Modeling of NOMA-MIMO-Based Power Domain for 5G Network under Selective Rayleigh Fading Channels
Abstract
:1. Introduction
- Two different bandwidths (BWs) for the NOMA system over a Rayleigh fading channel are proposed and investigated;
- Improvements in the system have been examined when NOMA and MIMO are used together to handle four users.
2. Related Work
3. System Model
3.1. DL Scenario
3.2. UL Scenario
3.2.1. Capacity Rates Achievable of Four Users UL NOMA
3.2.2. OP of Four Users UL NOMA
4. Simulation Parameters
5. Results and Discussions
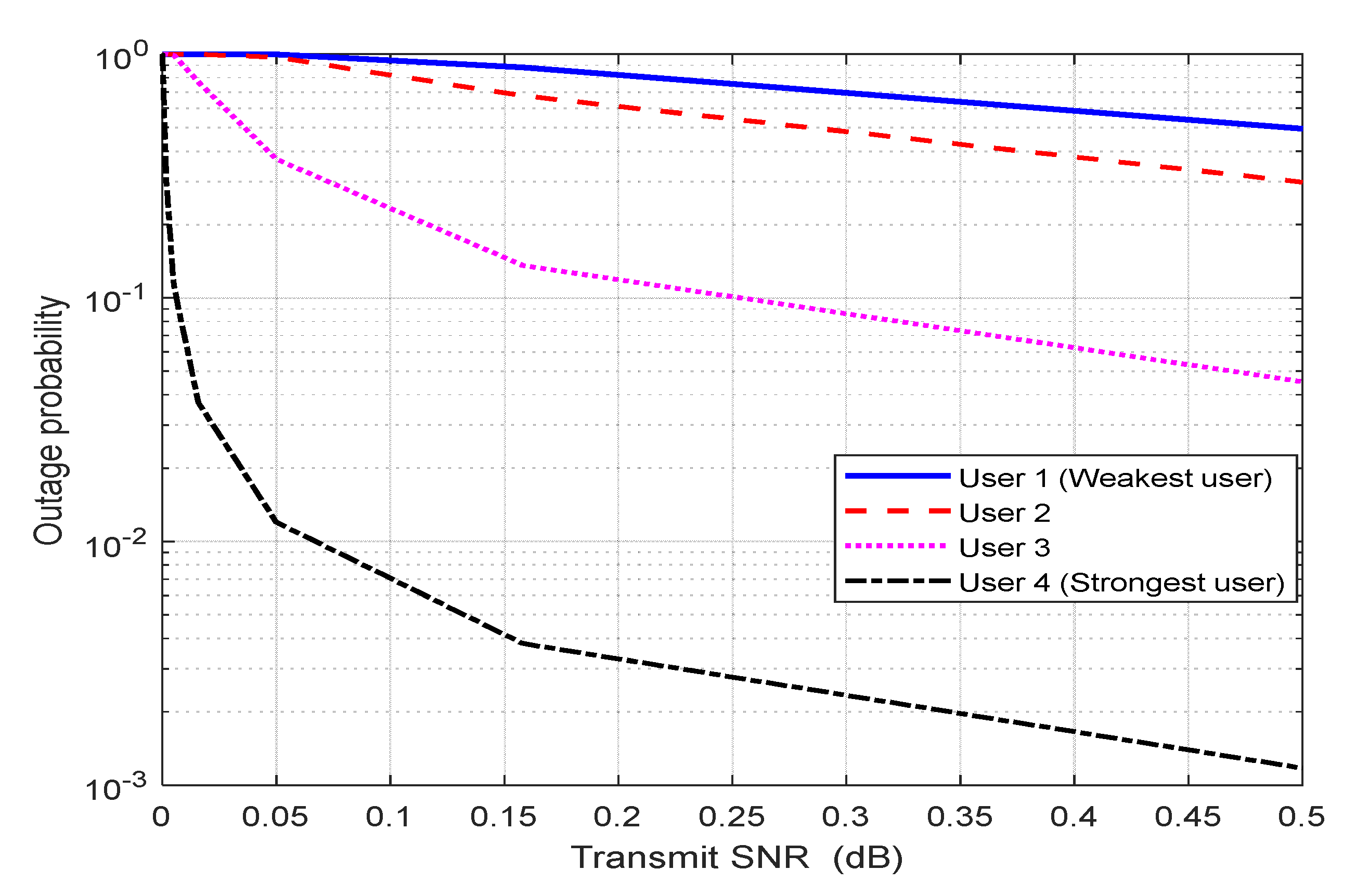
5.1. The Outcomes of the DL Scenario
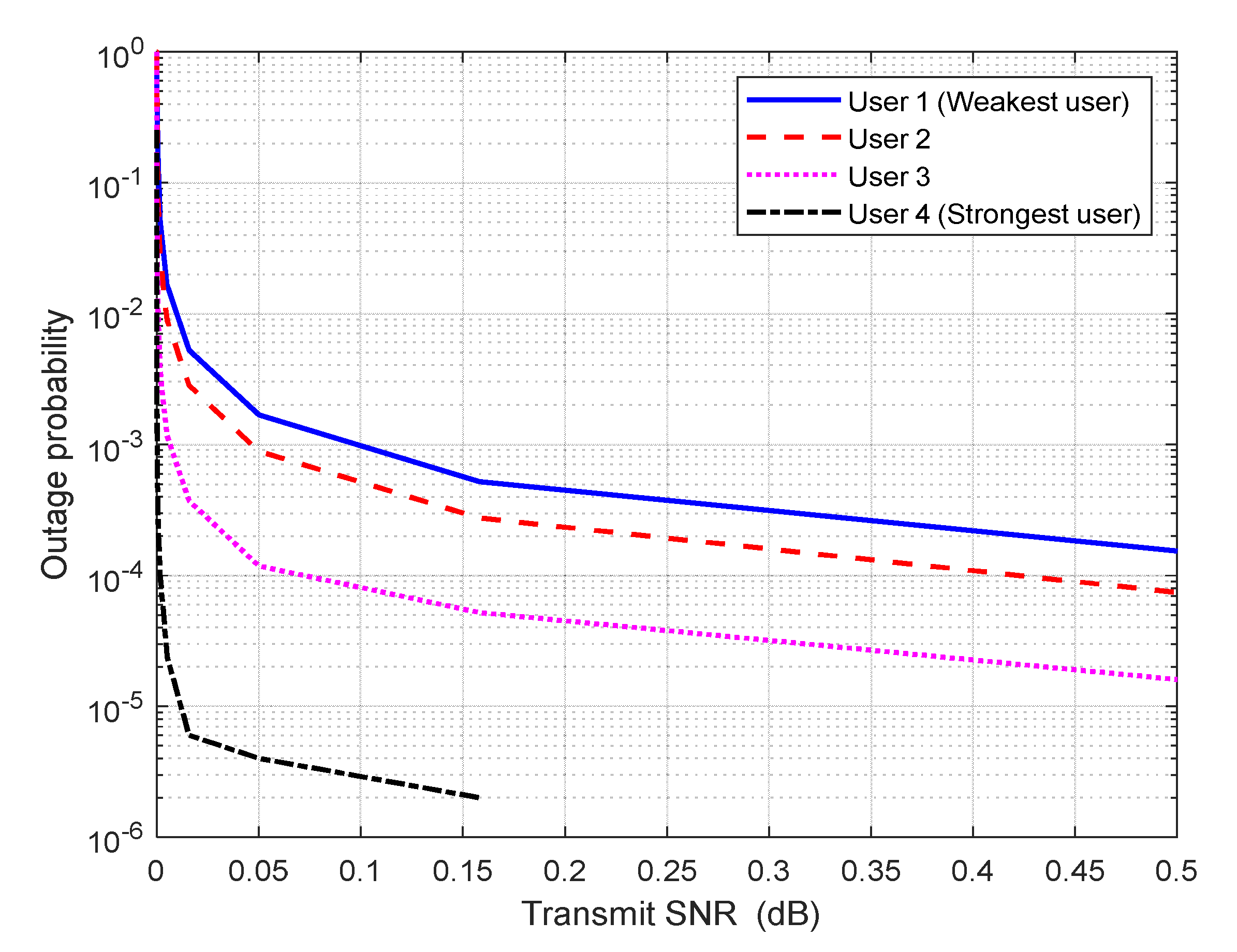
5.2. The Outcomes of the UL Scenario
6. Conclusions and Future Work
Author Contributions
Funding
Institutional Review Board Statement
Informed Consent Statement
Data Availability Statement
Acknowledgments
Conflicts of Interest
References
- Dai, L.; Wang, B.; Yuan, Y.; Han, S.; Chih-Lin, I.; Wang, Z. Non-orthogonal multiple access for 5G: Solutions, challenges, opportunities, and future research trends. IEEE Commun. Mag. 2015, 53, 74–81. [Google Scholar] [CrossRef]
- Timotheou, S.; Krikidis, I. Fairness for non-orthogonal multiple access in 5G systems. IEEE Signal Processing Lett. 2015, 22, 1647–1651. [Google Scholar] [CrossRef] [Green Version]
- Chen, Z.; Ding, Z.; Dai, X.; Zhang, R. An optimization perspective of the superiority of NOMA compared to conventional OMA. IEEE Trans. Signal Processing 2017, 65, 5191–5202. [Google Scholar] [CrossRef] [Green Version]
- Feng, D. Performance comparison on NOMA schemes in high speed scenario. In Proceedings of the 2019 IEEE 2nd International Conference on Electronics Technology (ICET), Chengdu, China, 10–13 May 2019; pp. 112–116. [Google Scholar]
- Bello, M.; Chorti, A.; Fijalkow, I.; Yu, W.; Musavian, L. Asymptotic performance analysis of NOMA uplink networks under statistical QoS delay constraints. IEEE Open J. Commun. Soc. 2020, 1, 1691–1706. [Google Scholar] [CrossRef]
- Maatouk, A.; Assaad, M.; Ephremides, A. Minimizing the age of information: NOMA or OMA? In Proceedings of the IEEE INFOCOM 2019-IEEE Conference on Computer Communications Workshops (INFOCOM WKSHPS), Paris, France, 29 April–2 May 2019; pp. 102–108. [Google Scholar]
- Wei, Z.; Yang, L.; Ng, D.W.K.; Yuan, J.; Hanzo, L. On the performance gain of NOMA over OMA in uplink communication systems. IEEE Trans. Commun. 2019, 68, 536–568. [Google Scholar] [CrossRef] [Green Version]
