Organization and Reliability Testing of a Wind Farm Device in Its Operational Process
Abstract
1. Introduction and Analysis of the Issue
- X(ei, j) represents whether the diagnostic signal is the j-th element of the i-th set;
- X(w)(ei, j) is a reference signal for X(ei,j) signal;
- FC is the min. or max. item use feature value;
- {ME(ei, j)} is the service knowledge base;
- {ME} is the technical facility renovation system;
- W(ε(ei, j) = {3, 2, 1, 0}) is the diagnostic state evaluation logic information value for the item ”j” within the ”i” object module.
2. Methodology of Testing the Reliability of a Wind Farm Device in the Process of Exploitation
- -
- the time of use of the object T is the time the object is in a fit condition;
- -
- the object interoperability removal time, Ta;
- -
- the time of preventive repair, Tp;
- -
- the period of anticipated (optimal) prevention, θ*;
- -
- the planned prevention (servicing) period θ.
- -
- model of the operation process of the tested structure;
- -
- test program;
- -
- research tools—use of a computer in research;
- -
- analysis of the data obtained;
- -
- the testing of the facility operation process models was conducted using the same test criteria of the test conditions, such as:
- -
- functions describing the object operation process and the inputs consumed;
- -
- input data characterizing the operation process of complex facilities.
- Reliability simulation tests of the wind farm equipment operation process are carried out using the same computer program.
- The same inputs are used in wind farm reliability simulation tests.
- Results obtained from simulation studies on the reliability of the operation process of wind farm equipment are graphically presented in common graphs presenting the tested quantities.
3. Organization and Testing of the Reliability of Wind Power Plant Equipment in the Operation Process
- Wind farm device system (WFD) in the state (S1) z is in full technical fitness, this condition occurs if and only if the function of the WFD target is fulfilled and its energy efficiency is 100%. The operational model is shown in Figure 3.
- 2.
- If damage or a malfunction occurs in the WFD, the WFD then passes with the intensity of damage (λ12) to state (S2). In state (S2), the efficiency of the WF power system is below 100%. The WFD unit is basically efficient, its required function is realized to a limited extent (partially)—the state of partial WFD efficiency is state (S2). In this state, WFDs are subject to repair if the transition to this state was caused by a malfunction. Then WFD with repair intensity (µ21) goes to state (S1). In the case when the transition of the WFD to the state (S2) was forced by the necessity to perform the required technological tasks or activities from the set of activities (T1), the current operations improving the WFD occur in this state. The execution of technological tasks (T1) causes the WFD to move with the intensity of repairs (µ21) to the state (S1). If there is damage to the WFD in the state (S2) it passes with the intensity of damage (λ23) to the state (S3). Performing WFD repair activities with repair intensity (µ21) goes to state (S1).
- 3.
- The WFD system is in the state (S3) if the event of a failure or failure of the WFD occurs, the WFD system passes with the intensity of the damage (λ13) to the state (S3). In the state (S3), the efficiency of the power system WF is far below 100%. The WFD team is partially operational, and its function is required to be implemented in a limited (partial) scope—the status of the critical suitability of the WFD is the state (S3). In the state (S3), WFDs are subject to repairs if the transition to this state was caused by a malfunction. Then WFD with repair intensity (µ31) change to state (S1). In the case when the transition of the WFD to the state (S3) was forced by the necessity of performing the required technological tasks or activities from the set of activities (T2), then, in this state, the periodic technological (improvement) activities of the WFD take place. The execution of technological tasks (T2) causes the WFD to move with the intensity of repairs (µ31) to the state (S1). If there is damage to the WFD in the state (S3), it passes with the intensity of damage (λ34) to the state (S4).
- 4.
- If the event of damage or failure of the WFD occurs in state (S3), the WFD system passes with the intensity of damage (λ13) to the state (S3). In the state (S3 efficiency of the power system WF is far below 100%. The WFD team is partially operational its function is required to be implemented in a limited (partial) scope—the status of the critical suitability of the WFD is the state (S3). In the state (S3), WFDs are subject to repairs if the transition to this state was caused by a malfunction. Then WFD with repair intensity (µ31) go to state (S1). In the case when the transition of the WFD to the state (S3) was forced by the necessity to perform the required technological tasks or activities from the set of activities (T2), then, in this state, the periodic technological (improvement) activities of the UFW take place. The execution of technological tasks (T2) causes the WFD to move with the intensity of repairs (µ31) to the state (S1). If there is damage to the WFD in the state (S3), it passes with the intensity of damage (λ34) to state (S4).
