Effects of n-Heptane/Methane Blended Fuel on Ignition Delay Time in Pre-Mixed Compressed Combustion
Abstract
:1. Introduction
2. Experimental Device and Method
2.1. Experimental Device
2.2. Experimental Method and Conditions
3. Numerical Analysis
4. Results and Discussion
4.1. Reaction Pathways of Blended Fuel
4.2. Chain Reactions
4.3. Production of OH and H2O2 Radicals
4.4. Analysis of Blended Fuel Reaction
4.4.1. Effect of Fuel Composition
4.4.2. Temperature and Pressure Changes in the Combustion Chamber
4.4.3. Concentration of Produced Chemical Species and Heat Production Analysis
4.4.4. Analysis of Ignition Delays by Cold and Hot Flames
4.4.5. Effects of N2 Dilution Ratio
4.4.6. Changes in Compression Ratio
4.4.7. Reactivity Analysis of Ignition Delay Time
4.4.8. Sensitivity Analysis
5. Conclusions
- (1)
- Ignition reactivity is sensitive to the compression ratio and fuel composition. Even an increase of 0.5 in the compression ratio reduced the ignition delay time by more than 20%. An increased n-heptane ratio in the fuel significantly promoted ignition, whereas an increased methane ratio greatly inhibited it.
- (2)
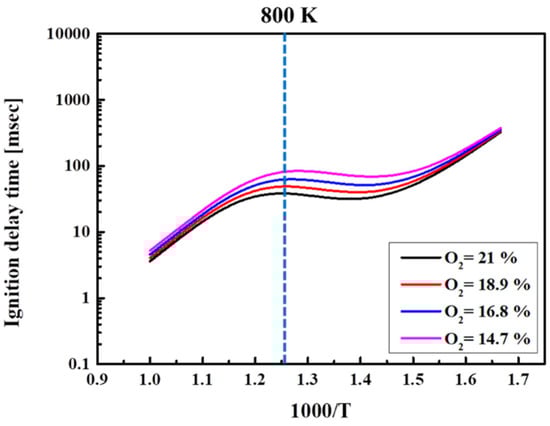
- The ignition delay time was significantly longer (by more than 30%) at 14.7% O2 when compared to that at 21% O2 because a shortage of O2 inhibited the oxidation reaction.
- (3)
- The cool flame occurred in the range of Tc = 750–850 K therefore, the main ignition time was shorter when compared to that at Tc = 900–950 K, where only hot flames would occur. Therefore, oxidizing agents are important for achieving the low-temperature oxidation of fuel that is sensitive to temperature.
- (4)
- As the ratio of n-heptane in the blended fuel increased, the combustion reaction during the multi-point compression proceeded from a cool flame to NTC to a hot flame. The phenomena of second ignition and NTC were clearly observed as the characteristics of high-carbon fuel. This confirmed that the reaction of n-heptane was more dominant in the blended fuel.
- (5)
- The combustion performance similar to that of 100% n-heptane could be achieved when the ratio of methane was kept at less than 50%, because methane inhibits oxidation at low temperatures.
Author Contributions
Funding
Institutional Review Board Statement
Informed Consent Statement
Data Availability Statement
Conflicts of Interest
References
- Zhukov, V.P.; Sechenov, V.A.; Starikovskii, A.Y. Autoignition of n-decane at high pressure. Combust. Flame 2008, 153, 130–136. [Google Scholar] [CrossRef]
- An, H.; Chun, K.; Song, S. An experimental study of the effect of hydrogen additive on a gasoline HCCI combustion. Trans. KSME 2013, 12, 824–828. [Google Scholar]
- Sun, Y.; Reitz, R. Modeling Diesel Engine NOx and Soot Reduction with Optimized Two-Stage Combustion; SAE 2006-01-0027; Engine Research Center, University of Wisconsin-Madison: Madison, WI, USA, 2006. [Google Scholar]
- Dooley, S.; Won, S.H.; Chaos, M. A jet fuel surrogate formulated by real fuel properties. Combust. Flame 2010, 157, 2333–2339. [Google Scholar] [CrossRef]
- Yao, C.; Zang, R.; Wang, J.; Han, G. Simulation investigation on the ignition characteristics of n-heptane methane fuel blends. J. Tianjin Univ. Sci. Technol. 2015, 48, 119–125. [Google Scholar]
- Aggarwal, S.K.; Awomolo, O.; Akber, K. Ignition characteristics of heptane/hydrogen and heptane-methane fuel blends at elevated pressures. Int. J. Hydrog. Energy 2011, 36, 15392–15402. [Google Scholar]