- Ding, Z.; Zhao, Z.; Peng, M.; Poor, H.V. On the spectral efficiency and security enhancements of NOMA assisted multicast-unicast streaming. IEEE Trans. Commun. 2017, 65, 3151–3163. [Google Scholar] [CrossRef]
- Hassan, M.; Singh, M.; Hamid, K. Survey on NOMA and Spectrum Sharing Techniques in 5G. In Proceedings of the 2021 IEEE International Conference on Smart Information Systems and Technologies (SIST), Nur-Sultan, Kazakhstan, 28–30 April 2021; pp. 1–4. [Google Scholar]
- Makki, B.; Chitti, K.; Behravan, A.; Alouini, M.-S. A survey of NOMA: Current status and open research challenges. IEEE Open J. Commun. Soc. 2020, 1, 179–189. [Google Scholar] [CrossRef] [Green Version]
- Shahab, M.B.; Johnson, S.J.; Shirvanimoghaddam, M.; Chafii, M.; Basar, E.; Dohler, M. Index modulation aided uplink NOMA for massive machine type communications. IEEE Wirel. Commun. Lett. 2020, 9, 2159–2162. [Google Scholar] [CrossRef]
- Cejudo, E.C.; Zhu, H.; Alluhaibi, O. On the power allocation and constellation selection in downlink NOMA. In Proceedings of the 2017 IEEE 86th Vehicular Technology Conference (VTC-Fall), Toronto, ON, Canada, 24–27 September 2017; pp. 1–5. [Google Scholar]
- Lei, L.; Yuan, D.; Ho, C.K.; Sun, S. Power and channel allocation for non-orthogonal multiple access in 5G systems: Tractability and computation. IEEE Trans. Wirel. Commun. 2016, 15, 8580–8594. [Google Scholar] [CrossRef] [Green Version]
- Chandrasekhar, R.; Navya, R.; Kumari, P.K.; Kausal, K.; Bharathi, V.; Singh, P. Performance evaluation of MIMO-NOMA for the next generation wireless communications. In Proceedings of the 2021 3rd International Conference on Signal Processing and Communication (ICPSC), Coimbatore, India, 13–14 May 2021; pp. 631–636. [Google Scholar]
- Saetan, W.; Thipchaksurat, S. Application of deep learning to energy-efficient power allocation scheme for 5G SC-NOMA system with imperfect SIC. In Proceedings of the 2019 16th International Conference on Electrical Engineering/Electronics, Computer, Telecommunications and Information Technology (ECTI-CON), Pattaya, Thailand, 10–13 July 2019; pp. 661–664. [Google Scholar]
- Tweed, D.; Le-Ngoc, T. Dynamic resource allocation for uplink MIMO NOMA VWN with imperfect SIC. In Proceedings of the 2018 IEEE International Conference on Communications (ICC), Kansas City, MO, USA, 20–24 May 2018; pp. 1–6. [Google Scholar]
