Next Article in Journal
Priorities for Research on Sustainable Agriculture: The Case of Poland
Next Article in Special Issue
Determination of the Most Interconnected Sections of Main Gas Pipelines Using the Maximum Clique Method
Previous Article in Journal
The Role of Pro-Innovative HR Practices and Psychological Contract in Shaping Employee Commitment and Satisfaction: A Case from the Energy Industry
Previous Article in Special Issue
Energy Consumption When Transporting Pallet Loads Using a Forklift with an Anti Slip Pad Preventing Damage
 
 
Font Type:
Arial Georgia Verdana
Font Size:
Aa Aa Aa
Line Spacing:
Column Width:
Background:
Article

Simulation Model for the Estimation of Energy Consumption of the Baggage Handling System in the Landside Area of the Airport

Department of Technical Systems Operation and Maintenance, Faculty of Mechanical Engineering, Wroclaw University of Science and Technology, 50-370 Wrocław, Poland
*
Author to whom correspondence should be addressed.
Energies 2022, 15(1), 256; https://doi.org/10.3390/en15010256
Submission received: 9 December 2021 / Revised: 28 December 2021 / Accepted: 28 December 2021 / Published: 31 December 2021

Abstract

:
The purpose of this paper was to develop a simulation model to perform a sensitivity analysis of the energy consumption of an airport baggage handling system to a change in resource allocation strategy. This is a novel approach as this aspect has not been considered until now. This aspect, in turn is very important in terms of sustainability. The paper presents the detailed structure of the model and the data on which it operates. It is universal and can be the basis for analyzing any structure of the baggage handling system in the landside of any airport. An example analysis has shown that even up to 35% benefits can be gained by using the model. Three scenarios were analyzed in the model (dedicated check-in desks scenario, common desks scenario and mixed strategy scenario). However, the model is not limited to these strategies and any resource allocation is possible. The model is useful both for planning a new system as well as optimizing an existing system during its operation.

Graphical Abstract

1. Introduction

Given the emerging trend of building systems that consider sustainability, the operation of airport terminal systems should undoubtedly be included in this issue. This is important because the airport terminals, where passengers and their luggage are checked in, generate as much as more than 75% of the airport’s electricity costs [1]. The remaining costs are generated by airside systems at the airport, which are primarily focused on direct aircraft operations.
The total energy consumption of an airport accounts for as much as 15% of the total costs incurred by airports [2]. The space for optimization is therefore very wide in this area. The scale at which air transport operates will allow even the smallest change to have a large impact on the global scale of air transport.
This article focuses on enabling the passenger handling process manager to plan resources in such a way as to reduce the energy consumption of airport landside Baggage Handling System (BHS) equipment. Passenger handling systems are ignored in this aspect due to the fact that when considering one airport as a unit, changes do not have a phenomenal effect. However, from our perspective, this approach is not accurate because, globally, there is a lot to gain.
Passenger handling systems generate energy consumption at every stage of passenger and baggage handling. The BHS of large airport hubs is like the structure of a large warehouse system of distribution companies. The system includes but is not limited to IT systems, baggage screening systems, baggage transportation systems in the form of conveyor belts, airport tugs, etc.
This article will cover the conveyor belt system in the landside terminal that is used to collect baggage from the passenger and deliver it to the airside sorting facility. In this case, even small local airports have up to dozens of check-in desks. At airport hubs, the number of check-in desks is even in the hundreds. So, it is a large system that needs to get the baggage to the sorting facility efficiently and additionally with energy savings.
Since the purpose of the paper is to extend the analysis capability of BHS to energy consumption and the solution of the objective comes down to the use of computer simulation, the further structure of the paper is as follows. Section 2 indicates a research gap that will be filled by the model presented in Section 3. Section 4 presents the validation of the model using a selected real system as an example and discusses the results obtained. Section 5 presents the conclusion of the paper.

