A Fuzzy-PSO-PID with UPFC-RFB Solution for an LFC of an Interlinked Hydro Power System
Abstract
:1. Introduction
- Create a linear design of the hydro-leading system using an interconnected approach for LFC studies. The hydro framework is divided into hydro zones and connected via an AC tie-line.
- Develop a fuzzy logic control with two inputs for a hydro-leading system and then use the fuzzy outputs as PID inputs.
- Determine the PID gains using PSO by selecting the appropriate error definition, i.e., Integral Time Multiplied Absolute Error (ITAE). The performance of the PSO is evaluated by performing it for 100 iterations and using the outcome of the 100th iteration to obtain the final control action, which is Fuzzy-PSO-PID.
- Validate the Fuzzy-PSO-PID result for regular load variation from one of the control zones, and the result is compared with a recently published LFC to pick up the value of PID, ITAE, and through a graphical LFC.
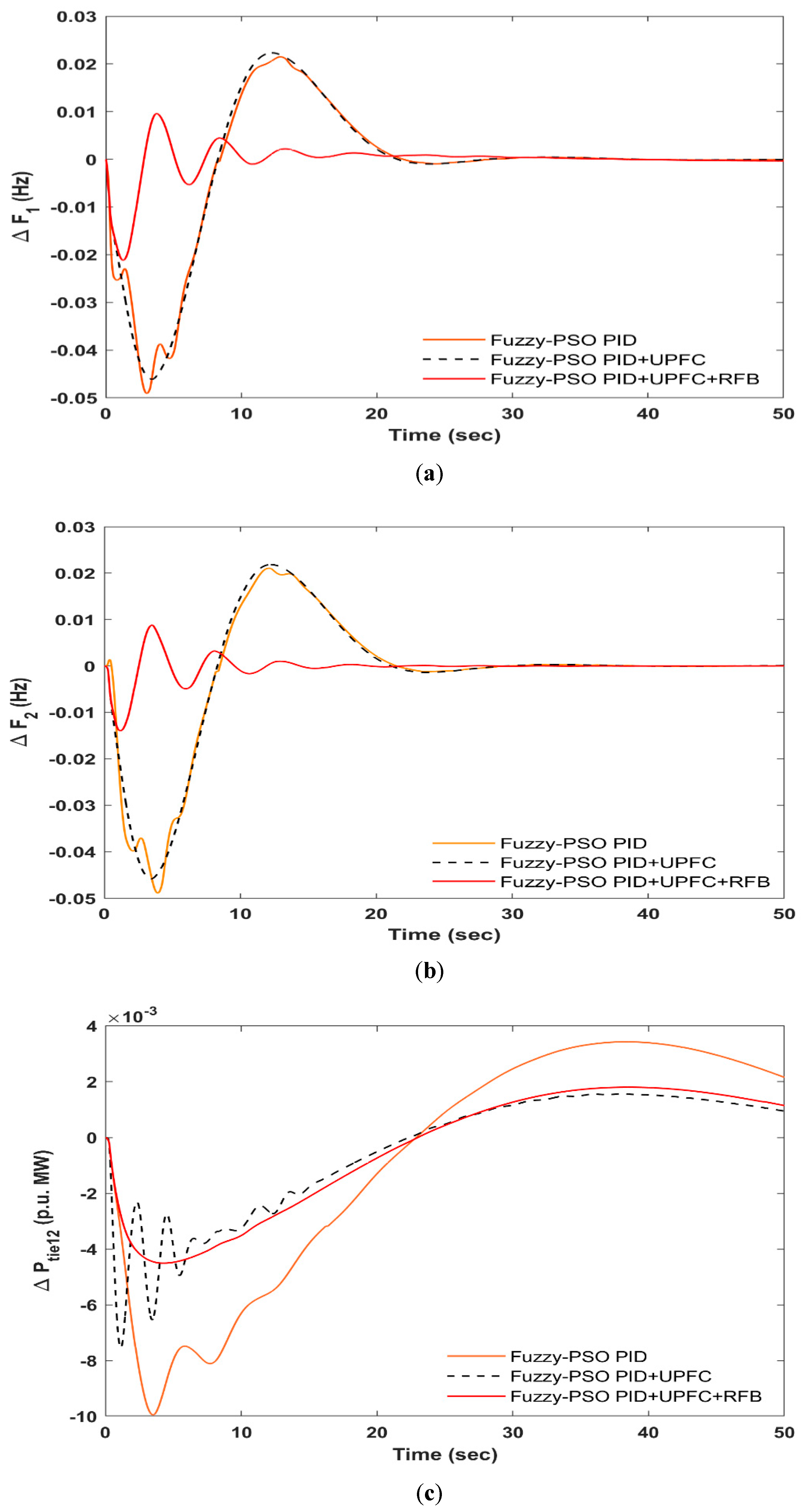
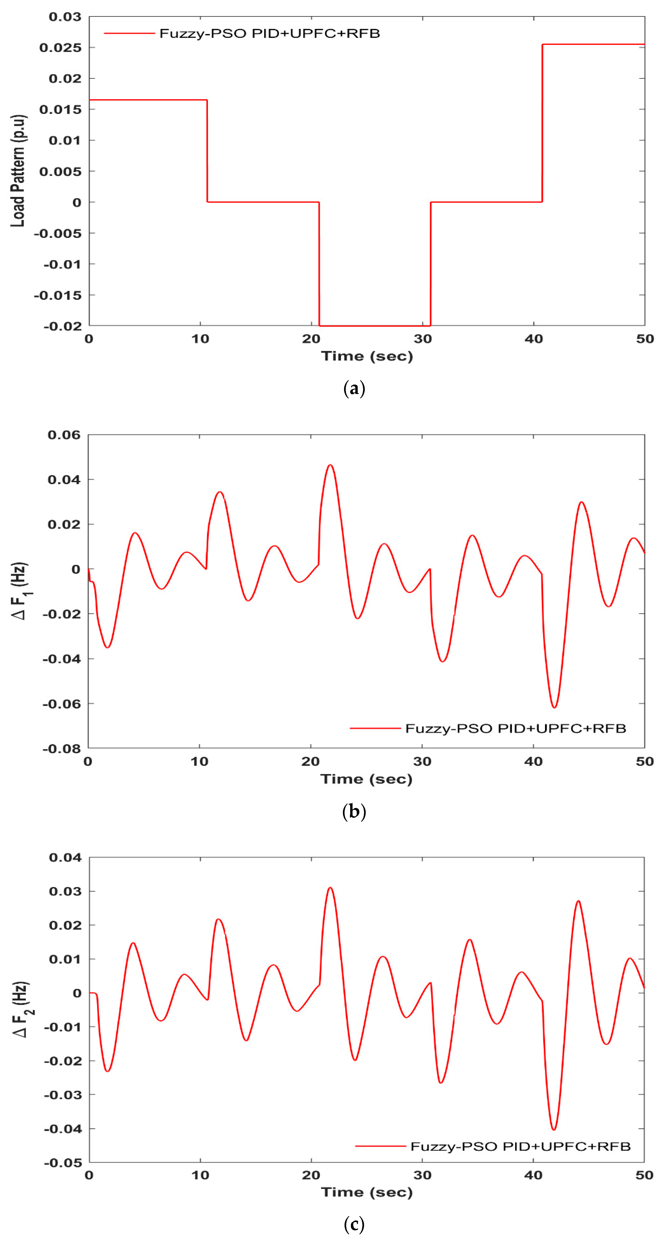
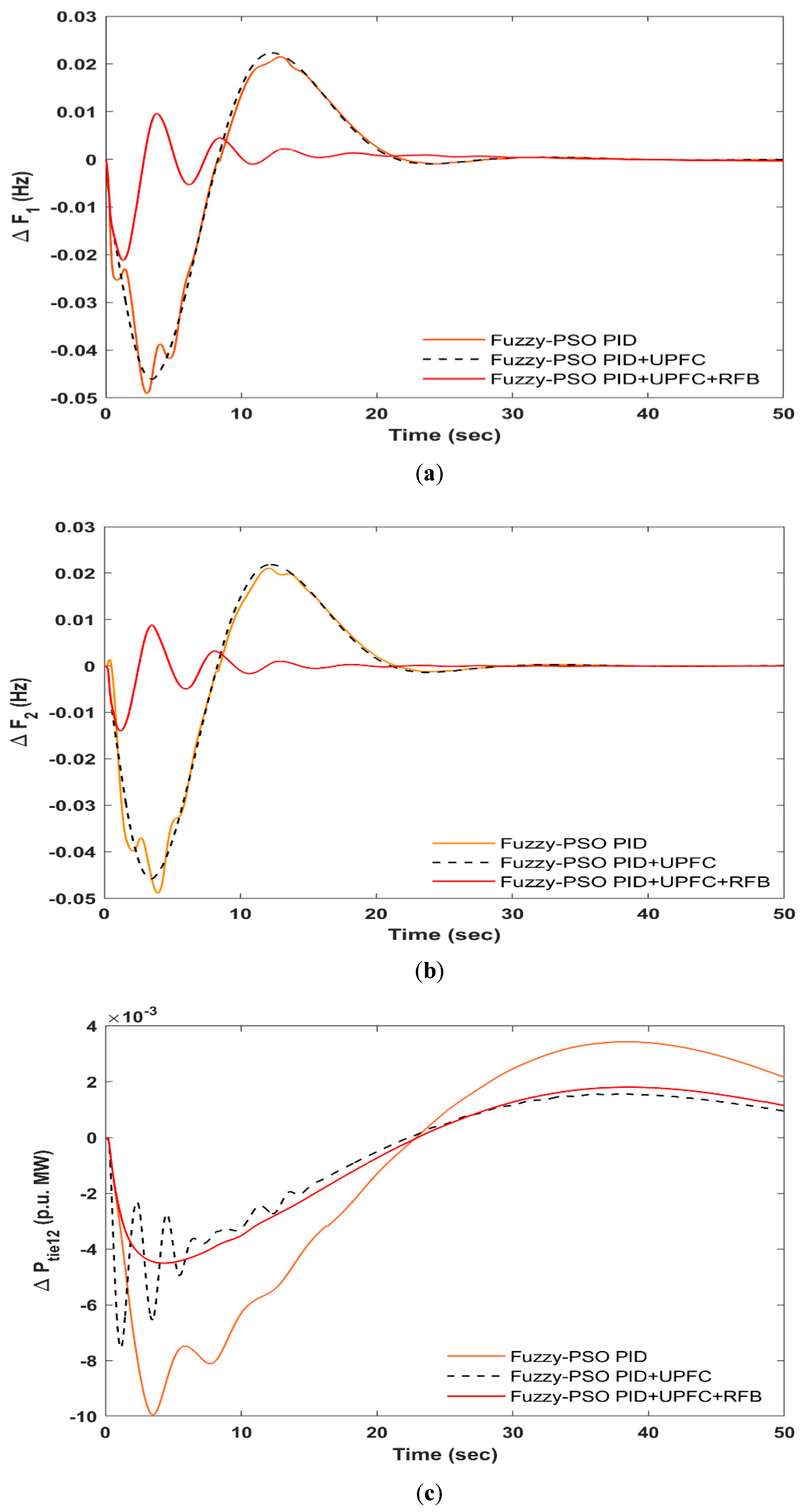
- The results of Fuzzy-PSO-PID are good with regard to earlier published LFC outcomes. However, it still needs enhancement; hence the UPFC and the RFB are added to the hydro model, and the output is observed again considering load alteration, random load pattern, and parametric alterations from the original values.
- At last, all results are concluded to show the benefits of Fuzzy-PSO-PID, UPFC and RFB integration with regard to the present research work.
2. Model Details of the Hydro System
3. Modelling of Fuzzy-PSO-PID
3.1. Fuzzification
3.2. Fuzzy Inference System
3.3. Allocation of Region of Inputs
3.4. Defuzzfying the Output Value
3.5. Objective Function
3.6. PSO Algorithm
3.7. UPFC Modeling
3.8. RFB Modeling
4. Simulation of Fuzzy-PSO-PID and Its Analysis
5. Conclusions
- Fuzzy-PSO-PID is agreeably sufficient to meet the LFC guidelines of hydropower systems with regards to ITAE value, pickups of PID, and LFC responses in comparison to other LFC actions. Still, it needs change and enhancement to have superior LFC designs for such systems.
- The synchronization of UPFC with an AC tie-line as well as an RFB in region-2 of a hydro-leading system with the Fuzzy-PSO-PID has very well covered the frequency and tie-line power variations of the hydro system to an extraordinary degree also in the presence of non-linearity.
- The reduction in ITAE achieved via the Fuzzy-PSO-PID with UPFC and an RFB demonstrates the importance and regulates the reasonability of the current research work.
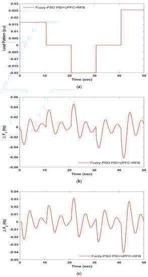
- The sensitivity analysis and random load pattern for the Fuzzy-PSO-PID with UPFC-RFB shows that the Fuzzy-PSO-PID design is reasonably good, clear, and capable of supporting the LFC output of a hydro-leading system.
