An LBM-Based Investigation on the Mixing Mechanism of Double Rows Film Cooling with the Combination of Forward and Backward Jets
Abstract
:1. Introduction
2. Numerical Methods
2.1. Computational Domain and Boundary Conditions
2.2. Solution Algorithm
2.2.1. Simplified Thermal Lattice Boltzmann Method
2.2.2. Smagorinsky Subgrid-Scale Stress Model
3. Results and Discussion
3.1. Validation of the Numerical Method and Grid Sensitivity Study
3.2. The Interaction between Crossflow and Double Rows Coolant Jets with Different Jet Orientations
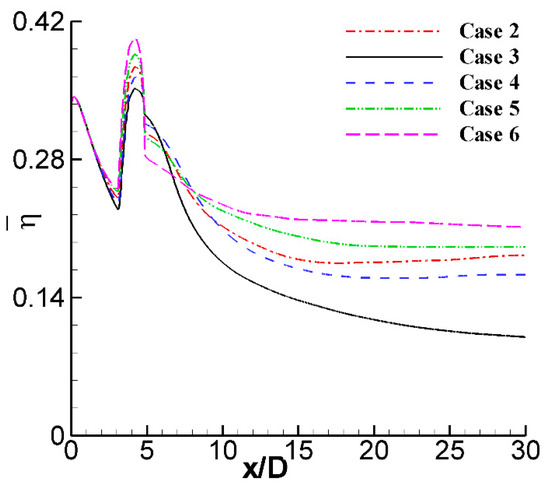
3.3. Effect of the Blowing Ratio of the Backward Downstream Jet
4. Conclusions
- The jet orientation of downstream coolant jet has a significant effect on the magnitude of velocity inside the boundary layer. The backward downstream jet could penetrate deep into the hot crossflow and suppress the generation of CVP. Therefore, the hairpin vortices of double rows film cooling with the combination of forward and backward jets are too weak to be identified, which results in the large coverage of coolant-film layer and good improvement of film cooling efficiency of the region behind the downstream film cooling hole;
- The effect of the blowing ratio of the backward downstream jet onflow structure and heat-transfer features is obvious. There is a pair of anti-CVP generating above the CVP when the blowing ratio of backward downstream jet larger than 0.5. The special vortices could offset the adverse effect of CVP and transport much coolant jet flow to cover the bottom wall. Hence, the large blowing ratio of backward downstream jet would increase the film cooling effectiveness and reduce the SD of the film cooling effectiveness, which is conductive to the improvement of film cooling performance.
Author Contributions
Funding
Conflicts of Interest
References
- Bogard, D.G.; Thole, K.A. Gas turbine film cooling. J. Propuls. Power 2006, 22, 249–270. [Google Scholar] [CrossRef] [Green Version]
- Han, J.C.; Dutta, S.; Ekkad, S.V. Gas Turbine Heat Transfer and Cooling Technology; CRC Press: Boca Raton, FL, USA, 2000. [Google Scholar]
- Kamotani, Y.; Greber, I. Experiments on a turbulent jet in a cross flow. AIAA J. 1972, 10, 1425–1429. [Google Scholar] [CrossRef]
- Walters, D.K.; Leylek, J.H. A detailed analysis of film-cooling physics: Part I-Streamwise injection with cylindrical holes. J. Turbomach. 2000, 122, 102–112. [Google Scholar] [CrossRef]
- McGovern, K.T.; Leylek, J.H. A detailed analysis of film cooling physics: Part II-Compound-angle injection with cylindrical holes. J. Turbomach. 2000, 122, 113–121. [Google Scholar] [CrossRef]
- Hyams, D.G.; Leylek, J.H. A detailed analysis of film cooling physics: Part III-Streamwise injection with shaped holes. J. Turbomach. 2000, 122, 122–132. [Google Scholar] [CrossRef]
- Brittingham, R.A.; Leylek, J.H. A detailed analysis of film cooling physics: Part IV-Compound-angle injection with shaped holes. J. Turbomach. 2000, 122, 133–145. [Google Scholar] [CrossRef]
- Muldoon, F.; Acharya, S. DNS study of pulsed film cooling for enhanced cooling effectiveness. Int. J. Heat Mass Transf. 2009, 52, 3118–3127. [Google Scholar] [CrossRef]
- Sultan, Q.; Lalizel, G.; Fenot, M.; Dorignac, E. Influence of coolant jet pulsation on the convective film cooling of an adiabatic wall. J. Heat Transf. 2017, 139, 022201. [Google Scholar] [CrossRef]
- Wright, L.M.; McClain, S.T.; Clemenson, M.D. Effect of freestream turbulence intensity on film cooling jet structure and surface effectiveness using PIV and PSP. J. Turbomach. 2011, 133, 041023. [Google Scholar] [CrossRef]
- An, B.T.; Liu, J.J.; Zhou, S.J. Effects of mainstream turbulence intensity and coolant-to-mainstream density ratio on film cooling effectiveness of multirow diffusion slot holes. J. Heat Transf. 2019, 141, 122001. [Google Scholar] [CrossRef]
