Next Article in Journal
Wettability of Tight Sandstone Reservoir and Its Impacts on the Oil Migration and Accumulation: A Case Study of Shahejie Formation in Dongying Depression, Bohai Bay Basin
Previous Article in Journal
Oil Retention and Its Main Controlling Factors in Lacustrine Shales from the Dongying Sag, Bohai Bay Basin, Eastern China
 
 
Font Type:
Arial Georgia Verdana
Font Size:
Aa Aa Aa
Line Spacing:
Column Width:
Background:
Article

Effect of the Nozzle Geometry on Flow Field and Heat Transfer in Annular Jet Impingement

College of Engineering, Peking University, Beijing 100871, China
*
Author to whom correspondence should be addressed.
Energies 2022, 15(12), 4271; https://doi.org/10.3390/en15124271
Submission received: 12 May 2022 / Revised: 6 June 2022 / Accepted: 7 June 2022 / Published: 10 June 2022
(This article belongs to the Section C: Energy Economics and Policy)

Abstract

:
The effects of nozzle shape modifications on the flow phenomena and heat transfer characteristics in annular jet impingement are investigated numerically. The numerical simulations are conducted applying the shear stress transport (SST) k ω model in the ANSYS CFX. Two modified nozzles: the converging nozzle and the diverging nozzle, are investigated in this study, and the straight nozzle serves as the base case. The geometric parameters and settings are based on an annular jet ejected from an axial fan used for electronic cooling: the Reynolds number R e = 20,000 and the blockage ratio B r = 0.35 in the computation, and the target plate is placed at three representative separation distances: H = 0.5 , 2 , and 4. Compared with the base nozzle, the converging nozzle can accelerate the cooling flow and promote turbulence to enhance local and overall heat transfer (about 20 % ) over the target surface. In addition, the converging nozzle reduces the sizes of the recirculation zones, and this promotes the convective heat transfer transport near the axis. The diverging nozzle experiences a similar flow pattern and thermal field as the base nozzle, while the diverging nozzle achieves a slightly lower heat transfer with a pronounced pressure drop reduction. In addition, given that the value of the Nusselt number over the target plate is dependent on the Reynolds number, the simulations are also performed at R e = 5000 and 40,000 to establish the correlations between the Nusselt number and the Reynolds number as N u R e m . The value of m varies depending on the nozzle shapes and the separation distances.

1. Introduction

The impinging jet is widely used in industrial applications due to its high heat and mass transfer efficiency. Jet impingement can achieve the highest heat transfer rate when compared to other single-phase heat transfer arrangements. Due to the thinner boundary layer above the target surface, Zuckerman and Lior [1] noted that the impinging jet achieves a heat transfer rate approximately three times that of the cooling system with wall-parallel flow. Additionally, the impinging jet can also turbulate the ambient flow to enhance heat transfer. Jet impingement is used for the cooling of electronic devices [2,3], the cooling of turbine blades [4,5], the cooling of metal and plastic, and the drying of paper and fabrics.
The axisymmetric round jet and the slot jet with two-dimensional profiles are the most commonly used jets. Within round jet impingement, there are three distinct regimes: the free jet region, the stagnation region, and the wall jet region [6]. Within the free jet region, the flow pattern is determined by the distance between the nozzle exit and the target surface. The papers [1,6] contain a detailed illustration of the flow configuration. In some practical uses, annular jets are used to increase the heat transfer rate and uniformity of the target surface. Musika et al. [7] conducted experiments to demonstrate that, when the jet-plate distance is less than 6 D 0 , the annular flow achieves a much higher heat transfer rate than the round jet impingement.
Although the transformation from the round jet to the annular jet is made by inserting a blockage rod in the center of the pipe, the flow pattern in the annular jet differs from the flow configuration in the round jet, and these differences are mainly caused by the placement of the central bluff body. Due to the abrupt expansion behind the bluff body, there is a central recirculation zone (CRZ) downstream of the nozzle exit in the flow pattern of the annular jet [8]. In the free annular flow, Chan and Ko [9] distinguished three distinct flow regimes: the initial merging zone, the intermediate merging zone, and the fully merged zone. Figure 1 illustrates the flow structure schematically.
The initial merging zone extends from the jet exit to the end of the potential core of the jet. In the potential core, the flow velocity equals 95 % of the nozzle exit velocity. Additionally, the initial merging region can be divided into five distinct flow regimes: the CRZ, the potential core, the inner mixing layer bounded by the CRZ and the potential core, the outer mixing region bounded by the potential core and the surrounding flow, and the surrounding flow. The CRZ is characterized by a pair of counter-rotating vortices caused by the blockage of the central rod. The intermediate merging zone extends from the end of the potential core to the region downstream of the reattachment point, and the end of this flow regime is about 3 D 0 away from the jet exit. The inner mixing layer and outer mixing layer merge at the reattachment point. The zone downstream of the intermediate merging zone is a fully merged zone in which the jet behaves similarly to the round jet.
Due to the complex flow structure depicted above, different placements of the target plate in the annular jet impingement result in varying flow patterns and thermal fields. Afroz and Sharif [10] identified three flow patterns according to the jet-to-plate distance. At a small distance, the plate is placed at the initial merging zone, and the recirculation extends from the exit to the target surface. At an intermediate distance, the plate is placed in the intermediate merging zone, and there are two regions with flow reversal. The first recirculation zone is located downstream of the central rod, characterized by a pair of counter-rotating vortices, and the flow reattaches to the central axis downstream.
Another flow reversal near the impingement surface and the recirculation extends upstream from the separation point on the target surface to the stagnation point at the central axis. At a large distance, the plate is placed in the fully-merged zone. As with the flow pattern at the intermediate distance, there is a recirculation zone downstream of the central rod while the distance between the jet and the impingement surface is so large that the flow behaves like a round jet without any reversed flow near the impingement surface.
The flow patterns, particularly the recirculation near the target plate, have an impact on the local heat transfer distribution on the impinged plate. The presence of the central rod in the annular jet impingement reduces heat transfer in the central part of the plate (with a small radius), especially when the jet-plate distance is small. Chattopadhyay [11] obtained the radial Nusselt number ( N u ) distribution of the impinged plate and discovered that the N u is significantly lower in the near-axis region than in the impinged area with the value of the Nusselt number being around 10. In addition to the differences in local heat transfer, the overall heat transfer rate is also affected by the distance [12]. Some researchers [7,13] have conducted experiments and found that, when the distance between the jet exit and the target plate increased, the overall heat transfer rate decreased.
In order to enhance heat transfer and expand the cooling area, some active and passive approaches have been applied. Active methods include introducing swirling motion via pipe rotation or twisted inserts to increase heat transfer and uniformity [13], and modifying flow patterns via pulsations or acoustic excitations [5,14]. Passive methods include modifying the target surface by adding angled ribs or dimples [14], introducing small obstacles to promote mixing [15], adding an extension downstream of the central rod to weaken the recirculation bubbles [16], and changing the orifice geometry from circular to square, rectangular [17], elliptic [18], or even triangular [19].
Apart from these passive methods, numerous studies have been conducted on the shape of the nozzle used to generate the round jet, as nozzle geometry has a significant effect on the pressure distribution within the jet and the velocity profile near the target plate [20]. Colucci and Viskanta [20] conducted experiments to compare the pressure and heat transfer distributions of the straight nozzle and the hyperbolic nozzle. They discovered that the heat transfer performance of the elliptical was much higher than the straight counterpart, and the uniformity was also improved.
In addition to the heat transfer enhancement, the pressure loss of the cooling system also need to be taken into account when evaluating the efficiency of the cooling process [8]. Brignoni et al. [21] considered the pressure drop of the cooling system in addition to the thermal performance. They compared the chamfered nozzle, which only requires simple machining operation to the straight nozzle. They discovered that the chamfered nozzle could significantly reduce system pressure drop with only a slight reduction in heat transfer coefficient. Royne and Dey [22] examined the effect of nozzle shape on the heat transfer and pressure drop characteristics of jet arrays. The study compared four different nozzle shapes and found that the sharp-edged nozzle had the highest heat transfer while the countersunk one has the lowest. Instead, the countersunk nozzle had the lowest pressure drop, while the sharp-edged nozzle had a relatively higher pressure drop. Considering the pumping power of the system and heat transfer performance, both the sharp-edged nozzle and the countersunk nozzle have improved the heat transfer efficiency of the jet impingement system.
The Reynolds number of the jet plays an important role in the jet impingement, and correlations between the Reynolds number and the Nusselt number have been established in some studies [23,24], such as the radial Nusselt number plots, and the average Nusselt number N u ¯ over the target plate. Correlations vary depending on the jet type, orifice geometry, nozzle shape, separation distances, jet number, jets pattern, etc. Stafford et al. [23] determined the scaling relationships between the Reynolds number at the axial fan exit and the radial Nusselt number along the impingement plate as N u R e 0.6 for a fan-coupled impingement jet. Attalal and Salem [24] investigated the relationships of the Reynolds number and the average Nusselt number for a round nozzle with square edge and a chamfered nozzle of the same diameter, and obtained the following correlations: N u ¯ R e 0.75 and N u ¯ R e 0.76 , respectively.
The flow pattern and thermal field of the jet impingement are affected by modifying and optimizing the nozzle shape. Despite a considerable number of research on the influence of nozzle shape on round jet impingement performance, precise information on how the nozzle shape affects the flow configuration and heat transfer phenomena of the annular impinging jet is lacking. The current study employs numerical simulation to compare three different types of nozzle shapes in an annular jet. The straight nozzle, converging nozzle, and diverging nozzle are all investigated, with the straight nozzle serving as a baseline for comparison. As the flow pattern varies with the jet-to-target distance, the target plates are placed in three distinct flow regimes: the initial merging region ( H = 0.5 ), the intermediate merging region ( H = 2 ), and the fully-merged region ( H = 4 ). At each jet-to-target distance, a hydrodynamic and heat transfer comparison of nozzles of modified shapes is performed based on computational results. Furthermore, the average Nusselt number and peak Nusselt number on the target surface are used to evaluate heat transfer performance, and the pressure drop is introduced to assess the energy consumption of the cooling system. Finally, the heat transfer features like the radial Nusselt number distributions and the average Nusselt number over the target plate are correlated for the Reynolds number at the jet inlet for each nozzle as N u R e m at three separation distances, the value of m varying depending on the nozzle shape.

