Next Article in Journal
Towards an Accurate Aerodynamic Performance Analysis Methodology of Cross-Flow Fans
Previous Article in Journal
A Method of Determining Optimal Parameters for the Secondary Energy Source of a Multisource Hydrostatic Drive System in Machines Working in Closed Spaces
Previous Article in Special Issue
Grid-Following Mode Operation of Small-Scale Distributed Battery Energy Storages for Fast Frequency Regulation in a Mixed-Source Microgrid
 
 
Font Type:
Arial Georgia Verdana
Font Size:
Aa Aa Aa
Line Spacing:
Column Width:
Background:
Review

Model-Free Predictive Control and Its Applications

1
Departemnt of Electrical and Computer Engineering, The University of Houston, Houston, TX 77204, USA
2
Department of Electrical Technology, The University of Houston, Houston, TX 77204, USA
3
Texas Instruments, Sugar Land, TX 77479, USA
*
Authors to whom correspondence should be addressed.
Energies 2022, 15(14), 5131; https://doi.org/10.3390/en15145131
Submission received: 7 June 2022 / Revised: 6 July 2022 / Accepted: 8 July 2022 / Published: 14 July 2022

Abstract

:
Predictive control offers many advantages such as simple design and a systematic way to handle constraints. Model predictive control (MPC) belongs to predictive control, which uses a model of the system for predictions used in predictive control. A major drawback of MPC is the dependence of its performance on the model of the system. Any discrepancy between the system model and actual plant behavior will greatly affect the performance of the MPC. Recently, model-free approaches have been gaining attention because they are not dependent on the system model parameters. To obtain the advantages of both a model-free approach and predictive control, model-free predictive control (MFPC) is being explored and reported in the literature for different applications such as power electronics and electric drives. This paper presents an overview of model-free predictive control. A comprehensive review of the application of MFPC in power converters, electric drives, power systems, and microgrids is presented in this paper. Moreover, challenges, opportunities, and emerging trends in MFPC are also discussed in this paper.

1. Introduction

Predictive control is a type of optimal control [1], which has been extensively used in the process industry [2]. In the presence of the constraints on the input and output, predictive control is the most feasible option because of its ability to handle constraints in a systematic way [3,4,5]. A model-based predictive controller is known as model predictive control (MPC) [6], and predictive control with a model-free approach is known as model-free predictive control (MFPC) [7].
Model predictive control (MPC) uses a model of the system to predict the future behavior of the system variable. A cost function is used as a criterion for selecting an optimal control action. Implicit MPC and explicit MPC are two main types of MPC that have been widely proposed in the literature for different applications. Two main challenges of MPC are a large number of online computations for solving the optimization problem and the dependency of MPC on the model of the system. Conventional or implicit MPC requires a large number of computations because it solves all of the optimization problem online. To reduce online computations, explicit MPC has been proposed in the literature. Explicit MPC solves a part of the optimization problem offline by using multi-parametric programming. Multi-parametric programming generates a lookup table that gives optimal control action as an explicit function of the controller state.
Different schemes have been proposed in the literature based on implicit MPC and explicit MPC to reduce the number of computations. An implicit CCS-MPC [4] has been formulated for a three-phase inverter with an output LC filter. The proposed scheme requires fewer computations compared to explicit MPC. A computationally efficient implicit CCS MPC [8] was proposed for a grid-tied inverter. The proposed MPC scheme is based on CCS-MPC. To eliminate the common-mode voltage of three-phase five-level active neutral-point-clamped (3P-5L-ANPC) converters, a computationally efficient FCS-MPC [9] is proposed. To reduce the computational load of conventional FCS-MPC, an improved FCS-MPC [10] is proposed for a neutral-point-clamped inverter. The proposed scheme requires fewer computations compared to conventional FCS-MPC.
To reduce the computations of conventional MPC, explicit MPC is proposed for a three-phase inverter with an LCL filter [11]. A computationally efficient sensorless explicit MPC [12] is proposed for the DC–DC converter. Field-oriented control (FOC) of alternating current drives has two major problems. These problems are low switching frequency and the dependence of control on system model parameters. To overcome these problems, a cascade explicit model predictive control is proposed for the FOC of alternating current drives [13]. To control the fast charging and discharging of an ultra-capacitor, a computationally efficient explicit MPC [14] is proposed for a bidirectional converter. The computational requirement of the MPC has been solved to a great extent due to two factors. These factors are the availability of computationally efficient MPC schemes and advancement in the computational power of digital hardware.
The second main challenge in the implementation of MPC is its dependence on the model of the system. A slight change in the actual plant dynamics and its model will greatly affect the performance of the MPC. To reduce the dependence of MPC on the model of the system, a model-free approach known as model-free predictive control (MFPC) has gained attention. MFPC has the advantages of predictive control such as flexibility to handle constraints and non-linearities in a systematic way. Moreover, to reduce dependency on system model parameters, MFPC uses a model-free or system identification approach.
This paper gives an overview of model-free predictive control (MFPC) and its application. The paper presents the theory of model predictive control (MPC) and the model-free approach. Moreover, it discusses the different types of MPC and model-free approaches. After presenting MPC and the model-free approach, the paper discusses the MFPC and its application. A comprehensive review is given for the application of MFPC in power converters, electric drives, power systems, and microgrids. Future directions and challenges in the area of MFPC are also presented in this paper.
The organization of this paper is as follows. An introduction to MPC, the problem formulation of MPC, along with its types is presented in Section 2. Section 3 presents the model-free approach and its different types. Model-free predictive control and its applications are presented in Section 4. Emerging trends in MFPC are part of Section 5. The paper concludes in Section 6.

2. Model Predictive Control

Model predictive control (MPC) uses a model of the system to predict the future behavior of the system variables. A cost function is used as a criterion for selecting the optimal control action. Figure 1 shows the model predictive control scheme. x ( k ) is the system state measured at time k. In the system model block, the discrete time state space is used to obtain x ( k + 1 ) . The next block contains a cost function and an optimization algorithm to minimize this cost function. u is the optimal control action obtained by optimizing the cost function.

2.1. Model Predictive Control Problem Formulation

The main components of MPC are the model of the system, constraints on the input or output, and a cost function for selecting an optimal control action. The model of a system is represented in state space form. The state space representation of a continuous time system is
x ˙ = A x + B u y = C x + D u
The discrete time state space model of the above system is given as
x k + 1 = A x k + B u k y k = C x k + D u k
Constraints on the system states are given as
C m i n C c o n x k + 1 C m a x
The constraint on the input is written as
U m i n U k U m a x
MPC problem is defined as
J = x k + 1 T Q x k + 1 + U k T R U k s . t . C m i n C c o n x k + 1 C m a x U m i n U k U m a x

2.2. Types of Model Predictive Control

Model predictive control has gained much attention in different applications because of its flexibility to handle constraints systematically. However, two major drawbacks of MPC are the computational requirements and the dependency of MPC on the model of the system. Regarding computations, generally implicit MPC requires more online computations. Figure 2 shows different types of MPC.
Implicit and explicit MPC are the two variants that have been extensively used for different applications such as power converters and electric drives. Furthermore, implicit MPC has two variants, which are continuous control set MPC (CCS-MPC), shown in Figure 3, and finite control set MPC (FCS-MPC), shown in Figure 4. CCS-MPC requires more computations compared to FCS-MPC. Moreover, there are other differences between FCS-MPC and CCS-MPC depending on the application such as a need for a modulator in the control of power converters. CCS-MPC for power converters has a switched frequency. On the other hand, FCS-MPC requires fewer computations, but switching frequency is variable, which makes the design of the output filter a difficult process. To reduce the computations of implicit MPC, explicit MPC has been proposed in the literature. Explicit MPC solves a part of the optimization problem offline. Explicit MPC uses multi-parametric programming to generate a lookup table, which gives optimal control action as an explicit function of the controller state. However, explicit MPC fails to accommodate any real-time changes in the system variables.
To describe the application of MFPC in power electronics, the plant in Figure 3 and Figure 4 is a power electronic converter. The constraints in a power electronic system are switching losses, switching frequency, input duty cycle, output voltage, and frequency regulation. The MPC accommodates these multiple constraints during the problem formulation. The problem is formulated in the form of a cost function. An optimization algorithm is used to obtain an optimal control action by minimizing this cost function.