- Johnson, B.; Tian, W.; Zhang, K.; Hu, H. An experimental study of density ratio effects on the film cooling injection from discrete holes by using PIV and PSP techniques. Int. J. Heat Mass Transf. 2014, 76, 337–349. [Google Scholar] [CrossRef]
- Kelishami, M.K.; Lakzian, E. Optimization of the blowing ratio for film cooling on a flat plate. Int. J. Numer. Methods Heat Fluid Flow 2017, 27, 104–119. [Google Scholar] [CrossRef]
- Baek, S.I.; Ryu, J.; Ahn, J. Large eddy simulation of film cooling with forward expansion hole: Comparative study with LES and RANS simulations. Energies 2021, 14, 2063. [Google Scholar] [CrossRef]
- Liu, C.L.; Ye, L.; Zhang, F.; Huang, R.; Li, B. Film cooling performance evaluation of the furcate hole with cross-flow coolant injection: A comparative study. Int. J. Heat Mass Transf. 2021, 164, 120457. [Google Scholar] [CrossRef]
- Hang, J.; Zhang, J.Z.; Wang, C.H.; Shan, Y. Numerical investigation of single-row double-jet film cooling of a turbine guide vane under high-temperature and high-pressure conditions. Energies 2022, 15, 287. [Google Scholar] [CrossRef]
- Zhou, W.; Hu, H. Improvements of film cooling effectiveness by using Barchan dune shaped ramps. Int. J. Heat Mass Transf. 2016, 103, 443–456. [Google Scholar] [CrossRef] [Green Version]
- Zhao, M.J.; Bian, Y.F.; Xu, J.J.; Ye, T. Large eddy simulation of film cooling with different upstream obstacles. Int. J. Therm. Sci. 2021, 161, 106722. [Google Scholar] [CrossRef]
- Li, X.C. Numerical simulation on fluid flow and heat transfer of film cooling with backward injection. In Volume 5: Fuel Cells, Gas Turbines, Heat Pipes, Jet Impingement, Radiation, Proceedings of the ASME International Heat Transfer Conference-2010, Washington, DC, USA, 8–13 August 2010; American Society of Mechanical Engineers: New York, NY, USA, 2010; pp. 257–265. [Google Scholar]
- Park, S.; Jung, E.Y.; Kim, S.H.; Sohn, H.S.; Cho, H.H. Enhancement of film cooling effectiveness using backward injection holes. Int. J. Therm. Sci. 2016, 110, 314–324. [Google Scholar] [CrossRef]
- Singh, K.; Premachandran, B.; Ravi, M.R. Experimental and numerical studies on film cooling with reverse/backward coolant injection. Int. J. Therm. Sci. 2017, 111, 390–408. [Google Scholar] [CrossRef]
- Zhao, Z.C.; He, L.M.; Dai, S.J.; Shao, S. Computational research on film cooling performance of different shaped holes with backward and forward injection. AIP Adv. 2019, 9, 055009. [Google Scholar] [CrossRef] [Green Version]
- Galeazzo, F.C.C.; Donnert, G.; Cardenas, C.; Sedlmaier, J.; Habisreuther, P.; Zarzalis, N.; Beck, C.; Krebs, W. Computational modeling of turbulent mixing in a jet in crossflow. Int. J. Heat Fluid Flow 2013, 41, 55–65. [Google Scholar] [CrossRef]
- Duggleby, A.; Camp, J.L.; Laskowski, G. Evaluation of massively-parallel spectral element algorithm for LES of film-cooling. In Proceedings of the ASME Turbo Expo 2013: Turbine Technical Conference and Exposition, San Antonio, TX, USA, 3–7 June 2013; Paper No. GT2013-94281. [Google Scholar]
- Chen, S.Y.; Doolen, G.D. Lattice Boltzmann method for fluid flows. Annu. Rev. Fluid Mech. 1998, 30, 329–364. [Google Scholar] [CrossRef] [Green Version]
- Chen, Z.; Shu, C.; Tan, D. A simplified thermal lattice Boltzmann method without evolution of distribution functions. Int. J. Heat Mass Transf. 2017, 105, 741–757. [Google Scholar] [CrossRef]
- Succi, S. The Lattice Boltzmann Equation: For Fluid Dynamics and Beyond; Oxford University Press: Oxford, UK, 2001. [Google Scholar]
- Shangguan, Y.Q.; Wang, X.; Li, Y.M. Investigation on the mixing mechanism of single-jet film cooling with various blowing ratios based on hybrid thermal lattice Boltzmann method. Int. J. Heat Mass Transf. 2016, 97, 880–890. [Google Scholar] [CrossRef]
