Energy Loss Reduction for Distribution Networks with Energy Storage Systems via Loss Sensitive Factor Method
Abstract
:1. Introduction
- A two-stage method is proposed to explore the loss-reduction potential of using ESS for new power systems with high penetration of renewable energies, where the integrated management of ESS including the location selection, optimal scheduling, and working modes selection is considered.
- For the ESS scheduling problem, the uncertainties of renewable energies are formulated as confidence levels with probability constraints and transformed into deterministic constraints through the chance constraint programming method.
- Various ESS usage scenarios are analyzed, including co-working of multiple ESS, working modes of ESS, and the influence of the ESS capacities. Extensive numerical simulations based on IEEE 33 standard distribution system are conducted to demonstrate the effectiveness of the proposed method.
2. Main Results
2.1. Problem Formulation
2.2. The Proposed Two-Stage Method
2.3. Stage One: Key-Bus Location Selection
2.4. Stage Two: Optimal Scheduling of ESS
2.4.1. Objective Function
2.4.2. Equivalent Load Model
2.4.3. Capacity Constraint
2.4.4. Charging-Discharging Cycle Constraint
2.4.5. PV Model and WT Model
2.4.6. Chance Constraint
3. Numerical Simulation
3.1. LSF-Based Key-Bus Location and Quantity Selection
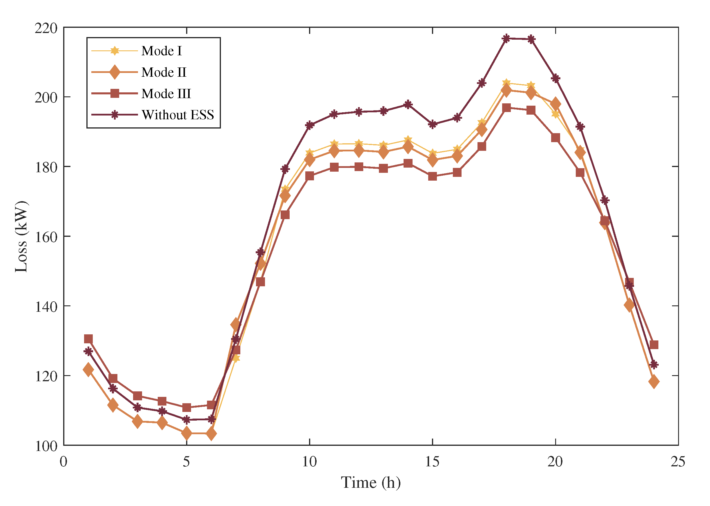
3.2. Loss-Reduction Performance Analysis
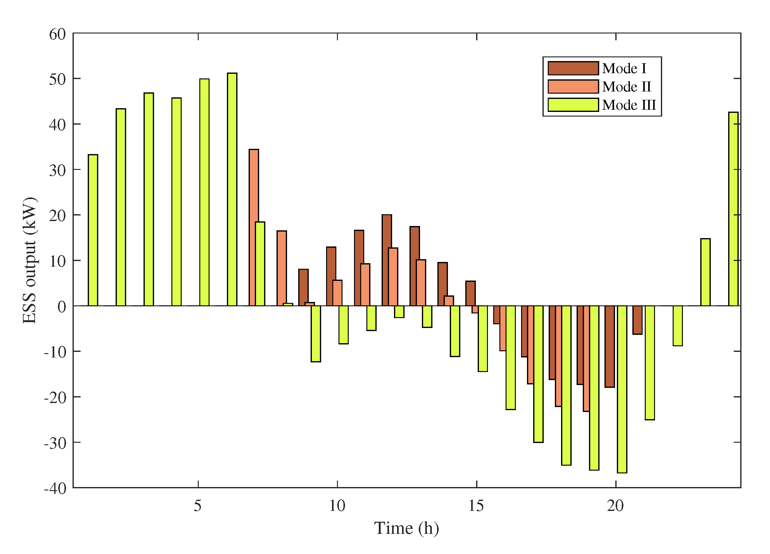
3.3. Optimal Scheduling Analysis
3.3.1. Optimal Results Analysis
3.3.2. EL Curve Analysis with Different Capacities
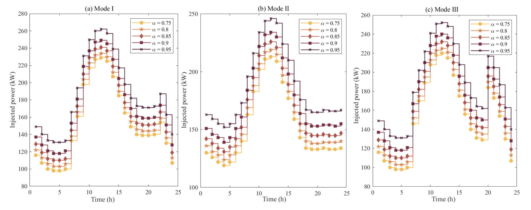
3.3.3. Confidence Levels Analysis
4. Conclusions
- 1.