3. Model-Free Approach

The model-free approach is shown in Figure 5. The model-free approach uses input and output data to synthesize the system model. The system parameters change with time because of different reasons such as component aging and lifetime issues. As a result, a system model derived using differential equations is unable to accommodate these changes. These factors have given rise to a model-free approach for developing the system models.
The process of the model-free approach is shown in Figure 6. The first step is the collection of the input and output data. Filtering is performed on these data to remove the noise. The second step is the use of a model-free approach for the estimation of the system model. Two major approaches for the model-free approach are parametric [15] and non-parametric [16] system identification. The third step is the validation of the estimated model. Model validation is performed by comparing the outputs of the estimated model with the actual plant outputs. If the difference in the outputs is within acceptable limits, then the estimated model is the required model. If the difference is not within acceptable limits, then the whole process of the model-free approach has to be repeated.

3.1. Non-Parametric Approach

Non-parametric system identification uses frequency and time domain methods for measured input and output data for estimating the system response. Figure 7 shows the process of non-parametric system identification.
The first step is the collection of the output data for all possible inputs. The second step is the filtering of the data to remove the unwanted noise. The third step is the use of frequency domain methods such as Bode plots or time domain methods such as impulse response to estimate the system response. There is no need for model selection and estimation of model parameters such as parametric system identification. This aspect makes the implementation of non-parametric system identification easy to implement compared to parametric system identification. However, the performance of the non-parametric approach is prone to noise. As a result, a large number of data samples is required, which makes its response time slow. As a result, it is not feasible for applications such as power electronic converters, where the response time should be fast for any change in the voltage or current.

3.2. Parametric Approach

In a parametric approach [17], there are two main steps to obtain the model of the system. These steps are the selection of the model and the estimation of the parameters of the model. The selection of the model of the system is not a straightforward task. A good choice is the model that captures the necessary dynamics of the system and, at the same time, does not require too many computations. The model can be linear or non-linear and of any order. The greater the order of the model, the greater the accuracy of the estimated model will be with the real plant dynamics. However, a large-order model will have more computational burden compared to a lower-order model.
H ( s ) = a s + b c s 2 + d s + e
The process of the parametric approach is shown in Figure 8. The first step is to collect the input and corresponding output data. The second step is the selection of the model structure. The model can be linear or non-linear and of any order. The computational burden and accuracy of the estimated model depend on the order of the model. The greater the order of the model, the higher will be the accuracy of the estimated model and computational requirements. An ideal model is such that it captures the necessary dynamics of the system and does not require too many computations. After the selection of the model and its order, the third step is the estimation of the model parameters. As an example, take (6) as a system model. The parameters of this model are a, b, c, d, and e. Different algorithms have been proposed in the literature for the estimation of these parameters, such as the least-squares method. The next step is the validation of the estimated model by measuring an error. This error is the difference between the plant output and the estimated model output. If the error is within an acceptable range, then the estimated model is the correct choice. If the error is not within an acceptable range, then the whole process has to repeat for the estimation of the system model.

4. Model-Free Predictive Control and Applications

Model-free predictive control (MFPC) uses predictive control as a controller, and for the system model, it uses a model-free approach. The MFPC scheme is shown in Figure 9. Here, the x ( k ) system state measured at instant k is given as the input to the model-free block, which uses a system identification approach. x k + 1 is the output of the model-free block that will be used in the cost function to obtain u as an optimal control action. MFPC removes the model dependence problem of the model predictive control. MFPC utilizes the advantages of predictive control, as well as model-free approach.
To further explain Figure 9, we describe the mechanism of controlling the microgrid using model-free predictive control. The plant is a power electronic converter that provides an interface between a distributed energy resource (DER) and the electric grid. To regulate the voltage and frequency of the microgrid, x ( k ) will be the output voltage of the power converter that goes to the MFPC. x ( k + 1 ) is v ( k + 1 ) , which goes to the predictive control to obtain an optimal control action for the power converter. The optimal control action u will be a duty cycle for the power converter to generate an output voltage of desired frequency and amplitude.
A comprehensive review of the application of MFPC in power converters, electric drives, power systems, and microgrids is presented in this section. In power converters, the application of MFPC to control a three-phase inverter, DC–DC converter, and pulse width modulated rectifiers is presented. Regarding electric drives, MFPC to control a permanent magnet synchronous motor and synchronous reluctance motors is presented. In the area of power systems, MFPC application to control a doubly fed induction generator and solar power system oscillation damping is presented. In microgrids, MPFC application to regulate frequency, voltage, and control of grid-forming inverter is presented.

