Towards an Accurate Aerodynamic Performance Analysis Methodology of Cross-Flow Fans
Abstract
1. Introduction
2. Materials and Methods
2.1. CFF Design
- , , , and .
- ;
- .
2.2. Loss Models
- ;
- ;
- ;
- ;
- .
2.2.1. Streamline Analysis
- Skin friction loss—first law: ;
- Skin friction loss—second law: ;
- Re-circulation loss: .
2.2.2. Cascade Principles Applied to Cross-Flow Fans
- ;
- .
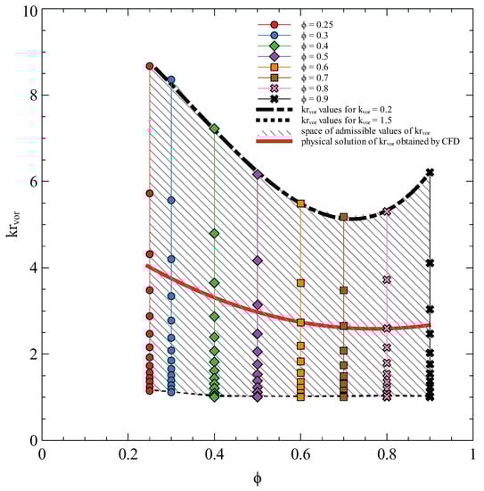
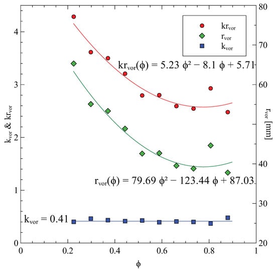
- ;
- (Figure 12);
- .
- is the drag coefficient related to the blade profile, represented in the off-design curve, according to the incidence angle in each stage;
- corresponds to an additional loss related to the friction in the blade’s annulus, expressed as ;
- is the drag coefficient, which represents secondary losses, caused by small vortices that surround the blade wall, written as . defines the lift coefficient with the following equation:
- .
3. Results and Discussion
3.1. Performance–Pressure Curves’ Prediction
3.2. Efficiency Investigation
Numerical Simulation
3.3. Discussion
4. Conclusions
Author Contributions
Funding
Institutional Review Board Statement
Informed Consent Statement
Data Availability Statement
Conflicts of Interest
Abbreviations
| Symbols | |
| A | air |
| c | absolute velocity |
| friction coefficient | |
| g | gravity acceleration |
| h | height |
| i | incidence angle |
| k | coefficient |
| kr | radius coefficient |
| L | length |
| N | rotational speed (rpm) |
| S | arc/section |
| s/l | space-to-chord ratio |
| U, u | rotational speed |
| w | relative velocity |
| Z | blades number |
| absolute flow angle | |
| angle defined in Figure 5 | |
| relative flow angle | |
| blade angle | |
| stagger angle | |
| deviation | |
| pressure head | |
| pressure gradient | |
| deflection | |
| efficiency | |
| angle/angular coordinate | |
| camber angle | |
| power | |
| air density | |
| flow coefficient | |
| pressure coefficient | |
| Superscripts | |
| nominal operating conditions | |
| Subscripts | |
| 1 | inlet |
| 2 | outlet |
| bl | blade |
| center | vortex center |
| dif | diffuser |
| dis | second stage (discharge) |
| Euler | Euler head |
| exit | wind tunnel exit |
| id | ideal |
| in | rotor inner periphery |
| loss | pressure loss/head loss |
| m | average |
| mid | blade midpoint |
| out | rotor outer periphery |
| r | radial component |
| rc | re-circulation |
| rot | rotational |
| sf | skin friction |
| stat | static |
| suc | first stage (suction) |
| th | theoretical |
| thr | throat |
| tot | total |
| vol | volute |
| vor | vortex/vortex wall |
| tangential component |
Appendix A
- ,
References
- Mortier, P. Fan or Blowing Apparatus. U.S. Patent US507445A, 24 October 1893. [Google Scholar]
- Shih, Y.C.; Hou, H.C.; Chiang, H. On similitude of the cross flow fan in a split-type air-conditioner. Appl. Therm. Eng. 2008, 28, 1853–1864. [Google Scholar] [CrossRef]
- Endoh, H.; Enami, S.; Izumi, Y.; Noguchi, J. Experimental Study on the Effects of Air Flow from Cross-Flow Fans on Thermal Comfort in Railway Vehicles. In Proceedings of the Congress of the International Ergonomics Association, Florence, Italy, 26–30 August 2018; Springer: Berlin/Heidelberg, Germany, 2018; pp. 379–388. [Google Scholar]
- Gossett, D.H. Investigation of Cross Flow Fan Propulsion for Lightweight VTOL Aircraft; Technical Report; Naval Postgraduate School: Monterey, CA, USA, 2000. [Google Scholar]
- Dang, T.Q.; Bushnell, P.R. Aerodynamics of cross-flow fans and their application to aircraft propulsion and flow control. Prog. Aerosp. Sci. 2009, 45, 1–29. [Google Scholar] [CrossRef]
