Predicting Rare Earth Element Potential in Produced and Geothermal Waters of the United States via Emergent Self-Organizing Maps
Abstract
:1. Introduction
2. Materials and Methods
2.1. Description of Input Data
2.2. Processing of Input Data
- Water quality parameters—pH (as H+) and reservoir temperature;
- Major, minor, and trace constituents—alkalinity as HCO3, B, Ba, Br, Ca, Cl, F, K, Li, Mg, Na, Si, SO4, and Sr;
- REEs—Sc, La, Ce, Pr, Nd, Sm, Eu, Gd, Tb, Dy, Ho, Er, Tm, Yb, and Lu.
- All censored data were initially replaced with a nominal value of 0.65 times the detection limit [30]. Due to high detection limits for samples at higher salinity, two sets of detection limits were used based on the threshold of 1000 mg/L Cl. High- and low-Cl detection limits for Ba, Br, F, Mg, and SO4 were chosen based on information from the labs, depending on the Cl concentration of the sample (Table 3). For the remaining elements (only 1.3% of the data), the lowest detected concentration for that group (Cl above vs. below 1000 mg/L) was used as the detection limit.
- Using the censored values from step 1, MCAR values were imputed using a maximum likelihood estimation log-ratio algorithm (lrEM) in the zCompositions package for R [31].
- Using the estimates of the missing values from step 2, the original estimates of the censored values were discarded and new values were imputed using a maximum likelihood estimation log-ratio algorithm (lrEM in the zCompositions package in R [31]).
- Steps 2 and 3 were repeated until the algorithm converged. This was determined by converting the data to isometric log-ratios (discussed in Section 2.3) and comparing the difference in the covariance matrix and the mean values of the coordinates between steps in the iteration. Convergence was defined as having a tolerance < 0.0001 for both sets of differences [31].
2.3. Applying Principles of Compositional Data Analysis
2.4. Univariate and Multivariate Outlier Investigation and Detection
2.5. Model Cross-Validation
2.6. Creation of a Trained Emergent Self-Organzing Map
- An input vector is selected at random from the training dataset and the Euclidean distances between it and all codebook vectors for all the neurons on the map are computed. Note that the Euclidean distance of ilr-transformed variables is equal to the Aitchison distance of untransformed compositional data.
- The input vector is assigned to the codebook vector of the neuron that is closest to it. This neuron is known as the best matching unit (BMU). A Gaussian function is used to define the neighborhood of nearby neurons around the BMU. With each iteration of the algorithm, radius of the neighborhood decreases.
- The codebook vectors of those neurons within the neighborhood are reweighted to be more similar to using one of several possible functions. Typically, codebook vectors of neurons closer to BMU are more heavily reweighted than those more distal. The amount of re-weighting (learning weight) also decreases over time.
- The next input vector, + 1, is randomly selected and steps 1–3 are repeated. Once all the input vectors have been mapped (1 epoch), they are removed from the map and the process is repeated starting back at step 1. The learning is continued for a set number of epochs. Because the neighborhood and reweighting function both decrease with each epoch, the map stabilizes with an increasing number of iterations.