2. State of the Art

The issue of energy consumption by airports has already been noted in the scientific literature. Many research papers have been published on this subject. A very comprehensive literature review on this topic was published by Ortega and Manana [1] in 2016. This literature review covers the years 1991 to 2016. When additional recent publications from this topic are considered, conclusions can be drawn as below.
There is no work in the scientific literature on reducing the energy consumption of BHS at airports. Moreover, very few works on this topic can be found in the scientific literature. The authors’ main interest is in the macroscopic approach, in which the whole terminal in general as a unit is considered. Then, completely different systems that are independent of the intensity of passenger service are considered.
The research papers relate to entire airport terminal buildings. Consequently, they mainly focused on HVAC (heating, ventilation, air conditioning) systems. For example, a thermal simulation for airports in Greece was performed by [3] and in China by [4]. This simulation predicted up to 35% of the potential gains.
Some of these works deal with studies focused on selected issues. Ma et al. [5] established a relationship between indoor airflow and interior space to improve indoor comfort. Parker et al. [6] reduced carbon emissions by improving the slope of a glazed roof at a selected airport. Gowresuunker et al. [7] analyzed the effectiveness of displacement ventilation for an airport terminal.
The selected articles are aimed at predicting the energy consumption of airport terminals. In this case, Chen [8] used an unbiased Markov model. Huang et al. [9], on the other hand, relied on neural networks. Fan et al. [10] built a model based on probability density functions.
There are four papers in the literature that relate their topics to terminal operations. However, three of them are not directly related to the analysis of energy consumption of operating systems. Mambo et al. [11] noted that the indoor environment could be dynamically controlled depending on flight schedules. This can provide up to 25% benefit. In [12,13], the possibility of dynamically managing thermal comfort and lighting for different terminal spaces was similarly noted. So far, only Kierzkowski et al. [14] have analyzed whether energy consumption can be reduced in a passenger handling system. In paper [14], however, the analysis examined the security control system instead of check-in. The gains they made there can be added up with the achievements of this article and, in sum, when all passenger handling systems are optimally managed, a lot can be achieved.
To summarize this part of the review, it can be concluded that a current research gap in the literature is the lack of consideration of energy consumption in BHS. So far, only other aspects have been considered.
Much work is dedicated to building tools for designing BHS [15,16,17]. Simulation models are mainly used. On the other hand, articles have been developed on the day-to-day management of the system. These are aimed at balancing lanes in terms of performance through the routing of baggage [18,19,20].
The literature also includes articles on the allocation of check-in desks for a given flight schedule. The paper [21] proposed to manage the check-in system to balance operational costs and queuing time. The authors clearly indicated that process optimization can only be done through dynamic process management. In [22], a knowledge-based simulation system was proposed to predict resource requirements at an international airport used by the check-in desk allocation system. The authors considered the minimization of resource utilization while satisfying the conditions set by the level of service. In addition, in work [23], the same assumptions were made as in previous works. The level of service while minimizing the operational cost was taken into account. While factors related to service punctuality have been considered, which is important when loading aircraft during boarding [24,25], there is no attempt to optimize the process in terms of reducing energy consumption.
This article fills a research gap. The research is directed towards the development of a model that will allow, through sensitivity analysis, the estimation of energy consumption.

3. Methodology

In this section, the concept and structure of the proposed simulation model will be presented. The proposed model is limited for use at conventional service desks where service is performed by an airport employee. In the future, the model will be expanded to include functionality related to self-service kiosks and drop-off desks.
The model is focused on energy consumption estimation. The user, by entering the inputs in different configurations, can check their effect on the total energy consumption. For this purpose, three input variables are entered by the user. The first one concerns the structure of the technical system. By changing this parameter, it is possible to use the model also by BHS system designers. The user also enters the operating schedule of the check-in counters and the flight schedule. By editing these parameters, it is possible to use the model for operational work. The concept of the model is shown in Figure 1.
In the following subsections, the model concept will be described in detail.

3.1. Baggage Handling System Structure

The user of the simulation model must define the structure of the system, located in the airport landside, according to the adopted notation. The basic element of the system is the conveyor bulk lane. The conveyor bulk lane receives baggage from the check-in counters and transports it to the baggage sorting area in the airside. The bulk line is fed with baggage through check-in counters, which are equipped with system entry conveyors. Thus, the set of BHS system elements consists of a set of bulk conveyors L and a set of check-in conveyors C (Equation (1)).
BHS = {L, C}
An airport BHS may consist of several check-in areas. The BHS then consists of several bulk lanes. Thus, the collection lanes l1 to ln belong successively to the set L (Equation (2)).
L = {l1, …, ln}
The simulation model creates a conveyor network based on a set of individual conveyors that are part of bulk lanes (Equation (3)). It is assumed that a given lane x is equipped with subsequent conveyors from 1 to n, whose length is determined by the parameter y.
lx = {lx1y(lx1), …, lxny(lxn)}
To feed the bulk lanes in the simulation model, a detailed set of check-in station conveyors from c1 to cn (Equation (4)) must be defined. Each conveyor feeds baggage to the indicated collection line lx at the entry point, specified as parameter z. The length of the conveyor is specified by the parameter y.
C = {c1zlxy(c1), …, cnzlxy(cn)}
An example of a translation of a system part to the assumed notation is shown in Figure 2. The system consists of one bulk lane l1. This lane consists of 4 modules (conveyors l11 to l14). There are 2 check-in desks in the system which feed the bulk lane: C1 at point 0.5 m and C2 at point 3.5 m. The length of the conveyors for the check-in desks is 2 m. The bulk lane consists of conveyor lengths of 1.0, 2.0, 1.0, 2.0 m sequentially.

