a) for scenarios S1-A and S1-B, (b) for scenarios S1-C and S1-D with updated layout.
Table 3.
Percentage change in CI product with updated C1 layout as compared to original layout.
3.2. Energy Resilience in Net-Zero Energy Design
Arranging low EUI evacuation buildings within each combination is beneficial to achieving energy resilience. Further, the energy resilience could be maximized within neighborhoods design adopting the concept of net-zero energy (NZE) status. However, meeting the real-time energy needs during actual evacuation scenarios, the study of the electrical and thermal vulnerability of NZE neighborhoods is an interesting part of this paper.
This section of the paper assumes that all four combinations considered in this work are designed to achieve net zero electrical energy (NZEE) status. Table 4 represents the energy resources mixture for various combinations obtained through the optimization study performed in []. In this study, the electrical neutral status of NU combinations was achieved using an optimization method.
Table 4.
Mixture of clean energy sources for attaining electrical neutral status.
As presented in Table 4, the number of wind turbines (WT), PV façade, and roof areas are indicated for each NU combination to achieve NZE performance. As it is evident that the primary source of electricity is PV generation, whereas other sources of electricity include wind turbines (WT) and waste-to-energy combined heat and power generation (WtE-CHP). However, for the thermal needs, the primary source of supply is natural gas and other sources include direct thermal energy supplied by solar thermal collectors (STC) and WtE-CHP. When thermal demand is less than energy produced by STC and WtE-CHP, the surplus heat energy generation will be stored in borehole thermal energy storage (BTES). BTES is sized based on the assumption of 50% energy discharged against stored energy in the steady state []. This optimized estimate uses the roof areas to install STC after utilizing them for PV installations first. For instance, in the case of C1, the total south roof area to be used for solar installations is 45,924 m2, out of which 44,553 m2 is used for PV installations and the rest (1371 m2) is used for STC installations (refer Table 4).
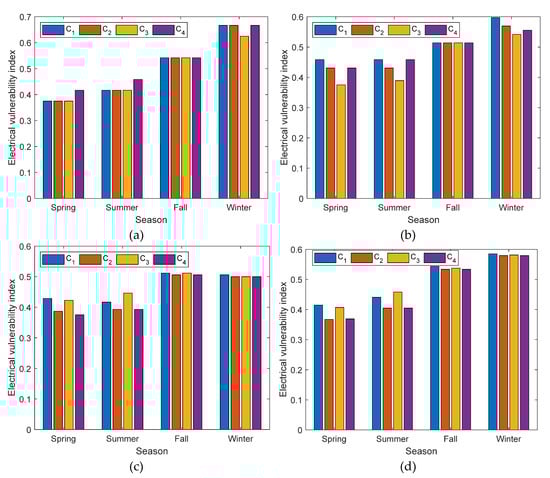
Considering the above capacities, the paper conducted an electrical and thermal vulnerability study using the method presented in sub-Section 2.3. This analysis assumed the electricity and natural gas outages to see the amount of vulnerability in various NU combinations. As presented in Figure 8, although considering annual demand and onsite generations NU combinations has net-zero electrical consumption, still these are vulnerable in the power outage situation under various scenarios such as S1-A to S1-D (24 h to 3 weeks). This vulnerability is due to mismatch of onsite generation and NU combination energy consumption. In all scenarios, the vulnerability index is maximum in winter due to less onsite electrical generation. The less onsite generation is due to greater dependency on PV that experience decreased generation in winter due to a smaller number of sun hours. The electrical vulnerability index is minimum in the spring and summer seasons, due to the greater generation of electricity.
Figure 8.
Electrical vulnerability analysis of NU combinations for (a) S1-A, (b) S1-B, (c) S1-C, and (d) S1-D scenarios.