4.1. Application of MFPC in Power Converters

The model-free predictive control approach has been proposed for the regulation of current [18]. To reduce the dependency of the model predictive control on the output filter and load model, this paper uses a regressive structure for the output filter and load. Parameters of the auto-regressive structure are estimated using the recursive least-squares method. The significance of using an auto-regressive structure is its simplicity because it is a linear structure. Secondly, its parameter estimation is easy because of the well-established algorithms such as RLS. The proposed approach uses the advantages of MPC for the regulation of the output current and eliminates the dependence of the MPC on the output filter and load model by using the model-free approach.
A performance comparison of the proposed and conventional FCS-MPC in a scenario of model mismatch is shown in Figure 10. An RLC load is applied rather than an RL load to show the performance of the controllers in the case of model mismatch. Figure 10 shows that conventional FCS-MPC failed due to model mismatch. However, the proposed controller regulates the current as its performance does not depend on the system model parameters.
Model-free neural-network-based predictive control [19] has been proposed for a three-phase inverter. The proposed approach uses a state space neural network (SSNN) to obtain the model. This SSNN model is used for prediction for the model predictive control. Experimental results were performed for parameter mismatch and compared with the conventional control scheme. Results validated the performance of the proposed approach in the case of parameter mismatches.
A comparison between the performance of the conventional MPC and the proposed approach is shown in Figure 11. Load resistance is 2 × R , and inductance is L 2 . The current regulation of the conventional MPC is poor due to changes in the parameter. As a result, the current error is also more for the conventional MPC. The proposed approach is activated at t = 60 ms and regulates the current. Moreover, the current error is also small because the proposed approach does not depend on the system model parameters.
Cascaded model-free predictive control [20] has been proposed for the single-phase boost power factor correction converter. A unified ultra-local model has been used for the continuous conduction mode (CCM) and discontinuous conduction mode (DCM) of the power converter. An estimator updates the ultra-local model. Experimental results validated the performance of the proposed control scheme. THD is computed for a variation of −20% to 20% in the parameters. THD remains in the range of 10.93 to 10.90, and the power factor remains constant at 0.99.
An enhanced model-free predictive control (MFPC) [21] has been proposed to eliminate the stagnant current variation update for PWM rectifiers. The proposed approach estimates four variables to eliminate this problem. This approach removes the drawbacks [22] that require the identification of the voltage vector combination and need a lookup table for storing the grid current variations. The performance of the proposed approach and model-based predictive control is shown in Figure 12. Figure 12a shows the performance of MPC with rated values of L and R. Figure 12b,c show the increase in THD and power error due to a change in model parameters. Figure 12d shows that MFPC performance is almost similar to MPC with accurate parameters for unknown values of L and R.
To reduce the parameter dependence and current ripple problem of MPC for a voltage source inverter, double-vector MPC [23] has been proposed. The proposed approach uses an ultra-local model along with a sliding mode observer for the estimation of disturbances in the ultra-local model. Moreover, a visualization method is proposed to see the effectiveness of the control scheme. Experiment results showed that double-vector free model predictive control reduces the current ripples. Figure 13 and Figure 14 were taken from [23], which show the comparison of the proposed model-free predictive control with conventional model predictive control. Figure 13 shows the performance of MPC and MFPC with an ideal model of the system. In the case of a mismatch in the parameters, a comparison of Figure 13 and Figure 14a shows that the current error for model-based predictive control increases because of the dependence of MPC on the model parameters. However, due to the change in inductance to 0.04 H, a comparison of Figure 13 and Figure 14b shows that the current error remains the same. This comparison validates the better performance of MFPC as its performance is not dependent on system model parameters. The Table 1 summarizes all the discussed papers on the application of MFPC in power converters.

4.2. MFPC in Electric Drives

Model-free predictive current control has been proposed for a surface-mounted permanent magnet synchronous motor (SMPMSM) [24]. An ultra-local model has been used for future predictions. The proposed approach uses six voltage vectors for the prediction, and then, a simple optimization method is used for the selection of the optimal voltage vector. Experimental results showed that model-free predictive current control has better results compared to CCS-MPC and FCS-MPC. Figure 15 shows the comparison between the proposed approach, conventional FCS-MPC, and duty cycle MPC. The steady-state performance of the proposed approach is much better than other methods because the proposed approach does not depend on the model parameters.
To reduce the computational burden of discrete space vector modulation-based finite control set model predictive control, an improved model-free predictive control has been proposed for the permanent motor synchronous drives [25]. The proposed approach uses model-free dead bat current control. Moreover, to increase the efficiency of the converter, a second term is included in the cost function to reduce the switching frequency. Experimental results showed that the proposed approach has much better performance compared to FCS-MPC. Figure 16 and Figure 17 were taken from [25]. Figure 16 shows the dynamic performance of the model-based method for the dq-axis currents at 100 rpm and 400 rpm. Figure 17 shows the dynamic performance of the model-free method for the dq-axis currents at 100 rpm and 400 rpm. The comparison of both methods shows that the dynamic performance of the proposed method is better than the model-based method.
To improve the steady-state performance of synchronous motors (PMSMs), a model-free predictive control (MFPC) [26] has been proposed. As a model-free approach, an ultra-local model is derived using parametric system identification. Moreover, to reduce the switching frequency, a second term is added in the cost function. The proposed approach shows better results compared to the FCS-MPC and FS-MMFPC methods, and the proposed approach reduces stator current ripples and switching losses. Figure 18 was taken from [26], which shows the comparison of the responses of finite control set model predictive control (FCS-MPC), five-segment modulated model-free predictive control (FS-MMFPC), and minimum switching losses modulated model-free predictive control (MSL-MMFPC). The proposed approach MSL-MMFPC is better than the other methods because the proposed approach does not depend on the system parameters.
A model-free predictive control [27] has been proposed for synchronous reluctance motor (SRM) drives. The proposed scheme uses a lookup table as a prediction model. The prediction model uses eight base voltage vectors for the current predictions. The proposed control scheme has been validated by simulation and experimental results. Figure 19 was taken from [27]. The comparison between the model-free predictive and model predictive control shows that MFPC performs better because its performance does not depend on the system parameters.
An improved model-free predictive current control [22] has been proposed for permanent magnet synchronous motors. The proposed approach removes the problem of stagnation in the update of the current gradient. Experiment results validated the performance of the proposed approach. Moreover, the reduced computations of the proposed approach make it an ideal control scheme for industrial applications. Table 2 shows the comparison of the proposed approach with different methods. The data of the table is taken from [24]. The Table 3 summarizes all the discussed papers on the application of MFPC in electric drives.