- 5.
- In case of damage or the malfunction of the WFD in the state (S1), then the UWF system with the intensity of damage (λ14) will move to the state (S4). In the state (S4) the assessed efficiency of the power system FW is very significantly below 100% (Figure 1). The WFD team is critically fit. In the state (S4), the function required by the WFD is implemented in a limited scope. This is the critical fitness status of the WFD is fit being in the state (S4). In state (S4), WFDs are subject to repairs if the transition to this state was caused by a malfunction. Then UFW with repair intensity (µ41) goes to (S1). In a case when the transition of the UFW to the state (S4) was forced by the necessity of performing the required technological tasks from the set of activities (T3). In the state (S4), the periodic technological (improvement) activities of the WFD are performed. The execution of technological tasks (T3) causes the WFD to move with the intensity of repairs (µ41) to the state (S1). When there is damage to the WFD in the state (S4), it moves with the intensity of damage (λ45) to the state (S5).
- 6.
- If the (S1) state experiences damage or a malfunction in the WFD system, the system moves with the intensity of the damage (λ15) to the (S5) state. In state (S5), the efficiency of the WF power system is critically below 100%. In the state (S5, the WFD team is operational in the minimum (critical) range. The function required by the WFD is performed to a limited extent, this is the pre-fault condition. In the state (S5), WFDs are subject to essential (primary) repairs if the transition to this state was caused by a malfunction. Then WFD with repair intensity (µ51) go to state (S1). In case when the transition of the WFD to the state (S5) was forced by the necessity to perform the required technological tasks from the set of operations (T4). In the state (S5), periodic main technological activities of the WFD are performed. The execution of technological tasks (T4) causes the WFD to move with the intensity of repairs (µ51) to the state (S1). If there is damage to the WFD in the state (S5), then the required corrective actions are performed, and after they are completed, it passes with the intensity of repairs (µ51) to the state (S1).
- -
- —probability function for a WFD system in fully physically fit S1;
- -
- —probability function for a WFD system in partially operational S2;
- -
- —probability function for a WFD system in partially operational S3;
- -
- —probability function for a WFD system in partially incapacitated S4;
- -
- —probability function for a WFD system in incapacitated S5;
- -
- —transition intensity from full efficiency (S1) to the state of partial fitness (S2);
- -
- —intensity of transitions from the state of partial fitness (S2) to the state of full fitness (S1);
- -
- —intensity of transitions from the state of full fitness (S1) to the state of partial fitness (S3);
- -
- —intensity of transitions from the state of partial fitness (S3) to the state of full fitness (S1);
- -
- —intensity of transitions from the state of full fitness (S1) to the state of partial unfitness (S4);
- -
- —intensity of transitions from the state of partial unfitness (S4) to the state of full fitness (S1);
- -
- —intensity of transitions from the state of full fitness (S1) to the state of full unfitness (S5);
- -
- —intensity of transitions from the state of full unfitness (S5) to the state of full fitness (S1);
- -
- —the intensity of transitions from the S2 state to the S3 partial-use state;
- -
- —transition intensity from partial airworthiness (S3), transition from partial airworthiness (S4);
- -
- —S4 to the state of full unfitness (S5).
- probability of the tested WFD system remaining in a state of full fitness (S1) for a period of 1 year:
- probability of the tested WFD system remaining in a state of partial fitness (S2) for a period of 1 year:
- probability of the tested WFD system remaining in a state of partial fitness (S3) for a period of 1 year:
- probability of the tested WFD system remaining in a state of partial unfitness (S4) for a period of 1 year:
- probability of the tested WFD system remaining in a state of full unfitness (S5) for a period of 1 year:
4. Discussion
- -
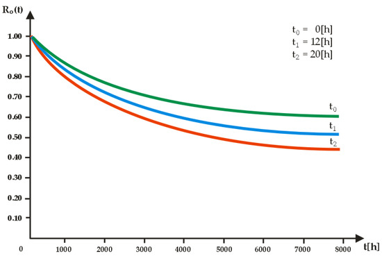
- The first was to examine the reliability function (Ro(t)) of the WFD in operation.
