Analysis and Design of Wireless Power Transfer Systems Applied to Electrical Vehicle Supercapacitor Charge Using Variable-Resistance-Based Method
Abstract
:1. Introduction
2. WPT System Model Using SC Load
2.1. Variable-Resistance-Based WPT System Model
2.2. Variable-Resistance Load Derivations
3. Analysis of SC-Load WPT System
3.1. Variation in Charging Process with Time
3.2. Effects of Transmitter Voltage on Efficiency
3.3. Effects of Frequency Offset on WPT System
3.4. Design Process of SC-Load WPT System
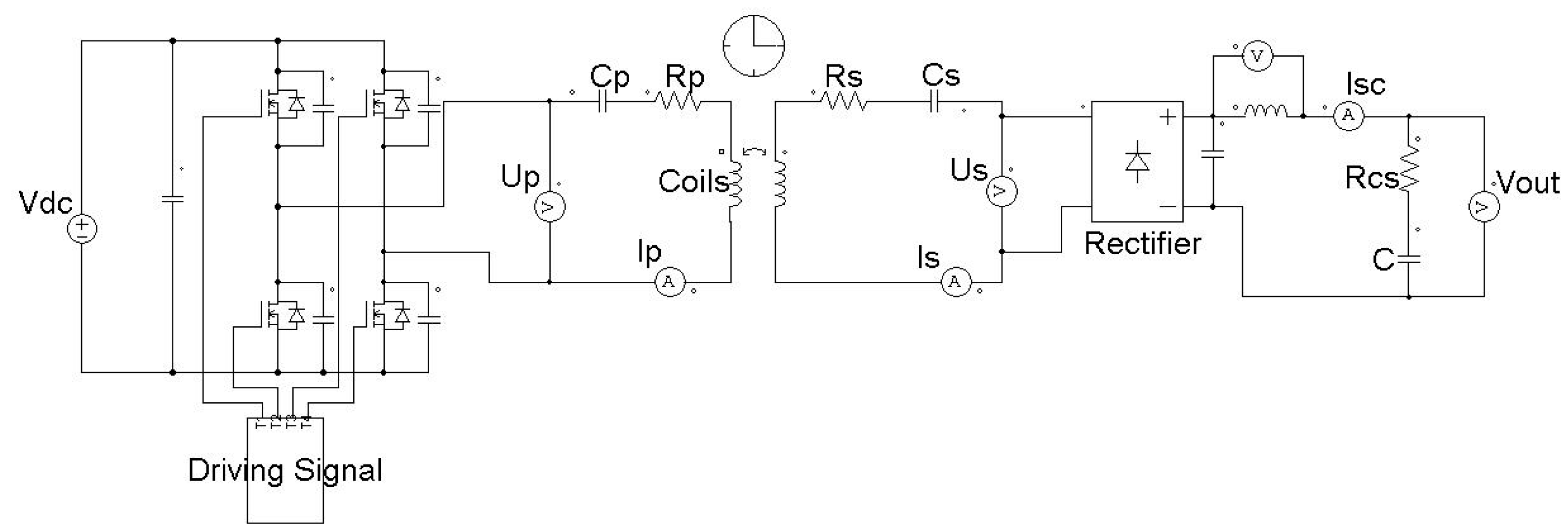
4. Simulation and Experiment Verification
4.1. Simulation and Experimental Setup
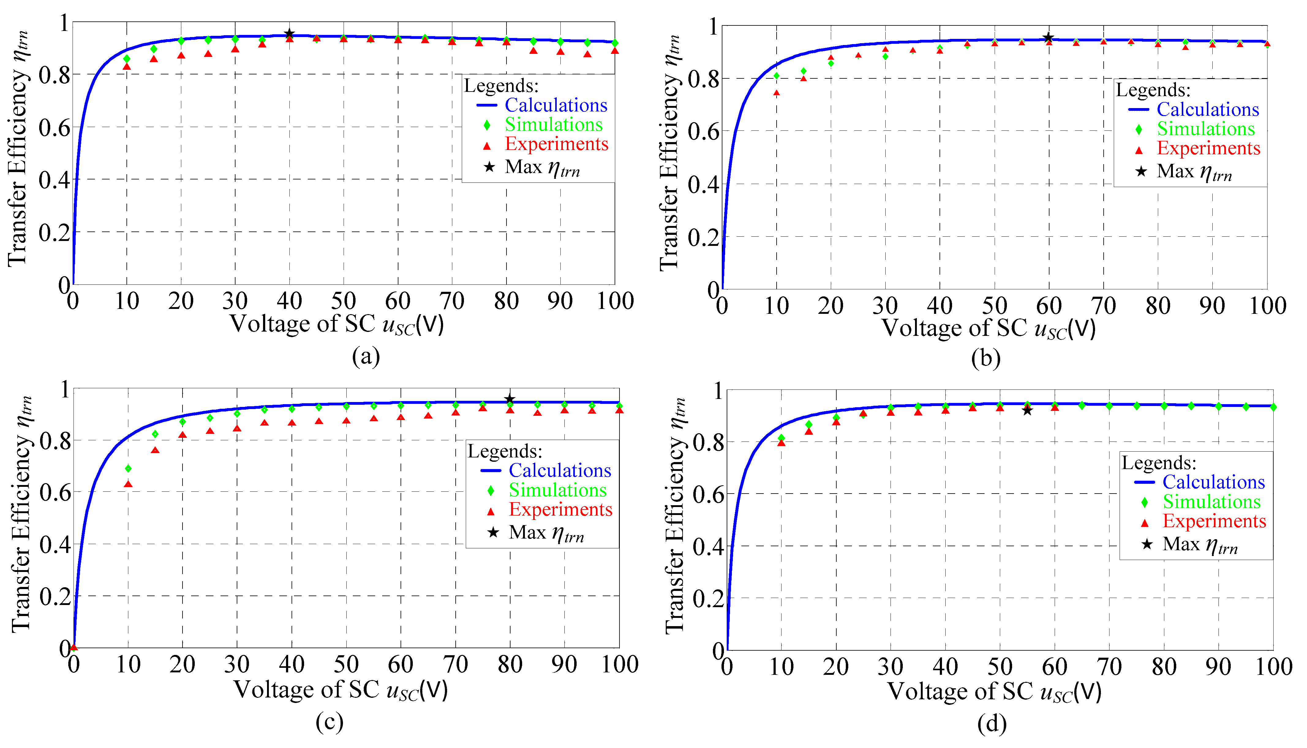
4.2. Results and Discussions
5. Conclusions
Author Contributions
Funding
Institutional Review Board Statement
Informed Consent Statement
Data Availability Statement
Conflicts of Interest
References
- Covic, G.A.; Boys, J.T. Modern trends in inductive power transfer for transportation applications. IEEE J. Emerg. Sel. Top. Power Electron. 2013, 1, 28–41. [Google Scholar] [CrossRef]
- Trivio, A.; González-González, J.M.; Aguado, J.A. Wireless Power Transfer Technologies Applied to Electric Vehicles: A Review. Energies 2021, 14, 1547. [Google Scholar] [CrossRef]
- Shin, J.; Shin, S.; Kim, Y.; Ahn, S.; Lee, S.; Jung, G.; Jeon, S.J.; Cho, D.H. Design and implementation of shaped magnetic-resonance-based wireless power transfer system for roadway-powered moving electric vehicles. IEEE Trans. Power Electron. 2014, 61, 1179–1192. [Google Scholar] [CrossRef]
- Kim, J.H.; Lee, B.S.; Lee, J.H.; Lee, S.H.; Park, C.B.; Jung, S.M.; Lee, S.-G.; Yi, K.-P.; Baek, J. Development of 1-MW Inductive Power Transfer System for a High-Speed Train. IEEE Trans. Ind. Electron. 2015, 62, 6242–6250. [Google Scholar] [CrossRef]
- Luo, B.; Long, T.; Guo, L.; Dai, R.; Mai, R.; He, Z. Analysis and Design of Inductive and Capacitive Hybrid Wireless Power Transfer System for Railway Application. IEEE Trans. Ind. Appl. 2020, 56, 3034–3042. [Google Scholar] [CrossRef]
- Park, C.B.; Lee, H.-W. Study on the Optimal Switching Frequency for Maximum Wireless Power Transfer in a Variable Airgap System. IEEE J. Emerg. Sel. Top. Power Electron. 2015, 3, 201–204. [Google Scholar] [CrossRef]
