Wettability of Tight Sandstone Reservoir and Its Impacts on the Oil Migration and Accumulation: A Case Study of Shahejie Formation in Dongying Depression, Bohai Bay Basin
Abstract
:1. Introduction
2. Geological Settings
3. Methods
3.1. Sample Information, Porosity and Permeability Measurements
3.2. XRD
3.3. X-ray Micro-CT Scanning
3.4. Contact Angle Experiment
3.5. Spontaneous Imbibition Experiment
3.6. Physical Simulation of Oil Migration and Accumulation
4. Results
4.1. Petrological Characteristics
4.2. Distribution of Pore Throat Size
4.3. Wettability Characteristics
4.4. Characteristics of Spontaneous Imbibition
4.5. Characteristics of Tight Oil Migration and Accumulation
4.5.1. Characteristics of Tight Oil Migration
4.5.2. Characteristics of Tight Oil Accumulation
5. Discussion
5.1. Wettability Analysis of Single Minerals
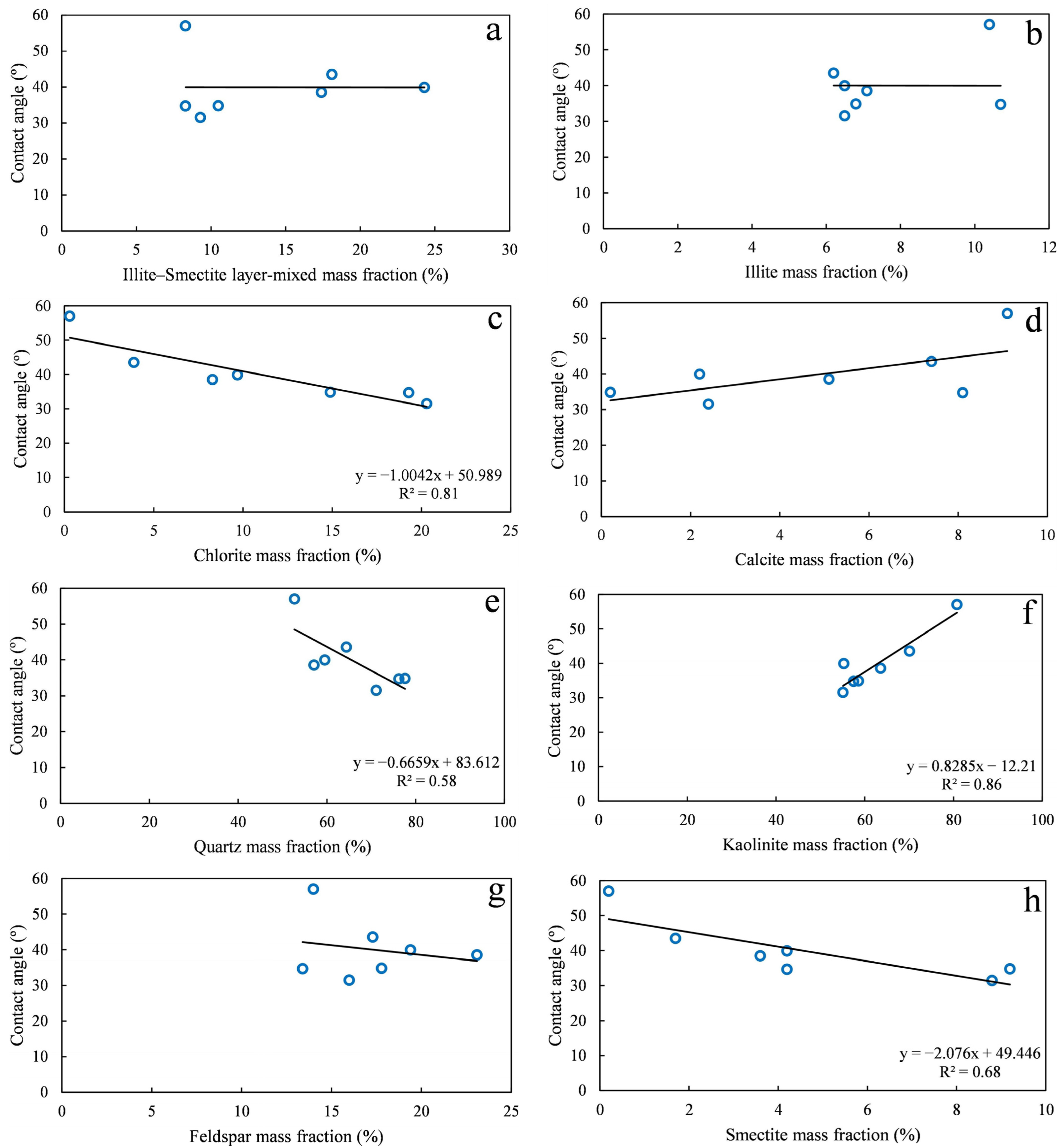
5.2. Wettability Controlled by Mineral Composition
5.3. Characteristics of Spontaneous Imbibition Controlled by Mineral Composition
5.4. Influence of Wettability on Tight Oil Migration and Accumulation
5.4.1. Influence of Wettability on Tight Oil Transport
5.4.2. Influence of Wettability on Tight Oil Accumulation
6. Conclusions
- (1)
- The wettability of a tight sandstone reservoir is mainly controlled by the rock mineral composition. When there are more oil-wet minerals, the reservoir is more oil-wet. Conversely, when there are more water-wet minerals, the reservoir is more water-wet. The reason why different minerals exhibit different wettability characteristics lies in their different ion-exchange mechanism with oil and water.