- Li, B.; Yoo, K.; Wang, Z.; Boehman, A.L.; Wang, J. Experimental and Numerical Study on Autoignition Characteristics of the Gasoline/Diesel/Ethanol and Gasoline/Diesel/PODE/Ethanol Fuels. Energy Fuels 2019, 33, 11841–11849. [Google Scholar] [CrossRef]
- Kuszewski, H. Experimental study of the autoignition properties of n-butanol–diesel fuel blends at various ambient gas temperatures. Fuel 2019, 235, 1316–1326. [Google Scholar]
- Wang, S.; Liang, Y.; Zhu, J.; Raza, M.; Li, J.; Yu, L.; Qian, Y.; Lu, X. Experimental and modeling study of the autoignition for diesel and n-alcohol blends from ethanol to n-pentanol in shock tube and rapid compression machine. Combust. Flame 2021, 227, 296–308. [Google Scholar] [CrossRef]
- Zhu, J.; Wang, S.; Raza, M.; Feng, Y.; Li, J.; Mao, Y.; Yu, L.; Qian, Y.; Lu, X. Autoignition behavior of methanol/diesel mixtures: Experiments and kinetic modeling. Combust. Flame 2021, 228, 1–12. [Google Scholar]
- Ribaucour, M.; Minetti, R.; Sochet, L.R. Autoignition of n-pentane and 1-pentene: Experimental data and kinetic modeling. Symp. Int. Combust. Proc. 1998, 27, 345–351. [Google Scholar] [CrossRef]
- Min, K.; Valco, D.J.; Oldani, A.; Kim, K.; Temme, J.; Kweon, C.B.M.; Lee, T. Autoignition of varied cetane number fuels at low temperatures. Proc. Combust. Inst. 2019, 37, 5003–5011. [Google Scholar] [CrossRef]
- Kang, K.; Shim, T.; Oh, C.; Choi, G.; Kim, D. Effects of fuel composition and exhaust gas recirculation on ignition delay characteristics of n-heptane/hydrogen blended fuel. J. Mech. Sci. Technol. 2017, 31, 1509–1516. [Google Scholar] [CrossRef]
- Kang, K.; Oh, C.; Shim, T.; Song, J.; Ryu, S.; Choi, G.; Kim, D. Effect of exhaust gas recirculation on ignition characteristics of n-heptane/ethanol blend fuels in rapid compression machine. J. Mech. Sci. Technol. 2017, 31, 3619–3625. [Google Scholar] [CrossRef]
- Malewicki, T.; Brezinsky, K. Experimental and modeling study on the pyrolysis and oxidation of n-decane and n-dodecane. Proc. Combust. Inst. 2013, 34, 361–368. [Google Scholar] [CrossRef]
- Brandes, D.H.; Frobese, M.; Mitu, M. Safety characteristics of ethanol/automotive petrol mixtures. Oil Gas Eur. Mag. 2006, 32, 199–202. [Google Scholar]
- Mitu, M.; Giurcan, V.; Razus, D.; Oancea, D. Influence of Initial Pressure and Vessel’s Geometry on Deflagration of Stoichiometric Methane–Air Mixture in Small-Scale Closed Vessels. Energy Fuels 2020, 34, 3828–3835. [Google Scholar] [CrossRef]
- Mitu, M.; Razus, D.; Schroeder, V. Laminar Burning Velocities of Hydrogen-Blended Methane–Air and Natural Gas–Air Mixtures, Calculated from the Early Stage of p(t) Records in a Spherical Vessel. Energies 2021, 14, 7556. [Google Scholar] [CrossRef]
- Lee, D.Y. Autoignition Measurements and Modeling in a Rapid Compression Machine. Ph.D. Thesis, Massachusetts Institute of Technology, Cambridge, MA, USA, 1997. [Google Scholar]
- Weber, B.W.; Kumar, K.; Zhang, Y.; Sung, C.-J. Autoignition of n-butanol at elevated pressure and low-to-intermediate temperature. Combust. Flame 2011, 158, 809–819. [Google Scholar] [CrossRef] [Green Version]
- Zhang, Y.; Huang, Z.; Wei, L.; Zhang, J.; Law, C.K. Experimental and modeling study on ignition delays of lean mixtures of methane, hydrogen, oxygen, and argon at elevated pressures. Combust. Flame 2012, 159, 918–931. [Google Scholar] [CrossRef]
- Zang, Y.; Kumar, K.; Sung, C.-J. Autoignition of blends of n-butanol and n-heptane in a rapid compression machine. In Proceedings of the 49th AIAA Aerospace Science Meeting Including the New Horizons Forum and Aerospace Exposition, Orlando, FL, USA, 4–7 January 2011; p. 92. [Google Scholar]
- CHEMKIN-PRO, Release 15083; Reaction Design: San Diego, CA, USA, 2009.