4.3. Application of MFPC in Power Systems

Model-free predictive current control has been proposed for the doubly fed induction generator (DFIG) [28]. The proposed scheme uses an ultra-local model to remove the dependency of the system model on motor parameters. To further improve the controller performance, an estimator is used to measure the disturbances in the system. Experimental results showed that the proposed scheme shows promising results for DFIG under different conditions. Moreover, the proposed scheme shows excellent results for an unbalanced and distorted grid. Figure 20 was taken from [28], which shows the comparison of two predictive control methods. Figure 20a shows that model-based predictive control is unable to regulate currents in the case of changes in the system model parameters. Figure 20b shows that model-free predictive control performs the regulation of current because its performance does not depend on the system model parameters.
A model-free predictive control [29] has been proposed for the grid-connected solar power generation systems. The proposed approach is the H -based controller. The proposed approach improves the tracking control performance. Simulation results showed that the proposed approach outperforms the conventional proportional–integral (PI) and model-free PI controllers. Figure 21 was taken from [29]. A comparison of different control methods is shown for a change in line inductance from 0.15 to 0.45 mH. Figure 21a shows that the PI controller is unable to stop oscillations in the line current and fluctuation in the voltage. Similarly, Figure 21b shows that the model-free linear–quadratic–Gaussian (LQG) controller is unable to stop oscillations in the line current and fluctuation in the voltage. However, Figure 21c shows that the proposed approach removes oscillations from the current and fluctuations in the voltage.
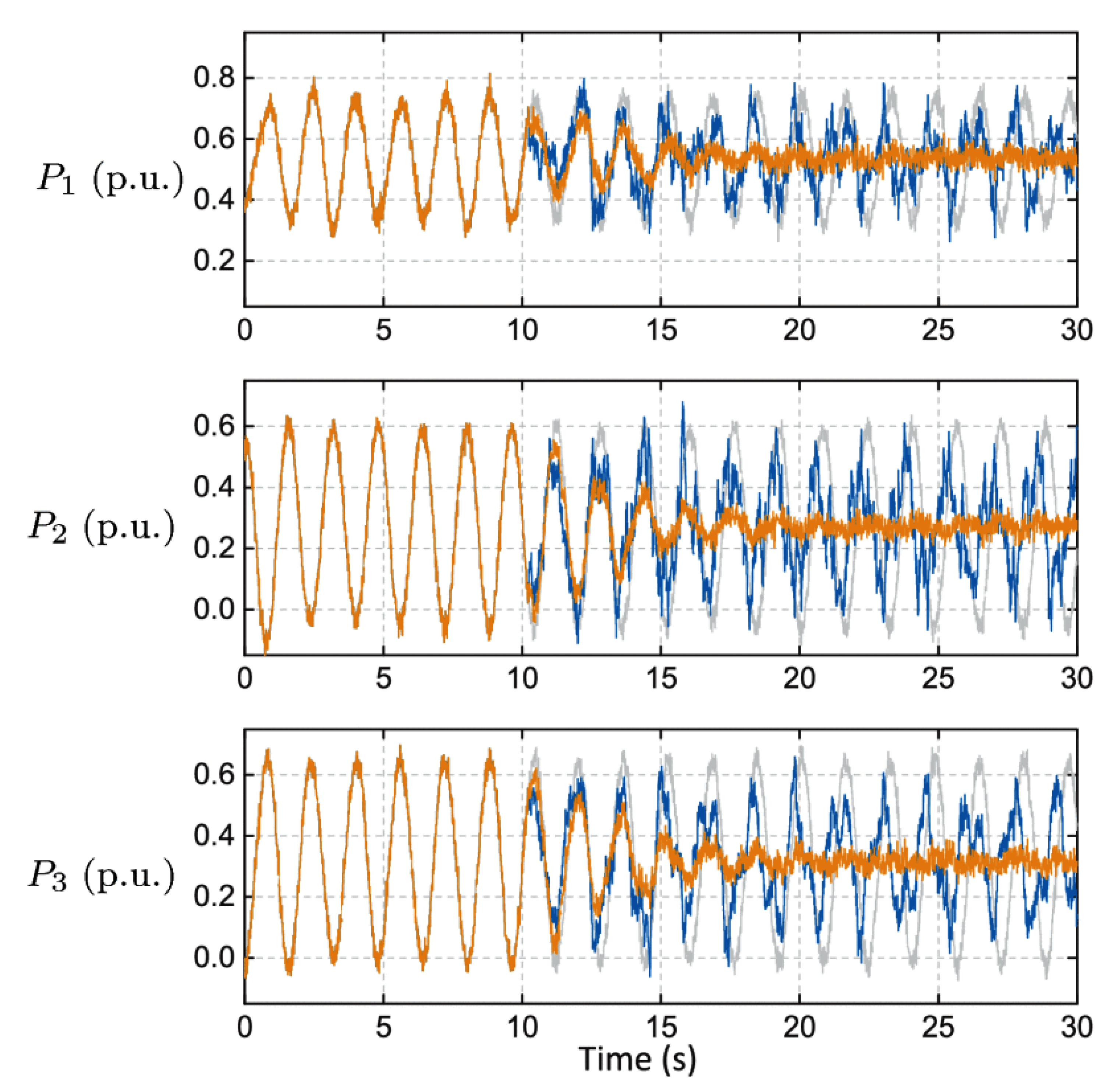
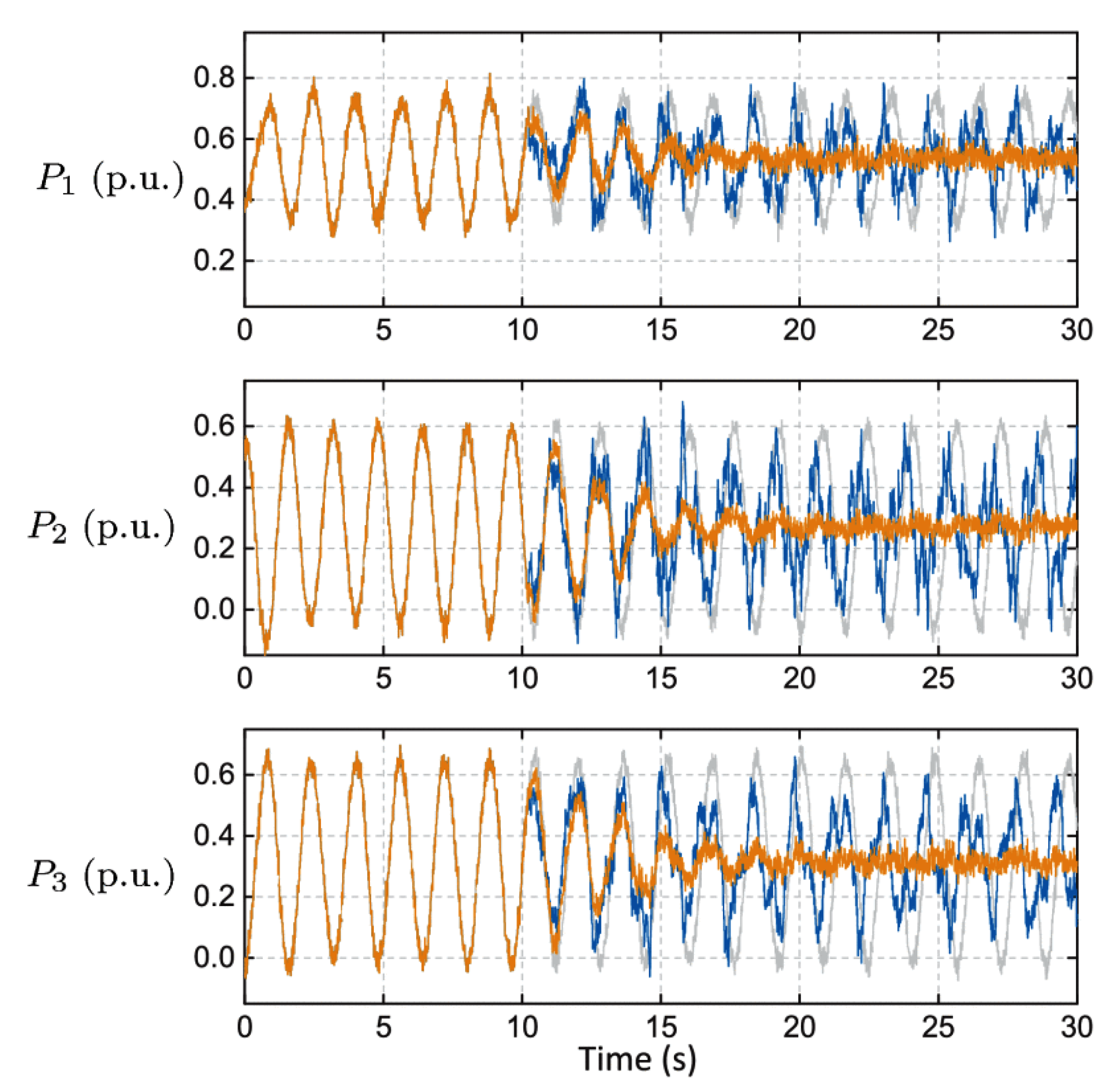
A data-based predictive control scheme [30] has been proposed for power system oscillation damping. The proposed scheme removes oscillations in the presence of measurement noise, communication delays, load fluctuations, and non-linear loads. Moreover, to further reduce the computations of the proposed algorithm, a min–max data-based predictive controller has been proposed. The modified scheme removes power system oscillations and requires fewer computations. Figure 22 was taken from [30], which shows the performance comparison between the proposed or data-driven predictive control and model-based predictive control. Results show that data-driven predictive control eliminates the low-frequency oscillations and model-based predictive control is unable to eliminate the oscillations.
Model-free predictive control [31] has been proposed to remove oscillation in the grid-connected voltage source inverter. Results show that the proposed scheme removes oscillation from the grid-connected inverter and stabilizes the unstable system. The Table 4 summarizes all the discussed papers on the application of MFPC in power systems.