2.7. Predicting Rare Earth Element Potential Using the Trained Emergent Self-Organizing Map
3. Results
3.1. Trained Emergent Self-Organizing Map
3.2. Cross-Validation Results
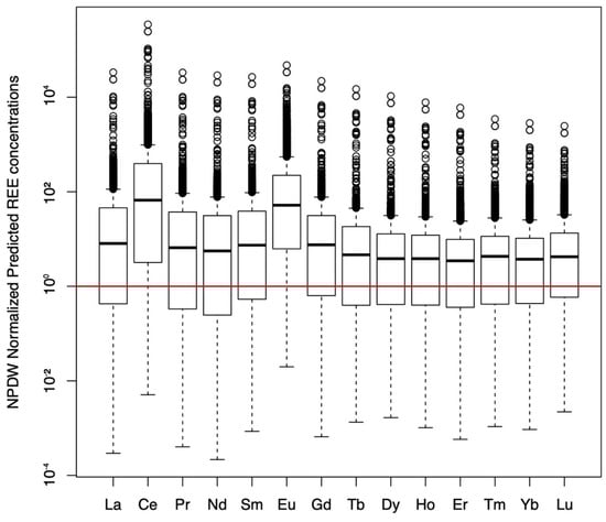
3.3. Rare Earth Element Potential Prediction
4. Discussion
Author Contributions
Funding
Institutional Review Board Statement
Informed Consent Statement
Data Availability Statement
Acknowledgments
Conflicts of Interest
References
- National Research Council. Minerals, Critical Minerals, and the US Economy; National Academies Press: Washington, DC, USA, 2008; 264p. [Google Scholar]
- Gosselin, D.C.; Smith, M.R.; Lepel, E.A.; Laul, J. Rare earth elements in chloride-rich groundwater, Palo Duro Basin, Texas, USA. Geochim. Cosmochim. Acta 1992, 56, 1495–1505. [Google Scholar] [CrossRef]
- Tian, L.; Chang, H.; Tang, P.; Li, T.; Zhang, X.; Liu, S.; He, Q.; Wang, T.; Yang, J.; Bai, Y.; et al. Rare earth elements occurrence and economical recovery strategy from shale gas wastewater in the Sichuan Basin, China. ACS Sustain. Chem. Eng. 2020, 8, 11914–11920. [Google Scholar] [CrossRef]
- Quillinan, S.; Nye, C.; Engle, M.A.; Bartos, T.; Neupane, G.; Brant, J.; Bagdonas, D.; McLing, T.; McLaughlin, J.F. Assessing Rare Earth Element Concentrations in Geothermal and Oil and Gas Produced Waters: A Potential Domestic Source of Strategic Mineral Commodities; Project Final Report for U.S. Department of Energy; U.S. Department of Energy: Washington, DC, USA, 2019; 189p. [Google Scholar]
- Zuo, R. Machine learning of mineralization-related geochemical anomalies: A review of potential methods. Natl. Resour. Res. 2017, 26, 457–464. [Google Scholar] [CrossRef]
- Brown, W.; Groves, D.; Gedeon, T. Use of fuzzy membership input layers to combine subjective geological knowledge and empirical data in a neural network method for mineral-potential mapping. Nat. Resour. Res. 2003, 12, 183–200. [Google Scholar] [CrossRef]
- Jiang, W.; Pokharel, B.; Lin, L.; Cao, H.; Carroll, K.C.; Zhang, Y.; Galdeano, C.; Musale, D.A.; Ghurye, G.L.; Xu, P. Analysis and prediction of produced water quantity and quality in the Permian Basin using machine learning techniques. Sci. Total Environ. 2021, 801, 149693. [Google Scholar] [CrossRef] [PubMed]
- Shelton, J.L.; Jubb, A.M.; Saxe, S.W.; Attanasi, E.D.; Milkov, A.V.; Engle, M.; Freeman, P.A.; Shaffer, C.A.; Blondes, M.S. Machine learning can assign geologic basin to produced water samples using major ion geochemistry. Nat. Resour. Res. 2021, 30, 4147–4163. [Google Scholar] [CrossRef]
- Engle, M.A.; Chaput, J.A. Groundwater origin determination in historic chemical datasets through supervised compositional data analysis: Brines of the Permian Basin, USA. In Advances in Compositional Data Analysis; Filzmoser, P., Hron, K., Martín-Fernández, J.A., Palarea-Albaladejo, J., Eds.; Springer: Cham, Switzerland, 2021; pp. 265–283. [Google Scholar] [CrossRef]
- Engle, M.A.; Brunner, B. Considerations in the application of machine learning to aqueous geochemistry: Origin of produced waters in the northern U.S. Gulf Coast Basin. Appl. Comput. Geosci. 2019, 3–4, 100012. [Google Scholar] [CrossRef]
- Shaughnessy, A.R.; Gu, X.; Wen, T.; Brantley, S.L. Machine learning deciphers CO2 sequestration and subsurface flowpaths from stream chemistry. Hydrol. Earth Syst. Sci. 2021, 25, 3397–3409. [Google Scholar] [CrossRef]
- Russell, S.; Norvig, P. Artificial Intelligence–A Modern Approach, 3rd ed.; Pearson Education: London, UK, 2010; 1132p. [Google Scholar]
- Dickson, B.L.; Giblin, A.M. An evaluation of methods for imputation of missing trace element data in groundwaters. Geochem. Explor. Environ. Anal. 2007, 7, 173–178. [Google Scholar] [CrossRef]