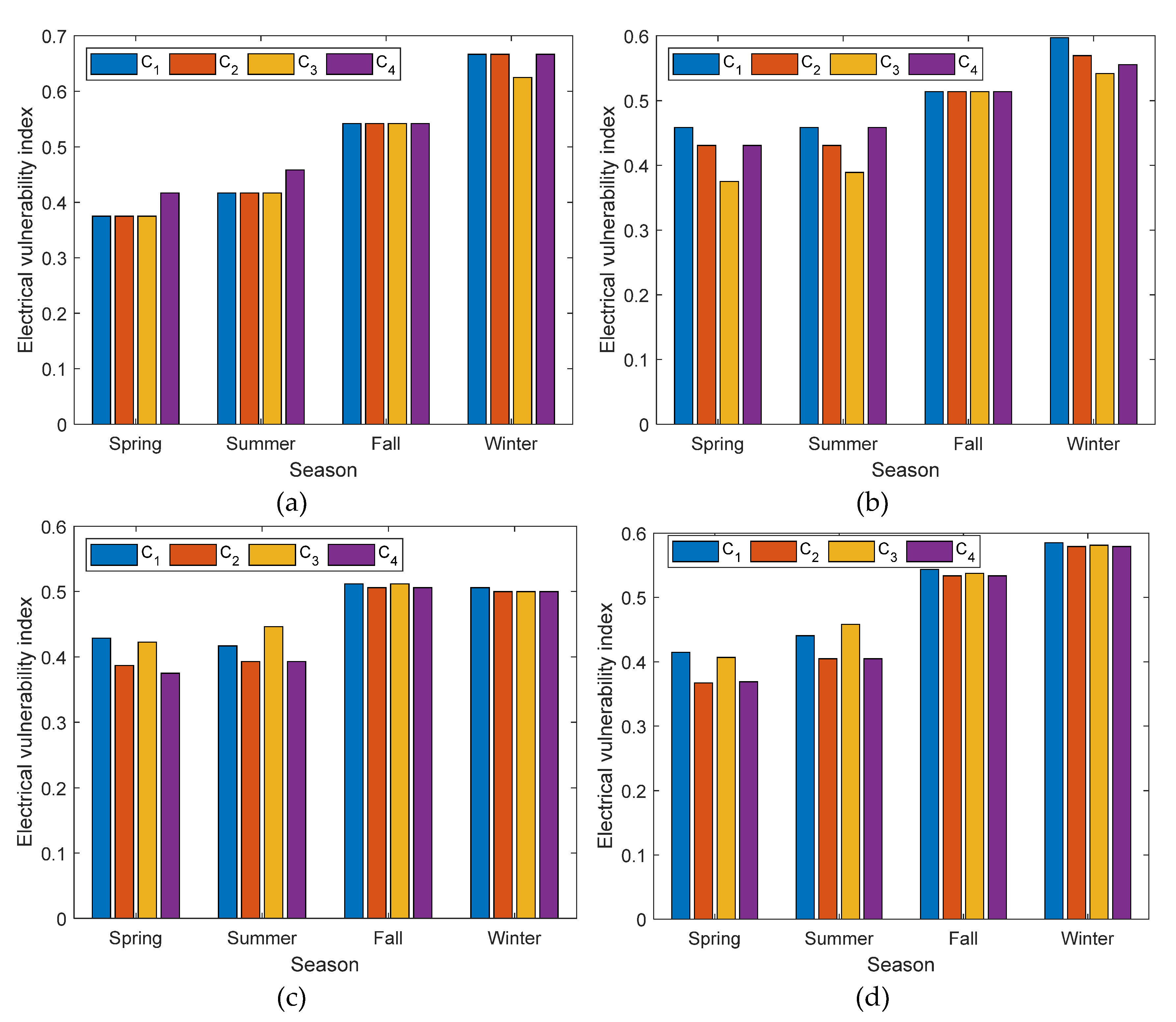
As represented in Figure 9a, the thermal vulnerability for the S1-A scenario is good for the spring, summer, and fall seasons. For example, in summer and fall NU combinations C1 and C2 are non-vulnerable in case of any natural gas outage. This is due to less thermal demand in these seasons. Some vulnerability is apparent in the spring season, whereas in winter C1 and C2 are highly vulnerable due to greater thermal demand and less onsite thermal energy availability. Due to this fact, these combinations (C1 and C2) are fully vulnerable (i.e., not for a single hour 100% thermal needs can be fulfilled). The thermal vulnerability index of C3 and C4 is also comparatively high in winter (close to 0.8). Similarly, in Figure 9 the thermal vulnerability analysis is extended for other natural gas outage scenarios as well (S1-B, S1-C, and S1-D).
Figure 9.
Thermal vulnerability analysis for various NU combinations for (a) S1-A, (b) S1-B, (c) S1-C, and (d) S1-D scenarios.