2. Materials and Methods

2.1. Flow Domain and Boundary Conditions

The flow domain of the annular impinging jet is shown in Figure 2a and the geometric information is shown in Figure 2b. As the flow configuration of jet impingement is three-dimensional [25], a fully three-dimensional domain is applied and the size is 10 D 0 × 10 D 0 × ( L + h ) . The L is the length of the nozzle for the jet to develop and the h is the distance between the nozzle exit and the target plate. The inner diameter of the central rod is D i , and the outer diameter of the nozzle is D 0 . As suggested by the literature [10,11], the computational size is large enough to eliminate the end effect.
The uniform velocity U 0 is set at the jet inlet and the flow moves parallel to the jet axis. The Reynolds number based on the inlet velocity and the outer diameter is R e = ρ U 0 D 0 μ = 20,000. Pressure outlet condition with ambient pressure is applied on the side and the tip surfaces. The target plate is defined as an iso-thermal surface with constant temperature T w = 350 K, and the temperature of the inlet cooling flow is maintained at T 0 = 300 K.
In this paper, two modified nozzles are used in the jet impingement and the straight nozzle is used as a baseline for the comparison. The shape modification happens 0.1 D 0 upstream of the nozzle exit. The converging angle of the converging nozzle is 30 (relative to the axis), while the diverging angle of the diverging nozzle is 45 (relative to the axis). The r z cut plane of these nozzles are shown in Figure 3.

2.2. Governing Equations

In the present study, the Reynolds-Averaged Navier Stokes (RANS) equations are used to simulate the incompressible and steady flow. It regards the flow motion as the combination of the time-averaged flow motion and instantaneous fluctuations. The governing equations are shown as follows:
x i ( ρ u i ) = 0 ,
x j ( ρ u i u j ) = p x i + x j [ μ ( u i x j + u j x i 2 3 δ i j u k x k ) ] + x j ( ρ u i u j ¯ )
where u i is the velocity, ρ is the density, p is the pressure, and s i j is the viscous stress tensor. The last term is the Reynolds stress tensor ρ u i u j ¯ . Based on the Boussinesq hypothesis, the turbulent viscosity μ t is used to relate the Reynolds stress with the average velocity gradients:
ρ u i u j ¯ = μ t ( u i x j + u j x i ) 2 3 ( ρ k + μ t u k x k ) δ i j ,
where k is turbulent kinetic energy and μ t is the turbulent viscosity determined by the turbulence model.
In this paper, the shear stress transport (SST) k ω model is used for turbulence closure, and this model provides a reasonably good agreement with relatively less computational cost compared with the large eddy simulation (LES) and direct numerical simulation (DNS). This model was developed by Mentor [26] from the standard k ω model based on the turbulent kinetic energy k and the specific dissipation rate ω .
In this model, the standard k ω model is used in the inner region of the boundary layer, and k ε model is used in the outer part of the boundary layer. The detailed information about this model can be found in the ANSYS theory guide. Some researchers have applied the SST k ω model in their studies on jet impinging including the round jet, the slot jet and the annular jet [27,28]. The validation of the turbulence model is illustrated in the validation part. The energy equation is:
x i ( u i ( ρ E + p ) ) = x j ( λ e f f T x j + u i ( τ i j ) e f f ) + S h
where E is the total energy. λ e f f is the effective thermal conductivity, and it is defined as:
λ e f f = λ + c p μ t P r t
The heat flux is calculated in terms of the temperature gradient:
q i = ( α + ν t P r t ) T x i
where α = λ / ρ C p is the thermal diffusivity of the working flow, λ is the thermal conductivity of the fluid, and P r t is the turbulent Prandtl number.
The Reynolds number at the annular jet inlet, based on the outer pipe diameter D 0 and inlet velocity U 0 , is expressed as:
R e = ρ U 0 D 0 μ
The local Nusselt number on the target surface is expressed as:
N u = q · D 0 k ( T w T 0 )
where q is the surface heat flux, T w = 350 K is the temperature of the target surface, and T 0 = 300 K is the temperature of the cooling flow.
The average Nusselt number for the circular target surface is calculated as:
N u ¯ = N u d A d A = 1 π R 2 0 R 0 2 π N u ( r d θ d r ) = 2 R 2 0 R ( N u ) r d r
where A is the total area of the impingement surface and R is the radius of the surface.
The pressure coefficient C p is defined as:
C p = p p 2 1 2 ρ U 0 2
where p is the local pressure and p 2 is the ambient pressure.
The skin friction coefficient C f is defined as:
C f = τ w 1 2 ρ U 0 2
τ w = μ ( U n ) w
The separation distance H is nondimensionalized by the hydraulic diameter D 0 :
H = h D 0
The blockage ratio B r is defined as the ratio of the inner diameter D i to the outer diameter D 0 :
B r = D i D 0

2.3. Validation

The numerical results of the local Nusselt number N u and radial pressure coefficient C p on the impingement surface of the annular jet derived from the straight nozzle are shown in Figure 4 to validate the current RANS results. The radial pressure distributions predicted by the SST k ω model at R e = 7000 , B R = 0.5 , H = 0.5 , and H = 4 are compared with the experimental data [13] in Figure 4a, which shows good agreement with the experimental results, except for a small portion near the plate center. The flow filed of the annular jet is unsteady and turbulent especially in the region near the axis, where inner shear layers and recirculation exist. The discrepancy of the Nusselt number distribution near the target center could be due to the difficulties in turbulence modeling to capture these complex flow features, resulting in the local N u value that is slightly lower than the experimental data. The overall Nusselt number plot along the radial direction shown in Figure 4b obtained at R e = 20,000, B R = 0.44 , and H = 2 matches reasonably with the experimental data [7]. As a result, the SST k ω model can accurately predict annular jet impingement, and it is used for all the other computations in this paper.