- For the LSF-based key-bus selection method, it was found that although more losses can be reduced by increasing the quantity of ESS, there was a critical value for the number of ESS to balance the cost and the loss-reduction performance where negligible improvements would be obtained if the number of ESS exceeding the critical value (in the numerical simulation, the critical value is 3). Moreover, the proposed LSF method performed uniformly better than the high-load method in key-bus selection.
- 2.
- Three typical working modes for the operation of ESS were studied, where it was found that the whole-day period working mode (Mode III) performed uniformly better than the other two working modes due to the fact that longer working time was adopted. However, the improvements were not significant as the most effective time for ESS to reduce loss was the peak period (from 9:00–21:00) which were also fully or partially covered by the other working modes.
- 3.
- The influence of the capacities of the ESS on the loss-reduction performance was analyzed, where marginal improvements were obtained by increasing the ESS capacities. This means that the capacity was not the main factor affecting the loss-reduction performance. Moreover, the confidence level of the uncertainties induced by the renewable energies provided a balance between the risk tolerance and the system stability.
Author Contributions
Funding
Institutional Review Board Statement
Informed Consent Statement
Data Availability Statement
Conflicts of Interest
References
- Usman, M.; Coppo, M.; Bignucolo, F.; Turri, R. Losses management strategies in active distribution networks: A review. Electr. Power Syst. Res. 2018, 163, 116–132. [Google Scholar] [CrossRef]
- Passey, R.; Spooner, T.; MacGill, I.; Watt, M.; Syngellakis, K. The potential impacts of grid-connected distributed generation and how to address them: A review of technical and non-technical factors. Energy Policy 2011 39, 6280–6290. [CrossRef]
- Chen, P.; Tang, R.; Tong, W.; Jia, J.; Duan, Q. Permanent magnet eddy current loss and its influence of high power density permanent magnet synchronous motor. Trans. China Electrotech. Soc. 2015, 30, 1–9. [Google Scholar]
- Monteiro, R.V.A.; Bonaldo, J.P.; da Silva, R.F.; Bretas, A.S. Electric distribution network reconfiguration optimized for PV distributed generation and energy storage. Electr. Power Syst. Res. 2020, 184, 106319. [Google Scholar] [CrossRef]
- Rajičić, D.; Todorovski, M. Participation of every generator to loads, currents, and power losses. IEEE Trans. Power Syst. 2020, 36, 1638–1640. [Google Scholar] [CrossRef]
- Shaheen, A.M.; Elsayed, A.M.; El-Sehiemy, R.A.; Abdelaziz, A.Y. Equilibrium optimization algorithm for network reconfiguration and distributed generation allocation in power systems. Appl. Soft Comput. 2020, 98, 106867. [Google Scholar] [CrossRef]
- Li, H.; Wang, Z.; Chen, G.; Dong, Z.Y. Distributed robust algorithm for economic dispatch in smart grids over general unbalanced directed networks. IEEE Trans. Ind. Inform. 2019, 16, 4322–4332. [Google Scholar] [CrossRef]
- Xie, J.; Chen, C.; Long, H. A loss reduction optimization method for distribution network based on combined power loss reduction strategy. Complexity 2021, 2021, 9475754. [Google Scholar] [CrossRef]
- Hesaroor, K.; Das, D. Annual energy loss reduction of distribution network through reconfiguration and renewable energy sources. Int. Trans. Electr. Energy Syst. 2019, 29, e12099. [Google Scholar] [CrossRef]
- Wang, H.; Li, C.; Li, J.; He, X.; Huang, T. A survey on distributed optimization approaches and applications in smart grids. J. Control. Decis. 2019, 6, 41–60. [Google Scholar] [CrossRef]
- Shaner, M.R.; Davis, S.J.; Lewis, N.S.; Caldeira, K. Geophysical constraints on the reliability of solar and wind power in the United States. Energy Environ. Sci. 2018, 11, 914–925. [Google Scholar] [CrossRef] [Green Version]