4.4. Application of MFPC in Microgrids

A model-free predictive control approach has been proposed for the frequency synchronization of microgrids [32]. The proposed approach uses the model reference concept for generating the signals for the model of a complex power system. The model-free approach is used to model the complex power grid rather than the physical modeling. A model predictive control is used to regulate the frequency control at the primary layer level. The proposed approach shows promising results for regulating the frequency of the microgrid at the primary level. Moreover, by using a model-free approach, it captures the dynamics of the complex power system compared to the linearized and reduced-order models of the power system, which are compromised in capturing the dynamics of the complex power system. Figure 23 was taken from [32], which shows the performance of the model-free predictive control for different values of the model parameter α . Results show that the model-free predictive control tracks the reference frequency for different values of α . However, for a 100% change in the value of α , there is some error in tracking, but the error is very small.
A model-free predictive control approach for fast frequency support using a battery energy storage system has been proposed [33]. The proposed approach uses an estimator to estimate the frequency response model of the microgrid. A model predictive controller is used to control the frequency deviation in the microgrid. The advantage of a battery energy storage system is its flexible rampant quick response, which helps in the frequency synchronization problem. Moreover, the proposed approach eliminates the modeling issues and the model dependence problem of the model predictive control. Figure 24 was taken from [33], which shows the frequency deviation curves and without an energy storage system (ESS) for different controllers. Results show that without an ESS, the frequency nadir goes below under frequency load shedding (UFLS). However, with an ESS, frequency response becomes better and remains above UFLS.
A three-phase inverter with an output LCL filter is the most commonly used topology for interfacing distributed renewable energy resources with the islanded microgrid. The LCL filter reduces the harmonics in the output voltage of the inverter. Model predictive control has been extensively used to control this converter. To reduce the dependency of the model predictive control on the model parameters, a model-free predictive control [34] has been proposed for voltage regulation of a three-phase inverter with an LCL filter. The proposed approach uses a two-stage model structure using auto-regression with exogenous input. Moreover, the proposed approach uses least squares for the parameter estimation of the model. The results have shown that the proposed approach significantly improved the performance of the inverter in response to variation in the input values. Figure 25, Figure 26, Figure 27 and Figure 28 were taken from [34], which show the performance of model-based and model-free predictive control for the change in values of inductance and capacitance. Figure 25 shows that model-based predictive control fails to regulate the current for a change in the capacitance. Figure 26 shows that model-free predictive control regulates the current because its performance is not dependent on the system model parameters. Figure 27 shows the comparison of model-based predictive control and model-free predictive control for an ideal model of the system. Figure 28 shows that model-based predictive control fails to regulate the voltages, but model-free predictive control regulates the voltages for a change of 30% in capacitance.
A model-free neural-network-based predictive controller [35] has been proposed for the frequency and voltage regulation of synchronverters or virtual synchronous generators (VSGs). The proposed control scheme is for the operation of VSGs in microgrids. Experimental results show that the proposed control scheme regulates the voltage and frequency of the VSG. Figure 29 was taken from [35], which shows the comparison between the proposed approach and proportional–integral control. The proposed model-free neural network predictive control (NNPC) performs better than the proportional–integral controller. The Table 5 summarizes all the discussed papers on the application of MFPC in microgrids.

5. Emerging Trends in Model-Free Predictive Control

This section presents a microgrid as a potential application of MFC and gives a future direction in the area of microgrids. Moreover, it gives an overview of the challenges in the implementation of MFPC such as model reduction and convexification.

5.1. Microgrids

Microgrids provide support to the main electric grid in case of any disturbance, and they are an option for providing electricity in areas where there is no access to electricity. Solar panels, wind turbines, and energy storage systems are some of the sources connected to the microgrid by using power electronic converters. Different control schemes have been proposed in the literature for microgrids [36]. The most widely used control scheme is the hierarchical control of the microgrid. This hierarchical control consists of three layers, known as primary, secondary, and tertiary. These layers are divided based on response time and bandwidth requirements for the communication. Table 6 shows the functions of different layers and their response time.
Two main challenges in the control of microgrids are frequency [37,38] and voltage regulation. For frequency and voltage regulation, model-based controllers have been proposed. Among these model-based controllers, model predictive control (MPC) offers many advantages in microgrids because of its flexibility to include constraints and non-linearities in a systematic way [39]. However, the major drawback of the MPC is the model of the microgrid. Modern microgrids have complex dynamics, and they have a non-linear nature. Due to their complex nature, an explicit representation of the state variable is not possible. Moreover, solving these non-linear equations requires much computational effort. To solve this problem, reduced model or linearization methods are commonly used. However, the reduction in model or linearization compromises capturing the dynamics of the system. As a result, it affects the performance of the MPC. Due to these factors, model-free predictive control (MFPC) has gained attention in microgrids. There is much potential for MFPC in microgrids.

5.2. Model Reduction

For the non-parametric approach, two main components are the selection of a model structure and the identification of the model parameters. Applications such as power electronic converters have a non-linear nature. Approximating this non-linear behavior with a simple non-linear model is an active area of research [40]. Moreover, the approximation of non-linear models with a linear model is also an active area of research [40]. Model order reduction is an active research domain in the model-free approach. The reduction in the order of the model reduces the computational load of the controller.

5.3. Convexification

The estimation of model parameters is a major process in the model-free approach. Different estimation techniques have been proposed in the literature for the estimation of the model parameters. Convexification is the process of converting an estimation problem into a convex function. Computationally efficient schemes are available for finding the global minima of a convex function. Convexification [40] is also an active research area in the model-free approach.

6. Conclusions

This paper presented an overview of model-free predictive control and its applications. In the first phase, it presented the theoretical background of the model predictive control and model-free approach. In the second phase, model-free predictive control (MFPC) was presented and explained that MFPC utilizes the advantages of both model predictive control and the model-free approach. In the third phase, model-free predictive control was presented for different applications. Results validated the performance of the model-free predictive control. In the area of power converters, results were shown for the MFPC of a three-phase inverter to control current. Results showed that the current error was just 14 percent of the model-based predictive control. In the area of electric drives, results showed that the MFPC of a permanent magnet synchronous motor has a torque ripple that is 80 percent of model-based predictive control. In the microgrid area, results were presented for the MFPC of a three-phase inverter with an LCL filter to regulate the output voltage. Results showed that the voltage error was just 17 percent of the model-based predictive control. In the last part, a microgrid was presented as a potential application in which MFPC is gaining attention. Moreover, two major problems in the model-free approach known as convexification and model order reduction were presented as a challenge in the implementation of the model-free predictive control.

Author Contributions

Conceptualization, M.N. and W.S.; methodology, M.N.; software, M.N.; validation, M.N. and W.S.; investigation, M.N.; resources, M.N. and W.S.; data curation, M.N.; writing—original draft preparation, M.N.; writing—review and editing, A.H., M.N. and W.S.; visualization, M.N.; supervision, W.S. All authors have read and agreed to the published version of the manuscript.

Funding

This research received no external funding.

