Piece-Wise Linear (PWL) Probabilistic Analysis of Power Grid with High Penetration PV Integration
Abstract
:1. Introduction
- A method for modeling with arbitrary precision the joint PDF of many correlated PV sources starting from data sets of PV delivered power. The method relies on a Gaussian Mixture Model (GMM) and produces a clusterization of injected power values. In fact, each Gaussian component identifies a data cluster while the Gaussian mean value vectors determine the centers of the clusters.
- An accurate PWL approximation of the multivariate voltage-power relationship in the grid. This is determined by exploiting the typical computational flow of a LF simulation tool. More specifically, we show how the voltage sensitivity calculation provides the information required to build the local hyperplane approximation at each cluster center.
- The demonstration of how the proposed PWL method allows the computing of closed-form expressions, i.e., a GMM, for the joint PDF of a set of observable variables of interest, i.e., a set of node voltages at critical buses in the grid.
2. Power Flow Analysis and Sensitivity Computation
3. Gaussian Mixture Model of Correlated PV Sources
- As it is well known in the literature, the EM works as a clustering algorithm where the mean values represent the centers of the clusters [24].
- EM tends to place the cluster centers where the samples are more dense that is where the joint is large. As a result, in the regions with high samples density the centers are close among them while they are spaced apart in those regions with low sample density.
4. Piece-Wise Linear Probabilistic Analysis
4.1. The Probabilistic Problem
4.2. Piece-Wise Linear Approximation
5. Numerical Experiments
- 1
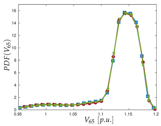
- In all of the nodes of the grid, the PDFs calculated by PWL and MC reference method match with excellent accuracy, the relative difference between them being always <0.5%.
- 2
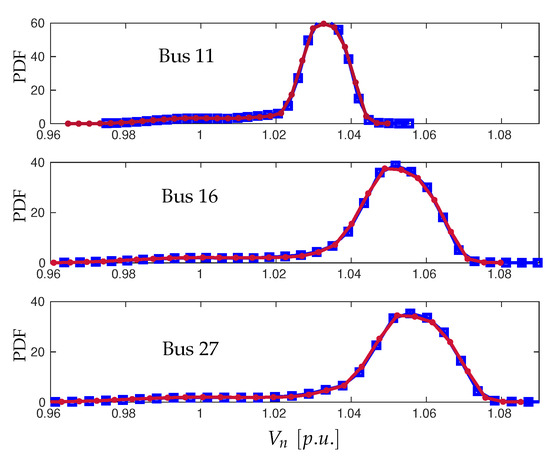
- Marginal PDFs represent the a priori probability distributions of node voltages and are calculated from PV uncertainty model with no further information available (e.g., with no measurement information). In this condition, from Figure 6 and Figure 7, it is seen how voltage magnitude uncertainty interval grows moving from the internal Bus-9 towards external Bus-65 as well as from Bus-11 to Bus-27. Thus, Bus-65 and Bus-27 are the critical Buses in this grid, i.e., the ones with large voltage uncertainty.
- 3
- Figure 8 shows the sensitivities of voltage magnitude at Bus-27 and Bus-65 (Phase-A) versus PV power at injection Buses (Phase-A). It is seen how voltage at Bus-27 exhibits large sensitivity with respect to injection Buses from 11 to 24 whereas voltage at Bus-65 mainly depends on power injection at Buses from 53 to 65.
- 4
- The knowledge of marginal PDFs allows the evaluation of the probability that voltage magnitudes violate safe operating conditions. In fact, given and the Cumulative Distribution Function (CDF), the probability that voltage violates a upper threshold V can be calculated as:Thanks to the numerical efficiency of PWL simulation, we can rapidly explore several scenarios with different PV penetrations and evaluate threshold violation occurrence. Figure 9 reports the probabilities for growing penetration levels. For instance, if an upper threshold voltage p.u. is fixed, voltage violates the constraint with probability for PV penetration . The probability of violating the upper threshold limit p.u. is of ≈92% for PV penetration whereas it is decisively zero for . This means that, for the assumed upper threshold voltage, a PV hosting capacity corresponding to PV penetration is a safe limit.