- (2)
- The mineral composition of the rock affects the wettability, controls the capillary force, and affects the spontaneous imbibition characteristics of the rock. During imbibition, when water is in the wetting phase, it drives the non-wetting phase (air) via capillary force. The more lipophilic the rock is, the less capillary force there is during the wetting phase, the less capillary resistance there is during the non-wetting phase, and the less the spontaneous imbibition rate of the wetting phase is.
- (3)
- When oil is in the non-wetting phase, the charging process is subjected to capillary resistance. The pore throat size of tight sandstone reservoirs is very small, and wettability greatly influences capillary force. The more oil-wet the reservoir is, the less capillary resistance the oil is subjected to, and the lower the kickoff pressure gradient and the critical pressure gradient are, resulting in more favourable migration. Wettability affects oil accumulation in the reservoir by controlling the adsorption capacity of the rock surface to oil. The stronger the oil affinity, the better the oil accumulation and the higher the ultimate oil saturation is.
Author Contributions
Funding
Institutional Review Board Statement
Informed Consent Statement
Data Availability Statement
Acknowledgments
Conflicts of Interest
References
- Mustafa, A.A.; Mahmoud, M.; Abdulraheem, A. A Review of Pore Structure Characterization of Unconventional Tight Reservoirs. In Proceedings of the Abu Dhabi International Petroleum Exhibition & Conference 2019, Abu Dhabi, United Arab Emirates, 11–14 November 2019. [Google Scholar]
- Zou, C.; Zhu, R.; Songtao, W.U.; Yang, Z.; Wang, L. Types, characteristics, genesis and prospects of conventional and unconventional hydrocarbon accumulations:taking tight oil and tight gas in China as an instance. Shiyou Xuebao/Acta Pet. Sin. 2012, 33, 173–187. [Google Scholar]
- Aguilera, R. Flow Units: From Conventional to Tight-Gas to Shale-Gas to Tight-Oil to Shale-Oil Reservoirs. SPE Reserv. Eval. Eng. 2014, 17, 190–208. [Google Scholar] [CrossRef]
- Wu, Y.; Tahmasebi, P.; Lin, C.; Munawar, M.J.; Cnudde, V. Effects of micropores on geometric, topological and transport properties of pore systems for low-permeability porous media. J. Hydrol. 2019, 575, 327–342. [Google Scholar] [CrossRef]
- Jia, C.; Zheng, M.; Zhang, Y. Unconventional hydrocarbon resources in China and the prospect of exploration and development. Pet. Explor. Dev. 2012, 39, 139–146. [Google Scholar] [CrossRef]
- Zhao, H.; Ning, Z.; Wang, Q.; Zhang, R.; Zhao, T.; Niu, T.; Zeng, Y. Petrophysical characterization of tight oil reservoirs using pressure-controlled porosimetry combined with rate-controlled porosimetry. Fuel 2015, 154, 233–242. [Google Scholar] [CrossRef]
- Cao, Z.; Liu, G.; Zhan, H.; Li, C.; You, Y.; Yang, C.; Jiang, H. Pore structure characterization of Chang-7 tight sandstone using MICP combined with N2GA techniques and its geological control factors. Sci. Rep. 2016, 6, 36919. [Google Scholar] [CrossRef]