- Krishnamoorthy, A.; Huang, M.; Schober, R. Precoder design and power allocation for downlink MIMO-NOMA via simultaneous triangularization. In Proceedings of the 2021 IEEE Wireless Communications and Networking Conference (WCNC), Nanjing, China, 29 March–1 April 2021; pp. 1–6. [Google Scholar]
- Hua, Y.; Wang, N.; Zhao, K. Simultaneous unknown input and state estimation for the linear system with a rank-deficient distribution matrix. Math. Probl. Eng. 2021, 2021, 6693690. [Google Scholar] [CrossRef]
- Sun, H.; Sun, J.; Zhao, K.; Wang, L.; Wang, K. Data-Driven ICA-Bi-LSTM-Combined Lithium Battery SOH Estimation. Math. Probl. Eng. 2022, 2022, 9645892. [Google Scholar] [CrossRef]
- Rehman, B.U.; Babar, M.I.; Ahmad, A.W.; Alhumyani, H.; Abdel Azim, G.; Saeed, R.A.; Abdel Khalek, S. Joint power control and user grouping for uplink power domain non-orthogonal multiple access. Int. J. Distrib. Sens. Netw. 2021, 17, 15501477211057443. [Google Scholar] [CrossRef]
- Shieh, S.-L.; Lin, C.-H.; Huang, Y.-C.; Wang, C.-L. On gray labeling for downlink non-orthogonal multiple access without SIC. IEEE Commun. Lett. 2016, 20, 1721–1724. [Google Scholar] [CrossRef]
- Al Rabee, F.; Davaslioglu, K.; Gitlin, R. The optimum received power levels of uplink non-orthogonal multiple access (NOMA) signals. In Proceedings of the 2017 IEEE 18th Wireless and Microwave Technology Conference (WAMICON), Cocoa Beach, FL, USA, 24–25 April 2017; pp. 1–4. [Google Scholar]
- Tweed, D.; Derakhshani, M.; Parsaeefard, S.; Le-Ngoc, T. Outage-constrained resource allocation in uplink NOMA for critical applications. IEEE Access 2017, 5, 27636–27648. [Google Scholar] [CrossRef]
- Ding, Z.; Lei, X.; Karagiannidis, G.K.; Schober, R.; Yuan, J.; Bhargava, V.K. A survey on non-orthogonal multiple access for 5G networks: Research challenges and future trends. IEEE J. Sel. Areas Commun. 2017, 35, 2181–2195. [Google Scholar] [CrossRef] [Green Version]
- Moriyama, M.; Kurosawa, A.; Matsuda, T.; Matsumura, T. A Study of Parallel Interference Cancellation Combined with Successive Interference Cancellation for UL-NOMA Systems. In Proceedings of the 2021 24th International Symposium on Wireless Personal Multimedia Communications (WPMC), Okayama, Japan, 14–16 December 2021; pp. 1–6. [Google Scholar]
- Hassan, M.B.; Ali, E.S.; Saeed, R.A. Ultra-Massive MIMO in THz Communications: Concepts, Challenges and Applications. In Next Generation Wireless Terahertz Communication Networks, 1st ed.; CRC Press: Boca Raton, FL, USA, 2021; Chapter 10; pp. 267–297. [Google Scholar]