- Lacassie, J.P.; Roser, B.; Solar, J.R.D.; Herve, F. Discovering geochemical patterns using self-organizing neural networks: A new perspective for sedimentary provenance analysis. Sediment. Geol. 2004, 165, 175–191. [Google Scholar] [CrossRef]
- Lacassie, J.P.; Solar, J.R.D.; Roser, B.; Herve, F. Visualization of volcanic rock geochemical data and classification with artificial neural networks. Math. Geol. 2007, 38, 697–710. [Google Scholar] [CrossRef]
- Liu, Y. Patterns of ocean current variability on the west Florida Shelf using the self-organizing map. J. Geophys. Res. 2005, 110, C06003. [Google Scholar] [CrossRef] [Green Version]
- Sun, X.; Deng, J.; Gong, Q.; Wang, Q.; Yang, L.; Zhao, Z. Kohonen neural network and factor analysis based approach to geochemical data pattern recognition. J. Geochem. Explor. 2009, 103, 6–16. [Google Scholar] [CrossRef]
- Žibret, G.; Šajn, R. Hunting for geochemical associations of elements: Factor analysis and self-organising maps. Math. Geosci. 2010, 42, 681–703. [Google Scholar] [CrossRef]
- Ultsch, A. Data mining and knowledge discovery with emergent self-organizing feature maps for multivariate time series. In Kohonen Maps; Elsevier: New York, NY, USA, 1999; pp. 33–45. [Google Scholar]
- Ultsch, A.; Mörchen, F. ESOM-Maps: Tools for Clustering, Visualization, and Classification with Emergent SOM; Technical Report No. 46; Department of Mathematics and Computer Science, University of Marburg: Marburg, Germany, 2005; pp. 1–7. [Google Scholar]
- Ultsch, A. Emergence in Self Organizing Feature Maps. In Proceedings of the Workshop on Self-Organizing Maps (WSOM ’07), Bielefeld, Germany, 3–6 September 2007; pp. 1–7. [Google Scholar]
- Blondes, M.S.; Gans, K.D.; Engle, M.A.; Kharaka, Y.K.; Reidy, M.E.; Saraswathula, V.; Thordsen, J.J.; Rowan, E.L.; Morrissey, E.A. U.S. Geological Survey National Produced Waters Geochemical Database; Version 2.3; U.S. Geological Survey: Reston, VA, USA, 2018. [Google Scholar]
- Varmuza, K.; Filzmoser, P. Introduction to Multivariate Statistical Analysis in Chemometrics; CRC Press: Boca Raton, FL, USA, 2009; ISBN 9781420059472. [Google Scholar]
- Aitchison, J. The Statistical Analysis of Compositional Data; Chapman & Hall: London, UK, 1986; 416p. [Google Scholar]
- Engle, M.A.; Rowan, E.L. Interpretation of Na-Cl-Br systematics in sedimentary basin brines: Comparison of concentration, element ratio, and isometric log-ratio approaches. Math. Geosci. 2013, 45, 87–101. [Google Scholar] [CrossRef]
- Engle, M.A.; Rowan, E.L. Geochemical evolution of produced waters from hydraulic fracturing of the Marcellus Shale, northern Appalachian Basin: A multivariate compositional data analysis approach. Int. J. Coal Geol. 2014, 126, 45–56. [Google Scholar] [CrossRef]
- Engle, M.A.; Reyes, F.R.; Varonka, M.S.; Orem, W.H.; Ma, L.; Ianno, A.J.; Schell, T.M.; Xu, P.; Carroll, K.C. Geochemistry of formation waters from the Wolfcamp and “Cline” Shales: Insights into brine origin, reservoir connectivity, and fluid flow in the Permian Basin, USA. Chem. Geol. 2016, 425, 76–92. [Google Scholar] [CrossRef] [Green Version]
- Theodoridis, S.; Koutroumbas, K. Pattern Recognition; Elsevier: New York, NY, USA, 2009; 961p. [Google Scholar]
- Migdisov, A.; Williams-Jones, A.E.; Brugger, J.; Caporuscio, F.A. Hydrothermal transport, deposition, and fractionation of the REE: Experimental data and thermodynamic calculations. Chem. Geol. 2016, 439, 13–42. [Google Scholar] [CrossRef] [Green Version]
- Martín-Fernández, J.A.; Barceló-Vidal, C.; Pawlowsky-Glahn, V. Dealing with zeros and missing values in compositional data sets using nonparametric imputation. Math. Geol. 2003, 35, 253–278. [Google Scholar] [CrossRef]
- Palarea-Albaladejo, J.; Martín-Fernández, J.A. ZCompositions—R package for multivariate imputation of left-censored data under a compositional approach. Chemomet. Intell. Lab. Syst. 2015, 143, 85–96. [Google Scholar] [CrossRef]