6. Discussion
Author Contributions
Funding
Institutional Review Board Statement
Informed Consent Statement
Data Availability Statement
Conflicts of Interest
Appendix A
References
- Impram, S.; Varbak Nese, S.; Oral, B. Challenges of renewable energy penetration on power system flexibility: A survey. Energy Strategy Rev. 2020, 31, 100539. [Google Scholar] [CrossRef]
- Mortazavi, H.; Mehrjerdi, H.; Saad, M.; Lefebvre, S.; Asber, D.; Lenoir, L. A Monitoring Technique for Reversed Power Flow Detection With High PV Penetration Level. IEEE Trans. Smart Grid 2015, 6, 2221–2232. [Google Scholar] [CrossRef]
- Chevalier, S.; Schenato, L.; Daniel, L. Accelerated Probabilistic Power Flow in Electrical Distribution Networks via Model Order Reduction and Neumann Series Expansion. IEEE Trans. Power Syst. 2021, 37, 2151–2163. [Google Scholar] [CrossRef]
- Memon, Z.A.; Trinchero, R.; Xie, Y.; Canavero, F.G.; Stievano, I.S. An Iterative Scheme for the Power-Flow Analysis of Distribution Networks based on Decoupled Circuit Equivalents in the Phasor Domain. Energies 2020, 13, 386. [Google Scholar] [CrossRef] [Green Version]
- Tang, J.; Ni, F.; Ponci, F.; Monti, A. Dimension-Adaptive Sparse Grid Interpolation for Uncertainty Quantification in Modern Power Systems: Probabilistic Power Flow. IEEE Trans. Power Syst. 2016, 31, 907–919. [Google Scholar] [CrossRef]
- Vallée, F.; Klonari, V.; Lisiecki, T.; Durieux, O.; Moiny, F.; Lobry, J. Development of a probabilistic tool using Monte Carlo simulation and smart meters measurements for the long term analysis of low voltage distribution grids with photovoltaic generation. Int. J. Electr. Power Energy Syst. 2013, 53, 468–477. [Google Scholar] [CrossRef]
- Ramadhani, U.H.; Shepero, M.; Munkhammar, J.; Widén, J.; Etherden, N. Review of probabilistic load flow approaches for power distribution systems with photovoltaic generation and electric vehicle charging. Int. J. Electr. Power Energy Syst. 2020, 120, 106003. [Google Scholar] [CrossRef]
- Lai, C.S.; Jia, Y.; McCulloch, M.D.; Xu, Z. Daily clearness index profiles cluster analysis for photovoltaic system. IEEE Trans. Ind. Informatics 2017, 13, 2322–2332. [Google Scholar] [CrossRef]
- Li, F.; Lin, Y.; Guo, J.; Wang, Y.; Mao, L.; Cui, Y.; Bai, Y. Novel models to estimate hourly diffuse radiation fraction for global radiation based on weather type classification. Renew. Energy 2020, 157, 1222–1232. [Google Scholar] [CrossRef]
- Gruosso, G.; Maffezzoni, P. Data-driven uncertainty analysis of distribution networks including photovoltaic generation. Int. J. Electr. Power Energy Syst. 2020, 121, 106043. [Google Scholar] [CrossRef]
- Fan, M.; Vittal, V.; Heydt, G.T.; Ayyanar, R. Probabilistic power flow studies for transmission systems with photovoltaic generation using cumulants. IEEE Trans. Power Syst. 2012, 27, 2251–2261. [Google Scholar] [CrossRef]
- Widén, J.; Shepero, M.; Munkhammar, J. Probabilistic load flow for power grids with high PV penetrations using copula-based modeling of spatially correlated solar irradiance. IEEE J. Photovoltaics 2017, 7, 1740–1745. [Google Scholar] [CrossRef]
- Palahalli, H.; Maffezzoni, P.; Gruosso, G. Gaussian Copula Methodology to Model Photovoltaic Generation Uncertainty Correlation in Power Distribution Networks. Energies 2021, 14, 2349. [Google Scholar] [CrossRef]
- Wang, Z.; Kang, J.; Cheng, L.; Pei, Z.; Dong, C.; Liang, Z. Mixed Gaussian Models for Modeling Fluctuation Process Characteristics of Photovoltaic Outputs. Front. Energy Res. 2019, 7, 76. [Google Scholar] [CrossRef] [Green Version]
- Ke, D.; Chung, C.; Sun, Y. A novel probabilistic optimal power flow model with uncertain wind power generation described by customized Gaussian mixture model. IEEE Trans. Sustain. Energy 2015, 7, 200–212. [Google Scholar] [CrossRef]
- Alspach, D.; Sorenson, H. Nonlinear Bayesian estimation using Gaussian sum approximations. IEEE Trans. Autom. Control 1972, 17, 439–448. [Google Scholar] [CrossRef]