- Budhiraja, I.; Kumar, N.; Tyagi, S.; Tanwar, S.; Han, Z.; Piran, M.J.; Suh, D.Y. A systematic review on NOMA variants for 5G and beyond. IEEE Access 2021, 9, 85573–85644. [Google Scholar] [CrossRef]
- Celik, A.; Al-Qahtani, F.S.; Radaydeh, R.M.; Alouini, M.-S. Cluster formation and joint power-bandwidth allocation for imperfect NOMA in DL-HetNets. In Proceedings of the GLOBECOM 2017-2017 IEEE Global Communications Conference, Singapore, 4–8 December 2017; pp. 1–6. [Google Scholar]
- Zeng, J.; Lv, T.; Liu, R.P.; Su, X.; Peng, M.; Wang, C.; Mei, J. Investigation on evolving single-carrier NOMA into multi-carrier NOMA in 5G. IEEE Access 2018, 6, 48268–48288. [Google Scholar] [CrossRef]
- Islam, S.R.; Avazov, N.; Dobre, O.A.; Kwak, K.-S. Power-domain non-orthogonal multiple access (NOMA) in 5G systems: Potentials and challenges. IEEE Commun. Surv. Tutor. 2016, 19, 721–742. [Google Scholar] [CrossRef] [Green Version]
- Alsaqour, R.; Ali, E.S.; Mokhtar, R.A.; Saeed, R.A.; Alhumyani, H.; Abdelhaq, M. Efficient Energy Mechanism in Heterogeneous WSNs for Underground Mining Monitoring Applications. IEEE Access 2022, 10, 72907–72924. [Google Scholar] [CrossRef]
- Aldababsa, M.; Göztepe, C.; Kurt, G.K.; Kucur, O. Bit error rate for NOMA network. IEEE Commun. Lett. 2020, 24, 1188–1191. [Google Scholar] [CrossRef]
- Al-Abbasi, Z.Q.; Khamis, M.A. Spectral efficiency (SE) enhancement of NOMA system through iterative power assignment. Wirel. Netw. 2021, 27, 1309–1317. [Google Scholar] [CrossRef]
- Li, S.; Wei, Z.; Yuan, W.; Yuan, J.; Bai, B.; Ng, D.W.K. On the achievable rates of uplink NOMA with asynchronized transmission. In Proceedings of the 2021 IEEE Wireless Communications and Networking Conference (WCNC), Nanjing, China, 29 March–1 April 2021; pp. 1–7. [Google Scholar]
- Choi, J. Minimum power multicast beamforming with superposition coding for multiresolution broadcast and application to NOMA systems. IEEE Trans. Commun. 2015, 63, 791–800. [Google Scholar] [CrossRef]
- Liu, F.; Petrova, M. Proportional fair scheduling for downlink single-carrier NOMA systems. In Proceedings of the GLOBECOM 2017-2017 IEEE Global Communications Conference, Singapore, 4–8 December 2017; pp. 1–7. [Google Scholar]
- Saeed, R.A.; Abbas, E.B. Performance evaluation of MIMO FSO communication with gamma-gamma turbulence channel using diversity techniques. In Proceedings of the 2018 International Conference on Computer, Control, Electrical, and Electronics Engineering (ICCCEEE), Khartoum, Sudan, 12–14 August 2018; pp. 1–5. [Google Scholar]