3.2. Flight Timetable and Resource Allocation

The simulation model needs several inputs to perform the experiment. It is necessary to indicate the flight timetable to be handled and the technical resources that are dedicated to handling the indicated flights. The data are inserted according to the notation (Equation (5)).
FNO | TYPE | DEPARTURE | PAX | CNO | TIME |
The FNO parameter indicates the flight number. It is a text type variable to distinguish between individual flights. The TYPE parameter is necessary to specify the baggage input stream to the BHS. Passengers report to the system in a random manner. The reporting times vary depending on the nature of the carrier. The TYPE parameter takes a value of 1 for low-cost carriers. A value of 2 specifies flag carriers and a value of 3 specifies charter carriers. The DEPARTURE parameter indicates the time of departure of the aircraft. In the model, it is entered in the unit of minutes from the starting point of the simulation experiment. Next, the number of passengers to be served at check-in has to be specified (parameter PAX). The CNO parameter is to indicate the desks at which a passenger can be served. The TIME parameter indicates the check-in opening time for the given flight. The number of minutes before the departure of the aircraft must be specified.
Different handling strategies can be analyzed. The dedicated strategy is that each flight has its own check-in desks to serve passengers. In this case, the CNO parameter should be given for each flight in the form of listed handling stations separated by a comma, e.g., 1, 2, 3. The TIME parameter should also indicate when the indicated desks are reserved for performing activities. When the same service desks are indicated for different flights and the time slots overlap, this indicates a mixed strategy. A mixed strategy can be used when different flights of the same carrier are served at the same service desks. The common strategy, in turn, allows for casual passenger service. Any passenger can use any open service station. In this case, active stations should be specified in the CNO parameter, but the TIME parameter should be set to 0.

3.3. Simulation Model

In this section, the basic principles of the simulation model will be discussed. The simulation model was performed in the FlexSim (Flexsim Software Products, Inc., ver. 2019, Orem, UT, USA) software. This program is dedicated to modeling logistics processes and uses principles based on Petri nets. It is therefore a useful tool for modeling the check-in process. In the simulation model, several algorithms are executed in parallel in a looped way. The simulation experiment is conducted based on discrete events.
In the first step, the algorithm determines the passenger report events for the check-in system. A simplified algorithm is shown in Figure 3, where for each passenger j = 1 to paxi of all flights i = 1 to n, the check-in report event is determined depending on the TYPE parameter. For this purpose, the probability distributions of the reports according to Table 1 are used. Times when passengers arrived at check-in before the scheduled departure time were collected during the real system operation. Probability density functions were then estimated using the ExpertFit module in FlexSim.
On a passenger generation event, the single passenger handling algorithm is run. A simplified passenger handling algorithm is shown in Figure 4. The time slot when the passenger can be checked-in is checked. If it is possible, the passenger is queued to the desks dedicated to his flight. As soon as one of the stands is available and the passenger is first in the queue, its service begins. The processing time depends on the TYPE parameter. It is generated according to the probability distribution shown in Table 2. Passenger service durations at check-in were collected during real system operation. Probability density functions were then estimated using the ExpertFit module in FlexSim, according to the adopted division for low cost, traditional, charter carrier groups. After the passenger is processed, the baggage is generated in the BHS system.
The luggage was assumed to move through the system at 0.5 m/s. Baggage length was taken as 0.75 m, as the average value of available suitcases for checked baggage. Priority at intersections is given to baggage located in the bulk lane. Baggage moves in order from the check-in conveyor to the bulk lane. The direction along the bulk lane is determined by the ascending index in the name of the successive conveyors that compose the bulk lane. When the baggage reaches the end of the bulk lane, it is removed from the system. The output variable is counted over time during the experiment.