- Mazumder, M.A.Q.; Golubev, V.; Gudmundsson, S. Parametric Study of Aerodynamic Performance of an Airfoil with Active Circulation Control using Leading Edge Embedded Cross-Flow Fan. In Proceedings of the AIAA Scitech 2019 Forum, San Diego, CA, USA, 7–11 January 2019. [Google Scholar] [CrossRef]
- Kummer, J.D.; Dang, T.Q. High-lift propulsive airfoil with integrated crossflow fan. J. Aircr. 2006, 43, 1059–1068. [Google Scholar] [CrossRef]
- Gologan, C.; Mores, S.; Steiner, H.; Seitz, A. Potential of the cross-flow fan for powered-lift regional aircraft applications. In Proceedings of the 9th AIAA Aviation Technology, Integration, and Operations Conference (ATIO) and Aircraft Noise and Emissions Reduction Symposium (ANERS), Hilton Head, SC, USA, 21–23 September 2009; p. 7098. [Google Scholar]
- Porter, A.; Markland, E. A study of the cross flow fan. J. Mech. Eng. Sci. 1970, 12, 421–431. [Google Scholar] [CrossRef]
- Preszler, L.; Lajos, T. Experiments for the development of the tangential flow fan. In Proceedings of the 4th Conference on Fluid Machinery, Budapest, Hungary, 11–16 September 1972; pp. 1071–1082. [Google Scholar]
- Murata, S.; Nishihara, K. An experimental study of cross flow fan: 1st report, effects of housing geometry on the fan performance. Bull. JSME 1976, 19, 314–321. [Google Scholar] [CrossRef]
- Tanaka, S.; Murata, S. Scale Effects in Cross Flow Fans: Effects of Fan Dimensions on Flow Details and the Universal Representation of Performances. JSME Int. J. Ser. B Fluids Therm. Eng. 1995, 38, 388–397. [Google Scholar] [CrossRef][Green Version]
- Zhang, W.; Yuan, J.; Si, Q.; Fu, Y. Investigating the In-Flow Characteristics of Multi-Operation Conditions of Cross-Flow Fan in Air Conditioning Systems. Processes 2019, 7, 959. [Google Scholar] [CrossRef]
- Coester, R. Theoretische und Experimentelle Untersuchungen an Querstromgebläsen. Ph.D. Thesis, ETH Zurich, Zurich, Switzerland, 1959. [Google Scholar]
- Ikegami, H.; Murata, S. A Study of Cross Flow Fan (I. A Theoretical Analysis). Technol. Rep. Osaka Univ. 1966, 16, 556–578. [Google Scholar]
- Lazzarotto, L.; Lazzaretto, A.; Martegani, A.; Macor, A. On Cross-Flow Fan Similarity: Effects of Casing Shape. J. Fluids Eng.-Trans. ASME 2001, 123, 523–531. [Google Scholar] [CrossRef]
- Yamafuji, K. Studies on the flow of cross-flow impellers: 1st report, experimental study. Bull. JSME 1975, 18, 1018–1025. [Google Scholar] [CrossRef]
- Lajos, T. Investigation of the Flow Characteristics in the Impeller of the Tangential Fan. In Proceedings of the 5th Conference on Fluid Machinery, Budapest, Hungary, 15–20 September 1975; Volume 567. [Google Scholar]
- Tanaka, S.; Murata, S. Scale Effects in Cross-Flow Fans: Effects of Fan Dimensions on Performance Curves. JSME Int. J. Ser. B Fluids Therm. Eng. 1994, 37, 844–852. [Google Scholar] [CrossRef][Green Version]
- Yanyan, D.; Wang, J.; Wang, W.; Jiang, B.; Xiao, Q.; Ye, T. Multi-condition optimization of a cross-flow fan based on the maximum entropy method. Proc. Inst. Mech. Eng. Part A J. Power Energy 2021, 235, 095765092199399. [Google Scholar] [CrossRef]
- Kim, J.W.; Ahn, E.Y.; Oh, H.W. Performance prediction of cross-flow fans using mean streamline analysis. Int. J. Rotating Mach. 2005, 2005, 112–116. [Google Scholar] [CrossRef]
- Tuckey, P.R. The Aerodynamics and Performance of a Cross Flow Fan. Ph.D. Thesis, Durham University, Durham, UK, 1983. [Google Scholar]
- Oh, H.W.; Yoon, E.S.; Chung, M. An optimum set of loss models for performance prediction of centrifugal compressors. Proc. Inst. Mech. Eng. Part A J. Power Energy 1997, 211, 331–338. [Google Scholar] [CrossRef]
- Oh, H.; Chung, M.K. Optimum values of design variables versus specific speed for centrifugal pumps. Proc. Inst. Mech. Eng. Part A J. Power Energy 1999, 213, 219–226. [Google Scholar] [CrossRef]