2.4. Mesh Sensitivity

The mesh used for the calculation is shown in Figure 5, and it is refined near the jet flow and along the normal direction relative to the target surface.
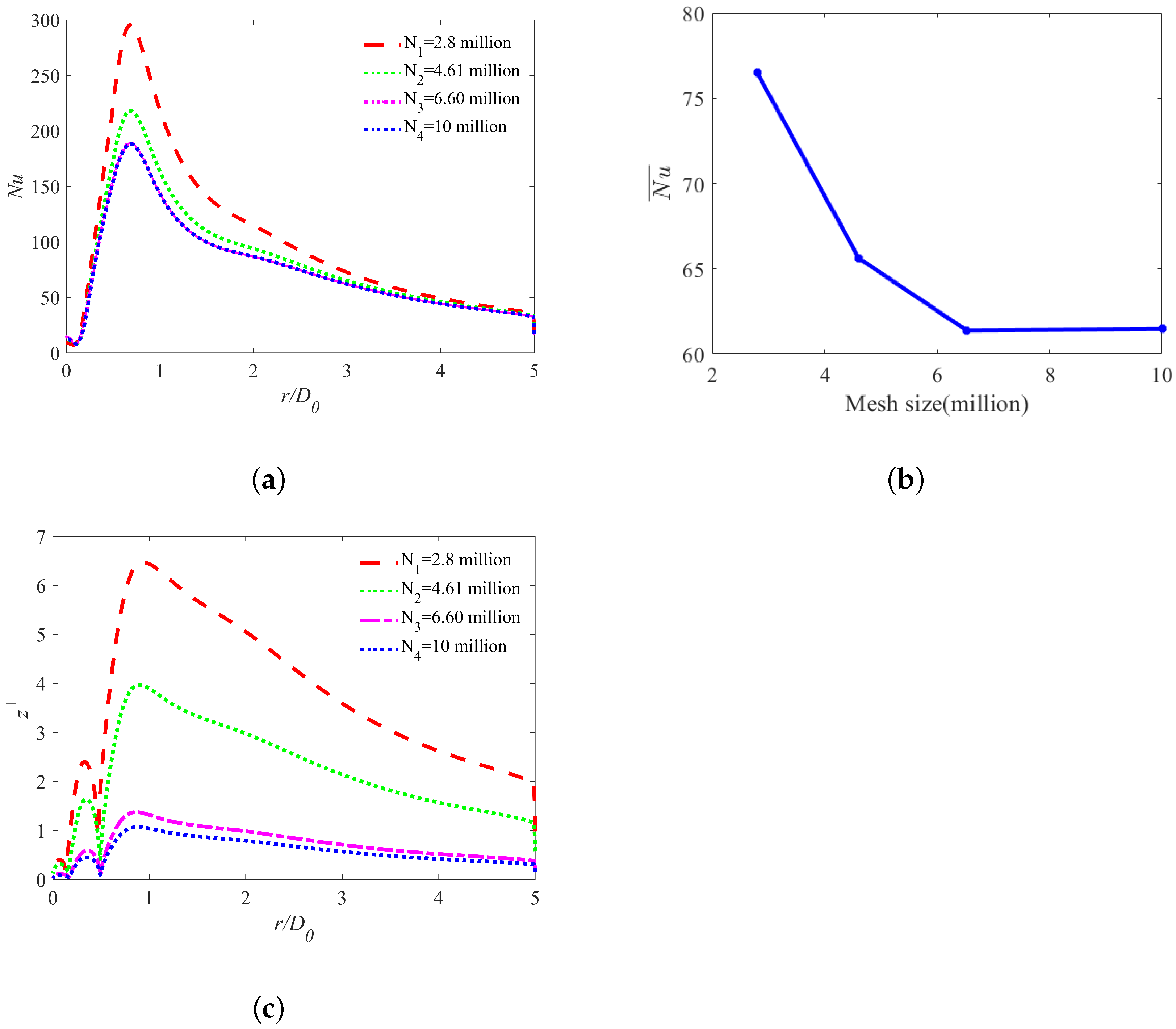
The mesh independence study employs four mesh sizes (Table 1): N 1 = 2.80 million, N 2 = 4.61 million, N 3 = 6.60 million, and N 4 = 10 million. Figure 6a,b show the radial Nusselt number plots on the target plate and the area-averaged Nusselt number of four meshes. The mesh N 3 is chosen for further calculation to save computational cost because there is no significant difference between it and the finest mesh N 4 . A non-dimensional wall distance for the first near-wall grid to the impingement wall is defined as z + = Δ z τ w / ρ ν , and the z + of the first near-wall grid to the wall of each mesh is also plotted in Figure 6c. This shows that, for the selected mesh N 3 , the highest z + is close to 1 over the surface, indicating that the mesh is fine enough near the target surface.

3. Results

3.1. Characteristics of the Jet Impingement with Straight Nozzle

The flow patterns and heat transfer differ depending on the distance between the jet exit and the target surface.The plate is placed in the initial merging zone of the jet with H = 0.5 , in the intermediate merging zone of the jet with H = 2 , and in the fully merged zone of the jet with H = 4 . The flow and thermal configurations of the straight nozzle, serving as the baseline, at three separation distances are discussed and analyzed first in this section.
The vectors in r z midplane for three separation distances are shown in Figure 7, and only half of the plane is shown as the flowfield is axisymmetric. In all three cases, the flow only has axial velocity when leaving the nozzle, and then the flow expands radially outward within the region bounded by the nozzle and the target plate. As the flow approaches the plate, the deviation of the flow happens with the loss of the axial velocity and the flow moves along the wall due to the existence of the plate. At the small separation distance ( H = 0.5 ), a pair of counter-rotating vortices, caused by the sudden expansion downstream of the inner rod, lays immediately downstream of the jet exit. These vortices form a reversed flow region that spreads from the jet exit to the target plate. This pair of vortices and flow reversal can also be found downstream of the exit at an intermediate distance ( H = 2 ). Unlike the flow pattern at a small separation distance, a reattachment occurs downstream of the recirculation, while another recirculation occurs near the target surface with a vortex located in the corner bounded by the jet mainstream and the axis. This near-wall recirculation causes flow reversal near the plate, affecting heat transfer negatively in this region. At a large distance ( H = 4 ), downstream of the reversed flow near the exit, the flow reattaches to the central axis and then behaves like a conventional round jet to impinge on the target surface without separation or recirculation.
Figure 8 depicts the normalized axial velocity w U 0 along the central axis (normalized by H) of three cases, used to compare the axial sizes of the regions covered by the reversed flow. Furthermore, the radial skin friction coefficient C f over the target surfaces is shown in Figure 9 to show the radial length of the reversed flow covering the impingement plate, with a negative value indicating the radially flow reversal. Table 2 displays the axial length and radial length of the flow reversal. R 1 denotes the recirculation downstream of the jet exit, while R 2 denotes the recirculation near the target surface and the recirculation at small distance is referred as R 2 . The radial and axial sizes of the reversed flow are denoted by the subscripts r and a, respectively. The axial length of the flow reversal R 1 does not change with the separation distance with the same length at H = 2 and H = 4 . The axial sizes of the recirculation R 2 at H = 0.5 and H = 2 are close, while the radial length of H = 0.5 is much smaller than the radial size of the flow reversal at H = 2 .
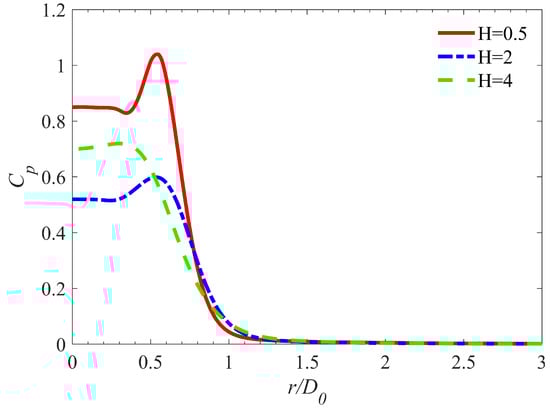
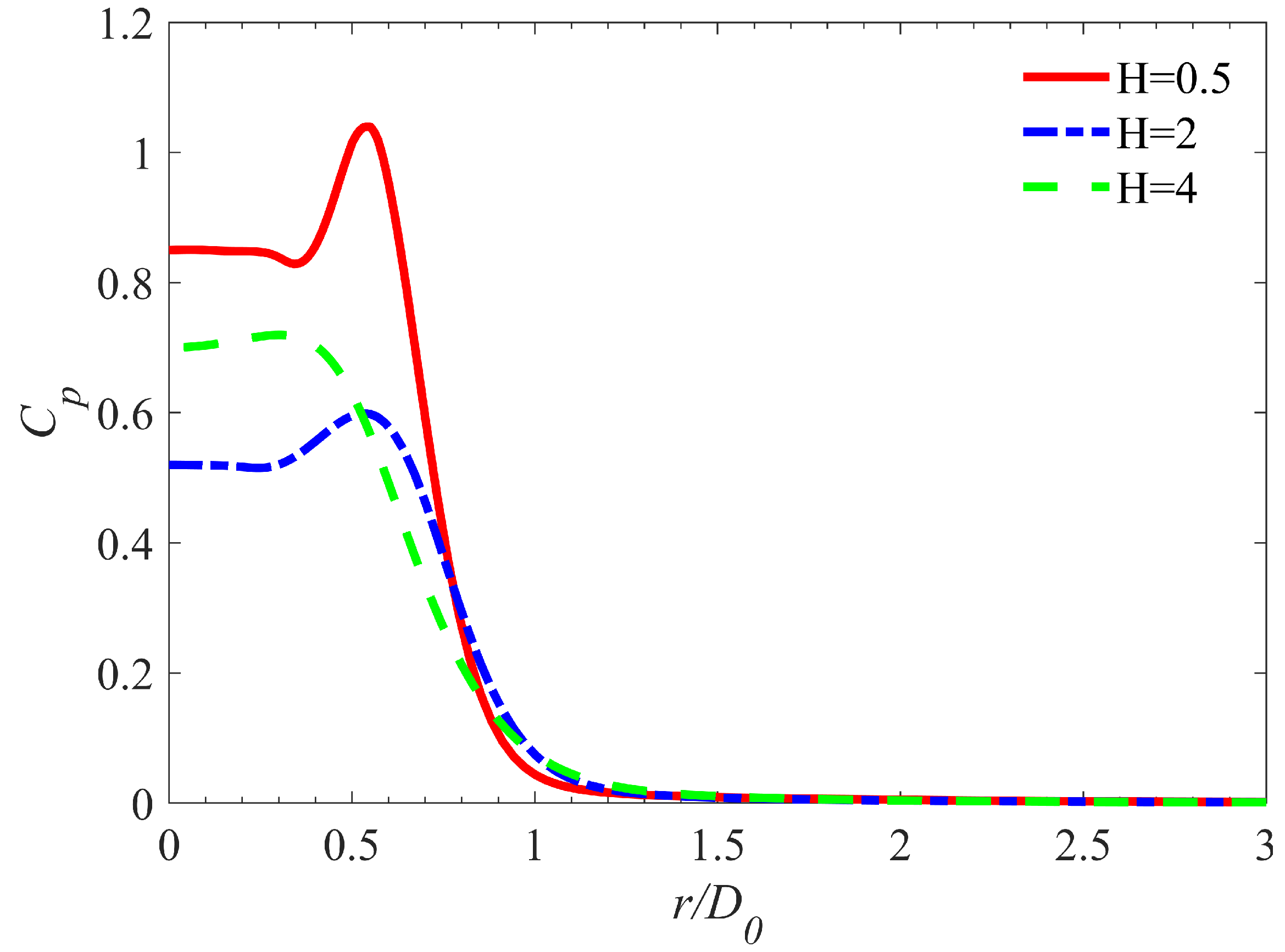
The flow patterns near the target plate also affect the radial pressure distribution (Figure 10). As there is recirculation near the plate at H = 0.5 and H = 2 , the C p values near the central axis are nearly constant before increasing to the peak values at r = 0.34 D 0 and r = 0.27 D 0 , respectively. The C p values then drop monotonically to the lowest value zero. At the large separation distance H = 4 , without the impact of the recirculation, the C p value increases slowly from a value at the axis to the peak value at r = 0.32 D 0 and then decreases monotonously to the lowest value. The peak pressure is the indication of the jet impingement and the location of the peak value is the stagnation point. The stagnation point moves radially outward with the plate approaching the jet exit, as shown in Figure 10.
The heat transfer phenomena are affected by the different flow configurations at three separation distances. Figure 11 shows the local Nusselt distribution and total heat transfer performance of the impingement surface at three separation distances. The radial Nusselt number distribution over the target surface is shown in Figure 11a. With the presence of the recirculation zone near the surface, the Nusselt number plots of the cases at H = 0.5 and H = 2 show a similar trend: the N u value is low in the axis, then decreases to the lowest value, after which increasing to the peak value, and then decreases monotonously. The magnitude of the N u differs between these two cases, with a higher N u value at H = 0.5 .
Without the presence of recirculation near the target at H = 4 , the N u value is much higher near the axis, and the value increases to a peak before monotonically decreasing. Even though the N u near the axis is much higher at H = 4 , the N u in the rest regions is much lower than the value at the other two separation distances. The differences between the three cases become smaller as the flow moves downstream along the wall, and the N u plots almost coincide at the end of the plate ( r > 4 D 0 ).
The average and peak Nusselt numbers of the target surface (Figure 11b are used to assess the cooling performance of the jet impingement. The average and peak Nusselt numbers decrease as the separation distance increases, same as the trend illustrated in paper [11]. The peak values differ so much between cases that the peak value at H = 4 is only 60 % of the peak value at H = 0.5 . The average difference is much more moderate, with the largest change within 15 % .
The flow patterns exhibit different characteristics when the target plate is placed in different flow regimes of the annular jet. The flow configurations have an impact on the local and average heat transport over the target surface. As a result, in the following analysis of nozzle shape effects, comparisons of modified nozzles are made at three representative separation distances H = 0.5 , 2 , and 4, respectively.