- Adefarati, T.; Bansal, R.C. Integration of renewable distributed generators into the distribution system: A review. IET Renew. Power Gener. 2016, 10, 873–884. [Google Scholar] [CrossRef]
- Atwa, Y.M.; El-Saadany, E.F.; Salama, M.M.A.; Seethapathy, R. Optimal renewable resources mix for distribution system energy loss minimization. IEEE Trans. Power Syst. 2009, 25, 360–370. [Google Scholar] [CrossRef]
- Aragüés-Peñalba, M.; Egea-Alvarez, A.; Arellano, S.G.; Gomis-Bellmunt, O. Droop control for loss minimization in HVDC multi-terminal transmission systems for large offshore wind farms. Electr. Power Syst. Res. 2014, 112, 48–55. [Google Scholar] [CrossRef]
- Alturki, Y.A.; Lo, K.L. Real and reactive power loss allocation in pool-based electricity markets. Int. J. Electr. Power Energy Syst. 2010, 32, 262–270. [Google Scholar] [CrossRef]
- Dowling, J.A.; Rinaldi, K.Z.; Ruggles, T.H.; Davis, S.J.; Yuan, M.; Tong, F. Role of long-duration energy storage in variable renewable electricity systems. Joule 2020, 4, 1907–1928. [Google Scholar] [CrossRef]
- Rajamand, S. Loss cost reduction and power quality improvement with applying robust optimization algorithm for optimum energy storage system placement and capacitor bank allocation. Int. J. Energy Res. 2020, 44, 11973–11984. [Google Scholar] [CrossRef]
- Thrampoulidis, C.; Bose, S.; Hassibi, B. Optimal placement of distributed energy storage in power networks. IEEE Trans. Autom. Control 2015, 61, 416–429. [Google Scholar] [CrossRef]
- Shi, N.; Luo, Y. Bi-level programming approach for the optimal allocation of energy storage systems in distribution networks. Appl. Sci. 2017, 7, 398. [Google Scholar] [CrossRef] [Green Version]
- Chen, H.; Zhao, Y.; Ji, Y.; Wang, S.; Ge, W.; Su, A. Optimization location selection analysis of energy storage unit in energy internet system based on tabu search. Int. J. Softw. Eng. Knowl. Eng. 2019, 29, 941–954. [Google Scholar] [CrossRef]
- Jin, R.; Song, J.; Liu, J.; Li, W.; Lu, C. Location and capacity optimization of distributed energy storage system in peak-shaving. Energies 2020, 13, 513. [Google Scholar] [CrossRef] [Green Version]
- Carpinelli, G.; Celli, G.; Mocci, S.; Mottola, F.; Pilo, F.; Proto, D. Optimal integration of distributed energy storage devices in smart grids. IEEE Trans. Smart Grid 2013, 4, 985–995. [Google Scholar] [CrossRef]
- Sardi, J.; Mithulananthan, N.; Hung, D.Q. A loss sensitivity factor method for locating ES in a distribution system with PV units. In Proceedings of the 2015 IEEE PES Asia-Pacific Power and Energy Engineering Conference, Brisbane, Australia, 15–18 November 2015; pp. 1–5. [Google Scholar]
- Hamidan, M.A.; Borousan, F. Optimal planning of distributed generation and battery energy storage systems simultaneously in distribution networks for loss reduction and reliability improvement. J. Energy Storage 2022, 46, 103844. [Google Scholar] [CrossRef]
- Yao, M.; Cai, X. Energy storage sizing optimization for large-scale PV power plant. IEEE Access 2021, 9, 75599–75607. [Google Scholar] [CrossRef]
- Injeti, S.K.; Kumar, N.P. A novel approach to identify optimal access point and capacity of multiple DGs in a small, medium and large scale radial distribution systems. Int. J. Electr. Power Energy Syst. 2013, 45, 142–151. [Google Scholar] [CrossRef]
- Yuan, Z.; Lei, W. Research of distributed generation optimal layout and capacity confirmation in distribution network. Power Syst. Prot. Control 2012, 40, 73–78. [Google Scholar]
- Liu, B.D.; Zhao, R.Q. Stochastic Planning and Fuzzy Planning; Tsinghua University publishing house: Beijing, China, 1998; pp. 79–80. [Google Scholar]
- Baran, M.E.; Wu, F.F. Network reconfiguration in distribution systems for loss reduction and load balancing. IEEE Trans. Power Deliv. 1989, 4, 1401–1407. [Google Scholar] [CrossRef]
- Data IEEE 96. Available online: https://github.com/groupoasys/data_ieee96 (accessed on 20 April 2020).