- Lee, G.; Kim, M.Y.; Lee, C.; Jang, D.; Lee, B.S.; Kim, J.H. Electromagnetic Field Tests of a 1-MW Wireless Power Transfer System for Light Rail Transit. Energies 2021, 14, 1171. [Google Scholar] [CrossRef]
- Rossi, C. Design Procedure Based on Maximum Efficiency for Wireless Power Transfer Battery Chargers with Lightweight Vehicle Assembly. Energies 2021, 15, 70. [Google Scholar]
- Zhang, Y.; Chen, K.; He, F.; Zhao, Z. Closed-form oriented modeling and analysis of wireless power transfer system with constant-voltage source and load. IEEE Trans. Power Electron. 2015, 31, 3472–3481. [Google Scholar] [CrossRef]
- Mamun, A.A.; Liu, Z.; Rizzo, D.M.; Onori, S. An Integrated Design and Control Optimization Framework for Hybrid Military Vehicle Using Lithium-Ion Battery and Supercapacitor as Energy Storage Devices. IEEE Trans. Transp. Electrif. 2019, 5, 239–251. [Google Scholar] [CrossRef]
- Wang, H.; Zhou, G.; Xue, R.; Lu, Y.; McCann, J.A. A Driving-Behavior-Based SoC Prediction Method for Light Urban Vehicles Powered by Supercapacitors. IEEE Trans. Intell. Transp. Syst. 2020, 21, 2090–2099. [Google Scholar] [CrossRef]
- Choi, S.Y.; Huh, J.; Lee, W.Y.; Rim, C.T. Asymmetric coil sets for wireless stationary EV chargers with large lateral tolerance by dominant field analysis. IEEE Trans. Power Electron. 2014, 29, 6406–6420. [Google Scholar] [CrossRef]
- Sample, A.P.; Meyer, D.A.; Smith, J.R. Analysis, experimental results, and range adaptation of magnetically coupled resonators for wireless power transfer. IEEE Trans. Ind. Electron. 2011, 58, 544–554. [Google Scholar] [CrossRef]
- Wu, H.H.; Gilchrist, A.; Sealy, K.D.; Bronson, D. A high efficiency 5 kw inductive charger for EVs using dual side control. IEEE Trans. Ind. Inform. 2012, 8, 585–595. [Google Scholar] [CrossRef]
- Imura, T.; Hori, Y. Maximizing air gap and efficiency of magnetic resonant coupling for wireless power transfer using equivalent circuit and Neumann formula. IEEE Trans. Ind. Electron. 2011, 58, 4746–4752. [Google Scholar] [CrossRef]