- -
- The second direction of the simulation study of the WFD was the time-flow current (t51) of the residence of the WFD in the state (S5) during the implementation of the essential technical and technological work renewing the WFD.
- t0 = 0 [h] value (Ro(t51) = 0.7489),
- t1 = 12 [h] value (Ro(t51) = 0.6109),
- t2 = 20 [h] value (Ro(t51) = 0.4978).
- -
- the duration of the WFD in the state (S5) should be reduced by increasing the efficiency and quality of technical and technological work, thus renewing the WFD.
- -
- modern technical solutions, such as smart expert systems, e.g., SERV, which significantly change the organization of technical and technological works renewing WFD in (S5), are beneficial.
- -
- new strategies (policies) for the organization of technical and technological works to renew WFD should be developed to improve the technical abilities of personnel serving WFD.
5. Conclusions
Author Contributions
Funding
Institutional Review Board Statement
Informed Consent Statement
Data Availability Statement
Conflicts of Interest
Shortcuts
| X (ei, j) | diagnostic signal in jth element of ith set |
| X(w) (ei, j) | model signal for X (ei, j) signal |
| FC max | max. value of the function of the use of the object |
| W (ε(ei, j)) = {2, 1, 0}) | valued of state assessment logics for jth element within ith module (from the set of the accepted three-value logic of states’ assessment) |
| probability function for a WFD system in the state of full fitness (S1) | |
| probability function for a WFD system in the state of partial fitness (S2) | |
| probability function for a WFD system in the state of partial fitness (S3) | |
| probability function for a WFD system in the state of partial unfitness (S4) | |
| probability function for a WFD system in the state of full unfitness (S5) | |
| λ | damage intensity |
| To | simulation test time of the object |
| μ | repair intensity |
| λ1 | intensity of type I inspections |
| μ1 | type I operational maintenance intensity |
| λ2 | intensity of type II inspections |
| μ2 | type II operational maintenance intensity |
| {ME(ei, j)} | is the service knowledge base |
| {ME} | is the technical facility renovation system, |
| WFD | wind farm device |
| WPPES | wind power plant expert system |
| SERV | intelligent operating system |
| DIAG | intelligent diagnostic system |
References
- Duer, S. Assessment of the Operation Process of Wind Power Plant’s Equipment with the Use of an Artificial Neural Network. Energies 2020, 13, 2437. [Google Scholar] [CrossRef]
- Duer, S.; Paś, J.; Hapka, A.; Duer, R.; Ostrowski, M.; Woźniak, M. Assessment of the Reliability of Wind Farm Devices in the Operation Process. Energies 2022, 15, 3860. [Google Scholar] [CrossRef]
- Zajkowski, K. Settlement of reactive power compensation in the light of white certificates. In E3S Web of Conferences 19, UNSP 01037; EDP Sciences: Les Ulis, France, 2017. [Google Scholar] [CrossRef]
- Zajkowski, K. The method of solution of equations with coefficients that contain measurement errors, using artificial neural network. Neural Comput. Appl. 2012, 24, 431–439. [Google Scholar] [CrossRef]
- Zajkowski, K. Two-stage reactive compensation in a three-phase four-wire systems at no sinusoidal periodic waveforms. Electric Power Syst. Res. 2020, 184, 106296. [Google Scholar] [CrossRef]
- Rychlicki, M.; Kasprzyk, Z.; Rosiński, A. Analysis of Accuracy and Reliability of Different Types of GPS Receivers. Sensors 2020, 20, 6498. [Google Scholar] [CrossRef]
- Smyczek, J.; Zajkowski, K. Simulation of overvoltages for switching off lagging load from mains. In Proceedings of the 2nd International Industrial Simulation Conference, Malaga, Spain, 7–9 June 2004; pp. 278–281. [Google Scholar]