- Shen, D.; Wei, C.; Zhou, X.; Wang, L.; Xu, C. Photon Counting Based Iterative Quantum Non-Orthogonal Multiple Access with Spatial Coupling. In Proceedings of the 2018 IEEE Global Communications Conference (GLOBECOM), Abu Dhabi, United Arab Emirates, 9–13 December 2018; pp. 1–6. [Google Scholar]
- Mokhtar, R.A.; Saeed, R.A.; Alhumyani, H. Cooperative Fusion Architecture-based Distributed Spectrum Sensing Under Rayleigh Fading Channel. Wirel. Pers. Commun. 2022, 124, 839–865. [Google Scholar] [CrossRef]
- Lo, S.-H.; Chen, Y.-F. Subcarrier Allocation for Rate Maximization in Multiuser OFDM NOMA Systems on Downlink Beamforming. In Proceedings of the 2020 6th International Conference on Applied System Innovation (ICASI), Taitung, Taiwan, 5–8 November 2020; pp. 56–61. [Google Scholar]
- Abdelrahman, Y.T.; Saeed, R.A.; El-Tahir, A. Multiple Physical Layer Pipes performance for DVB-T2. In Proceedings of the 2017 International Conference on Communication, Control, Computing and Electronics Engineering (ICCCCEE), Khartoum, Sudan, 16–18 January 2017; pp. 1–7. [Google Scholar]
- Sedaghat, M.A.; Müller, R.R. On user pairing in uplink NOMA. IEEE Trans. Wirel. Commun. 2018, 17, 3474–3486. [Google Scholar] [CrossRef]
- Agarwal, A.; Chaurasiya, R.; Rai, S.; Jagannatham, A.K. Outage probability analysis for NOMA downlink and uplink communication systems with generalized fading channels. IEEE Access 2020, 8, 220461–220481. [Google Scholar] [CrossRef]
- Mukhtar, A.M.; Saeed, R.A.; Mokhtar, R.A.; Ali, E.S.; Alhumyani, H. Performance Evaluation of Downlink Coordinated Multipoint Joint Transmission under Heavy IoT Traffic Load. Wirel. Commun. Mob. Comput. 2022, 2022, 6837780. [Google Scholar] [CrossRef]
- Do, D.-T.; Nguyen, T.-T.T.; Nguyen, T.N.; Li, X.; Voznak, M. Uplink and downlink NOMA transmission using full-duplex UAV. IEEE Access 2020, 8, 164347–164364. [Google Scholar] [CrossRef]
- Krishnamoorthy, A.; Schober, R. Uplink and downlink MIMO-NOMA with simultaneous triangularization. IEEE Trans. Wirel. Commun. 2021, 20, 3381–3396. [Google Scholar] [CrossRef]
- Do, D.-T.; Nguyen, T.-L.; Ekin, S.; Kaleem, Z.; Voznak, M. Joint user grouping and decoding order in uplink/downlink MISO/SIMO-NOMA. IEEE Access 2020, 8, 143632–143643. [Google Scholar] [CrossRef]
- Elbamby, M.S.; Bennis, M.; Saad, W.; Debbah, M.; Latva-Aho, M. Resource optimization and power allocation in in-band full duplex-enabled non-orthogonal multiple access networks. IEEE J. Sel. Areas Commun. 2017, 35, 2860–2873. [Google Scholar] [CrossRef]