Improving Energy Resilience
One of the main reasons for these NU combinations for having high thermal vulnerability is the lack of on-site thermal energy resources due to under-sizing. In energy resource planning, electrical generation is prioritized to achieve the electrical neutral status. Due to this, the neighborhood surface areas (i.e., building available roof areas for solar installations) are first used for PV installations, and then the remaining roof areas are used for STC. However, the heat generated from WtE-CHP is also limited as only local waste (of each NU combination) is used for its operation. These two limitations resulted in under-sizing of thermal energy resources.
In this paper, the under-sizing barrier in the energy resource planning has been broken by including a solar farmland installation of STC panels. Therefore, in this case in addition to neighborhood building surfaces dedicated local land area is used to install STC. Hence, this work estimated the capacities of thermal resources to attain complete net-zero energy status by achieving net-zero thermal energy demands (as electrical neutral status was achieved in Table 4). In Table 5, the total installation area is required for STC panels. As compared to capacities indicated in Table 4, there is 1894%, 1314%, 210%, and 378% increase in STC installations for C1, C2, C3, and C4, respectively. The required additional land area is also indicated in the table. Interestingly, in all cases, the land area required for STC varies between 8.8% to 14.5% of respective NU combination land areas. As the onsite thermal generation has increased, consequently BTES has also increased by 2170%, 1298%, 187%, and 348% for C1, C2, C3 and C4, respectively. Replacing the thermal energy share of natural gas (in Table 4), BTES become the primary source of fulfilling thermal energy demand (varies from 56.2% to 67.7%).
Table 5.
Modified thermal energy resource to attain net zero energy status.
This introduction of additional thermal capacities makes all NU combinations non-vulnerable thermally. In other words, under each evacuation scenario S1-A, S1-B, S1-C, and S1-D, the thermal vulnerability index is reduced to zero in all four seasons (including winter). Hence, by putting these additional thermal resources not only NZE status is achieved by it made each NU combination fully non-vulnerable thermally.
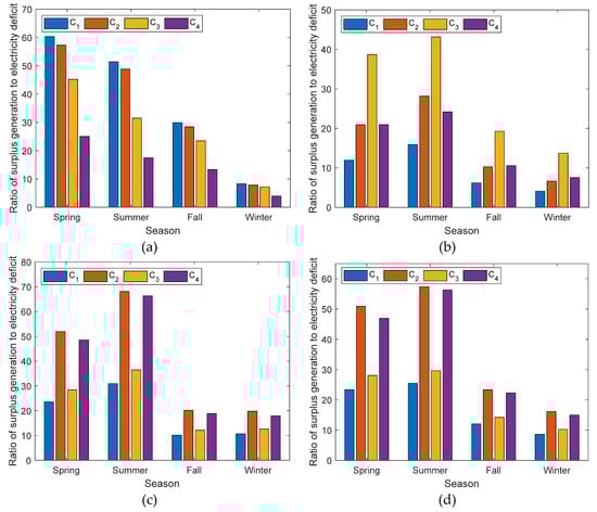
Nevertheless, the NU combinations are still electrically vulnerable as indicated in Figure 8. This paper further estimates the ratio of surplus generation to electricity deficit for the given time period under each evacuation scenario (S1-A, S1-B, S1-C, and S1-D) as presented in Figure 10. Interestingly, the surplus generation to electricity deficit (SGED) ratio is well above 1 for all NU combinations under various scenarios and seasons (1 can be interpreted surplus generation equivalent to electrical deficit). For instance, in scenario S1-A, the SGED ratio is maximum for C1 and minimum for C4 in all seasons. Intuitively in the winter the SGED ratio is minimum due to less onsite generation because of reduced number of sun hours.
Figure 10.
Ratio surplus generation to electricity deficit for various NU combinations for (a) S1-A, (b) S1-B, (c) S1-C, and (d) S1-D scenarios.
High SGED ratios in various scenarios, combinations and seasons indicate that if appropriate sizing of battery bank can be done and the electrical vulnerability of the NU combinations can be eliminated during the disaster or energy outage scenarios. In the practical applications, the minimum recommended state of charge (SoC) for the battery bank is 50% [] (minimum discharge limit for the battery) that can be accommodated easily with these high SGED ratios. By referring this minimum SoC number, it can be assumed that the minimum desirable value of SGED ratio is 2. For example, if electrical deficit is 100 kWh and surplus generation is 200 kWh (SGED ratio = 2), then 200 kWh surplus electricity can be stored in the battery bank and 100 kWh of which can be used maintaining 50% SoC of the battery bank. Referring to Figure 10 again, the minimum SGED ratio value is 4 in all the figures (in Figure 10a for C4 in the winter season), so battery bank can eliminate the electrical vulnerability. Accordingly, energy planners can estimate the sizing of battery bank for the shelter buildings (installed within each building) to enhance the energy resilience eliminating the vulnerability.