3.2. Mainstream Characteristics of Modified Nozzles

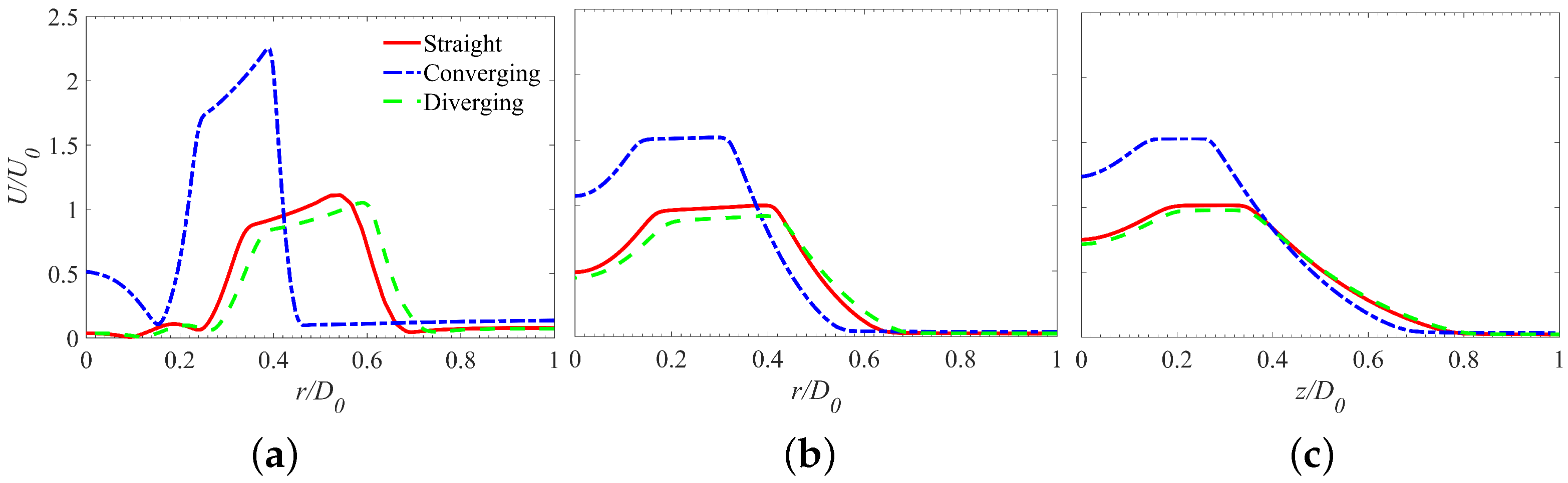
This section presents and discusses the flow patterns of three types of nozzle shapes at three separation distances using the velocity vectors in the r z midplane, the velocity magnitude and the turbulent kinetic energy (TKE) plots on a plane parallel to the impingement surface, the axial velocity along the central axis, the skin friction coefficient and pressure coefficient on the impingement surface. The velocity vectors of three nozzle shapes are shown in Figure 12, Figure 13 and Figure 14 for H = 0.5 , 2 , and 4, respectively, colored by the normalized velocity magnitude.
The distributions of vectors show that nozzle shape modifications change the main flow velocity magnitude and flow structures when compared to a straight nozzle. The velocity magnitude in the converging cases at all separation distances is much higher than those in the other two types of nozzles as the exit area of the converging nozzle decreases. In the case of diverging nozzles, the diverging angle of the nozzle is greater than the expansion angle of the jet, and thus there are minor differences between the straight and diverging cases. The differences between the straight and diverging nozzles are not obvious in the vector distribution, so quantitative comparisons are made in the following part using data at z = H 2 .
Figure 15 and Figure 16 show the velocity and TKE plots at z = H 2 , respectively. The velocity of the main flow is greater in the converging case, more than 1.5 times that of the base case, while the velocity of the diverging nozzle is slightly lower than that of the base case. The velocity magnitude of the main flow in the converging case is significantly higher (over two times) with limited mixing and expansion in the restricted space between the jet exit and the target plate for small separation distances ( H = 0.5 ).
The distance between the jet mainstream and the axis and the width of the jet is also affected by the nozzle shape. The jet flow moves radially inward under the restriction of the outer wall of the converging nozzle. As a result, the jet mainstream is closer to the central axis, and the width of the jet is much narrower than the width in the datum case, whereas the flow with the diverging nozzle moves radially outward with a slightly wider jet. In Figure 16, high TKE values are found in the inner and outer shear layers where more fluctuations and turbulent mixing happen. In converging cases, the contraction of the nozzle contributes to higher turbulent intensity in the outer shear layer and the flow of higher velocity also generates strong fluctuations. As a result, the TKE value in the converging nozzle is much higher than the value in the straight nozzle, and the high TKE can further boost the heat transfer on the impingement surface. The difference between plots at intermediate separation distances ( H = 2 ) and large separation distances ( H = 4 ) is small because the chosen plane z = H 2 is located downstream of the reattachment point where the flow shows similar flow characteristics.