- Liu, G.; Bai, Y.; Gu, D.; Lu, Y.; Yang, D. Determination of static and dynamic characteristics of microscopic pore-throat structure in a tight oil-bearing sandstone formation. AAPG Bull. 2018, 102, 1867–1892. [Google Scholar] [CrossRef]
- Xu, T.; Pu, J.; Qin, X.; Wei, Y. Experimental analysis of matrix moveable oil saturation in tight sandstone reservoirs of the south Ordos Basin, China. Energy Geosci. 2022. [Google Scholar] [CrossRef]
- Xi, K.; Cao, Y.; Haile, B.G.; Zhu, R.; Jahren, J.; Bjørlykke, K.; Zhang, X.; Hellevang, H. How does the pore-throat size control the reservoir quality and oiliness of tight sandstones? The case of the Lower Cretaceous Quantou Formation in the southern Songliao Basin, China. Mar. Pet. Geol. 2016, 76, 1–15. [Google Scholar] [CrossRef]
- Li, C.; Liu, G.; Cao, Z.; Sun, M.; You, Y.; Liu, N. Oil charging pore throat threshold and accumulation effectiveness of tight sandstone reservoir using the physical simulation experiments combined with NMR. J. Pet. Sci. Eng. 2021, 208, 109338. [Google Scholar] [CrossRef]
- Zhang, Y.; Zeng, J.; Dai, Z.; Viswanathan, H.; Xiao, T.; Ma, Y.; Feng, X. Experimental investigation on oil migration and accumulation in tight sandstones. J. Pet. Sci. Eng. 2018, 160, 267–275. [Google Scholar] [CrossRef]
- Zhang, Y. The Wettability in Tight Sandstone Formations and Its Effects on Oil Migration and Accumulation. Master’s Thesis, The China University of Petroleum, Beijing, China, 2019. [Google Scholar] [CrossRef]
- Meybodi, H.E.; Kharrat, R.; Araghi, M.N. Experimental studying of pore morphology and wettability effects on microscopic and macroscopic displacement efficiency of polymer flooding. J. Pet. Sci. Eng. 2011, 78, 347–363. [Google Scholar] [CrossRef]
- Sun, Y.-P.; Xin, Y.; Lyu, F.-T.; Dai, C.-L. Experimental study on the mechanism of adsorption-improved imbibition in oil-wet tight sandstone by a nonionic surfactant for enhanced oil recovery. Pet. Sci. 2021, 18, 1115–1126. [Google Scholar] [CrossRef]
- Hadia, N.J.; Ashraf, A.; Tweheyo, M.T.; Torsaeter, O. Laboratory investigation on effects of initial wettabilities on performance of low salinity waterflooding. J. Pet. Sci. Eng. 2013, 105, 18–25. [Google Scholar] [CrossRef]
- Mahani, H.; Keya, A.L.; Berg, S.; Bartels, W.-B.; Nasralla, R.; Rossen, W.R. Insights into the Mechanism of Wettability Alteration by Low-Salinity Flooding (LSF) in Carbonates. Energy Fuels 2015, 29, 1352–1367. [Google Scholar] [CrossRef]
- Akbari, R.; Antonini, C. Contact angle measurements: From existing methods to an open-source tool. Adv. Colloid Interface Sci. 2021, 294, 102470. [Google Scholar] [CrossRef]
- Xiao, M.; Yang, F.; Im, S.; Dlamini, D.S.; Jassby, D.; Mahendra, S.; Honda, R.; Hoek, E.M. Characterizing surface porosity of porous membranes via contact angle measurements. J. Membr. Sci. Lett. 2022, 2, 100022. [Google Scholar] [CrossRef]
- Peng, S.; Ren, B.; Meng, M. Quantifying the Influence of Fractures for More-Accurate Laboratory Measurement of Shale Matrix Permeability Using a Modified Gas-Expansion Method. SPE Reserv. Eval. Eng. 2019, 22, 1293–1304. [Google Scholar] [CrossRef]