4. Discussion
This paper presents an easy-to-implement methodology for simultaneous infrastructure and energy resilience that can be implemented in the planning of energy resilient new neighborhoods. Following are the key observations of this work:
For infrastructure resilience, it is favourable to locate evacuation or shelter buildings at the nodes with a higher centrality index (average of degree, closeness, and straightness centralities) that implies better accessibility during disaster events. It is always preferable to have a higher number of RN/SN nodes within the neighborhood unit as in this case residential units will have immediate walkable access to the shelter buildings, hence increased infrastructure resilience. Upon analysing the initial layout of a proposed urban development using the methodology developed in this paper, stakeholders can make decisions to relocate the buildings to enhance infrastructure and energy resilience.
The shelter to population ratio (SPR) should be evenly distributed within the urban setting. The proposed methodology also unfolds this aspect within the analysis. Consequently, the urban planner can use the observations to relocate the buildings to yield SPR close to 1 for a given neighborhood unit.
The energy use index (EUI) is a crucial factor in the overall resilience considering the energy part. Buildings such as schools for 23–72 h and 1–3 weeks evacuation scenarios yield less EUI hence can strengthen the energy resilience while accommodating a greater number of people. The energy demands of such buildings can be met using onsite energy resources due to less EUI that will strengthen the idea of energy resilience. Similarly, for short-term scenarios 23–72 h additional buildings such as small and medium offices can be useful. Accordingly, based on energy resilience analysis, priority of accommodation for different buildings can be set within each neighborhood unit under different evacuation scenarios as well as such buildings can be evenly distributed within the urban setting. For instance, some buildings can be moved from higher shelter to population ratio (SPR) neighborhood units (NUs) to NUs with lower SPR.
This paper also demonstrates a layout optimization technique on a case study of combination C1, where the slight movement of buildings within various NUs increases their infrastructure resilience. Under scenarios S1-A and S1-B (23–72 h), in NUs within C1, the centrality index (CI) product for RN/SN nodes has increased from 0.19 times to 303 times (for five NUs out of eight). Similarly, for S1-C and S1-D (1–3 weeks), CI product for RN/SN nodes increased by 0.62 times to 303 times for three out of eight neighborhood units. Hence several lessons can be learned from the proposed analysis and utilize this methodology to increase the overall resilience.
For the considered NU combinations, the thermal vulnerabilities (meeting complete thermal needs from onsite resources during energy outages) can be eliminated by sizing the thermal energy resources to achieve net-zero energy status. In the considered NU combinations additional land is required for the installation of a solar thermal collector farm. The additionally required solar thermal collectors (STC) farmland area varies from 8.8% to 15.4% of the neighborhood area.
Based on the surplus generation to electricity deficit (SGED) ratios calculated for various neighborhood combinations, it is evident that when the SGED value of 2 or more, an appropriate sizing of a battery bank can be designed to overcome the electrical vulnerability during the energy outage scenarios (assuming the minimum battery bank state of charge as 50%). These battery banks can be installed within each shelter building to ensure energy resilience by achieving the complete satisfaction of electrical energy demand during various energy outage scenarios.
5. Conclusions
This work presents a novel methodology to enhance the infrastructure and energy resilience of new urban developments during planning stage. It is a contribution towards ongoing research programs aiming at achieving resilient cities. The methodology gives insightful techniques to not only quantify the infrastructure and energy resilience but also demonstrate its utilization to increase the overall urban resilience. First, the quantification of energy and infrastructure resilience can be carried out using the proposed methodology. The methodology can be applied to any new urban setting design as well as to existing neighborhoods to analyze various resilience perspectives. The methodology can be further used the improve energy and infrastructure resilience performances of the neighborhoods. For instance, relocation of evacuation buildings can result in a significant improvement of 303 times in the centrality index. Further, ensuring energy resilience, the surplus generation to electricity deficit ratio of 2 or more is desirable. For future work, the perspectives of transportation and drinking water supply can be also integrated into this work widening the perspective of resilience for areas other than temperate climate zone.