- Howell, A. Fluid dynamics of axial compressors. Proc. Inst. Mech. Eng. 1945, 153, 441–452. [Google Scholar] [CrossRef]
- Horlock, J.H. Axial Flow Compressors, Fluid Mechanics and Thermodynamics; Butterworths Scientific Publications: Oxford, UK, 1958. [Google Scholar]
- Carter, A. The Axial Compressor; Gas Turbine Princ. Pract. (Ed. Sir H. Roxbee Cox), G. Newnes Ltd.: London, UK, 1955. [Google Scholar]
- Tsalicoglou, I.; Phillipsen, B. Design of radial turbine meridional profiles using particle swarm optimization. In Proceedings of the 2nd International Conference on Engineering Optimization, Lisbon, Portugal, 6–9 September 2010. [Google Scholar]
- Jian, S.; Xin, L.; Shaoping, W. Dynamic pressure gradient model of axial piston pump and parameters optimization. Math. Probl. Eng. 2014, 2014, 352981. [Google Scholar] [CrossRef]
- Ampellio, E.; Bertini, F.; Ferrero, A.; Larocca, F.; Vassio, L. Turbomachinery design by a swarm-based optimization method coupled with a CFD solver. Adv. Aircr. Spacecr. Sci. 2016, 3, 149. [Google Scholar] [CrossRef][Green Version]
- Chikh, M.A.A.; Belaidi, I.; Khelladi, S.; Paris, J.; Deligant, M.; Bakir, F. Efficiency of bio-and socio-inspired optimization algorithms for axial turbomachinery design. Appl. Soft Comput. 2018, 64, 282–306. [Google Scholar] [CrossRef]
- Kennedy, J.; Eberhart, R. Particle swarm optimization. In Proceedings of the ICNN’95—International Conference on Neural Networks, Perth, WA, Australia, 27 November–1 December 1995; Volume 4, pp. 1942–1948. [Google Scholar]


























| Model | Formulation | Description and Characteristics |
|---|---|---|
| Skin friction loss | Pressure loss due to friction between air, blade wall, and casing inner wall | |
| First law | First stage: pump | |
| Second law | Second stage: compressor | |
| Third law | Inner surface of casing tunnel | |
| Incidence loss | Chocks between air and blade tip at the entrance of first stage | |
| Expansion loss | Decompression of the air once it is out of the blades inter-space to the tunnel | |
| Enlargement loss | Spread of the fluid vein at the exit of the second stage toward the diffuser | |
| Re-circulation loss | Related to the existence of the vortex |
Publisher’s Note: MDPI stays neutral with regard to jurisdictional claims in published maps and institutional affiliations. |
© 2022 by the authors. Licensee MDPI, Basel, Switzerland. This article is an open access article distributed under the terms and conditions of the Creative Commons Attribution (CC BY) license (https://creativecommons.org/licenses/by/4.0/).
Share and Cite
Himeur, R.M.; Khelladi, S.; Ait Chikh, M.A.; Vanaei, H.R.; Belaidi, I.; Bakir, F. Towards an Accurate Aerodynamic Performance Analysis Methodology of Cross-Flow Fans. Energies 2022, 15, 5134. https://doi.org/10.3390/en15145134
Himeur RM, Khelladi S, Ait Chikh MA, Vanaei HR, Belaidi I, Bakir F. Towards an Accurate Aerodynamic Performance Analysis Methodology of Cross-Flow Fans. Energies. 2022; 15(14):5134. https://doi.org/10.3390/en15145134
Chicago/Turabian StyleHimeur, Rania M., Sofiane Khelladi, Mohamed Abdessamed Ait Chikh, Hamid Reza Vanaei, Idir Belaidi, and Farid Bakir. 2022. "Towards an Accurate Aerodynamic Performance Analysis Methodology of Cross-Flow Fans" Energies 15, no. 14: 5134. https://doi.org/10.3390/en15145134
APA StyleHimeur, R. M., Khelladi, S., Ait Chikh, M. A., Vanaei, H. R., Belaidi, I., & Bakir, F. (2022). Towards an Accurate Aerodynamic Performance Analysis Methodology of Cross-Flow Fans. Energies, 15(14), 5134. https://doi.org/10.3390/en15145134