- Amiri, M.; Ghiasi-Freez, J.; Golkar, B.; Hatampour, A. Improving water saturation estimation in a tight shaly sandstone reservoir using artificial neural network optimized by imperialist competitive algorithm—A case study. J. Pet. Sci. Eng. 2015, 127, 347–358. [Google Scholar] [CrossRef]
- Nordeng, S.H. The Bakken Petroleum System: An example of a continuous petroleum accumulation. NDGS Newsl. 2009, 36, 21–24. [Google Scholar]
- Zhang, Q.; Zhu, X.; Steel, R.J.; Zhong, D. Variation and mechanisms of clastic reservoir quality in the Paleogene Shahejie Formation of the Dongying Depression, Bohai Bay Basin, China. Pet. Sci. 2014, 11, 200–210. [Google Scholar] [CrossRef] [Green Version]
- Dou, L.; Hou, J.; Liu, Y.; Zhang, L.; Song, S.; Wang, X. Sedimentary infill of shallow water deltaic sand bodies controlled by small-scale syndepositional faults related paleogeomorphology: Insights from the paleogene Shahejie formation in the Dongying depression, Bohai Bay Basin, Eastern China. Mar. Pet. Geol. 2020, 118, 104420. [Google Scholar] [CrossRef]
- Liu, T. Optimization of Development Parameters for Horizontal Wells Multi-Stage Fracturing in Tight Oil Reservoir in JIYANG Depression, Bohai Bay Basin. Master’s Thesis, China University of Geosciences, Beijing, China, 2021. [Google Scholar] [CrossRef]
- Ma, L.; Zheng, H. Structural characteristics of the Central Uplift Belt of The Dongying Depression, Bohai Bay Basin. Pet. Geol. Exp. 2006, 28, 103. [Google Scholar]
- Lu, S.; Chen, G.; Wu, K.; Feng, D. Tectonic feature and evolution mechanism of central anticline belt of Dongying Depression, Bohai Bay Basin. Pet. Geol. Exp. 2013, 35, 274–279. [Google Scholar]
- Kra, K.L.; Qiu, L.; Yang, Y.; Yang, B.; Ahmed, K.S.; Camara, M.; Khan, D.; Yeli, W.; Kouame, E.M. Sedimentological and diagenetic impacts on sublacustrine fan sandy conglomerates reservoir quality: An example of the Paleogene Shahejie Formation (Es4s Member) in the Dongying Depression, Bohai Bay Basin (East China). Sediment. Geol. 2021, 427, 106047. [Google Scholar] [CrossRef]
- Zhang, X.; Zhu, X.; Lu, Z.; Lin, C.; Wang, X.; Pan, R.; Geng, M.; Xue, Y. An early Eocene subaqueous fan system in the steep slope of lacustrine rift basins, Dongying Depression, Bohai Bay Basin, China: Depositional character, evolution and geomorphology. J. Asian Earth Sci. 2019, 171, 28–45. [Google Scholar] [CrossRef]
- Yang, Y.; Li, Y. The Geochemical Characteristics and Distribution of Source Rocks of the Bozhong Sag in the Bohai Bay Basin. J. Mineral. Petrol. 2012, 32, 65–72. [Google Scholar]
- Hillier, S. Quantitative Analysis of Clay and other Minerals in Sandstones by X-Ray Powder Diffraction (XRPD). Clay Miner. Cem. Sandstones 2003, 213–251. [Google Scholar]
- Wang, D.; Li, Y.; Liu, C.; Zhan, L.; Lu, H.; Li, C.; Sun, J.; Meng, Q.; Liu, L.-L. Study of hydrate occupancy, morphology and microstructure evolution with hydrate dissociation in sediment matrices using X-ray micro-CT. Mar. Pet. Geol. 2019, 113, 104138. [Google Scholar] [CrossRef]
- Xia, Y.; Cai, J.; Perfect, E.; Wei, W.; Zhang, Q.; Meng, Q. Fractal dimension, lacunarity and succolarity analyses on CT images of reservoir rocks for permeability prediction. J. Hydrol. 2019, 579, 124198. [Google Scholar] [CrossRef]