Institutional Review Board Statement

Not applicable.

Informed Consent Statement

Not applicable.

Data Availability Statement

Not applicable.

Conflicts of Interest

The authors declare no conflict of interest.

Abbreviations

The following abbreviations are used in this manuscript:
MFCModel-free control
MPCModel predictive control
MBPCModel-based predictive control
MFPCModel-free predictive control
PCPredictive control
CCS-MPCContinuous control set model predictive control
FCS-MPCFinite control set model predictive control
DFIGDoubly fed induction generator
SSNNState space neural network
CCMContinuous conduction mode
DCMDiscontinuous conduction mode
PWMPulse width modulation
SMPMSMSurface-mounted permanent magnet synchronous motor
SRMSynchronous reluctance motor
PIProportional integral
VSGVirtual synchronous generators
ARAuto-regressive

References

  1. Vaez-Zadeh, S. Control of Permanent Magnet Synchronous Motors; Oxford University Press: Oxford, UK, 2018. [Google Scholar]
  2. Morari, M.; Lee, J.H. Model predictive control: Past, present and future. Comput. Chem. Eng. 1999, 23, 667–682. [Google Scholar] [CrossRef]
  3. Kouro, S.; Cortés, P.; Vargas, R.; Ammann, U.; Rodríguez, J. Model predictive control—A simple and powerful method to control power converters. IEEE Trans. Ind. Electron. 2008, 56, 1826–1838. [Google Scholar] [CrossRef]
  4. Nauman, M.; Hasan, A. Efficient implicit model-predictive control of a three-phase inverter with an output LC filter. IEEE Trans. Power Electron. 2016, 31, 6075–6078. [Google Scholar] [CrossRef]
  5. Hu, J.; Shan, Y.; Guerrero, J.M.; Ioinovici, A.; Chan, K.W.; Rodriguez, J. Model predictive control of microgrids–An overview. Renew. Sustain. Energy Rev. 2021, 136, 110422. [Google Scholar] [CrossRef]
  6. Richalet, J. Industrial applications of model based predictive control. Automatica 1993, 29, 1251–1274. [Google Scholar] [CrossRef]
  7. Shah, H.; Gopal, M. Model-free predictive control of nonlinear processes based on reinforcement learning. IFAC-PapersOnLine 2016, 49, 89–94. [Google Scholar] [CrossRef]
  8. Abdelrahem, M.; Rodríguez, J.; Kennel, R. Improved direct model predictive control for grid-connected power converters. Energies 2020, 13, 2597. [Google Scholar] [CrossRef]
  9. Yang, Y.; Wen, H.; Fan, M.; Xie, M.; Peng, S.; Norambuena, M.; Rodriguez, J. Computation-efficient model predictive control with common-mode voltage elimination for five-level ANPC converters. IEEE Trans. Transp. Electrif. 2020, 6, 970–984. [Google Scholar] [CrossRef]
  10. Xia, C.; Liu, T.; Shi, T.; Song, Z. A simplified finite-control-set model-predictive control for power converters. IEEE Trans. Ind. Inform. 2013, 10, 991–1002. [Google Scholar]
  11. Mariéthoz, S.; Morari, M. Explicit model-predictive control of a PWM inverter with an LCL filter. IEEE Trans. Ind. Electron. 2008, 56, 389–399. [Google Scholar] [CrossRef]
  12. Beccuti, A.G.; Mariéthoz, S.; Cliquennois, S.; Wang, S.; Morari, M. Explicit model predictive control of DC–DC switched-mode power supplies with extended Kalman filtering. IEEE Trans. Ind. Electron. 2009, 56, 1864–1874. [Google Scholar] [CrossRef]
  13. Mariethoz, S.; Domahidi, A.; Morari, M. High-bandwidth explicit model predictive control of electrical drives. IEEE Trans. Ind. Appl. 2012, 48, 1980–1992. [Google Scholar] [CrossRef]
  14. Liu, J.; Yan, Q.; Qu, X.; Jiang, F.; Liu, W.; Huang, Z. Explicit model predictive control of bidirectional DC/DC converter for ultracapacitors energy storage unit applied to light rail vehicle. IFAC Proc. Vol. 2014, 47, 10293–10298. [Google Scholar] [CrossRef] [Green Version]
  15. Pessoa, F.P.; Acosta, J.S.; Tavares, M.C. Parameter Estimation of DC Black-Box Arc Models Using System Identification Theory. J. Control Autom. Electr. Syst. 2022, 33, 1229–1236. [Google Scholar] [CrossRef]
  16. Ljung, L. System Identification: Theory for the User; Prentice Hall: Hoboken, NJ, USA, 1987. [Google Scholar]
  17. Al-Greer, M.; Armstrong, M.; Ahmeid, M.; Giaouris, D. Advances on system identification techniques for DC–DC switch mode power converter applications. IEEE Trans. Power Electron. 2018, 34, 6973–6990. [Google Scholar] [CrossRef] [Green Version]
  18. Rodriguez, J.; Heydari, R.; Rafiee, Z.; Young, H.A.; Flores-Bahamonde, F.; Shahparasti, M. Model-free predictive current control of a voltage source inverter. IEEE Access 2020, 8, 211104–211114. [Google Scholar] [CrossRef]
  19. Sabzevari, S.; Heydari, R.; Mohiti, M.; Savaghebi, M.; Rodriguez, J. Model-free neural network-based predictive control for robust operation of power converters. Energies 2021, 14, 2325. [Google Scholar] [CrossRef]
  20. Gu, J.; Li, H.; Zhang, H.; Pan, C.; Luan, Z. Cascaded model-free predictive control for single-phase boost power factor correction converters. Int. J. Robust Nonlinear Control 2021, 31, 5016–5032. [Google Scholar] [CrossRef]
  21. Le, V.T.; Lee, H.H. An enhanced model-free predictive control to eliminate stagnant current variation update for PWM rectifiers. IEEE J. Emerg. Sel. Top. Power Electron. 2021, 9, 6804–6816. [Google Scholar] [CrossRef]
  22. Ma, C.; Li, H.; Yao, X.; Zhang, Z.; De Belie, F. An improved model-free predictive current control with advanced current gradient updating mechanism. IEEE Trans. Ind. Electron. 2020, 68, 11968–11979. [Google Scholar] [CrossRef]
  23. Jin, N.; Chen, M.; Guo, L.; Li, Y.; Chen, Y. Double-Vector Model-Free Predictive Control Method for Voltage Source Inverter with Visualization Analysis. IEEE Trans. Ind. Electron. 2021, 68, 10066–10078. [Google Scholar] [CrossRef]
  24. Zhou, Y.; Li, H.; Liu, R.; Mao, J. Continuous voltage vector model-free predictive current control of surface mounted permanent magnet synchronous motor. IEEE Trans. Energy Convers. 2018, 34, 899–908. [Google Scholar] [CrossRef]
  25. Zhao, B.; Li, H.; Mao, J. Double-objective finite control set model-free predictive control with DSVM for PMSM drives. J. Power Electron. 2019, 19, 168–178. [Google Scholar]
  26. Wang, Y.; Li, H.; Liu, R.; Yang, L.; Wang, X. Modulated model-free predictive control with minimum switching losses for PMSM drive system. IEEE Access 2020, 8, 20942–20953. [Google Scholar] [CrossRef]
  27. Carlet, P.G.; Tinazzi, F.; Bolognani, S.; Zigliotto, M. An effective model-free predictive current control for synchronous reluctance motor drives. IEEE Trans. Ind. Appl. 2019, 55, 3781–3790. [Google Scholar] [CrossRef] [Green Version]
  28. Zhang, Y.; Jiang, T.; Jiao, J. Model-free predictive current control of a dfig using an ultra-local model for grid synchronization and power regulation. IEEE Trans. Energy Convers. 2020, 35, 2269–2280. [Google Scholar] [CrossRef]