3.3. Flow Pattern of Modified Nozzles

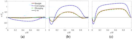
Apart from the change in the location and size of the jet mainstream, the location and the size of the recirculation zone in the converging cases differ from those in the datum cases. As illustrated above, the flow patterns vary with the jet-to-target distance, and comparisons of different nozzle shapes are made separately according to separation distance H. The axial velocity along the axis (Figure 17) and the skin friction coefficient over the target surface (Figure 18) are used to analyze the flow pattern.
At a small separation distance ( H = 0.5 ), as shown in Figure 12, a recirculation bubble is located in the corner bounded by the mainstream and the target surface in the datum case while the bubble in the converging case is near the central axis. Furthermore, in the converging case, the streamwise and radial sizes of the recirculation bubble are larger than the sizes in the datum case, with the bubble extending from the jet exit to the target surface and covering the plate from the center to the impinging point.
The radial skin friction coefficient C f plots over the target plate (Figure 18a) are used to conduct a quantitative comparison of the radial length of the bubble. For the C f distribution in the converging case, the bubble moves toward the central axis with the mainstream. The bubble begins at r = 0.12 D 0 and reattaches at r = 0.43 D 0 in the converging case, and its radial length is L R 2 , r = 0.31 D 0 , while the bubble in the base case begins at r = 0.26 D 0 and reattaches at r = 0.52 D 0 , the radial length of the bubble is L R 2 , r = 0.26 D 0 .
The flow reversal affected by the bubble extends from the center of the plate to the reattachment point and the shear stress between the fluid and the wall is weak, implying that the local heat transfer is also affected negatively. The length of this area is referred as L R , and the data at three separation distances are shown in Table 3. Although the length of the recirculation bubble is greater in the converging case, the L R is smaller with flow closer to the axis, and the L R is greater in the diverging case with flow expanding more radially outward under no restriction of the outer wall.
At an intermediate separation distance ( H = 2 ), there are two recirculation zones: one downstream of the jet exit and one near the target plate. These flow characteristics can be seen in all three cases, though the sizes of the reversed flow vary depending on the nozzle shape. The two recirculation zones in the converging case are much smaller than those in the base case (Figure 13). The quantitative comparisons are based on axial velocity along the axis (Figure 17b) and radial skin friction over the target surface Figure 18c. The reversed flow in the R 1 extends from the jet exit and then reattaches to the axis. The sizes of the recirculation zones R 1 and R 2 in three cases are shown in Table 3. L R 1 , a is the axial length of the R 1 , L R 2 , a is the axial length of the R 2 and L R 2 , r is the radial length of the R 2 . The axial length of the R 1 in the converging case is much shorter than the length in the straight case. The converging outer wall of the converging nozzle enables the jet flow to move radially inward, promoting reattachment to the axis and decreasing the recirculation length L R 1 , a in the converging case. The streamwise and radial sizes of the R 2 are also smaller than those of the straight nozzle. In the converging case, the flow velocity in the near-axis region is much higher to resist the adverse pressure gradient near the impingement surface, narrowing the reversed flow region R 2 . Moreover, the converging outer wall guides the mainstream toward the axis, which reduces the radial size of R 2 . The existence of the R 2 weakens heat transfer on the target surface in the near-axis region. In the diverging case, the flow pattern and sizes of recirculations do not differ much from the straight nozzle.
At a large separation distance ( H = 4 ), there is recirculation downstream of the jet exit, while recirculation near the plate disappears and the annular jet behaves like a conventional round jet near the impingement surface. The flow reversal exists only near the jet exit, and the flow has a positive axial velocity from the reattachment point to the impingement surface. The radial and axial lengths of the recirculation in the converging nozzle are smaller than those in the straight nozzle, as shown in Figure 14, and quantitative comparisons of the axial length are made based on the axial velocity along the central axis (Figure 17c). Table 3 displays the axial lengths of the recirculation L R 1 , a of various nozzles. The recirculation zone in the converging case is much smaller than that in the straight counterpart, whereas the recirculation zone in the diverging case is the same size as in the straight nozzle. In terms of the skin friction coefficient C f over the target surface, the value is positive over the plate, indicating that no radially flow reversal near the plate. As C f is near zero in the plate center, shear stress between the fluid and the hot surface is weak, as is the heat transfer process.
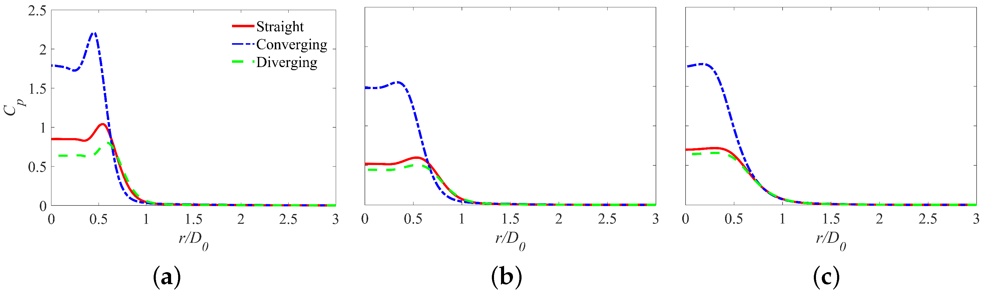
The pressure coefficient C p over the impingement surface (Figure 19) also varies with nozzle shape. The C p plots of various nozzle shapes show similar trends at each separation distance, whereas the value varies with nozzle shape. With high velocity in the converging cases, the peak pressure at the stagnation point is also higher than the value in the straight nozzle, while the value in the diverging nozzle is slightly lower in all separation distances. Furthermore, in converging cases, the location of the peak C p travels closer to the axis, whereas in diverging cases, the location moves slightly away from the axis.

3.4. Heat Transfer and Performance of the Modified Nozzles

Figure 20 depicts the local N u distributions of all nozzle shapes at three separation distances. The plots of two modified nozzles show the same trend as the straight nozzle distribution. At each separation distance, the main differences are between the converging nozzle and the straight nozzle, while the diverging nozzle has a similar radial distribution of the Nusselt number as the datum nozzle but with a slightly lower value. In converging cases, the high-velocity, high-turbulence flow increases local heat transfer with a higher Nusselt number across the entire target surface.
The differences between the three nozzles are small downstream of r = 3 D 0 , and all plots almost coincide at all separation distances there. Furthermore, heat transfer near the axis is affected by flow patterns near the impingement surface, and the flow patterns vary with the separation distance. In this case, the comparisons of different nozzles are performed separately at three separation distances ( H = 0.5 , 2 , and 4). As the differences in flow patterns and heat transfer near the axis between the diverging and straight cases are minor, the comparison is made between the converging and straight cases.
At a small separation distance ( H = 0.5 ), as illustrated in the flow pattern section, the radial size and the location of the recirculation zone R 2 vary with the nozzle shape. The area affected by R 2 L R is much shorter in the converging case than in the straight case, resulting in a much smaller low- N u region near the axis.
At an intermediate distance ( H = 2 ), as illustrated in the flow pattern section, there is a recirculation R 2 near the target surface, weakening the heat transfer near the axis. The radial size of the recirculation R 2 in the converging nozzle is approximately half that of the straight nozzle. In the radial Nusselt number plots, the low- N u region affected by the recirculation in the converging case is much smaller, and the value of N u at small radius is much higher.
At a large distance ( H = 4 ), with a smaller recirculation zone downstream of the jet exit, the flow in the converging nozzle behaves more like a round jet. As shown by the radial Nusselt number distribution (Figure 20c), the value of the N u at the axis in the converging case is roughly twice that of the straight nozzle, indicating that the near-axis region is also fully cooled in the converging case.
Furthermore, the flow in the converging nozzle has higher velocity and turbulence, promoting heat transfer near the axis in all three separation distances. As a result, by accelerating jet flow and reducing the size of the recirculation zone R 2 , the application of the converging nozzle can promote heat transfer near the axis on the target surface.
In Figure 21, the thermal performance is compared using the average Nusselt number and the peak Nusselt number. The average N u and peak N u values obtained in the converging nozzle are significantly greater than those obtained in the straight nozzle, whereas those obtained in the diverging nozzle are slightly less than the datum values. The differences in the average Nusselt number are much smaller than the differences in the peak values. As the separation distance increases, the differences between different nozzle shapes decrease as well. Compared to the datum straight nozzle, the converging nozzle can improve the total thermal performance of the target surface by increasing the average and peak Nusselt numbers, whereas the diverging nozzle has a negligible effect on thermal performance.
Apart from thermal performance, the pressure drop of the cooling system is also taken into account when determining the efficiency of the system. With increasing pressure drop, the power required to drive the jet flow increases proportionately, increasing the overall energy consumption of the system. The performance of the three nozzles are shown in Table 4: Δ p is the pressure drop of the system and N u ¯ is the average N u , the subscript 0 denotes the data for the straight nozzle shape. The ratio of the data for the modified nozzle to the data for the straight nozzle is used for the comparison.
At all separation distances, the higher heat transfer achieved by the converging nozzle comes at the expense of pressure loss within the system, whereas the diverging nozzle can achieve slightly lower heat transfer while minimizing pressure loss. In the application, the pressure drop change results in a shift of the operating point of the pump machine, and the resulting flow rate also varies, depending on the performance curve of the machine. Thus, the effects of modifying the nozzle shape on the cooling system efficiency should be evaluated in conjunction with the characteristics of a specific pump machine. Modifications to the nozzle shape alter the flow pattern, the mainstream characteristics, and the impingement thermal fields. Although the converging nozzle has a greater pressure drop than the straight nozzle, it can be used to improve both local and total heat performance, particularly in the region near the axis. As a result, the converging nozzle can maintain a constant heat transfer rate while requiring less cooling flow. The diverging nozzle operates in a similar manner to the straight nozzle in terms of flow pattern and thermal fields, while the diverging nozzle has a slightly lower cooling performance than the straight nozzle, the diverging nozzle can achieve a significantly lower pressure drop. The diverging nozzle can be used to reduce the power consumption of the cooling system without sacrificing cooling capacity.