- Bedkowski, L.; Dabrowski, T. Basic of the Maintenance Theory p. 2; Publishing House of WAT: Warsaw, Poland, 2006; p. 187. [Google Scholar]
- Epstein, B.; Weissman, I. Mathematical Models for Systems Reliability; CRC Press/Taylor & Francis Group: Boca Raton, FL, USA, 2008. [Google Scholar]
- Linz, P. An Introduction to Formal Languages and Automata; University of California: Davis, CA, USA, 2002. [Google Scholar]
- Bernatowicz, D.; Duer, S.; Wrzesień, P. Expert system supporting the diagnosis of the wind farm equipment. In Communications in Computer and Information Science; Springer: Poznan, Poland, 2018; Volume 928, pp. 432–441. [Google Scholar]
- Krzykowski, M.; Pas, J.; Rosinski, A. Assessment of the level of reliability of power supplies of the objects of critical Infrastructure. In IOP Conference Series: Earth and Environmental Science; IOP Publishing: Bristol, UK, 2019. [Google Scholar] [CrossRef]
- Abo-Khalil, A.G.; Alghamdi, A.I.; Tlili, A.; Eltamaly, A.M. Current Controller Design for DFIG-based 426 Wind Turbines Using State Feedback Control. IET Renew. Power Gener. 2019, 13, 1938–1949. [Google Scholar] [CrossRef]
- Eltamaly, A.M. Modeling of wind turbine driving permanent magnet generator with maximum power 383point tracking system. J. King Saud Univ.-Eng. Sci. 2007, 19, 223–236. [Google Scholar]
- Andalib, C.; Liang, X.; Zhang, H. Fuzzy-Secondary-Controller-Based Virtual Synchronous Generator 386 Control Scheme for Interfacing Inverters of Renewable Distributed Generation in Microgrids. IEEE Trans. Ind. Appl. 2018, 54, 1047–1061. [Google Scholar] [CrossRef]
- Sun, J. Impedance-based stability criterion for grid-connected inverters. IEEE Trans. Power Electron. 2011, 26, 3075–3078. [Google Scholar] [CrossRef]
- Hojjat, A.; Shih, L.H. Machine Learning, Neural Networks, Genetic Algorithms and Fuzzy Systems; John Wiley & Sons, Inc.: Hoboken, NJ, USA, 1995; p. 398. [Google Scholar]
- Hayer-Roth, F.; Waterman, D.; Lenat, D. Building Expert Systems; Addison—Wesley Publishing Company: Boston, MA, USA, 1983; p. 321. [Google Scholar]
- Waterman, D. A Guide to Export Systems; Addison—Wesley Publishing Company: Boston, MA, USA, 1986. [Google Scholar]
- Wiliams, J.M.; Zipser, D. A learning Algorithm for Continually Running Fully Recurrent Neural Networks. Neural Comput. 1989, 1, 270–280. [Google Scholar] [CrossRef]
- Kacalak, W.; Majewski, M. New Intelligent Interactive Automated Systems for Design of Machine Elements and Assemblies; Lecture Notes in Computer Science, LNCS; Springer: Berlin/Heidelberg, Germany, 2012; Volume 7666, pp. 115–122. [Google Scholar]
- Kacalak, W.; Majewski, M. Inteligentny system obustronnej głosowej komunikacji systemu pomiarowego z operatorem dla technologii mobilnych. Pomiary Autom. Kontrola 2009, 55, 221–224. [Google Scholar]
- Duer, S.; Paś, J.; Stawowy, M.; Hapka, A.; Duer, R.; Ostrowski, M.; Woźniak, M. Reliability testing of Wind Power Plant Devices with the Use of the Wind Power Plant Expert System. Energies 2022, 15, 3583. [Google Scholar] [CrossRef]
- Stawowy, M.; Rosinski, A.; Pas, J.; Klimczak, T. Method of Estimating Uncertainty as a Way to Evaluate Continuity Quality of Power Supply in Hospital Devices. Energies 2021, 14, 486. [Google Scholar] [CrossRef]
- Stawowy, M.; Olchowik, W.; Rosiński, A.; Dąbrowski, T. The Analysis and Modelling of the Quality of Information Acquired from Weather Station Sensors. Remote Sens. 2021, 13, 693. [Google Scholar] [CrossRef]
- Paś, J.; Rosiński, A.; Chrzan, M.; Białek, K. Reliability-Operational Analysis of the LED Lighting Module Including Electromagnetic Interference. IEEE Trans. Electromagn. Compact. 2020, 62, 2747–2758. [Google Scholar] [CrossRef]