- Liu, X.; Wang, J.; Ge, L.; Hu, F.; Li, C.; Li, X.; Yu, J.; Xu, H.; Lu, S.; Xue, Q. Pore-scale characterization of tight sandstone in Yanchang Formation Ordos Basin China using micro-CT and SEM imaging from nm- to cm-scale. Fuel 2017, 209, 254–264. [Google Scholar] [CrossRef]
- Markussen, Ø.; Dypvik, H.; Hammer, E.; Long, H.; Hammer, Ø. 3D characterization of porosity and authigenic cementation in Triassic conglomerates/arenites in the Edvard Grieg field using 3D micro-CT imaging. Mar. Pet. Geol. 2018, 99, 265–281. [Google Scholar] [CrossRef]
- Tetteh, J.T.; Barimah, R.; Korsah, P.K. Ionic Interactions at the Crude Oil–Brine–Rock Interfaces Using Different Surface Complexation Models and DLVO Theory: Application to Carbonate Wettability. ACS Omega 2022, 7, 7199–7212. [Google Scholar] [CrossRef] [PubMed]
- Zhu, W.; Ju, Y.; Zhao, M. Spontaneous Imbibition Mechanism of Flow Through Porous Media and Waterflooding in Low Permeability Fractured Sandstone Reservoir. Acta Pet. Sin. 2002, 23, 56–59. [Google Scholar]
- Wickramathilaka, S.; Howard, J.J.; Morrow, N.R.; Buckley, J. An Experimental Study of Low Salinity Waterflooding and Spontaneous Imbibition. J. Hazard Mater. 2011, 265, 89–95. [Google Scholar]
- Andersen, P.O.; Ahsan, R.; Evje, S.; Bratteli, F.; Madland, M.V.; Hiorth, A. A Model for Brine-dependent Spontaneous Imbibition Experiments with Porous Plate—(SPE-164901). In Proceedings of the 75th EAGE Conference & Exhibition incorporating SPE EUROPEC 2013. European Association of Geoscientists & Engineers, London, UK, 10–13 June 2013. [Google Scholar] [CrossRef]
- Cai, J.; You, L.; Hu, X.; Wang, J.; Peng, R. Prediction of Effective Permeability in Porous Media Based on Spontaneous Imbibition Effect. Int. J. Mod. Phys. C 2012, 23, 1250054. [Google Scholar] [CrossRef]
- Xia, Y.; Tian, Z.; Xu, S.; Wei, W.; Cai, J. Effects of microstructural and petrophysical properties on spontaneous imbibition in tight sandstone reservoirs. J. Nat. Gas Sci. Eng. 2021, 96, 104225. [Google Scholar] [CrossRef]
- Ge, H.-K.; Yang, L.; Shen, Y.-H.; Ren, K.; Meng, F.; Ji, W.-M.; Wu, S. Experimental investigation of shale imbibition capacity and the factors influencing loss of hydraulic fracturing fluids. Pet. Sci. 2015, 12, 636–650. [Google Scholar] [CrossRef] [Green Version]
- Hunt, A.; Ewing, R. Percolation Theory for Flow in Porous Media, 2nd ed.; Lecture Notes in Physics; Springer: Berlin/Heidelberg, Germany, 2014; p. 880. [Google Scholar] [CrossRef] [Green Version]
- Handy, L.L. Determination of effective capillary pressures for porous media from imbibition data. Trans. AIME 1960, 219, 75–80. [Google Scholar] [CrossRef]
- Gao, Z.; Hu, Q. Initial water saturation and imbibition fluid affect spontaneous imbibition into Barnett shale samples. J. Nat. Gas Sci. Eng. 2016, 34, 541–551. [Google Scholar] [CrossRef]
- Huang, Y. Nonlinear percolation feature in low permeability reservoir. Spec. Oil Gas Reserv. 1997, 4, 9–14. [Google Scholar]
- Qiao, J. Distribution Characteristics and Formation Mechanisms of Gas-Water Distribution in the Tight Sandstone Gas Reservoirs. Master’s Thesis, China University of Petroleum, Beijing, China, 2020. [Google Scholar] [CrossRef]