3.5. Reynolds Number Effects

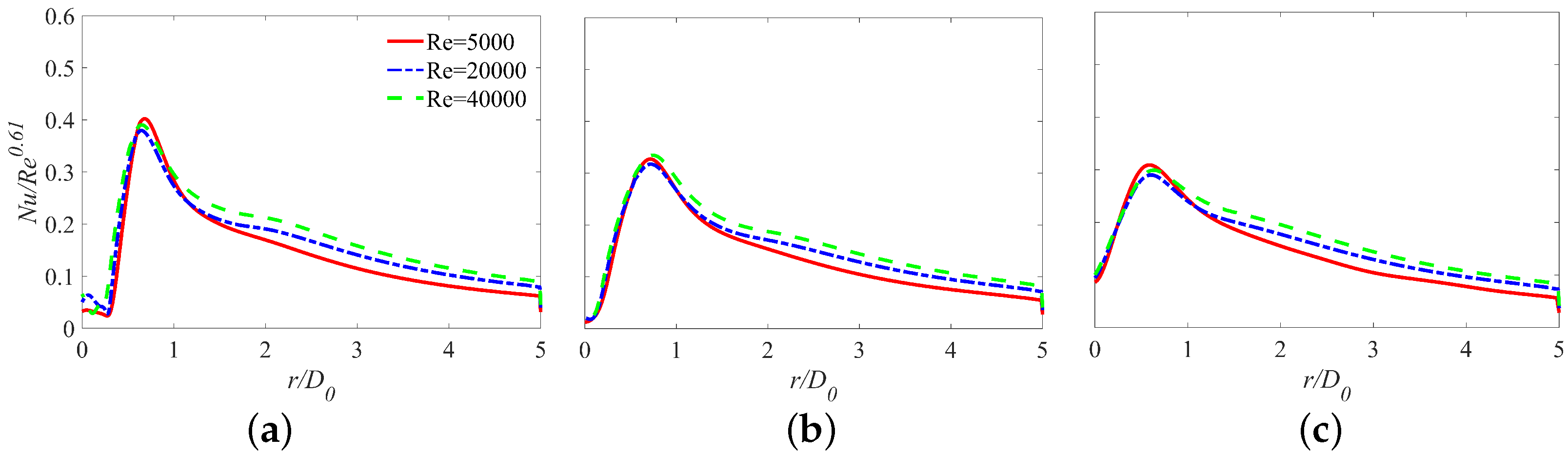
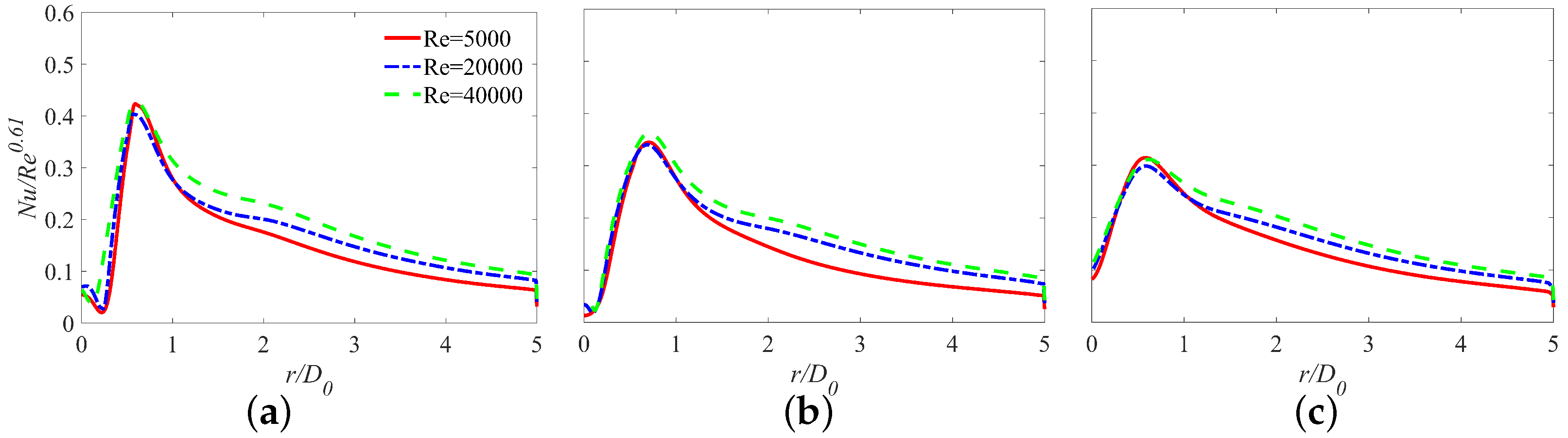
Figure 22, Figure 23 and Figure 24 depict the scaling relationships between the radial Nusselt number and the Reynolds number for three nozzles. When the Reynolds number based on the flow velocity at the jet inlet changes, the trend and the characteristic of the radial Nusselt number over the target plate remain unchanged and the positions of the peak Nusselt value also do not change, indicating that the flow characteristics illustrated above are not affected by the Reynolds number. However, the magnitude of the Nusselt number varies proportionally with the Reynolds number and the correlations are established between the radial Nusselt number plots and R e m .
The values of m vary depending on the nozzle shape. Since the flow configurations of the jet impingement vary with the jet-to-target distances, the radial N u / R e m plots are obtained at three separation spacings, respectively. For all three nozzles, the values of m for three separation distances are the same. For the straight nozzle, the value of m is 0.61, which is close to the value m = 0.6 obtained by Stafford et al. [23] in their study on the annular jet impingement.
In the 0 < r / D < 1 region, the plots of different Reynolds numbers are almost coincide, although the small discrepancies happen in the r / D > 1 region. Since the heat transfer in the near-axis region accounts for a significant fraction of the overall heat transfer over the target plate, the correlation still provides a reasonable prediction for the radial Nusselt number distribution for different Reynolds numbers. When the straight nozzle is replaced with a converging nozzle, the value of m in the N u / R e m also changes to m = 0.65 while the trends of the Nusselt number distribution do not vary with the Reynolds numbers.
As the velocity and the turbulence in the annular jet ejected by the converging nozzle is higher, the flow field and the resulting heat transfer are more sensitive to the Reynolds number change with higher value of m. The flow and thermal fields for the diverging nozzle are similar to those for the straight nozzle, and the value of m also equals to 0.61.
In addition to the correlations between the radial Nusselt number and the Reynolds number, the correlations are also established between the Reynolds number and the critical thermal parameters: the average Nusselt number over the target plate. The correlations for the average Nusselt number are shown in Figure 25, N u ¯ / R e m and the value of m for each nozzle is the same as the value obtained in the radial Nusselt number plots presented before. These correlations concerning the average Nusselt number versus the Reynolds number provide references when estimating the heat transfer performance of the annular jet impingement under various Reynolds number conditions.

4. Conclusions

In this study, numerical simulations were used to investigate the effects of nozzle shape on flow configuration and heat transfer in annular jet impingement. The aerodynamic and thermal characteristics of impingement were investigated at three representative separation distances ( H = 0.5 , 2 , and 4). The following are the key findings:
(i)
Modifications to the nozzle shape alter the width of the jet as well as the distance between the jet mainstream and the central axis. A converging nozzle narrows the jet and moves the mainstream closer to the axis, whereas a diverging nozzle widens the jet and shifts the flow away from the axis.
(ii)
Modifications in the nozzle shape also affect the flow patterns at different separation distances. The converging nozzle reduces recirculation near the target surface, thereby, positively affecting local heat transfer near the axis. The flow patterns and thermal fields of the diverging nozzle are similar to those of the straight nozzle, with slightly less heat transfer.
(iii)
The velocity of the jet mainstream is affected by modifying the nozzle shape. The converging nozzle reduces the flow area and accelerates the cooling flow to increase heat transfer over the target greatly. As the diverging angle of the diverging nozzle is greater than the expansion angle of the jet, the flow velocity is slightly lower in the diverging case, as is the resulting heat transfer over the target.
(iv)
The converging nozzle achieves higher heat transfer at the expense of a higher pressure drop, which may change the operating point of the pump machine in an industrial application, and the efficiency of the cooling system should be evaluated based on the performance curve and the resulting heat transfer. The diverging nozzle produces a lower pressure drop with little effect on heat transfer, which can reduce the energy consumption of the cooling system.
(v)
Correlations of annular impinging jets on the radial Nusselt number, the average Nusselt number, and the peak Nusselt number are established as functions of the Reynolds number for all three nozzles.

Author Contributions

Conceptualization, Y.Z. and Y.S.; methodology, Y.Z.; software, Y.Z.; validation, Y.Z.; formal analysis, Y.Z.; investigation, Y.Z.; resources, Y.Z.; data curation, Y.Z.; writing—original draft preparation, Y.Z.; writing—review and editing, Y.Z. and Y.S; visualization, Y.Z.; supervision, Y.S. and C.Z.; project administration, Y.S.; funding acquisition, Y.S. All authors have read and agreed to the published version of the manuscript.

Funding

This research was funded by the National Natural Science Foundation of China, grant number No. 91752202.

Institutional Review Board Statement

Not applicable.

Informed Consent Statement

Not applicable.

Data Availability Statement

Not applicable.

Conflicts of Interest

The authors declare no conflict of interest.