- Zurada, I.M. Introduction to Artificial Neural Systems; West Publishing Company: St. Paul, MN, USA, 1992; p. 324. [Google Scholar]
- Duer, S. Examination of the reliability of a technical object after its regeneration in a maintenance system with an artificial neural network. Neural Comput. Appl. 2012, 21, 523–534. [Google Scholar] [CrossRef]
- Duer, S.; Zajkowski, K.; Harničárová, M.; Charun, H.; Bernatowicz, D. Examination of Multivalent Diagnoses Developed by a Diagnostic Program with an Artificial Neural Network for Devices in the Electric Hybrid Power Supply System “House on Water”. Energies 2021, 14, 2153. [Google Scholar] [CrossRef]
- Duer, S.; Zajkowski, K. Taking decisions in the expert intelligent system to support maintenance of a technical object on the basis information from an artificial neural network. Neural Comput. Appl. 2013, 23, 2185–2197. [Google Scholar] [CrossRef]
- Dyduch, J.; Paś, J.; Rosiński, A. The Basic of the Exploitation of Transport Electronic Systems; Publishing House of Radom University of Technology: Radom, Poland, 2011. [Google Scholar]
- Siergiejczyk, M.; Paś, J.; Rosiński, A. Issue of reliability–exploitation evaluation of electronic transport systems used in the railway environment with consideration of electromagnetic interference. IET Intell. Transp. Syst. 2016, 10, 587–593. [Google Scholar] [CrossRef]
- Siergiejczyk, M.; Rosiński, A. Analysis of power supply maintenance in transport telematics system. Solid State Phenom. 2014, 210, 14–19. [Google Scholar] [CrossRef]
- Kunjumuhammed, L.P.; Pal, B.C.; Oates, C.; Dyke, K.L. Electrical oscillations in wind farm systems: Analysis and insight based on detailed modeling. IEEE Trans. Sustain. Energy 2016, 7, 51–62. [Google Scholar] [CrossRef]
- Shahanaghi, K.; Babaei, H.; Bakhsha, A. A Chance Constrained Model for a Two Units Series Critical System Suffering From Continuous Deterioration. Int. J. Ind. Eng. Prod. Res. 2009, 20, 69–75. [Google Scholar]
- Gupta, M.M.; Jin, L.; Homma, N. Static and Dynamic Neural Networks, From Fundamentals to Advanced Theory; John Wiley and Sons, Inc.: Hoboken, NJ, USA, 2003; p. 718. [Google Scholar]
- Tang, L.; Liu, J.; Rong, A.; Yang, Z. Modeling and genetic algorithm solution for the slab stack shuffling problem when implementing steel rolling schedules. Int. J. Prod. Res. 2002, 40, 272–276. [Google Scholar] [CrossRef]
- Mathirajan, M.; Chandru, V.; Sivakumar, A.I. Heuristic algorithms for scheduling heat-treatment furnaces of steel casting industries. Sadahanant 2007, 32, 111–119. [Google Scholar] [CrossRef]
- Dhillon, B.S. Applied Reliability and Quality, Fundamentals, Methods, and Procedures; Springer: London, UK, 2006; p. 186. [Google Scholar]
- Duer, S.; Zajkowski, K.; Scaticailov, S.; Wrzesień, P. Analyses of the Method Development of Decisions in an Expert System with the Use of Information from an Artificial Neural Network. In Proceedings of the 22nd International Conference on Innovative Manufacturing Engineering and Energy—IMANE 2018: Innovation, Creativity, Learning and Education in Engineering, Chisinau, Moldova, 31 May–2 June 2018. [Google Scholar] [CrossRef]
- Duer, S.; Scaticailov, S.; Paś, J.; Duer, R.; Bernatowicz, D. Taking decisions in the diagnostic intelligent systems on the basis information from an artificial neural network. In Proceedings of the 22nd International Conference on Innovative Manufacturing Engineering and Energy—IMANE 2018: Innovation, Creativity, Learning and Education in Engineering, Chisinau, Moldova, 31 May–2 June 2018. [Google Scholar] [CrossRef][Green Version]