- Qiao, J.; Zhao, X.; Zeng, J.; Han, G.; Jiang, S.; Feng, S.; Feng, X. The Impacts of Nano-Micrometer Pore Structure on the Gas Migration and Accumulation in Tight Sandstone Gas Reservoirs. Energies 2019, 12, 4102. [Google Scholar] [CrossRef] [Green Version]
- Cheng, S.; Xu, L.; Zhang, D. Type curve matching of well test data for non-Darcy flow at low velocity. Pet. Explor. Dev. 1996, 23, 50–53. [Google Scholar]
- Fauziah, C.A.; Al-Yaseri, A.Z.; Beloborodov, R.; Siddiqui, M.A.Q.; Lebedev, M.; Parsons, D.; Roshan, H.; Barifcani, A.; Iglauer, S. Carbon dioxide/brine, nitrogen/brine and oil/brine wettability of smectite, illite and kaolinite at elevated pressure and temperature. Energ Fuel 2018, 33, 441–448. [Google Scholar] [CrossRef]
- Afekare, D.A.; Radonjic, M. From Mineral Surfaces and Coreflood Experiments to Reservoir Implementations: Comprehensive Review of Low-Salinity Water Flooding (LSWF). Energy Fuels 2017, 31, 13043–13062. [Google Scholar] [CrossRef]
- Kumar, K.; Dao, E.; Mohanty, K. AFM study of mineral wettability with reservoir oils. J. Colloid Interface Sci. 2005, 289, 206–217. [Google Scholar] [CrossRef]
- Tetteh, J.T.; Brady, P.V.; Ghahfarokhi, R.B. Review of low salinity waterflooding in carbonate rocks: Mechanisms, investigation techniques, and future directions. Adv. Colloid Interface Sci. 2020, 284, 102253. [Google Scholar] [CrossRef]
- Gomari, K.R.; Denoyel, R.; Hamouda, A.A. Wettability of calcite and mica modified by different long-chain fatty acids (C18 acids). J. Colloid Interface Sci. 2006, 297, 470–479. [Google Scholar] [CrossRef]
- Ulusoy, U.; Yekeler, M.; Hiçyılmaz, C. Determination of the shape, morphological and wettability properties of quartz and their correlations. Miner. Eng. 2003, 16, 951–964. [Google Scholar] [CrossRef]
- Sathish, P.; Beena, R.; Jyotsna, T. Surface and Flotation Characteristics of Spodumene:A Molecular Modeling Approach. Miner. Min. 2006. [Google Scholar]
- Li, F. Influence of clay minerals in sandstone reservoir on reservoir properties. Pet. Explor. Dev. 1980, 6, 67–79. [Google Scholar]
- Schrader, M.E.; Yariv, S. Wettability of clay minerals. J. Colloid Interface Sci. 1990, 136, 85–94. [Google Scholar] [CrossRef]
- Zhang, X.; Ge, J.; Kamali, F.; Othman, F.; Wang, Y.; Le-Hussain, F. Wettability of sandstone rocks and their mineral components during CO2 injection in aquifers: Implications for fines migration. J. Nat. Gas Sci. Eng. 2020, 73, 103050. [Google Scholar] [CrossRef]
- Yang, L.; Bing, L.X.; Kui, G.H.; Yu, L.H.; Chen, C.J.; Zhang, C.Q. The Relationship between Imbibition Characteristics and Pore Size Distribution. Sci. Technol. Eng. 2019. [Google Scholar]
- Washburn, E.W. The Dynamics of Capillary Flow. Phys. Rev. 1921, 17, 273–283. [Google Scholar] [CrossRef]
- Sukee, A.; Nunta, T.; Haruna, M.A.; Kalantariasl, A.; Tangparitkul, S. Influence of sequential changes in the crude oil-water interfacial tension on spontaneous imbibition in oil-wet sandstone. J. Pet. Sci. Eng. 2021, 210, 110032. [Google Scholar] [CrossRef]