- Mehl, M.; Pitz, W.J.; Westbrook, C.K.; Curran, H.J. Kinetic modeling of gasoline surrogate components and mixture under engine conditions. Proc. Combust. Inst. 2011, 33, 193–200. [Google Scholar] [CrossRef] [Green Version]
- Tropin, D.A.; Fedorov, A.V. Physicomathematical Modeling of Detonation Suppression by Inert Particles in Methane–Oxygen and Methane–Hydrogen–Oxygen Mixtures. Combust. Explos. Shock 2014, 50, 542–546. [Google Scholar] [CrossRef]
- Cui, X. Modelling research on oxidation of CH4 & C7H16 from small to large scale of temperature at high pressures. IOP Conf. Ser. Mater. Sci. Eng. 2020, 715, 012017. [Google Scholar]
- Zhang, P.; Ji, W.; He, T.; He, X.; Wang, Z.; Yang, B.; Law, C.K. First-stage ignition delay in the negative temperature coefficient behavior: Experiment and simulation. Combust. Flame 2016, 167, 14–23. [Google Scholar] [CrossRef]
- Luong, M.B.; Yu, G.H.; Lu, T.; Chung, S.H.; Yoo, C.S. Direct numerical simulations of ignition of a lean n-heptane/air mixture with temperature and composition inhomogeneities relevant to HCCI and SCCI combustion. Combust. Flame 2015, 162, 4566–4585. [Google Scholar] [CrossRef] [Green Version]
- Karim, G.A.; Ito, K.; Abraham, M.; Jensen, L. An Examination of the Role of Formaldehyde in the Ignition Processes of a Dual Fuel Engine. SAE Int. J. Fuels Lubr. 1991, 100, 975–982. [Google Scholar]
- Thorsen, L.; Nordhjort, C.; Hashemi, H.; Pang, K.M.; Glarborg, P. aluation of a Semiglobal Approach for Modeling Methane/n-Heptane Dual-Fuel Ignition. Energy Fuels 2021, 35, 14042–14050. [Google Scholar] [CrossRef]
- Zhang, J.; Niu, S.; Zhang, Y.; Tang, C.; Jiang, X.; Hu, E.; Huang, Z. Experimental and modeling study of the auto-ignition of n-heptane/n-butanol mixture. Combust. Flame 2013, 160, 31–39. [Google Scholar] [CrossRef]
- Curran, H.J.; Gaffuri, P.; Pitz, W.J.; Westbrook, C.K. A comprehensive modeling study of n-heptane oxidation. Combust. Flame 1998, 114, 149–177. [Google Scholar] [CrossRef]
- Deng, S.; Zhao, P.; Zhu, D.; Law, C.K. NTC-affected ignition and low-temperature flames in nonpremixed DME/air counterflow. Combust. Flame 2014, 161, 1993–1997. [Google Scholar] [CrossRef]
- Wenkai, L.; Law, C.K. Theory of first-stage ignition delay in hydrocarbon NTC chemistry. Combust. Flame 2018, 188, 162–169. [Google Scholar]
- Zhao, P.; Law, C.K. The role of global and detailed kinetics in the first-stage ignition delay in NTC-affected phenomena. Combust. Flame 2013, 160, 2352–2358. [Google Scholar] [CrossRef]
- Ji, W.; Zhao, P.; Zhang, P.; Ren, Z.; He, X.; Law, C.K. On the crossover temperature and lower turnover state in the NTC regime. Combust. Flame 2017, 36, 343–353. [Google Scholar]
- Liu, W.; Qi, Y.; Zhang, R.; Wang, Z. Flame propagation and auto-ignition behavior of iso-octane across the negative temperature coefficient (NTC) region on a rapid compression machine. Combust. Flame 2022, 235, 111688. [Google Scholar] [CrossRef]
- Ratkiewicz, A.; Truong, T.N. Kinetics of the C–C bond beta scission reactions in alkyl radicals. J. Phys. Chem. A 2012, 116, 6643–6654. [Google Scholar] [CrossRef] [PubMed]
- Liang, J.; Zhang, Z.; Li, G.; Wan, Q.; Xu, L.; Fan, S. Experimental and kinetic studies of ignition processes of the methane–n-heptane mixtures. Fuel 2019, 235, 522–529. [Google Scholar] [CrossRef]
- Gong, Z.; Feng, L.; Wei, L.; Qu, W.; Li, L. Shock tube and kinetic study on ignition characteristics of lean methane/n-heptane mixtures at low and elevated pressures. Energy 2020, 197, 117242. [Google Scholar] [CrossRef]