Abbreviations

The following abbreviations are used in this manuscript:
CRZCentral Recirculation Zone
TKETurbulent Kinetic Energy

Nomenclature

Aarea of target surface
B R blockage ratio
C f skin friction
C p pressure coefficient
D i diameter of the inner rod
D 0 outer diameter of the annular jet
Hnormalized distance between the jet and impingement surface
hdistance between the jet and impingement surface
kfluid thermal conductivity
L R radial length of area affected by R 2 at small H
L R 1 , a axial length of R 1
L R 2 , a axial length of R 2
L R 2 , r radial length of R 2
N u Nusselt number
qheat flux
Rrecirculation
rradial direction of the impingement
R e Reynolds number
T 0 jet temperature
T K E Turbulent Kinetic Energy
T w impingement surface temperature
Uvelocity magnitude
U 0 jet exit velocity magnitude
waxial velocity
ρ density
μ dynamic viscosity coefficient
ν kinematic viscosity
τ w wall shear stress

References

  1. Zuckerman, N.; Lior, N. Jet impingement heat transfer: Physics, correlations, and numerical modeling. Adv. Heat Transf. 2006, 39, 565–631. [Google Scholar]
  2. Maghrabie, H.M.; Attalla, M.; Fawaz, H.; Khalil, M. Impingement/effusion cooling of electronic components with cross-flow. Appl. Therm. Eng. 2019, 151, 199–213. [Google Scholar] [CrossRef]
  3. Wiriyasart, S.; Naphon, P. Heat spreading of liquid jet impingement cooling of cold plate heat sink with different fin shapes. Case Stud. Therm. Eng. 2020, 20, 100638. [Google Scholar] [CrossRef]
  4. Bunker, R.S. Gas turbine heat transfer: Ten remaining hot gas path challenges. J. Turbomach. 2007, 129, 193–201. [Google Scholar] [CrossRef]
  5. Fawzy, H.; Zheng, Q.; Jiang, Y.; Lin, A.; Ahmad, N. Conjugate heat transfer of impingement cooling using conical nozzles with different schemes in a film-cooled blade leading-edge. Appl. Therm. Eng. 2020, 177, 115491. [Google Scholar] [CrossRef]
  6. Dewan, A.; Dutta, R.; Srinivasan, B. Recent trends in computation of turbulent jet impingement heat transfer. Heat Transf. Eng. 2012, 33, 447–460. [Google Scholar] [CrossRef]
  7. Musika, W.; Wae-Hayee, M.; Vessakosol, P.; Niyomwas, B.; Nuntadusit, C. Investigation of flow and heat transfer characteristics of annular impinging jet. In Advanced Materials Research; Trans Tech Publications: Bach, Switzerland, 2014; Volume 931, pp. 1223–1227. [Google Scholar]
  8. Fénot, M.; Dorignac, E.; Lantier, R. Heat transfer and flow structure of a hot annular impinging jet. Int. J. Therm. Sci. 2021, 170, 107091. [Google Scholar] [CrossRef]
  9. Chan, W.; Ko, N. Coherent structures in the outer mixing region of annular jets. J. Fluid Mech. 1978, 89, 515–533. [Google Scholar] [CrossRef]
  10. Afroz, F.; Sharif, M.A. Numerical study of turbulent annular impinging jet flow and heat transfer from a flat surface. Appl. Therm. Eng. 2018, 138, 154–172. [Google Scholar] [CrossRef]
  11. Chattopadhyay, H. Numerical investigations of heat transfer from impinging annular jet. Int. J. Heat Mass Transf. 2004, 47, 3197–3201. [Google Scholar] [CrossRef]
  12. Terekhov, V.I.; Kalinina, S.V.; Sharov, K.A. Convective heat transfer at an annular jet impingement on a flat blockage. High Temp. 2018, 56, 217–222. [Google Scholar] [CrossRef]
  13. Yang, H.; Kim, T.; Lu, T.; Ichimiya, K. Flow structure, wall pressure and heat transfer characteristics of impinging annular jet with/without steady swirling. Int. J. Heat Mass Transf. 2010, 53, 4092–4100. [Google Scholar] [CrossRef]
  14. Liu, T.; Sullivan, J. Heat transfer and flow structures in an excited circular impinging jet. Int. J. Heat Mass Transf. 1996, 39, 3695–3706. [Google Scholar] [CrossRef]
  15. Gao, N.; Sun, H.; Ewing, D. Heat transfer to impinging round jets with triangular tabs. Int. J. Heat Mass Transf. 2003, 46, 2557–2569. [Google Scholar] [CrossRef]
  16. Afroz, F.; Sharif, M.A. Heat transfer due to turbulent annular impinging jet with a bullet extension at the end of the inner blockage rod. Case Stud. Therm. Eng. 2022, 29, 101704. [Google Scholar] [CrossRef]
  17. Singh, D.; Premachandran, B.; Kohli, S. Effect of nozzle shape on jet impingement heat transfer from a circular cylinder. Int. J. Therm. Sci. 2015, 96, 45–69. [Google Scholar] [CrossRef]
  18. Koseoglu, M.; Baskaya, S. The role of jet inlet geometry in impinging jet heat transfer, modeling and experiments. Int. J. Therm. Sci. 2010, 49, 1417–1426. [Google Scholar] [CrossRef]
  19. Xu, K.; Wang, G.; Wang, L.; Yun, F.; Sun, W.; Wang, X.; Chen, X. CFD-Based Study of Nozzle Section Geometry Effects on the Performance of an Annular Multi-Nozzle Jet Pump. Processes 2020, 8, 133. [Google Scholar] [CrossRef] [Green Version]
  20. Colucci, D.; Viskanta, R. Effect of nozzle geometry on local convective heat transfer to a confined impinging air jet. Exp. Therm. Fluid Sci. 1996, 13, 71–80. [Google Scholar] [CrossRef]
  21. Brignoni, L.A.; Garimella, S.V. Effects of nozzle-inlet chamfering on pressure drop and heat transfer in confined air jet impingement. Int. J. Heat Mass Transf. 2000, 43, 1133–1139. [Google Scholar] [CrossRef]
  22. Royne, A.; Dey, C.J. Effect of nozzle geometry on pressure drop and heat transfer in submerged jet arrays. Int. J. Heat Mass Transf. 2006, 49, 800–804. [Google Scholar] [CrossRef]
  23. Stafford, J.; Walsh, E.; Egan, V. Local heat transfer performance and exit flow characteristics of a miniature axial fan. Int. J. Heat Fluid Flow 2010, 31, 952–960. [Google Scholar] [CrossRef]
  24. Attalla, M.; Salem, M. Effect of nozzle geometry on heat transfer characteristics from a single circular air jet. Appl. Therm. Eng. 2013, 51, 723–733. [Google Scholar] [CrossRef]
  25. Dutta, P.; Chattopadhyay, H. Numerical Analysis of Transport Phenomena under Turbulent Annular Impinging Jet. Comput. Therm. Sci. Int. J. 2021, 13. [Google Scholar] [CrossRef]
  26. Menter, F.R. Two-equation eddy-viscosity turbulence models for engineering applications. AIAA J. 1994, 32, 1598–1605. [Google Scholar] [CrossRef] [Green Version]
  27. Chattopadhyay, H. Effect of surface motion on transport processes due to circular impinging jets—A numerical study. Dry. Technol. 2006, 24, 1347–1351. [Google Scholar] [CrossRef]
  28. Kadiyala, P.K.; Chattopadhyay, H. Neuro-genetic optimization of laminar slot jets impinging on a moving surface. Int. Commun. Heat Mass Transf. 2014, 59, 143–147. [Google Scholar] [CrossRef]
Figure 1. Schematic diagram of the flow pattern in a free turbulent annular jet following Chan and Ko [9].
Figure 1. Schematic diagram of the flow pattern in a free turbulent annular jet following Chan and Ko [9].
Energies 15 04271 g001
Figure 2. Schematic of (a) calculation domain and (b) geometric information.
Figure 2. Schematic of (a) calculation domain and (b) geometric information.
Energies 15 04271 g002
Figure 3. Geometries in the central plane for straight and modified nozzles.
Figure 3. Geometries in the central plane for straight and modified nozzles.
Energies 15 04271 g003
Figure 4. Validation of the CFD model using: (a) radial pressure coefficient distribution at H = 0.5 and H = 4 . (b) radial Nusselt number distribution at H = 2 .
Figure 4. Validation of the CFD model using: (a) radial pressure coefficient distribution at H = 0.5 and H = 4 . (b) radial Nusselt number distribution at H = 2 .
Energies 15 04271 g004
Figure 5. Mesh details used for calculation (sample H = 2 ) (a) Mesh in the r z central plane. (b) Mesh in the target surface.
Figure 5. Mesh details used for calculation (sample H = 2 ) (a) Mesh in the r z central plane. (b) Mesh in the target surface.
Energies 15 04271 g005