3.4. Output Data

The simulation model distinguishes two states S in which bulk lane conveyors can dwell. A processing state S = 1 means that baggage is moving through the conveyor. Idle state S = 0 means that the conveyor is not moving baggage, or no baggage is on the conveyor. For check-in desks, a division of 3 states is made. The division is based on the fact that the desk is also equipped with additional devices, such as a computer, scale, printer. State S = −1 means that the desk is switched off and does not serve any flights. State S = 0 means that the stand is switched on but does not move any baggage, e.g., during passenger service. S = 1 means that baggage is being moved to the bulk lane.
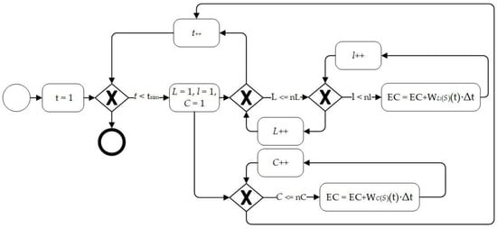
There is an algorithm integrated into the system (Figure 5) which, in discrete form (a loop executed by default every ∆t = 1 s), checks the current state S in which each conveyor is operating.
The algorithm, for each bulk lane from L = 1 to nL and there for each conveyor l = 1 to nl at time t, depending on the state S, multiplies the current consumption WLl(S)(t) times ∆t. The same applies to conveyors for check-in desks. The algorithm, for each conveyor C = 1 to nC at time t, depending on the state S, multiplies the current consumption WC(S)(t) times ∆t.
The algorithm is executed until the end of the simulation experiment (tsim variable), where the last baggage is transported to the end of the bulk lane.
The algorithm in each iteration of the loop adds the current energy consumption of each conveyor to the final energy consumption (EC) result. The total energy consumption of the system follows from Equation (6).
EC = L = 1 nL l = 1 nl t = 1 t sim W L l ( S ) · Δ t + C = 1 nC t = 1 t sim W C ( S ) · Δ t

4. Results and Discussion

The validation of the simulation model has been carried out for BHS system of Wroclaw Airport (EPWR). This system consists of 2 bulk lanes. Each bulk lane is fed by 10 check-in desks. Figure 6 shows the system structure in the notation translated as required by the simulation model.
The flight timetable and service schedule were selected to test 3 different passenger handling strategies. Scenario 1 assumes a dedicated service method. Each flight will be assigned to check-in at dedicated service desks. Scenario 2 assumes that the desks are dedicated to a particular carrier. Scenario 3 assumes that passengers can check-in at any but active service desks. A part of the actual flight schedule was implemented in the model. The schedule includes two morning rush hour flights from Wrocław Airport. A summary of the scenarios is presented in Table 3.
Through experimental studies, the power consumption of the various components of the system was determined. A summary is shown in Table 4. The power consumption is shown with division into particular states of technical objects exploitation. Each check-in desk takes into account additional power consumption of service systems, such as computers, weight scales, printers.
Given the data in Table 1, Table 2, Table 3 and Table 4, the simulation model was verified. Energy consumption was measured for the actual system operation and the simulation model. A t-test was conducted for a significance level of a = 0.05. The T-Value is equal to 0.01 which is less than the critical value of 2.02, so there is no significant evidence of sample difference and the model can be considered as valid.
In the analyzed scenarios 1, 2, 3, it was assumed that the number of service stands that will be available for passengers must ensure their service. Therefore, there is no situation in which passengers will not be served. According to the model presented in Section 3, simulation experiments were conducted. The energy consumption results (as a function of time) for the three scenarios are presented in Figure 7.
It should be noted that the highest energy consumption is for Scenario 1. This situation occurs because, on the one hand, there is a large number of open dedicated service desks and there are time periods in which there are no passengers waiting for service. Consequently, this situation causes an increase in energy consumption associated with maintaining the desk in operational readiness. The lowest power consumption is for Scenario 3, in which the counters operate on a common check-in principle. Passengers report to the desk with the shortest queue, which causes an appropriate load on all desks. The use of Scenario 2 (desks dedicated to airlines) reduces energy consumption compared to Scenario 1 by about 10%. The use of Scenario 3 gives a reduction in energy consumption of about 35%.
Figure 8 presents the dependence of average energy consumption in relation to the number of serviced passengers. It should be noted that the average energy consumption as a function of the number of passengers in Scenario 3 is higher in the initial phase of service when the number of passengers is low and the number of desks is higher (due to the common check-in policy). However, already for more than 500 passengers, the value of average energy consumption per passenger is the lowest in the case of scenario 3. Additionally, it should be noted that in the case of a high load of desks, the value of average energy consumption per passenger decreases to the level of 2 Wh. Temporary increases in the average level of electricity consumption in relation to the number of passengers served, with the value of about 1150 passengers, are due to the lack of load on the stands (no passenger reports). This finding is important. It shows that energy consumption is also affected by proper planning of check-in time slots to match passenger demand. Improper scheduling management affects the occurrence of idle states of stands.