| Parameter | Description | Value |
|---|---|---|
| Maximum energy storage at bus i | 600 kW·h | |
| Minimum energy storage at bus i | 60 kW·h | |
| Initial energy storage | 300 kW·h | |
| Maximum charging power in hour t | 100 kW | |
| Minimum discharging power in hour t | 100 kW | |
| Charging efficiency | 0.9 | |
| Discharging efficiency | 0.9 | |
| Confidence level | 0.95 |
| Bus | LSF Value | Peak Load/kW |
|---|---|---|
| 30 | 4.38 | 209.4 |
| 32 | 3.27 | 233.8 |
| 25 | 2.56 | 424.3 |
| 14 | 2.32 | 122.8 |
| 18 | 2.23 | 90.5 |
| 31 | 2.02 | 149.3 |
| 7 | 1.15 | 210.8 |
| 8 | 1.33 | 231.1 |
| 24 | 1.93 | 420.5 |
| Working Mode | Description | Working Time |
|---|---|---|
| Mode I | 9:00–21:00 | Peak period |
| Mode II | 7:00–19:00 | Daytime period |
| Mode III | 0:00–24:00 | Whole day period |
| Bus | Working Mode | Average Loss/kW | |||||
|---|---|---|---|---|---|---|---|
| With ESS | Without ESS | Loss Reduction | |||||
| 0:00–24:00 | 9:00–21:00 | 0:00–24:00 | 9:00–21:00 | 0:00–24:00 | 9:00–21:00 | ||
| 31, 30, 25 selected by the LSF method | Mode I | 158.2849 | 188.5426 | 165.8027 | 198.1234 | 7.5178 | 9.5808 |
| Mode II | 158.1085 | 187.0766 | 7.6942 | 11.0468 | |||
| Mode III | 157.3428 | 182.2447 | 8.4599 | 15.8787 | |||
| 24, 7, 8 selected by the high-load method | Mode I | 159.6283 | 190.326 | 6.1744 | 7.7974 | ||
| Mode II | 159.4833 | 189.1896 | 6.3194 | 8.9338 | |||
| Mode III | 158.9139 | 185.1232 | 6.8888 | 13.0002 | |||
| ESS Capacity/kW·h | Single ESS Case | Multiple ESSs Case | ||
|---|---|---|---|---|
| 30 | 32 | 25 | 32, 30, 25 | |
| 400 | 162.263 | 165.2394 | 161.5967 | 158.0181 |
| 450 | 162.1864 | 165.2394 | 161.5643 | 157.8342 |
| 500 | 162.1119 | 165.2394 | 161.5329 | 157.6602 |
| 550 | 162.041 | 165.2394 | 161.5023 | 157.4986 |
| 600 | 161.9869 | 165.2394 | 161.4727 | 157.3428 |
Publisher’s Note: MDPI stays neutral with regard to jurisdictional claims in published maps and institutional affiliations. |
© 2022 by the authors. Licensee MDPI, Basel, Switzerland. This article is an open access article distributed under the terms and conditions of the Creative Commons Attribution (CC BY) license (https://creativecommons.org/licenses/by/4.0/).
Share and Cite
Wu, X.; Yang, C.; Han, G.; Ye, Z.; Hu, Y. Energy Loss Reduction for Distribution Networks with Energy Storage Systems via Loss Sensitive Factor Method. Energies 2022, 15, 5453. https://doi.org/10.3390/en15155453
Wu X, Yang C, Han G, Ye Z, Hu Y. Energy Loss Reduction for Distribution Networks with Energy Storage Systems via Loss Sensitive Factor Method. Energies. 2022; 15(15):5453. https://doi.org/10.3390/en15155453
Chicago/Turabian StyleWu, Xiangming, Chenguang Yang, Guang Han, Zisong Ye, and Yinlong Hu. 2022. "Energy Loss Reduction for Distribution Networks with Energy Storage Systems via Loss Sensitive Factor Method" Energies 15, no. 15: 5453. https://doi.org/10.3390/en15155453
APA StyleWu, X., Yang, C., Han, G., Ye, Z., & Hu, Y. (2022). Energy Loss Reduction for Distribution Networks with Energy Storage Systems via Loss Sensitive Factor Method. Energies, 15(15), 5453. https://doi.org/10.3390/en15155453