- Wei, H.; Qi, J.; Zhou, L.; Zhao, W.; Shu, G. Ignition Characteristics of Methane/n-Heptane Fuel Blends under Engine-like Conditions. Energy Fuels 2018, 32, 6264–6277. [Google Scholar] [CrossRef]
- Li, J.; Liu, X.; Liu, H.; Ye, Y.; Wang, H.; Dong, J.; Liu, B.; Yao, M. Kinetic Study of the Ignition Process of Methane/n-Heptane Fuel Blends under High-Pressure Direct-Injection Natural Gas Engine Conditions. Energy Fuels 2020, 34, 14796–14813. [Google Scholar] [CrossRef]
- Naidja, A.; Krishna, C.R.; Butcher, T.; Mahajan, D. Cool flame partial oxidation and its role in combustion and reforming of fuels for fuel cell systems. Prog. Energy Combust. Sci. 2003, 29, 155–191. [Google Scholar] [CrossRef]
- Shi, L.; Xiao, W.; Li, M.; Lou, L.; Deng, K. Research on the effects of injection strategy on LTC combustion based on two-stage fuel injection. Energy 2017, 121, 21–31. [Google Scholar] [CrossRef]
- Putrasari, Y.; Lim, O. A Review of Gasoline Compression Ignition: A Promising Technology Potentially Fueled with Mixtures of Gasoline and Biodiesel to Meet Future Engine Efficiency and Emission Targets. Energies 2019, 12, 238. [Google Scholar] [CrossRef] [Green Version]
- Zheng, M.; Mulenga, M.C.; Reader, G.T.; Wang, M.; Ting, D.S.-K.; Tjong, J. Biodiesel engine performance and emissions in low temperature combustion. Fuel 2008, 87, 714–722. [Google Scholar] [CrossRef]
- Ogawa, H.; Li, T.; Miyamoto, N. Characteristics of low temperature and low oxygen diesel combustion with ultra-high exhaust gas recirculation. Int. J. Engine Res. 2007, 8, 365–378. [Google Scholar] [CrossRef]
- Cho, S.; Oh, K.-C.; Lee, C.B. Characteristics of low temperature combustion in single cylinder engine by high EGR rate. Trans. KSAE 2009, 17, 79–85. [Google Scholar]
















| Description | Specification |
|---|---|
| Cylinder bore | 40 mm |
| Cylinder thickness | 13 mm |
| Piston type | Creviced piston |
| Piston stroke | 100–200 mm |
| Compression ratio (CR) | 2.5–4.5 |
| Compression time | 20–30 ms |
| Initial temperature | 293 K |
| Initial pressure | 1 atm |
| Name | n-Heptane | Methane | |
|---|---|---|---|
| Molecular formula | C7H16 | CH4 | |
| Molecular weight | 100.21 | 16.042 | |
| Density | g/m3 | 0.688 | 0.664 |
| Boiling point | K | 372 | 111.55 |
| Auto-ignition temperature | K | 558 | 810 |
| Low calorific value | MJ/kg | 44.24 | 49.94 |
| RON | 0 | 130 | |
| CN | 56 | 0 | |
Publisher’s Note: MDPI stays neutral with regard to jurisdictional claims in published maps and institutional affiliations. |
© 2022 by the authors. Licensee MDPI, Basel, Switzerland. This article is an open access article distributed under the terms and conditions of the Creative Commons Attribution (CC BY) license (https://creativecommons.org/licenses/by/4.0/).
Share and Cite
Yoon, M.; Choi, M.; Kang, K.; Oh, C.; Park, Y.; Choi, G. Effects of n-Heptane/Methane Blended Fuel on Ignition Delay Time in Pre-Mixed Compressed Combustion. Energies 2022, 15, 4081. https://doi.org/10.3390/en15114081
Yoon M, Choi M, Kang K, Oh C, Park Y, Choi G. Effects of n-Heptane/Methane Blended Fuel on Ignition Delay Time in Pre-Mixed Compressed Combustion. Energies. 2022; 15(11):4081. https://doi.org/10.3390/en15114081
Chicago/Turabian StyleYoon, Myeongsu, Minsung Choi, Kijoong Kang, Chaeho Oh, Yeseul Park, and Gyungmin Choi. 2022. "Effects of n-Heptane/Methane Blended Fuel on Ignition Delay Time in Pre-Mixed Compressed Combustion" Energies 15, no. 11: 4081. https://doi.org/10.3390/en15114081
APA StyleYoon, M., Choi, M., Kang, K., Oh, C., Park, Y., & Choi, G. (2022). Effects of n-Heptane/Methane Blended Fuel on Ignition Delay Time in Pre-Mixed Compressed Combustion. Energies, 15(11), 4081. https://doi.org/10.3390/en15114081