  29. Chen, J.; Yang, F.; Han, Q.L. Model-Free Predictive H Control for Grid-Connected Solar Power Generation Systems. IEEE Trans. Control Syst. Technol. 2014, 22, 2039–2047. [Google Scholar] [CrossRef]
  30. Huang, L.; Coulson, J.; Lygeros, J.; Dörfler, F. Decentralized data-enabled predictive control for power system oscillation damping. IEEE Trans. Control Syst. Technol. 2021, 30, 1065–1077. [Google Scholar] [CrossRef]
  31. Huang, L.; Coulson, J.; Lygeros, J.; Dörfler, F. Data-enabled predictive control for grid-connected power converters. In Proceedings of the 2019 IEEE 58th Conference on Decision and Control (CDC), Nice, France, 11–13 December 2019; IEEE: Piscataway, NJ, USA, 2019; pp. 8130–8135. [Google Scholar]
  32. Park, B.; Zhang, Y.; Olama, M.; Kuruganti, T. Model-free control for frequency response support in microgrids utilizing wind turbines. Electr. Power Syst. Res. 2021, 194, 107080. [Google Scholar] [CrossRef]
  33. Liu, W.; Geng, G.; Jiang, Q.; Fan, H.; Yu, J. Model-free fast frequency control support with energy storage system. IEEE Trans. Power Syst. 2019, 35, 3078–3086. [Google Scholar] [CrossRef]
  34. Heydari, R.; Young, H.; Flores-Bahamonde, F.; Vaez-Zadeh, S.; González-Castaño, C.; Sabzevari, S.; Rodríguez, J. Model-Free Predictive Control of Grid-Forming Inverters With LCL Filters. IEEE Trans. Power Electron. 2022, 37, 9200–9211. [Google Scholar] [CrossRef]
  35. Saadatmand, S.; Shamsi, P.; Ferdowsi, M. Power and frequency regulation of synchronverters using a model-free neural network-based predictive controller. IEEE Trans. Ind. Electron. 2020, 68, 3662–3671. [Google Scholar] [CrossRef]
  36. Olivares, D.E.; Mehrizi-Sani, A.; Etemadi, A.H.; Cañizares, C.A.; Iravani, R.; Kazerani, M.; Hajimiragha, A.H.; Gomis-Bellmunt, O.; Saeedifard, M.; Palma-Behnke, R.; et al. Trends in microgrid control. IEEE Trans. Smart Grid 2014, 5, 1905–1919. [Google Scholar] [CrossRef]
  37. Hussain, A.; Hasan, S.; Patil, S.; Shireen, W. Fast Frequency Regulation in Islanded Microgrid Using Model-Based Load Estimation. IEEE Trans. Energy Convers. 2021, 36, 3188–3198. [Google Scholar] [CrossRef]
  38. Hussain, A.; Shireen, W. Model for frequency dynamics in an islanded microgrid and primary frequency control based on disturbance compensation. IEEE Access 2021, 9, 52784–52795. [Google Scholar] [CrossRef]
  39. Garcia-Torres, F.; Zafra-Cabeza, A.; Silva, C.; Grieu, S.; Darure, T.; Estanqueiro, A. Model predictive control for microgrid functionalities: Review and future challenges. Energies 2021, 14, 1296. [Google Scholar] [CrossRef]
  40. Ljung, L. Perspectives on system identification. Annu. Rev. Control 2010, 34, 1–12. [Google Scholar] [CrossRef] [Green Version]
Figure 1. Model predictive control (MPC).
Figure 1. Model predictive control (MPC).
Energies 15 05131 g001
Figure 2. Types of model predictive control.
Figure 2. Types of model predictive control.
Energies 15 05131 g002
Figure 3. Continuous control set model predictive control (CCS-MPC).
Figure 3. Continuous control set model predictive control (CCS-MPC).
Energies 15 05131 g003
Figure 4. Finite control set model predictive control (FCS-MPC).
Figure 4. Finite control set model predictive control (FCS-MPC).
Energies 15 05131 g004
Figure 5. Model-free approach.
Figure 5. Model-free approach.
Energies 15 05131 g005
Figure 6. Model-free approach process.
Figure 6. Model-free approach process.
Energies 15 05131 g006
Figure 7. Non-parametric approach.
Figure 7. Non-parametric approach.
Energies 15 05131 g007
Figure 8. Parametric approach.
Figure 8. Parametric approach.
Energies 15 05131 g008
Figure 9. Model-free predictive control (MFPC).
Figure 9. Model-free predictive control (MFPC).
Energies 15 05131 g009
Figure 10. Performance comparison of FCS−MPC and MFPC. (a) FCS−MPC and MFPC with model mismatch. (b) MPC performance. (c) MFPC performance.
Figure 10. Performance comparison of FCS−MPC and MFPC. (a) FCS−MPC and MFPC with model mismatch. (b) MPC performance. (c) MFPC performance.
Energies 15 05131 g010
Figure 11. Performance comparison of conventional MPC and proposed MFPC.
Figure 11. Performance comparison of conventional MPC and proposed MFPC.
Energies 15 05131 g011
Figure 12. Performance comparison of different approaches. (a) MPC with the ideal model. (b) MPC with model mismatch. (c) MPC with model mismatch. (d) Proposed MFPC.
Figure 12. Performance comparison of different approaches. (a) MPC with the ideal model. (b) MPC with model mismatch. (c) MPC with model mismatch. (d) Proposed MFPC.
Energies 15 05131 g012
Figure 13. Comparison of MPC and MFPC with accurate model.
Figure 13. Comparison of MPC and MFPC with accurate model.
Energies 15 05131 g013
Figure 14. Comparison of MPC and MFPC with model mismatch. (a) MPC with model mismatch. (b) MFPC with model mismatch.
Figure 14. Comparison of MPC and MFPC with model mismatch. (a) MPC with model mismatch. (b) MFPC with model mismatch.
Energies 15 05131 g014
Figure 15. (a) Conventional FCS−MPC. (b) Duty cycle MPC. (c) Model−free predictive control.
Figure 15. (a) Conventional FCS−MPC. (b) Duty cycle MPC. (c) Model−free predictive control.
Energies 15 05131 g015
Figure 16. Dynamic performance of model-based method for dq axis currents: (a) 100 rpm; (b) 400 rpm.
Figure 16. Dynamic performance of model-based method for dq axis currents: (a) 100 rpm; (b) 400 rpm.
Energies 15 05131 g016
Figure 17. Dynamic performance of model-free method for dq axis currents: (a) 100 rpm; (b) 400 rpm.
Figure 17. Dynamic performance of model-free method for dq axis currents: (a) 100 rpm; (b) 400 rpm.
Energies 15 05131 g017
Figure 18. dq−axis stator currents response at 100 rpm. (a) FCS−MPC. (b) FS−MMFPC. (c) MSL−MMFPC.
Figure 18. dq−axis stator currents response at 100 rpm. (a) FCS−MPC. (b) FS−MMFPC. (c) MSL−MMFPC.
Energies 15 05131 g018
Figure 19. Comparison between model-based predictive control and model-free predictive control. (a) τ m * = 25% rated load. (b) τ m * = 25% rated load.
Figure 19. Comparison between model-based predictive control and model-free predictive control. (a) τ m * = 25% rated load. (b) τ m * = 25% rated load.
Energies 15 05131 g019
Figure 20. Comparison of two different predictive control methods. (a) Model-based predictive control (b) Model-free predictive control.
Figure 20. Comparison of two different predictive control methods. (a) Model-based predictive control (b) Model-free predictive control.
Energies 15 05131 g020
Figure 21. Performance comparison of different controllers for a change in grid inductance from 0.15 to 0.40 mH. (a1) PI controller current waveform. (a2) PI controller voltage waveform. (b1) Model−free LQG controller current waveform. (b2) Model−free LQG controller voltage waveform. (c1) Model−free H current waveform. (c2) Model−free H voltage waveform.