5. Conclusions

The issue of managing the baggage handling system at an airport from the point of view of energy consumption has not yet been addressed in the literature. This paper presents a simulation model which, based on the input data (determined experimentally), allows to design or manage a part of the passenger handling process at an airport terminal.
With respect to other works in the literature, this simulation model is a good complement to existing works. So far, it was known that system performance is important and, now, it will be possible to look additionally at energy consumption. Multi-criteria analysis will be feasible to ensure the sustainability of air transport.
This article shows how the energy consumption of a landside check-in system can be determined. It can be used as an extension of existing models in the literature or as a module of a new simulation model. This will make it possible to extend current analyses with alternative ones, e.g., to see if flight schedules can be optimized, etc. This will be explored in future research papers.
The validation of the model on the real system (EPWR) indicated that for the real system, it is important how to allocate technical resources in terms of energy consumption. This therefore confirms the usefulness of the developed simulation model. The differences between the best and the worst strategy were as high as 35%. The simulation model allows the development of any resource allocation strategy. This is important because, in addition, an analysis can be conducted on which flights should be allocated to dedicated resources to further reduce energy consumption. In the case study presented here, it is clear that the best strategy is common check-in. However, it is not possible to implement this for all carriers because carriers have their own requirements that the airport must meet. However, the analysis conducted showed that a mixed strategy for carriers also allows for good benefits over the worst—a dedicated strategy. Here, however, proper dynamic planning of resource allocation is necessary. Therefore, further work will be related to this issue and the model will be developed to automate the resource allocation process for airport check-in. In this aspect, only the transfer time of passengers from check-in to security control has been considered in the literature. The further development of the model will fill another gap and allow a multi-criteria analysis of this process.

Author Contributions

Conceptualization, A.K. and T.K.; methodology, A.K. and T.K.; software, A.K. and T.K.; validation, A.K. and T.K.; formal analysis, A.K. and T.K.; investigation, A.K. and T.K.; resources, A.K. and T.K.; data curation, A.K. and T.K.; writing—original draft preparation, A.K. and T.K.; writing—review and editing, A.K. and T.K.; visualization, A.K. and T.K. All authors have read and agreed to the published version of the manuscript.

Funding

This research received no external funding.

Institutional Review Board Statement

Not applicable.

Informed Consent Statement

Not applicable.

Data Availability Statement

Data are contained within the article.

Conflicts of Interest

The authors declare no conflict of interest.