- Habibi, A.; Binazadeh, M.; Dehghanpour, H.; Bryan, D.; Uswak, G. Advances in Understanding Wettability of Tight Oil Formations. In Spe Technical Conference & Exhibition; OnePetro: Richardson, TX, USA, 2016. [Google Scholar]
- Chaturvedi, T.; Schembre, J.; Kovscek, A. Spontaneous imbibition and wettability characteristics of Powder River Basin coal. Int. J. Coal Geol. 2009, 77, 34–42. [Google Scholar] [CrossRef]
- Xi, K.; Chao, Y.; Liu, K.; Jahren, J.; Zhu, R.; Yuan, G.; Hellevang, H. Authigenic minerals related to wettability and their impacts on oil accumulation in tight sandstone reservoirs: An example from the Lower Cretaceous Quantou Formation in the southern Songliao Basin, China. J. Asian Earth Sci. 2019, 178, 173–192. [Google Scholar] [CrossRef]
- Zha, M.; Wang, S.; Ding, X.; Feng, Q.; Xue, H.; Su, Y. Tight oil accumulation mechanisms of the Lucaogou Formation in the Jimsar Sag, NW China: Insights from pore network modeling and physical experiments. J. Southeast Asian Earth Sci. 2018, 178, 204–215. [Google Scholar] [CrossRef]
- Liu, D.; Sun, W.; Ren, D.; Zhang, Q.; Ming, H.; Chen, B. Features of Pore-throat structures and movable fluid in tight gas reservoir: A case from the 8th member of Permian Xiashihezi Formation and the 1st member of Shanxi Formation in the western area of Sulige Gasfield, Ordos Basin. Nat. Gas Geosci. 2016, 27, 2136–2146. [Google Scholar]











| Sample ID | Sample | Well | Depth (m) | Formation | Porosity (%) | Permeability (mD) |
|---|---|---|---|---|---|---|
| 1 | S127-8 | S127 | 3110.6 | Es3 | 6.244 | 0.003 |
| 2 | N35-61 | N35 | 3080.5 | Es3 | 6.15 | 0.048 |
| 3 | N116-16 | N116 | 3111.4 | Es3 | 24.46 | 32.907 |
| 4 | S127-13 | S127 | 3053.6 | Es3 | 3.014 | 0.078 |
| 5 | S112-16 | S112 | 3046.1 | Es3 | 14.91 | 0.23 |
| 6 | N105-16 | N105 | 3103.6 | Es3 | 7.111 | 0.153 |
| 7 | A5-23 | A5 | 3106.5 | Es3 | 2.062 | 0.043 |
| Density (g/cm3) at 25 °C | Viscosity (cP) at 25 °C | Asphalthene (%) | Saturated Hydrocarbon (%) | Aromatic Hydrocarbon (%) | Non-Hydrocarbon (%) |
|---|---|---|---|---|---|
| 0.8746 | 23.47 | 6.60 | 61.21 | 14.25 | 17.94 |
| Sample ID | Mineral Content(%) | ||||||||||
|---|---|---|---|---|---|---|---|---|---|---|---|
| Quartz | Feldspar | Calcite | Pyrite | Anhydrite | Clay Minerals | K1 | I/S2 | S3 | I4 | C5 | |
| 1 | 76.2 | 13.4 | 8.1 | 2.3 | 57.5 | 8.3 | 4.2 | 10.7 | 19.3 | ||
| 2 | 59.5 | 19.4 | 2.2 | 4.3 | 14.6 | 55.3 | 24.3 | 4.2 | 6.5 | 9.7 | |
| 3 | 77.6 | 17.8 | 0.2 | 4.4 | 58.6 | 10.5 | 9.2 | 6.8 | 14.9 | ||
| 4 | 57.1 | 23.1 | 5.1 | 3.5 | 11.2 | 63.6 | 17.4 | 3.6 | 7.1 | 8.3 | |
| 5 | 64.4 | 17.3 | 7.4 | 1.7 | 9.2 | 70.1 | 18.1 | 1.7 | 6.2 | 3.9 | |
| 6 | 71.1 | 16 | 2.4 | 1.7 | 8.8 | 55.1 | 9.3 | 8.8 | 6.5 | 20.3 | |
| 7 | 52.7 | 14 | 9.1 | 2.3 | 5.7 | 16.2 | 80.8 | 8.3 | 0.2 | 10.4 | 0.3 |
| Sample ID | Maximum Radius (Pore/Throat, μm) | Minimum Radius (Pore/Throat, μm) | Average Radius (Pore/Throat, μm) |
|---|---|---|---|
| 3 | 42/32 | 1/1 | 8.42/3.84 |
| 5 | 22/17 | 1/0.5 | 4.36/2.12 |
| 7 | 19/7 | 1/0.5 | 2.62/1.81 |
| Sample ID | Sample and Single Mineral | Temperature (°C) | Pressure (MPa) | Contact Angle (Average/First/Second, °) |
|---|---|---|---|---|
| 1 | S127-8 | 25 | 1.01 | 34.7/34.9/34.5 |