Author Contributions
Conceptualization, K.S. and C.H.-V.; methodology, K.S. and C.H.-V.; software, K.S. and C.H.-V.; validation, K.S. and C.H.-V.; formal analysis, K.S. and C.H.-V.; investigation, K.S. and C.H.-V.; resources, K.S. and C.H.-V.; data curation, K.S. and C.H.-V.; writing—original draft preparation, K.S. and C.H.-V.; writing—review and editing, K.S. and C.H.-V.; visualization, K.S. and C.H.-V.; supervision, K.S. and C.H.-V.; project administration, C.H.-V. All authors have read and agreed to the published version of the manuscript.
Funding
This research work acknowledges the funding received from Natural Sciences and Engineering Research Council (NSERC), Canada under the Discovery Grant program.
Institutional Review Board Statement
Not applicable.
Informed Consent Statement
Not applicable.
Data Availability Statement
Not applicable.
Conflicts of Interest
The authors declare no conflict of interest.
References
- Birchall, S.J.; Macdonald, S.; Baran, N.N.; Island, P.E. Urban Clim. An Assessment of Systems, Agents, and Institutions in Building Community Resilience to Climate Change: A Case Study of Charlottetown, Canada. Urban Clim. 2022, 41, 101062. [Google Scholar] [CrossRef]
- Shari, A.; Yamagata, Y. Principles and Criteria for Assessing Urban Energy Resilience: A Literature Review. Renew. Sustain. Energy Rev. 2016, 60, 1654–1677. [Google Scholar] [CrossRef]
- Iturriza, M.; Labaka, L.; Ormazabal, M.; Borges, M. Awareness-Development in the Context of Climate Change Resilience. Urban Clim. 2020, 32, 100613. [Google Scholar] [CrossRef]
- Allan, P.; Bryant, M. Resilience as a Framework for Urbanism and Recovery. J. Landsc. Archit. 2011, 6, 34–45. [Google Scholar] [CrossRef]
- Barata-Salgueiro, T.; Erkip, F. Retail Planning and Urban Resilience—An Introduction to the Special Issue. Cities 2014, 36, 107–111. [Google Scholar] [CrossRef]
- International Energy Agency. CO2 Status Report; International Energy Agency: Paris, France, 2019. [Google Scholar]
- Arghandeh, R.; Von Meier, A.; Mehrmanesh, L.; Mili, L. On the Definition of Cyber-Physical Resilience in Power Systems. Renew. Sustain. Energy Rev. 2016, 58, 1060–1069. [Google Scholar] [CrossRef]
- Esfandi, S.; Rahmdel, L.; Nourian, F.; Sharifi, A. The Role of Urban Spatial Structure in Energy Resilience: An Integrated Assessment Framework Using a Hybrid Factor Analysis and Analytic Network Process Model. Sustain. Cities Soc. 2022, 76, 103458. [Google Scholar] [CrossRef]
- Fang, Y.; Sansavini, G. Optimizing Power System Investments and Resilience against Attacks. Reliab. Eng. Syst. Saf. 2017, 159, 161–173. [Google Scholar] [CrossRef]
- Sovacool, B.K.; Geels, F.W. Further Reflections on the Temporality of Energy Transitons: A Response to Critics. Energy Res. Soc. Sci. 2016, 22, 232–237. [Google Scholar] [CrossRef]
- Mola, M.; Feofilovs, M.; Romagnoli, F. Energy Resilience: Trends at Municipal and Country Levels and Country Levels. Energy Procedia 2018, 147, 104–113. [Google Scholar] [CrossRef]
- Willis, H.H.; Loa, K. Measuring the Resilience of Energy Distribution Systems; RAND Corporation: Santa Monica, CA, USA, 2015. [Google Scholar]
- Liao, K.; Cao, S.; Wang, J.; Gong, X.; Zhu, Z.H. Observational Constraints on Unified Dark Matter Including Hubble Parameter Data. Phys. Lett. Sect. B Nucl. Elem. Part High-Energy Phys. 2012, 710, 17–25. [Google Scholar] [CrossRef]
- Roggema, R. Towards Enhanced Resilience in City Design: A Proposition. Land 2014, 3, 460–481. [Google Scholar] [CrossRef]
- Gracceva, F.; Zeniewski, P. A Systemic Approach to Assessing Energy Security in a Low-Carbon EU Energy System. Appl. Energy 2014, 123, 335–348. [Google Scholar] [CrossRef]