- Xiu, D.; Karniadakis, G.E. The Wiener–Askey polynomial chaos for stochastic differential equations. SIAM J. Sci. Comput. 2002, 24, 619–644. [Google Scholar] [CrossRef]
- Ren, Z.; Li, W.; Billinton, R.; Yan, W. Probabilistic power flow analysis based on the stochastic response surface method. IEEE Trans. Power Syst. 2015, 31, 2307–2315. [Google Scholar] [CrossRef]
- Gruosso, G.; Netto, R.S.; Daniel, L.; Maffezzoni, P. Joined Probabilistic Load Flow and Sensitivity Analysis of Distribution Networks Based on Polynomial Chaos Method. IEEE Trans. Power Syst. 2020, 35, 618–627. [Google Scholar] [CrossRef]
- Munikoti, S.; Natarajan, B.; Jhala, K.; Lai, K. Probabilistic Voltage Sensitivity Analysis to Quantify Impact of High PV Penetration on Unbalanced Distribution System. IEEE Trans. Power Syst. 2021, 36, 3080–3092. [Google Scholar] [CrossRef]
- Fan, M.; Vittal, V.; Heydt, G.T.; Ayyanar, R. Probabilistic Power Flow Analysis With Generation Dispatch Including Photovoltaic Resources. IEEE Trans. Power Syst. 2013, 28, 1797–1805. [Google Scholar] [CrossRef]
- Powell, L. Power System Load Flow Analysis; Electrical Engineering; Mcgraw-Hill: New York, NY, USA, 2004. [Google Scholar]
- Maffezzoni, P.; Gruosso, G. Complex-Array-Operation Newton Solver for Power Grids Simulations. IEEE Access 2020, 8, 47984–47992. [Google Scholar] [CrossRef]
- Bishop, C.M. Pattern Recognition and Machine Learning, 1st ed.; Springer: Berlin/Heidelberg, Germany, 2006. [Google Scholar]
- Papoulis, A.; Pillai, U. Probability, Random Variables and Stochastic Processes, 4th ed.; McGraw-Hill: New York, NY, USA, 2001. [Google Scholar]
- DKA Solar Centre. Alice Springs Project. Available online: https://dkasolarcentre.com.au/ (accessed on 1 February 2022).
- Das, D. Optimal placement of capacitors in radial distribution system using a Fuzzy-GA method. Int. J. Electr. Power Energy Syst. 2008, 30, 361–367. [Google Scholar] [CrossRef]
- Munkhammar, J.; Widén, J.; Hinkelman, L.M. A copula method for simulating correlated instantaneous solar irradiance in spatial networks. Sol. Energy 2017, 143, 10–21. [Google Scholar] [CrossRef]
- Abad, M.S.S.; Ma, J.; Zhang, D.; Ahmadyar, A.S.; Marzooghi, H. Probabilistic Assessment of Hosting Capacity in Radial Distribution Systems. IEEE Trans. Sustain. Energy 2018, 9, 1935–1947. [Google Scholar] [CrossRef]










| Bus N. | [p.u.] |
|---|---|
| 11 | |
| 12 | |
| 16 | |
| 17 | |
| 18 | |
| 21 | |
| 24 | |
| 53 | |
| 54 | |
| 55 | |
| 59 | |
| 61 | |
| 62 | |
| 64 | |
| 65 |
| Reference MC | PWL | Copula+gPC | |
|---|---|---|---|
| LF Numb. | 10,000 | 18 | 1081 |
| Sim. time [s] | 161 | 0.8 | 43 |
| Rel. Error | — | <0.5% | <0.5% |
Publisher’s Note: MDPI stays neutral with regard to jurisdictional claims in published maps and institutional affiliations. |
© 2022 by the authors. Licensee MDPI, Basel, Switzerland. This article is an open access article distributed under the terms and conditions of the Creative Commons Attribution (CC BY) license (https://creativecommons.org/licenses/by/4.0/).
Share and Cite
Gruosso, G.; Daniel, L.; Maffezzoni, P. Piece-Wise Linear (PWL) Probabilistic Analysis of Power Grid with High Penetration PV Integration. Energies 2022, 15, 4752. https://doi.org/10.3390/en15134752
Gruosso G, Daniel L, Maffezzoni P. Piece-Wise Linear (PWL) Probabilistic Analysis of Power Grid with High Penetration PV Integration. Energies. 2022; 15(13):4752. https://doi.org/10.3390/en15134752
Chicago/Turabian StyleGruosso, Giambattista, Luca Daniel, and Paolo Maffezzoni. 2022. "Piece-Wise Linear (PWL) Probabilistic Analysis of Power Grid with High Penetration PV Integration" Energies 15, no. 13: 4752. https://doi.org/10.3390/en15134752
APA StyleGruosso, G., Daniel, L., & Maffezzoni, P. (2022). Piece-Wise Linear (PWL) Probabilistic Analysis of Power Grid with High Penetration PV Integration. Energies, 15(13), 4752. https://doi.org/10.3390/en15134752