- Nakagawa, T. Maintenance Theory of Reliability; Springer: London, UK, 2005. [Google Scholar]
- Nakagawa, T.; Ito, K. Optimal inspection policies for a storage system with degradation at periodic tests. Math. Comput. Model. 2000, 31, 191–195. [Google Scholar]
- Pokoradi, L. Logical Tree of Mathematical Modeling. Theory Appl. Math. Comput. Sci. 2015, 5, 20–28. [Google Scholar]
- Dempster, A.P. Upper and lower probabilities induced by a multi-valued mapping. Ann. Math. Stat. 1967, 38, 325–339. [Google Scholar] [CrossRef]
- Badrzadeh, B.; Gupta, M.; Singh, N.; Petersson, A.; Max, L.; Høgdahl, M. Power system harmonic analysis in wind power plants-Part I: Study methodology and techniques. In Proceedings of the IEEE Industry Applications Society Annual Meeting, Las Vegas, NV, USA, 7–11 October 2012; pp. 1–11. [Google Scholar]
- Pogaku, N.; Prodanovic, M.; Green, T.C. Modeling, analysis and testing of autonomous operation of an inverter-based microgrid. IEEE Trans. Power Electron. 2007, 22, 613–625. [Google Scholar] [CrossRef]
- Buchannan, B.; Shortliffe, E. Rule—Based Expert Systems; Addison—Wesley Publishing Company: London, UK; Amsterdam, The Netherlands; Don Mills, ON, Canada; Sydney, Australia, 1985; p. 387. [Google Scholar]
- Chung, I.-H. Exploring the Influence of the Parameters’ Relationship between Reliability and Maintainability for Offshore Wind Farm Engineering. Energies 2022, 15, 5610. [Google Scholar] [CrossRef]
- Tavner, P.J.; Xiang, J.; Spinato, F. Reliability analysis for wind turbines. Wind. Energy 2007, 10, 1–18. [Google Scholar] [CrossRef]
- Ma, K.; Yang, Y.; Wang, H.; Blaabjerg, F. Design for Reliability of Power Electronics in Renewable Energy Systems; Green Energy and Technology; Springer: Berlin/Heidelberg, Germany, 2014; pp. 295–338. [Google Scholar]
- Wang, H.; Ma, K.; Blaabjerg, F. Design for Reliability of Power Electronic Systems. In Proceedings of the IECON 2012-38th Annual Conference on IEEE Industrial Electronics Society, Montreal, QC, Canada, 25–28 October 2012; pp. 33–44. [Google Scholar] [CrossRef]





| Parameter | Value [1/h] |
|---|---|
| λ12 | 0.00005 |
| λ13 | 0.00004 |
| λ14 | 0.00003 |
| λ15 | 0.00000514 |
| λ23 | 0.000031 |
| λ34 | 0.000033 |
| λ45 | 0.00000541 |
| μ21 | 0.0279 |
| μ31 | 0.0524 |
| μ41 | 0.167 |
| μ51 | 0.6 |
Publisher’s Note: MDPI stays neutral with regard to jurisdictional claims in published maps and institutional affiliations. |
© 2022 by the authors. Licensee MDPI, Basel, Switzerland. This article is an open access article distributed under the terms and conditions of the Creative Commons Attribution (CC BY) license (https://creativecommons.org/licenses/by/4.0/).
Share and Cite
Duer, S.; Rokosz, K.; Bernatowicz, D.; Ostrowski, A.; Woźniak, M.; Zajkowski, K.; Iqbal, A. Organization and Reliability Testing of a Wind Farm Device in Its Operational Process. Energies 2022, 15, 6255. https://doi.org/10.3390/en15176255
Duer S, Rokosz K, Bernatowicz D, Ostrowski A, Woźniak M, Zajkowski K, Iqbal A. Organization and Reliability Testing of a Wind Farm Device in Its Operational Process. Energies. 2022; 15(17):6255. https://doi.org/10.3390/en15176255
Chicago/Turabian StyleDuer, Stanisław, Krzysztof Rokosz, Dariusz Bernatowicz, Arkadiusz Ostrowski, Marek Woźniak, Konrad Zajkowski, and Atif Iqbal. 2022. "Organization and Reliability Testing of a Wind Farm Device in Its Operational Process" Energies 15, no. 17: 6255. https://doi.org/10.3390/en15176255
APA StyleDuer, S., Rokosz, K., Bernatowicz, D., Ostrowski, A., Woźniak, M., Zajkowski, K., & Iqbal, A. (2022). Organization and Reliability Testing of a Wind Farm Device in Its Operational Process. Energies, 15(17), 6255. https://doi.org/10.3390/en15176255