Figure 6. Mesh sensitivity check using (a) Radial Nusselt number. (b) Convergence of the average Nusselt number. (c) Radial z + on the impingement surface.
Figure 6. Mesh sensitivity check using (a) Radial Nusselt number. (b) Convergence of the average Nusselt number. (c) Radial z + on the impingement surface.
Energies 15 04271 g006
Figure 7. Velocity vectors in the r z central midplane at (a) H = 0.5 , (b) H = 2 , and (c) H = 4 for the straight nozzle.
Figure 7. Velocity vectors in the r z central midplane at (a) H = 0.5 , (b) H = 2 , and (c) H = 4 for the straight nozzle.
Energies 15 04271 g007
Figure 8. Axial velocity along the axis for the straight nozzle.
Figure 8. Axial velocity along the axis for the straight nozzle.
Energies 15 04271 g008
Figure 9. Radial skin friction on the target surface for the straight nozzle.
Figure 9. Radial skin friction on the target surface for the straight nozzle.
Energies 15 04271 g009
Figure 10. Radial pressure on the target surface for the straight nozzle.
Figure 10. Radial pressure on the target surface for the straight nozzle.
Energies 15 04271 g010
Figure 11. Heat transfer performance for the straight nozzle: (a) Radial Nusselt plots. (b) Average and peak Nusselt number on the impingement surface.
Figure 11. Heat transfer performance for the straight nozzle: (a) Radial Nusselt plots. (b) Average and peak Nusselt number on the impingement surface.
Energies 15 04271 g011
Figure 12. Velocity vector in the central r z plane with (a) straight nozzle,(b) converging nozzle, and (c) diverging nozzle at H = 0.5 , and the vector is colored by U U 0 .
Figure 12. Velocity vector in the central r z plane with (a) straight nozzle,(b) converging nozzle, and (c) diverging nozzle at H = 0.5 , and the vector is colored by U U 0 .
Energies 15 04271 g012
Figure 13. Velocity vector in the central r z plane with (a) straight nozzle, (b) converging nozzle, and (c) diverging nozzle at H = 2 , and the vector is colored by U U 0 .
Figure 13. Velocity vector in the central r z plane with (a) straight nozzle, (b) converging nozzle, and (c) diverging nozzle at H = 2 , and the vector is colored by U U 0 .
Energies 15 04271 g013
Figure 14. Velocity vector in the central r z plane with (a) straight nozzle, (b) converging nozzle, and (c) diverging nozzle at H = 4 , and the vector is colored by U U 0 .
Figure 14. Velocity vector in the central r z plane with (a) straight nozzle, (b) converging nozzle, and (c) diverging nozzle at H = 4 , and the vector is colored by U U 0 .
Energies 15 04271 g014
Figure 15. Velocity magnitude in the r θ plane z = H 2 at (a) H = 0.5 , (b) H = 2 , and (c) H = 4 .
Figure 15. Velocity magnitude in the r θ plane z = H 2 at (a) H = 0.5 , (b) H = 2 , and (c) H = 4 .
Energies 15 04271 g015
Figure 16. Turbulent kinetic energy in the r θ plane z = H 2 at (a) H = 0.5 , (b) H = 2 , and (c) H = 4 .
Figure 16. Turbulent kinetic energy in the r θ plane z = H 2 at (a) H = 0.5 , (b) H = 2 , and (c) H = 4 .
Energies 15 04271 g016
Figure 17. Axial velocity along the axis at (a) H = 0.5 , (b) H = 2 , and (c) H = 4 .
Figure 17. Axial velocity along the axis at (a) H = 0.5 , (b) H = 2 , and (c) H = 4 .
Energies 15 04271 g017
Figure 18. Radial skin friction C f on the target surface at (a) H = 0.5 , (b) H = 2 , and (c) H = 4 .
Figure 18. Radial skin friction C f on the target surface at (a) H = 0.5 , (b) H = 2 , and (c) H = 4 .
Energies 15 04271 g018
Figure 19. Pressure coefficient C p on the target surface at (a) H = 0.5 , (b) H = 2 , and (c) H = 4 .
Figure 19. Pressure coefficient C p on the target surface at (a) H = 0.5 , (b) H = 2 , and (c) H = 4 .
Energies 15 04271 g019
Figure 20. Radial Nusselt number N u on the target surface at (a) H = 0.5 , (b) H = 2 , and (c) H = 4 .
Figure 20. Radial Nusselt number N u on the target surface at (a) H = 0.5 , (b) H = 2 , and (c) H = 4 .
Energies 15 04271 g020
Figure 21. Average and peak Nusselt number on the target surface at (a) H = 0.5 , (b) H = 2 , and (c) H = 4 .
Figure 21. Average and peak Nusselt number on the target surface at (a) H = 0.5 , (b) H = 2 , and (c) H = 4 .
Energies 15 04271 g021
Figure 22. Nusselt number and Reynolds number scaling relationships for the straight nozzle at (a) H = 0.5 , (b) H = 2 , and (c) H = 4 .
Figure 22. Nusselt number and Reynolds number scaling relationships for the straight nozzle at (a) H = 0.5 , (b) H = 2 , and (c) H = 4 .
Energies 15 04271 g022
Figure 23. Nusselt number and Reynolds number scaling relationships for the converging nozzle at (a) H = 0.5 , (b) H = 2 , and (c) H = 4 .
Figure 23. Nusselt number and Reynolds number scaling relationships for the converging nozzle at (a) H = 0.5 , (b) H = 2 , and (c) H = 4 .
Energies 15 04271 g023
Figure 24. Nusselt number and Reynolds number scaling relationships for the diverging nozzle at (a) H = 0.5 , (b) H = 2 , and (c) H = 4 .
Figure 24. Nusselt number and Reynolds number scaling relationships for the diverging nozzle at (a) H = 0.5 , (b) H = 2 , and (c) H = 4 .
Energies 15 04271 g024
Figure 25. Nusselt number and Reynolds number scaling relationships for (a) Straight nozzle, (b) Converging nozzle, and (c) Diverging nozzle.
Figure 25. Nusselt number and Reynolds number scaling relationships for (a) Straight nozzle, (b) Converging nozzle, and (c) Diverging nozzle.
Energies 15 04271 g025
Table 1. Mesh information ( r × θ × z ) of four meshes.
Table 1. Mesh information ( r × θ × z ) of four meshes.
Domain N 1 N 2 N 3 N 4
Jet part 40 × 240 × 40 60 × 240 × 40 60 × 240 × 40 60 × 320 × 40
Plate part 160 × 240 × 60 200 × 240 × 80 200 × 240 × 120 240 × 320 × 120
Table 2. Size of the recirculation for the straight nozzle.
Table 2. Size of the recirculation for the straight nozzle.
Item H = 0.5 H = 2 H = 4
L R 1 , a - 0.42 D 0 0.42 D 0
L R 2 , a 0.35 D 0 0.34 D 0
L R 2 , r 0.24 D 0 0.33 D 0
Table 3. Size of the recirculation.
Table 3. Size of the recirculation.
FlatConvergingDiverging
H = 0.5 L R 0.42 D 0 0.30 D 0 0.42 D 0
H = 2 L R 1 , a 0.40 D 0 0.28 D 0 0.40 D 0
L R 2 , a 0.34 D 0 0.17 D 0 0.34 D 0
L R 2 , r 0.5 D 0 0.29 D 0 0.50 D 0
H = 4 L R 1 , a 0.42 D 0 0.30 D 0 0.42 D 0
Table 4. System performance comparison at H = 0.5 , 2 , and 4.
Table 4. System performance comparison at H = 0.5 , 2 , and 4.
StraightConvergingDiverging
H = 0.5 Δ p Δ p 0 1 1.98 0.81
N u ¯ N u 0 ¯ 1 1.17 0.96
H = 2 Δ p Δ p 0 1 2.19 0.85
N u ¯ N u 0 ¯ 1 1.21 0.96
H = 4 Δ p Δ p 0 1 2.23 0.93
N u ¯ N u 0 ¯ 1 1.19 0.98
Publisher’s Note: MDPI stays neutral with regard to jurisdictional claims in published maps and institutional affiliations.

Share and Cite

MDPI and ACS Style

Zhong, Y.; Zhou, C.; Shi, Y. Effect of the Nozzle Geometry on Flow Field and Heat Transfer in Annular Jet Impingement. Energies 2022, 15, 4271. https://doi.org/10.3390/en15124271

AMA Style

Zhong Y, Zhou C, Shi Y. Effect of the Nozzle Geometry on Flow Field and Heat Transfer in Annular Jet Impingement. Energies. 2022; 15(12):4271. https://doi.org/10.3390/en15124271

Chicago/Turabian Style

Zhong, Ying, Chao Zhou, and Yipeng Shi. 2022. "Effect of the Nozzle Geometry on Flow Field and Heat Transfer in Annular Jet Impingement" Energies 15, no. 12: 4271. https://doi.org/10.3390/en15124271

APA Style

Zhong, Y., Zhou, C., & Shi, Y. (2022). Effect of the Nozzle Geometry on Flow Field and Heat Transfer in Annular Jet Impingement. Energies, 15(12), 4271. https://doi.org/10.3390/en15124271

Note that from the first issue of 2016, this journal uses article numbers instead of page numbers. See further details here.

Article Metrics

Back to TopTop