| 2 | N35-61 | 25 | 1.01 | 39.9/39.5/40.3 |
| 3 | N116-16 | 25 | 1.01 | 34.8/35.3/34.3 |
| 4 | S127-13 | 25 | 1.01 | 38.5/37.5/39.5 |
| 5 | S112-16 | 25 | 1.01 | 43.5/43.7/43.3 |
| 6 | N105-16 | 25 | 1.01 | 31.5/31.4/31.6 |
| 7 | A5-23 | 25 | 1.01 | 57/57.1/56.9 |
| / | quartz | 25 | 1.01 | 36.7/36.6/36.8 |
| / | feldspar | 25 | 1.01 | 45.4/45.2/45.6 |
| / | kaolinite | 25 | 1.01 | 107.8/108.1/107.5 |
| / | illite | 25 | 1.01 | 57.8/58.4/57.2 |
| / | chlorite | 25 | 1.01 | 57/56.8/57.2 |
| / | calcite | 25 | 1.01 | 105.3/105.4/105.2 |
| / | smectite | 25 | 1.01 | 84.6/84.1/85.1 |
| Sample ID | Sample | Shape | Porosity (%) | Permeability (mD) | Spontaneous Imbibition Rate |
|---|---|---|---|---|---|
| 1 | S127-8 | cube | 6.244 | 0.003 | 0.52 |
| 2 | N35-61 | cube | 6.15 | 0.048 | 0.59 |
| 3 | N116-16 | cube | 24.46 | 32.907 | 0.62 |
| 4 | S127-13 | cube | 3.014 | 0.078 | 0.52 |
| 5 | S112-16 | cube | 14.91 | 0.23 | 0.54 |
| 6 | N105-16 | cube | 7.111 | 0.153 | 0.57 |
| 7 | A5-23 | cube | 2.062 | 0.043 | 0.46 |
| Sample ID | Sample | Porosity (%) | Permeability (mD) | Kickoff Pressure Gradient (MPa·cm−1) | Critical Pressure Gradient (MPa·cm−1) |
|---|---|---|---|---|---|
| 3 | N116-16 | 24.46 | 32.907 | 0.12 | / |
| 5 | S112-16 | 14.91 | 0.23 | 0.70 | 6.50 |
| 7 | A5-23 | 2.062 | 0.043 | 0.62 | 1.27 |
| Sample ID | Sample | Porosity (%) | Permeability (mD) | Ultimate Oil Saturation (%) |
|---|---|---|---|---|
| 3 | N116-16 | 24.46 | 32.907 | 62.77 |
| 5 | S112-16 | 14.91 | 0.23 | 66.66 |
| 7 | A5-23 | 2.062 | 0.043 | 68.67 |
Publisher’s Note: MDPI stays neutral with regard to jurisdictional claims in published maps and institutional affiliations. |
© 2022 by the authors. Licensee MDPI, Basel, Switzerland. This article is an open access article distributed under the terms and conditions of the Creative Commons Attribution (CC BY) license (https://creativecommons.org/licenses/by/4.0/).
Share and Cite
Jia, K.; Zeng, J.; Wang, X.; Li, B.; Gao, X.; Wang, K. Wettability of Tight Sandstone Reservoir and Its Impacts on the Oil Migration and Accumulation: A Case Study of Shahejie Formation in Dongying Depression, Bohai Bay Basin. Energies 2022, 15, 4267. https://doi.org/10.3390/en15124267
Jia K, Zeng J, Wang X, Li B, Gao X, Wang K. Wettability of Tight Sandstone Reservoir and Its Impacts on the Oil Migration and Accumulation: A Case Study of Shahejie Formation in Dongying Depression, Bohai Bay Basin. Energies. 2022; 15(12):4267. https://doi.org/10.3390/en15124267
Chicago/Turabian StyleJia, Kunkun, Jianhui Zeng, Xin Wang, Bo Li, Xiangcheng Gao, and Kangting Wang. 2022. "Wettability of Tight Sandstone Reservoir and Its Impacts on the Oil Migration and Accumulation: A Case Study of Shahejie Formation in Dongying Depression, Bohai Bay Basin" Energies 15, no. 12: 4267. https://doi.org/10.3390/en15124267
APA StyleJia, K., Zeng, J., Wang, X., Li, B., Gao, X., & Wang, K. (2022). Wettability of Tight Sandstone Reservoir and Its Impacts on the Oil Migration and Accumulation: A Case Study of Shahejie Formation in Dongying Depression, Bohai Bay Basin. Energies, 15(12), 4267. https://doi.org/10.3390/en15124267