- Kharaka, Y.K.; Mariner, R.H. Chemical geothermometers and their application to formation waters from sedimentary sasins. In Thermal History of Sedimental Basins; Naeser, N.D., McCulloh, T.H., Eds.; Springer: New York, NY, USA, 1989; pp. 99–117. [Google Scholar]
- Martín-Fernández, J.A.; Engle, M.A.; Ruppert, L.F.; Olea, R.A. Advances in Self-Organizing Maps for Their Application to Compositional Data. Stoch. Environ. Res. Risk Assess. 2019, 33, 817–826. [Google Scholar] [CrossRef]
- Engle, M.A.; Blondes, M.S. Linking Compositional Data Analysis with Thermodynamic Geochemical Modeling: Oilfield Brines from the Permian Basin, USA. J. Geochem. Explor. 2014, 141, 61–70. [Google Scholar] [CrossRef]
- Egozcue, J.; Pawlowsky-Glahn, V.; Mateu-Figueras, G.; Barceló-Vidal, C. Isometric logratio transformations for compositional data analysis. Math. Geol. 2003, 35, 279–300. [Google Scholar] [CrossRef]
- Hron, K.; Templ, M.; Filzmoser, P. Imputation of missing values for compositional data using classical and robust methods. Comput. Stat. Data Anal. 2010, 54, 3095–3107. [Google Scholar] [CrossRef]
- Reimann, C.; Filzmoser, P.; Garrett, R.; Dutter, R. Statistical Data Analysis Explained: Applied Environmental Statistics with R; Wiley: Hoboken, NJ, USA, 2008; 384p. [Google Scholar]
- Filzmoser, P.; Hron, K.; Reimann, C. Interpretation of multivariate outliers for compositional data. Comput. Geosci. 2012, 39, 77–85. [Google Scholar] [CrossRef]
- Ultsch, A.; Hermann, L. Automatic Clustering with U*C; Technical Report; Department of Mathematics and Computer Science, Philipps-University of Marburg: Marburg, Germany, 2006; pp. 1–22. [Google Scholar]
- Lerch, F.; Thrun, M.; Pape, F.; Paebst, R.; Ultsch, A. Umatrix: Visualization of Structures in High-Dimensional Data; R Package Version 3.1; Comprehensive R Archive Network. 2017. Available online: https://cran.r-project.org (accessed on 19 June 2022).
- Ultsch, A. U*-Matrix: A Tool to Visualize Clusters in High Dimensional Data; Technical Report No. 36; Department of Mathematics and Computer Science, University of Marburg: Marburg, Germany, 2003; p. 10. [Google Scholar]
- Kharaka, Y.K.; Hanor, J.S. 7.14 Deep Fluids in Sedimentary Basins; In Surface and Groundwater, Weathering and Soils, 7th ed.; Elsevier Ltd.: New York, NY, USA, 2014; pp. 471–515. [Google Scholar]
- Lewis, A.J.; Palmer, M.R.; Sturchio, N.C.; Kemp, A.J. The rare earth element geochemistry of acid-sulphate and acid-sulphate-chloride geothermal systems from Yellowstone National Park, Wyoming, USA. Geochim. Cosmochim. Acta 1997, 61, 695–706. [Google Scholar] [CrossRef]
- Fournier, R.O.; White, D.E.; Truesdell, A.H. Geochemical indicators of subsurface temperature-Part 1, basic assumptions. J. Res. U.S. Geol. Surv. 1974, 2, 259–262. [Google Scholar]
- Alibo, D.S.; Nozaki, Y. Rare earth elements in seawater: Particle association, shale-normalization, and Ce oxidation. Geochim. Cosmochim. Acta 1999, 63, 363–372. [Google Scholar] [CrossRef]
- Hanor, J.S. Origin of Saline Fluids in Sedimentary Basins. In Geofluids: Origin, Migration and Evolution of Fluids in Sedimentary Basins; Parnell, J., Ed.; Geological Society: London, UK, 1994; Volume 78, pp. 151–174. [Google Scholar]
- Takaya, Y.; Yasukawa, K.; Kawasaki, T.; Fujinaga, K.; Ohta, J.; Usui, Y.; Nakamura, K.; Kimura, J.-I.; Chang, Q.; Hamada, M.; et al. The tremendous potential of deep-sea mud as a source of rare-earth elements. Sci. Rep. 2018, 8, 5763. [Google Scholar] [CrossRef] [Green Version]
- U.S. Geological Survey National Minerals Information Center. Mineral Commodity Summaries 2020; U.S. Geological Survey: Reston, VA, USA, 2020; 204p.