- In the present research work, triangular MFs are used for FL. However, diverse MFs can affect the LFC output, and it needs to be explored further. The Type-2 FL can be a better solution for an LFC of a hydro-leading system.
- The research work can be extended to multi-areas with a hydro-leading system in a regulated and deregulated environment. Furthermore, the design of a proposed LFC can further improve by using other and advanced optimization techniques.
- The energy storage devices will play a major role in improving the LFC action further.
- The output of the Fuzzy-PSO-PID can be evaluated again using OPAL-RT and other real-time software in comparison to standard MATLAB software.
Author Contributions
Funding
Institutional Review Board Statement
Informed Consent Statement
Data Availability Statement
Conflicts of Interest
Abbreviations
| ∆Fi | Alteration in frequency of area i (i = 1, 2) |
| ∆Ptie12 | Alteration in Tie-line power (p.u. MW) |
| 2ΠT12 | Tie-line power synchronizing coefficient (p.u.MW/Hz) |
| ∆Pgi | Power generation alteration (p.u. MW) |
| ∆Pdi | Load alteration (p.u. MW/Hz) |
| ∆Pci | Alteration in speed changer position |
| Ri | Speed regulation factor (Hz/p.u. MW) |
| Kghi | Governor gain |
| Tghi | Governor time constant (s) |
| Thi | Time constant associated with hydro governor |
| Twi | Hydro turbine time constant (s) |
| Kpsi | Gain of power system |
| Tpsi | Time constant of power system (s) |
| a12 | Area size ratio co-efficient |
| Bi | Frequency bias constant (p.u. MW/Hz) |
| ACEi | Area Control Error |
| ∆PUPFC | Power alteration of UPFC |
| KUPFC | UPFC gain |
| TUPFC | UPFC time constant (s) |
| ∆PRFB | RFB power alteration |
| KRFB | RFB gain |
| TRFB | RFB replying time (s) |
| n | Dimension of search space |
| C1, C2, R1, R2 | PSO random parameters |
| pbest | Positions best |
| gbest | Global best |
Appendix A
| Area-1 | Area-2 | Data\Value |
| B1 | B2 | 0.425 |
| R1 | R2 | 3.0 |
| Kgh1 | Kgh2 | 1 |
| Tgh1 | Tgh2 | 0.6 |
| Th1 | Th2 | 5 |
| Th3 | Th4 | 32 |
| Tw1 | Tw2 | 1 |
| Kps1 | Kps2 | 20 |
| Tps1 | Tps2 | 3.76 |
| 2ΠT12 | 0.545 | |
| a12 | a12 | 1 |
| RFB Device | ||
| KRFB | 0.67 | |
| TRFB | 0 | |
| UPFC Device | ||
| TUPFC | 0.01 | |
| PSO Parameter Name | Value | |
| Max Generation | 100 | |
| Population in Swarm | 50 | |
| c1, c2 | 1.5, 0.12 | |
| wmax, wmin | 0.9, 0.4 | |
References
- Sharma, G.; Narayanan, K.; Davidson, I.; Akindeji, K. Integration and Enhancement of Load Frequency Control Design for Diverse Sources Power System via DFIG Based Wind Power Generation and Interonnected via Parallel HVDC/EHVAC Tie-Lines. Int. J. Eng. Res. Afr. 2020, 46, 106–124. [Google Scholar] [CrossRef]
- Joshi, M.; Sharma, G.; Davidson, I.E. Load Frequency Control of Hydro Electric System using Application of Fuzzy with Particle Swarm Optimization Algorithm. In Proceedings of the 2020 International Conference on Artificial Intelligence, Big Data, Computing and Data Communication Systems (icABCD), Durban, South Africa, 6–7 August 2020; pp. 1–6. [Google Scholar] [CrossRef]
- Panwar, A.; Sharma, G.; Sahoo, S.; Bansal, R. Active Power Regulation of Hydro Dominating Energy System using IDD optimized FPA. Energy Procedia 2019, 158, 6328–6333. [Google Scholar] [CrossRef]
- Sharma, G. Optimal AGC Design for Diverse Sources of Power Generations in each Area Using Output Vector Feedback Control Technique. Int. J. Eng. Res. Afr. 2019, 45, 99–114. [Google Scholar] [CrossRef]