- Elfatih, N.M.; Hasan, M.K.; Kamal, Z.; Gupta, D.; Saeed, R.A.; Ali, E.S.; Hosain, M.S. Internet of vehicle’s resource management in 5G networks using AI technologies: Current status and trends. IET Commun. 2022, 16, 400–420. [Google Scholar] [CrossRef]


















| No. | Parameters | Values | |
|---|---|---|---|
| 1. | Number of users | 4 users | |
| 2. | Transmit power | 0 to 40 dBm | |
| 3. | Bandwidth | BW 1 | 80 MHz |
| BW 2 | 200 MHz | ||
| 4. | Distances | User 1 | 800 m |
| User 2 | 600 m | ||
| User 3 | 300 m | ||
| User 4 | 100 m | ||
| 5. | Power coefficients | User 1 | 0.75 |
| User 2 | 0.188 | ||
| User 3 | 0.047 | ||
| User 4 | 0.011 | ||
| 6. | Path loss exponent | 4 | |
| 7. | MIMO | 64 × 64 | |
| 8. | Modulation | QPSK | |
| No. | Parameters | Values | |
|---|---|---|---|
| 1. | Number of users | 4 users | |
| 2. | Transmit power | −30 to 30 dBm | |
| 3. | Bandwidth | BW1 | 80 MHz |
| BW2 | 200 MHz | ||
| 4. | Distances | User1 | 800 m |
| User 2 | 600 m | ||
| User 3 | 300 m | ||
| User 4 | 100 m | ||
| 6. | Path loss exponent | 4 | |
| 7. | MIMO | 64 × 64 | |
Publisher’s Note: MDPI stays neutral with regard to jurisdictional claims in published maps and institutional affiliations. |
© 2022 by the authors. Licensee MDPI, Basel, Switzerland. This article is an open access article distributed under the terms and conditions of the Creative Commons Attribution (CC BY) license (https://creativecommons.org/licenses/by/4.0/).
Share and Cite
Hassan, M.; Singh, M.; Hamid, K.; Saeed, R.; Abdelhaq, M.; Alsaqour, R. Modeling of NOMA-MIMO-Based Power Domain for 5G Network under Selective Rayleigh Fading Channels. Energies 2022, 15, 5668. https://doi.org/10.3390/en15155668
Hassan M, Singh M, Hamid K, Saeed R, Abdelhaq M, Alsaqour R. Modeling of NOMA-MIMO-Based Power Domain for 5G Network under Selective Rayleigh Fading Channels. Energies. 2022; 15(15):5668. https://doi.org/10.3390/en15155668
Chicago/Turabian StyleHassan, Mohamed, Manwinder Singh, Khalid Hamid, Rashid Saeed, Maha Abdelhaq, and Raed Alsaqour. 2022. "Modeling of NOMA-MIMO-Based Power Domain for 5G Network under Selective Rayleigh Fading Channels" Energies 15, no. 15: 5668. https://doi.org/10.3390/en15155668
APA StyleHassan, M., Singh, M., Hamid, K., Saeed, R., Abdelhaq, M., & Alsaqour, R. (2022). Modeling of NOMA-MIMO-Based Power Domain for 5G Network under Selective Rayleigh Fading Channels. Energies, 15(15), 5668. https://doi.org/10.3390/en15155668