Figure 21. Performance comparison of different controllers for a change in grid inductance from 0.15 to 0.40 mH. (a1) PI controller current waveform. (a2) PI controller voltage waveform. (b1) Model−free LQG controller current waveform. (b2) Model−free LQG controller voltage waveform. (c1) Model−free H current waveform. (c2) Model−free H voltage waveform.
Energies 15 05131 g021
Figure 22. Comparison of data-driven predictive control and model-based predictive control. Grey color: without control. Blue color: model-based predictive control. Orange color: data-driven predictive control.
Figure 22. Comparison of data-driven predictive control and model-based predictive control. Grey color: without control. Blue color: model-based predictive control. Orange color: data-driven predictive control.
Energies 15 05131 g022
Figure 23. Frequency response for different values of α .
Figure 23. Frequency response for different values of α .
Energies 15 05131 g023
Figure 24. Frequency deviation with and without ESS.
Figure 24. Frequency deviation with and without ESS.
Energies 15 05131 g024
Figure 25. Performance of model-based predictive control.
Figure 25. Performance of model-based predictive control.
Energies 15 05131 g025
Figure 26. Performance of model-free predictive control.
Figure 26. Performance of model-free predictive control.
Energies 15 05131 g026
Figure 27. Comparison of different controllers with an ideal model. (a) MPC performance. (b) MFPC performancel.
Figure 27. Comparison of different controllers with an ideal model. (a) MPC performance. (b) MFPC performancel.
Energies 15 05131 g027
Figure 28. Comparison of different controllers for a change of 30% in capacitance. (a) MPC performance. (b) MFPC performance.
Figure 28. Comparison of different controllers for a change of 30% in capacitance. (a) MPC performance. (b) MFPC performance.
Energies 15 05131 g028
Figure 29. Comparison of the performance of NNPC−VSG and PI control. (a) Active power. (b) Reactive power. (c) Zoomed active power. (d) Zoomed reactive power.
Figure 29. Comparison of the performance of NNPC−VSG and PI control. (a) Active power. (b) Reactive power. (c) Zoomed active power. (d) Zoomed reactive power.
Energies 15 05131 g029aEnergies 15 05131 g029b
Table 1. Research papers on the application of model-free predictive control in power converters.
Table 1. Research papers on the application of model-free predictive control in power converters.
MFPC for Power ConvertersReference
Model-free predictive control for current regulation of a three-phase inverter[18]
Model-free neural-network-based predictive controller for a three-phase inverter[19]
Cascaded model-free predictive control for a boost converter[20]
Model-free predictive control for pulse width modulation rectifiers[21]
Double-vector model-free predictive control for a voltage source inverter[23]
Table 2. Comparison of proposed approach with different methods.
Table 2. Comparison of proposed approach with different methods.
Method T e rip Nm I d rip (A) I q rip (A)THD % f av KHz
MBPCC0.2770.2820.1627.532.81
MBPCC with 0.5 L d 0.4090.3320.2467.762.87
MBPCC with 0.5 L q 0.2670.4150.1377.462.78
Conventional MFPCC0.6900.4380.3909.832.93
Proposed MFPCC0.2230.2930.1327.272.89
Table 3. Research papers on the application of model-free predictive control in electric drives.
Table 3. Research papers on the application of model-free predictive control in electric drives.
MFPC for Electric DrivesReference
Ultra-local-model-based model-free predictive current control for a surface mounted permanent magnet synchronous motor[22]
Dead-beat-based model-free predictive current control for a permanent motor synchronous drive[24]
Ultra-local-model-based model-free predictive control for a synchronous motor[25]
Lookup-table-based model-free predictive control for a synchronous reluctance motor drive[26]
Model-free predictive current control for a permanent magnet synchronous motor[27]
Table 4. Research papers on application of model-free predictive control in power systems.
Table 4. Research papers on application of model-free predictive control in power systems.
MFPC for Power SystemsReference
Model-free predictive control for a doubly fed induction generator[28]
H -based model-free predictive control for a grid-connected solar power generation system[29]
Data-based predictive control for power system oscillation damping[30]
Data-based model-free predictive control for removing oscillation in a grid-connected inverter[31]
Table 5. Research papers on the application of model-free predictive control in microgrids.
Table 5. Research papers on the application of model-free predictive control in microgrids.
MFPC for MicrogridsReference
Model-free predictive control for frequency synchronization of a microgrid[32]
Model-free predictive control for fast frequency synchronization of a microgrid using a battery energy storage system[33]
Model-free predictive control of grid-forming inverters with an LCL filter[34]
Model-free neural-network-based predictive controller for frequency and voltage regulation of synchronverters[35]
Table 6. Hierarchical control layer functions and their response time.
Table 6. Hierarchical control layer functions and their response time.
LayerFunctionTime Response
Primary
  • Voltage control
  • Frequency control
Fast
Secondary
  • Elimination of frequency deviation
  • Reference signal generation for primary layer
  • Grid-connected to island mode
  • Island to grid-connected mode
Slow
TertiaryCoordination of different microgridsSlow
Publisher’s Note: MDPI stays neutral with regard to jurisdictional claims in published maps and institutional affiliations.

Share and Cite

MDPI and ACS Style

Nauman, M.; Shireen, W.; Hussain, A. Model-Free Predictive Control and Its Applications. Energies 2022, 15, 5131. https://doi.org/10.3390/en15145131

AMA Style

Nauman M, Shireen W, Hussain A. Model-Free Predictive Control and Its Applications. Energies. 2022; 15(14):5131. https://doi.org/10.3390/en15145131

Chicago/Turabian Style

Nauman, Muhammad, Wajiha Shireen, and Amir Hussain. 2022. "Model-Free Predictive Control and Its Applications" Energies 15, no. 14: 5131. https://doi.org/10.3390/en15145131

APA Style

Nauman, M., Shireen, W., & Hussain, A. (2022). Model-Free Predictive Control and Its Applications. Energies, 15(14), 5131. https://doi.org/10.3390/en15145131

Note that from the first issue of 2016, this journal uses article numbers instead of page numbers. See further details here.

Article Metrics

Back to TopTop