- Bevrani, H. Robust Power System Frequency Control; Springer: Cham, Switzerland, 2014. [Google Scholar] [CrossRef]
- Hsu, Y.; Chan, W. Optimal variable structure controller for the load-frequency control of interconnected hydrothermal power systems. Int. J. Electr. Power Energy Syst. 1984, 6, 221–229. [Google Scholar] [CrossRef]
- Ali-Hamouze, Z.; Magide, Y.A. Variable structure load frequency controllers for multi area power system. Electr. Power Energy Syst. 1995, 15, 22–29. [Google Scholar]
- Velusami, S.; Chidambaram, I. Decentralized biased dual mode controllers for load frequency control of interconnected power systems considering GDB and GRC non-linearities. Energy Convers. Manag. 2007, 48, 1691–1702. [Google Scholar] [CrossRef]
- Ibraheem, K.N.; Sharma, G. Study on dynamic participation of wind turbines in AGC of power system. Electr. Power Component Syst. 2014, 43, 44–55. [Google Scholar]
- Sharma, G.; Nasiruddin, I.; Niazi, K.R. Optimal Automatic Generation Control of Asynchronous Power Systems Using Output Feedback Control Strategy with Dynamic Participation of Wind Turbines. Electr. Power Compon. Syst. 2015, 43, 384–398. [Google Scholar] [CrossRef]
- Zeynelgil, H.; Demiroren, A.; Sengor, N.S. The application of ANN technique to automatic generation control for multi-area power system. Int. J. Electr. Power Energy Syst. 2002, 24, 345–354. [Google Scholar] [CrossRef]
- Juang, C.F. Load-frequency control by hybrid evolutionary fuzzy PI controller. IET Proc.—Gener. Transm. Distrib. 2006, 153, 196–204. [Google Scholar] [CrossRef]
- Lee, H.J.; Park, J.B.; Joo, Y.H. Robust load-frequency control for uncertain nonlinear power systems: A fuzzy logic approach. Inf. Sci. 2006, 176, 3520–3537. [Google Scholar] [CrossRef]
- Ilhan, K.; Çam, E. Fuzzy logic controller in interconnected electrical power systems for load-frequency control. Int. J. Electr. Power Energy Syst. 2005, 27, 542–549. [Google Scholar] [CrossRef]
- Sudha, K.; Vijaya Santhi, R. Robust decentralized load frequency control of interconnected power system with Generation Rate Constraint using Type-2 fuzzy approach. Int. J. Electr. Power Energy Syst. 2011, 33, 699–707. [Google Scholar] [CrossRef]
- Arya, Y.; Kumar, N. Fuzzy Gain Scheduling Controllers for Automatic Generation Control of Two-area Interconnected Electrical Power Systems. Electr. Power Compon. Syst. 2016, 44, 737–751. [Google Scholar] [CrossRef]
- Sahu, R.K.; Panda, S.; Chandra Sekhar, G. A novel hybrid PSO-PS optimized fuzzy PI controller for AGC in multi-area interconnected power systems. Int. J. Electr. Power Energy Syst. 2015, 64, 880–893. [Google Scholar] [CrossRef]
- Sharma, G. Performance enhancement of a hydro-hydro power system using RFB and TCPS. Int. J. Sustain. Energy 2019, 38, 615–629. [Google Scholar] [CrossRef]
- Panwar, A.; Sharma, G.; Nasiruddin, I.; Bansal, R. Frequency stabilization of hydro–hydro power system using hybrid bacteria foraging PSO with UPFC and HAE. Electr. Power Syst. Res. 2018, 161, 74–85. [Google Scholar] [CrossRef]
- Joshi, M.K.; Sharma, G.; Davidson, I.E. Investigation of Diverse Sampling Time for LFC of Hydro Power System using Discrete LQR with UPFC and RFB. In Proceedings of the 2020 International SAUPEC/RobMech/PRASA Conference, Cape Town, South Africa, 29–31 January 2020; pp. 1–6. [Google Scholar] [CrossRef]
- Sahu, R.K.; Gorripotu, T.S.; Panda, S. A hybrid DE–PS algorithm for load frequency control under deregulated power system with UPFC and RFB. Ain Shams Eng. J. 2015, 6, 893–911. [Google Scholar] [CrossRef] [Green Version]