- Ray, S. National Evaluation for Development and Exploration Potential of Mineral Commodities in Produced Waters. Master’s Thesis, University of Texas at El Paso, El Paso, TX, USA, 2016. [Google Scholar]









| Water Type | Area/Basin | Sample Collector/Source of Data | Number of Samples |
|---|---|---|---|
| Produced/Formation Water | Wind River Basin | Univ. Wyoming | 17 |
| Produced/Formation Water | Powder River Basin | Univ. Wyoming | 10 |
| Produced/Formation Water | Washakie Basin | Univ. Wyoming | 6 |
| Produced/Formation Water | Green River Basin | Univ. Wyoming | 6 |
| Produced/Formation Water | Williston Basin | U.S. Geol. Survey | 18 |
| Produced/Formation Water | Appalachian Basin | U.S. Geol. Survey | 13 |
| Produced/Formation Water | Permian Basin | U.S. Geol. Survey | 12 |
| Produced/Formation Water | Kevin Dome | Idaho Nat’l Lab. | 23 |
| Geothermal Waters | Eastern Snake River Plain | Idaho Nat’l Lab. | 119 |
| Constituent | Units | % Present | % Censored | % Missing |
|---|---|---|---|---|
| Water Quality Parameters | ||||
| Reservoir Temp. | °C | 71.4% | 0.0% | 28.6% |
| pH | pH units | 90.2% | 0.0% | 9.8% |
| Major, minor, and trace constituents | ||||
| Alkalinity as HCO3 | mg/L | 75.9% | 0.0% | 24.1% |
| B | mg/L | 92.4% | 3.1% | 4.5% |
| Ba | mg/L | 87.0% | 5.4% | 7.6% |
| Br | mg/L | 41.5% | 47.3% | 11.2% |
| Ca | mg/L | 99.6% | 0.5% | 0.0% |
| Cl | mg/L | 96.9% | 0.5% | 2.7% |
| F | mg/L | 71.9% | 15.2% | 13.0% |
| K | mg/L | 98.7% | 1.3% | 0.0% |
| Li | mg/L | 88.8% | 2.7% | 8.5% |
| Mg | mg/L | 95.5% | 4.5% | 0.0% |
| Na | mg/L | 99.1% | 0.0% | 0.9% |
| Si | mg/L | 87.2% | 2.2% | 9.8% |
| SO4 | mg/L | 84.4% | 14.3% | 1.3% |
| Sr | mg/L | 92.0% | 0.5% | 7.6% |
| Rare Earth Elements | ||||
| Sc | ng/L | 57.6% | 0.0% | 42.4% |
| La | ng/L | 97.8% | 2.2% | 0.0% |
| Ce | ng/L | 98.2% | 1.8% | 0.0% |
| Pr | ng/L | 96.4% | 3.6% | 0.0% |
| Nd | ng/L | 96.0% | 4.0% | 0.0% |
| Sm | ng/L | 98.7% | 1.3% | 0.0% |
| Eu | ng/L | 99.1% | 0.9% | 0.0% |
| Gd | ng/L | 97.8% | 2.2% | 0.0% |
| Tb | ng/L | 96.9% | 2.7% | 0.5% |
| Dy | ng/L | 99.6% | 0.5% | 0.0% |
| Ho | ng/L | 98.7% | 1.3% | 0.0% |
| Er | ng/L | 98.7% | 1.3% | 0.0% |
| Tm | ng/L | 97.8% | 2.2% | 0.0% |
| Yb | ng/L | 98.2% | 1.8% | 0.0% |
| Lu | ng/L | 97.8% | 2.2% | 0.5% |
| Element | Samples with Cl ≥ 1000 mg/L | Samples with Cl < 1000 mg/L |
|---|---|---|
| Ba | 25 | 0.05 |
| Br | 50 | 5 |
| F | 5 | 0.5 |
| Mg | 25 | 1 |
| SO4 | 300 | 10 |
| Constituent | Number of Data | % Present |
|---|---|---|
| pH | 86,630 | 75% |
| Major, minor, and trace constituents | ||
| Al | 680 | 0.6% |
| Alkalinity as HCO3 | 1691 | 1.5% |
| As | 493 | 0.4% |
| B | 4618 | 4.0% |
| Ba | 12,498 | 11% |
| Br | 6548 | 5.7% |