- Shangguan, Y.Q.; Wang, X.; Zhang, H.; Li, Y. Analysis on the mechanism of evolutionary process of counter-rotating vortex pair in film cooling based on hybrid thermal lattice Boltzmann method. Int. Commun. Heat Mass Transf. 2017, 87, 72–83. [Google Scholar] [CrossRef]
- Shangguan, Y.Q.; Wang, X.; Zhang, H.; Li, Y. Numerical study on the near-wall characteristics of compound angled film cooling based on hybrid thermal lattice Boltzmann method. Appl. Therm. Eng. 2018, 129, 1670–1681. [Google Scholar]
- Hou, S.; Sterling, J.; Chen, S.; Doolen, G.D. A lattice Boltzmann subgrid model for high Reynolds number flows. Fields Instit. Commun. 1994, 6, 151–168. [Google Scholar]
- Wang, X.; Shangguan, Y.Q.; Onodera, N.; Kobayashi, H.; Aoki, T. Direct numerical simulation and large eddy simulation on a turbulent wall-bounded flow using lattice Boltzmann method and multiple GPUs. Math. Probl. Eng. 2014, 2014, 742432. [Google Scholar] [CrossRef]
- Bardina, J.; Ferziger, J.H.; Rogallo, R.S. Effect of rotation on isotropic turbulence-computation and modelling. J. Fluid Mech. 1985, 154, 321–336. [Google Scholar] [CrossRef]
- Schlichting, H.; Gersten, K. Boundary-Layer Theory; Springer: Berlin, Germany, 2000. [Google Scholar]
- Chen, A.F.; Li, S.J.; Han, J.C. Film cooling for cylindrical and fan-shaped holes using pressure-sensitive paint measurement technique. J. Thermophys. Heat Transf. 2015, 29, 775–784. [Google Scholar] [CrossRef]
- Guo, X.; Schröder, W.; Meinke, M. Large-eddy simulation of film cooling flows with variable density jets. Comput. Fluids 2006, 35, 587–606. [Google Scholar] [CrossRef]
- Wang, L.; Li, X.Y.; Ren, J.; Jiang, H. The interaction between upstream and downstream film cooling rows in flow field and heat transfer. Int. J. Therm. Sci. 2020, 149, 106176. [Google Scholar] [CrossRef]
- Chen, A.F.; Shiau, C.C.; Han, J.C. Turbine blade platform film cooling with simulated swirl purge flow and slashface leakage conditions. J. Turbomach. 2017, 139, 031012. [Google Scholar] [CrossRef]
- Peng, D.; Wang, S.; Liu, Y. Fast PSP measurements of wall-pressure fluctuation in low-speed flows: Improvements using proper orthogonal decomposition. Exp. Fluids 2016, 57, 45. [Google Scholar] [CrossRef]
















| Cases | ||||
|---|---|---|---|---|
| Case 1 | 35 | 35 | 0.5 | 0.5 |
| Case 2 | 35 | 145 | 0.5 | 0.5 |
| Case 3 | 35 | 145 | 0.5 | 0.2 |
| Case 4 | 35 | 145 | 0.5 | 0.35 |
| Case 5 | 35 | 145 | 0.5 | 0.65 |
| Case 6 | 35 | 145 | 0.5 | 0.8 |
Publisher’s Note: MDPI stays neutral with regard to jurisdictional claims in published maps and institutional affiliations. |
© 2022 by the authors. Licensee MDPI, Basel, Switzerland. This article is an open access article distributed under the terms and conditions of the Creative Commons Attribution (CC BY) license (https://creativecommons.org/licenses/by/4.0/).
Share and Cite
Shangguan, Y.; Cao, F. An LBM-Based Investigation on the Mixing Mechanism of Double Rows Film Cooling with the Combination of Forward and Backward Jets. Energies 2022, 15, 4848. https://doi.org/10.3390/en15134848
Shangguan Y, Cao F. An LBM-Based Investigation on the Mixing Mechanism of Double Rows Film Cooling with the Combination of Forward and Backward Jets. Energies. 2022; 15(13):4848. https://doi.org/10.3390/en15134848
Chicago/Turabian StyleShangguan, Yanqin, and Fei Cao. 2022. "An LBM-Based Investigation on the Mixing Mechanism of Double Rows Film Cooling with the Combination of Forward and Backward Jets" Energies 15, no. 13: 4848. https://doi.org/10.3390/en15134848
APA StyleShangguan, Y., & Cao, F. (2022). An LBM-Based Investigation on the Mixing Mechanism of Double Rows Film Cooling with the Combination of Forward and Backward Jets. Energies, 15(13), 4848. https://doi.org/10.3390/en15134848