- Arya, Y.; Kumar, N.; Gupta, S. Optimal automatic generation control of two-area power systems with energy storage units under deregulated environment. J. Renew. Sustain. Energy 2017, 9, 064105-20. [Google Scholar] [CrossRef]
- Chidambaram, I.; Paramasivam, B. Optimized load-frequency simulation in restructured power system with Redox Flow 2 Batteries and Interline Power Flow Controller. Int. J. Electr. Power Energy Syst. 2013, 50, 9–24. [Google Scholar] [CrossRef]
- Rangi, S.; Jain, S.; Arya, Y. Utilization of energy storage devices with optimal controller for multi-area hydro-hydro power system under deregulated environment. Sustain. Energy Technol. Assess. 2022, 52, 102191. [Google Scholar] [CrossRef]













| dACE | NB−1 | NS−1 | Z0 | PS1 | PB1 | |
|---|---|---|---|---|---|---|
| ACE | ||||||
| NB−1 | NB−1 | NB−1 | NS−1 | NS−1 | Z0 | |
| NS−1 | NB−1 | NS−1 | NS−1 | Z0 | PS1 | |
| Z0 | NB−1 | NS−1 | Z0 | PS1 | PB1 | |
| PS1 | NS−1 | Z0 | PS1 | PS1 | PB1 | |
| PB1 | Z0 | PS1 | PS1 | PB1 | PB1 | |
| Methods | KP | KI | KD | ITAE |
|---|---|---|---|---|
| Classical PID [19] | −0.12 | −0.091603 | 0.0393 | 41.1935015 |
| Pessen PID [19] | −0.14 | −0.050381 | 0.05502 | 46.5603916 |
| Some overshoot PID [19] | −0.066 | 0.050381 | 0.05764 | 38.0953828 |
| No overshoot PID [19] | −0.04 | −0.030533 | 0.034933 | 31.388228 |
| Fuzzy-PSO-PID | −1.0684 | −0.0591 | −0.1305 | 0.002725 |
| Models | KP | KI | KD | ITAE |
|---|---|---|---|---|
| Fuzzy-PSO PID | −1.0684 | −0.0591 | −0.1305 | 0.002725 |
| Fuzzy-PSO PID+UPFC | −1.0684 | −0.0591 | −0.1305 | 0.002471 |
| Fuzzy-PSO PID+UPFC+RFB | −1.0684 | −0.0591 | −0.1305 | 0.001103 |
| Overshoot (Hz) | Undershoot (Hz) | Settling Time (S) | |||||||
|---|---|---|---|---|---|---|---|---|---|
| ΔF1 | ΔF2 | Ptie12 | ΔF1 | ΔF2 | Ptie12 | ΔF1 | ΔF2 | Ptie12 | |
| Fuzzy PSO | 0.02136 | 0.02293 | 0.00343 | −0.04975 | −0.0498 | −0.00992 | 33.10 | 34.48 | 49.99 |
| Fuzzy-PSO-PID+UPFC | 0.02345 | 0.02395 | 0.001803 | −0.04748 | −0.0457 | −0.00754 | 32.42 | 33.90 | 49.55 |
| Fuzzy-PSO-PID+UC+RFB | 0.009904 | 0.009585 | 0.001562 | −0.02248 | −0.01495 | −0.00450 | 30.91 | 25.99 | 49.24 |
Publisher’s Note: MDPI stays neutral with regard to jurisdictional claims in published maps and institutional affiliations. |
© 2022 by the authors. Licensee MDPI, Basel, Switzerland. This article is an open access article distributed under the terms and conditions of the Creative Commons Attribution (CC BY) license (https://creativecommons.org/licenses/by/4.0/).
Share and Cite
Joshi, M.; Sharma, G.; Bokoro, P.N.; Krishnan, N. A Fuzzy-PSO-PID with UPFC-RFB Solution for an LFC of an Interlinked Hydro Power System. Energies 2022, 15, 4847. https://doi.org/10.3390/en15134847
Joshi M, Sharma G, Bokoro PN, Krishnan N. A Fuzzy-PSO-PID with UPFC-RFB Solution for an LFC of an Interlinked Hydro Power System. Energies. 2022; 15(13):4847. https://doi.org/10.3390/en15134847
Chicago/Turabian StyleJoshi, Milan, Gulshan Sharma, Pitshou N. Bokoro, and Narayanan Krishnan. 2022. "A Fuzzy-PSO-PID with UPFC-RFB Solution for an LFC of an Interlinked Hydro Power System" Energies 15, no. 13: 4847. https://doi.org/10.3390/en15134847
APA StyleJoshi, M., Sharma, G., Bokoro, P. N., & Krishnan, N. (2022). A Fuzzy-PSO-PID with UPFC-RFB Solution for an LFC of an Interlinked Hydro Power System. Energies, 15(13), 4847. https://doi.org/10.3390/en15134847