| Ca | 107,478 | 94% |
| Cl | 108,646 | 95% |
| F | 1127 | 1.0% |
| K | 31,550 | 27% |
| Li | 6126 | 5.3% |
| Mg | 103,240 | 90% |
| Na | 96,432 | 84% |
| Si | 3708 | 3.2% |
| SO4 | 93,104 | 81% |
| Sr | 7812 | 6.8% |
| Th | 0 | 0.00% |
| U | 21 | <0.01% |
| Rare Earth Elements | ||
| Sc | 0 | 0.0% |
| La | 0 | 0.0% |
| Ce | 0 | 0.0% |
| Pr | 0 | 0.0% |
| Nd | 0 | 0.0% |
| Sm | 0 | 0.0% |
| Eu | 0 | 0.0% |
| Gd | 0 | 0.0% |
| Tb | 0 | 0.0% |
| Dy | 0 | 0.0% |
| Ho | 0 | 0.0% |
| Er | 0 | 0.0% |
| Tm | 0 | 0.0% |
| Yb | 0 | 0.0% |
| Lu | 0 | 0.0% |
| Parameters | Method or Setting |
|---|---|
| Number of rows in map | 82 |
| Number of columns in map | 50 |
| Number of training epochs | 24 |
| Initialization method | Uniform random values from mean ± 2 standard deviations |
| Shape | Toroidal |
| Neighborhood function | Gaussian |
| Starting neighborhood radius | 24 |
| Ending neighborhood radius | 1 |
| Neighborhood cooling function | Linear |
| Starting learning rate | 0.5 |
| Ending learning rate | 0.1 |
| Learning rate cooling function | Linear |
Publisher’s Note: MDPI stays neutral with regard to jurisdictional claims in published maps and institutional affiliations. |
© 2022 by the authors. Licensee MDPI, Basel, Switzerland. This article is an open access article distributed under the terms and conditions of the Creative Commons Attribution (CC BY) license (https://creativecommons.org/licenses/by/4.0/).
Share and Cite
Engle, M.A.; Nye, C.W.; Neupane, G.; Quillinan, S.A.; McLaughlin, J.F.; McLing, T.; Martín-Fernández, J.A. Predicting Rare Earth Element Potential in Produced and Geothermal Waters of the United States via Emergent Self-Organizing Maps. Energies 2022, 15, 4555. https://doi.org/10.3390/en15134555
Engle MA, Nye CW, Neupane G, Quillinan SA, McLaughlin JF, McLing T, Martín-Fernández JA. Predicting Rare Earth Element Potential in Produced and Geothermal Waters of the United States via Emergent Self-Organizing Maps. Energies. 2022; 15(13):4555. https://doi.org/10.3390/en15134555
Chicago/Turabian StyleEngle, Mark A., Charles W. Nye, Ghanashyam Neupane, Scott A. Quillinan, Jonathan Fred McLaughlin, Travis McLing, and Josep A. Martín-Fernández. 2022. "Predicting Rare Earth Element Potential in Produced and Geothermal Waters of the United States via Emergent Self-Organizing Maps" Energies 15, no. 13: 4555. https://doi.org/10.3390/en15134555
APA StyleEngle, M. A., Nye, C. W., Neupane, G., Quillinan, S. A., McLaughlin, J. F., McLing, T., & Martín-Fernández, J. A. (2022). Predicting Rare Earth Element Potential in Produced and Geothermal Waters of the United States via Emergent Self-Organizing Maps. Energies, 15(13), 4555. https://doi.org/10.3390/en15134555