- Kim, S.; Park, H.H.; Kim, J.; Kim, J.; Ahn, S. Design and analysis of a resonant reactive shield for a wireless power electric vehicle. IEEE Trans. Microw. Theory Tech. 2014, 62, 1057–1066. [Google Scholar] [CrossRef]
- Zheng, C.; Ma, H.; Lai, J.S.; Zhang, L. Design considerations to reduce gap variation and misalignment effects for the inductive power transfer system. IEEE Trans. Power Electron. 2015, 30, 6108–6119. [Google Scholar] [CrossRef]
- Neath, M.J.; Swain, A.K.; Madawala, U.K.; Thrimawithana, D.J. An optimal PID controller for a bidirectional inductive power transfer system using multi-objective genetic algorithm. IEEE Trans. Power Electron. 2014, 29, 1523–1531. [Google Scholar] [CrossRef]
- Madawala, U.K.; Thrimawithana, D.J.; Kularatna, N. An ICPT-supercapacitor hybrid system for surge-free power transfer. IEEE Trans. Ind. Electron. 2008, 54, 3287–3297. [Google Scholar] [CrossRef]
- Geng, Y.; Li, B.; Yang, Z.; Lin, F.; Sun, H. A high efficiency charging strategy for a supercapacitor using a wireless power transfer system based on inductor/capacitor/capacitor (LCC) compensation topology. Energies 2017, 10, 135. [Google Scholar] [CrossRef]
- Li, Z.; Zhu, C.; Jiang, J.; Song, K.; Wei, G. A 3-kW Wireless Power Transfer System for Sightseeing Car Supercapacitor Charge. IEEE Trans. Power Electron. 2017, 32, 3301–3316. [Google Scholar] [CrossRef]
- Wu, Y.; Zhang, C.; Liu, B. Research on the quick charging method of wireless power transfer system for supercapacitor. In Proceedings of the 2018 13th IEEE Conference on Industrial Electronics and Applications (ICIEA), Wuhan, China, 31 May–2 June 2018; pp. 582–587. [Google Scholar] [CrossRef]
- Hanajiri, K.; Hata, K.; Imura, T.; Fujimoto, H. Maximum Efficiency Operation in Wider Output Power Range of Wireless In-Wheel Motor with Wheel-Side Supercapacitor. In Proceedings of the 44th Annual Conference of the IEEE Industrial Electronics Society (IECON 2018), Washington, DC, USA, 21–23 October 2018; pp. 5177–5182. [Google Scholar] [CrossRef]
- Campagna, N.; Castiglia, V.; Miceli, R. Fuel Cell Based Inductive Power Transfer System for Supercapacitors Constant Current Charging. In Proceedings of the 2021 Sixteenth International Conference on Ecological Vehicles and Renewable Energies (EVER), Monte-Carlo, Monaco, 5–7 May 2021; pp. 1–6. [Google Scholar] [CrossRef]
