- Blum, H.; Legey, L.F.L. The Challenging Economics of Energy Security: Ensuring Energy Benefits in Support to Sustainable Development. Energy Econ. 2012, 34, 1982–1989. [Google Scholar] [CrossRef]
- Hachem-Vermette, C.; Singh, K. Energy Resilience Indicators and Application to Energy Crises Response Strategies. Future Urban Energy Lab for Sustainability (FUEL-S); Faculty of Sustainable Design Engineering, University of Prince Edward Island: Charlottetown, PE, Canada, 2021; Under Review. [Google Scholar]
- Mehryar, S.; Sasson, I.; Surminski, S. Supporting Urban Adaptation to Climate Change: What Role Can Resilience Measurement Tools Play? Urban Clim. 2022, 41, 101047. [Google Scholar] [CrossRef]
- Hachem-Vermette, C.; Singh, K. Energy Systems and Energy Sharing in Traditional and Sustainable Archetypes of Urban Developments. Sustainability 2022, 14, 1356. [Google Scholar] [CrossRef]
- Hachem-Vermette, C.; Singh, K. Optimization of Energy Resources in Various Building Cluster Archetypes. Renew. Sustain. Energy Rev. 2022, 157, 112050. [Google Scholar] [CrossRef]
- US Department of Energy EnergyPlus. Available online: https://energyplus.net/ (accessed on 10 March 2022).
- Buhl, J.; Gautrais, J.; Reeves, N.; Solé, R.V.; Valverde, S.; Kuntz, P.; Theraulaz, G. Topological Patterns in Street Networks of Self-Organized Urban Settlements. Eur. Phys. J. B 2006, 49, 513–522. [Google Scholar] [CrossRef]
- Batty, M. Resilient Cities, Networks, and Disruption. Environ. Plan. B Plan. Des. 2013, 40, 571–573. [Google Scholar] [CrossRef]
- Porta, S.; Crucitti, P.; Latora, V. The Network Analysis of Urban Streets: A Primal Approach. Environ. Plan. B Plan. Des. 2006, 33, 705–725. [Google Scholar] [CrossRef] [Green Version]
- Porta, S.; Strano, E.; Iacoviello, V.; Messora, R.; Latora, V.; Cardillo, A.; Wang, F.; Scellato, S. Street Centrality and Densities of Retail and Services in Bologna, Italy. Environ. Plan. B Plan. Des. 2009, 36, 450–465. [Google Scholar] [CrossRef]
- Novak, D.C.; Sullivan, J.L. A Link-Focused Methodology for Evaluating Accessibility to Emergency Services. Decis. Support Syst. 2014, 57, 309–319. [Google Scholar] [CrossRef]
- Crucitti, P.; Latora, V.; Porta, S. Centrality Measures in Spatial Networks of Urban Streets. Phys. Rev. E 2006, 73, 1–5. [Google Scholar] [CrossRef]
- Hachem-vermette, C.; Singh, K. Mixed-Use Neighborhoods Layout Patterns: Impact on Solar Access and Resilience. Sustain. Cities Soc. 2019, 51, 101771. [Google Scholar] [CrossRef]
- Sharifi, A. Resilient Urban Forms: A Review of Literature on Streets and Street Networks. Build. Environ. 2019, 147, 171–187. [Google Scholar] [CrossRef]
- Mathworks Centrality, Measure Node Importance. Available online: https://www.mathworks.com/help/matlab/ref/graph.centrality.html (accessed on 14 March 2022).
- Cabeza, L.F. Advances in Thermal Energy Storage Systems: Methods and Applications; Woodhead Publishing Series in Energy; Elsevier Science: Cambridge, UK, 2014; ISBN 9781782420965. [Google Scholar]
- Abdi, H.; Mohammadi-ivatloo, B.; Javadi, S.; Khodaei, A.R.; Dehnavi, E. Energy Storage Systems; Elsevier Inc.: Amsterdam, The Netherlands, 2017; ISBN 9780128042632. [Google Scholar]
Publisher’s Note: MDPI stays neutral with regard to jurisdictional claims in published maps and institutional affiliations. |
© 2022 by the authors. Licensee MDPI, Basel, Switzerland. This article is an open access article distributed under the terms and conditions of the Creative Commons Attribution (CC BY) license (https://creativecommons.org/licenses/by/4.0/).