| Symbols | Note | Value | 
|---|---|---|
| Ubus | DC bus voltage | 80 V | 
| f | Operating frequency | 58 kHz | 
| L1 | Transmitting side coil inductance | 174.6 μH | 
| L2 | Receiving side coil inductance | 175 μH | 
| R1 | Transmitting side coil self-resistance | 0.23 Ω | 
| R2 | Receiving side coil self-resistance | 0.29 Ω | 
| M | Mutual inductance | 47 μH | 
| C1 | Transmitting side compensation capacitance | 44.4 nF | 
| C2 | Receiving side compensation capacitance | 44.2 nF | 
| C | Load SC | 18 F | 
| Ld | Filter inductance | 2.5 mH | 
| Cd | Filter capacitance | 500 μF | 
| Publisher’s Note: MDPI stays neutral with regard to jurisdictional claims in published maps and institutional affiliations. | 
© 2022 by the authors. Licensee MDPI, Basel, Switzerland. This article is an open access article distributed under the terms and conditions of the Creative Commons Attribution (CC BY) license (https://creativecommons.org/licenses/by/4.0/).
Share and Cite
Geng, Y.; Wang, T.; Xie, S.; Yang, Y. Analysis and Design of Wireless Power Transfer Systems Applied to Electrical Vehicle Supercapacitor Charge Using Variable-Resistance-Based Method. Energies 2022, 15, 5867. https://doi.org/10.3390/en15165867
Geng Y, Wang T, Xie S, Yang Y. Analysis and Design of Wireless Power Transfer Systems Applied to Electrical Vehicle Supercapacitor Charge Using Variable-Resistance-Based Method. Energies. 2022; 15(16):5867. https://doi.org/10.3390/en15165867
Chicago/Turabian StyleGeng, Yuyu, Tao Wang, Shiyun Xie, and Yi Yang. 2022. "Analysis and Design of Wireless Power Transfer Systems Applied to Electrical Vehicle Supercapacitor Charge Using Variable-Resistance-Based Method" Energies 15, no. 16: 5867. https://doi.org/10.3390/en15165867
APA StyleGeng, Y., Wang, T., Xie, S., & Yang, Y. (2022). Analysis and Design of Wireless Power Transfer Systems Applied to Electrical Vehicle Supercapacitor Charge Using Variable-Resistance-Based Method. Energies, 15(16), 5867. https://doi.org/10.3390/en15165867
 
         
                                                

 
       