References

  1. Ortega Alba, S.; Manana, M. Energy Research in Airports: A Review. Energies 2016, 9, 349. [Google Scholar] [CrossRef] [Green Version]
  2. Airports. Available online: https://snopud.bizenergyadvisor.com/article/airports (accessed on 7 December 2021).
  3. Balaras, C.A.; Dascalaki, E.; Gaglia, A.; Droutsa, K. Energy conservation potential, HVAC installations and operational issues in Hellenic airports. Energy Build. 2003, 35, 1105–1120. [Google Scholar] [CrossRef]
  4. Liu, J.; Yu, N.; Lei, B.; Rong, X.; Yang, L. Research on indoor environment for the terminal 1 of Chengdu Shuangliu international airport. In Proceedings of the 11th International IBPSA Conference, Glasgow, UK, 27–30 July 2009. [Google Scholar]
  5. Ma, J.S.; Liu, X.T.; Zhuang, D.M.; Wang, S.G. CFD-based design of the natural ventilation system of the traffic center of T3 Beijing International Airport. In Advanced Materials Research; Trans Tech Publications Ltd.: Stafa-Zurich, Switzerland, 2011; pp. 291–294. [Google Scholar]
  6. Parker, J.; Cropper, P.; Shao, L. Using building simulation to evaluate low carbon refurbishment options for airport buildings. In Proceedings of the 12th Conference of International Building Performance Simulation Association, Sydney, Australia, 14–16 November 2011. [Google Scholar]
  7. Gowreesunker, B.L.; Tassou, S.A.; Kolokotroni, M. Coupled TRNSYS-CFD simulations evaluating the performance of PCM plate heat exchangers in an airport terminal building displacement conditioning system. Build. Environ. 2013, 65, 32–145. [Google Scholar] [CrossRef] [Green Version]
  8. Chen, J.; Xie, K. A prediction model based on unbiased grey Markov for airport energy consumption prediction. In Proceedings of the 2013 Chinese Automation Congress (CAC), Changsha, China, 7–8 November 2013. [Google Scholar]
  9. Huang, H.; Chen, L. A new model predictive control scheme for energy and cost saving in commercial buildings: An airport terminal building study. Build. Environ. 2015, 89, 203–216. [Google Scholar] [CrossRef]
  10. Fan, B.; Jin, X.; Du, Z. Optimal control strategies for multi-chiller system based on probability density distribution of cooling load ratio. Energy Build. 2011, 43, 2813–2821. [Google Scholar] [CrossRef]
  11. Mambo, A.D.; Efthekhari, M.; Thomas, S.; Steffen, T. Evaluation of Indoor Environment System Performance for Airport Buildings. Int. J. Sustain. Green Energy 2015, 4, 73–84. [Google Scholar]
  12. Mambo, A.D.; Efthekhari, M.; Thomas, S.; Steffen, T. Fuzzy supervisory control strategies to minimize energy use of airport terminal buildings. In Proceedings of the 18th International Conference on Automation and Computing (ICAC), Loughborough, UK, 7–8 September 2012. [Google Scholar]
  13. Mambo, A.D.; Efthekhari, M.; Thomas, S.; Steffen, T. Designing an occupancy flow-based controller for airport terminals. Build. Serv. Eng. Res. Technol. 2015, 36, 51–66. [Google Scholar] [CrossRef] [Green Version]
  14. Kierzkowski, A.; Kisiel, T.; Uchroński, P. Simulation Model of Airport Security Lanes with Power Consumption Estimation. Energies 2021, 14, 6725. [Google Scholar] [CrossRef]
  15. Cavada, J.P.; Cortes, C.E.; Rey, P.A. A simulation approach to modelling baggage handling systems at an international airport. Simul. Model. Pract. Theory 2017, 75, 146–164. [Google Scholar] [CrossRef]
  16. Rezwan, A.A.; Hasan, S.; Prachurja, P.; Anwar, M. Design and Construction of an Automated Baggage Sorting System. In Proceedings of the 7th International Conference on Electrical and Computer Engineering, Dhaka, Bangladesh, 20–22 December 2012. [Google Scholar]
  17. Aguilera-Venegas, G.; Galan-Garcia, J.L.; Merida-Casermeiro, E.; Rodriguez-Cielos, P. ArticlesAn accelerated-time simulation of baggage traffic inan airport terminal. Math. Comput. Simul. 2014, 104, 58–66. [Google Scholar] [CrossRef]
  18. Le, V.T.; Creighton, D.; Nahavandi, S. Simulation-based Input Loading Condition Optimisation of Airport Baggage Handling Systems. In Proceedings of the 2007 IEEE Intelligent Transportation Systems Conference, Seattle, WA, USA, 30 September–3 October 2007. [Google Scholar]
  19. Tarau, A.N.; De Schutter, B.; Hellendoorn, H. Hierarchical Route Choice Control for Baggage Handling Systems. In Proceedings of the 12th International IEEE Conference on Intelligent Transportation Systems, St. Louis, MO, USA, 3–7 October 2009. [Google Scholar]
  20. Zeinaly, Y.; De Schutter, B.; Hellendoorn, H. An Integrated Model Predictive Scheme for Baggage-Handling Systems: Routing, Line Balancing, and Empty-Cart Management. IEEE Trans. Control Syst. Technol. 2015, 23, 1536–1545. [Google Scholar] [CrossRef]
  21. Bruno, G.; Genovese, A. A mathematical model for the optimization of the airport check-n service problem. Electron. Notes Discret. Math. 2010, 36, 703–710. [Google Scholar] [CrossRef]
  22. Chun, H.W.; Mak, R.W.T. Intelligent resource simulation for an airport check-in counter allocation system. IEEE Trans. Syst. Man Cybern. 1999, 29, 325–335. [Google Scholar] [CrossRef] [Green Version]
  23. Van Dijk, M.; Van Der Sluis, E. Check-in computation and optimization by simulation and IP in combination. Eur. J. Oper. Res. 2006, 171, 1152–1168. [Google Scholar] [CrossRef]
  24. Schultz, M. Implementation and application of a stochastic aircraft boarding model. Transp. Res. Part C 2017, 90, 334–349. [Google Scholar] [CrossRef]
  25. Skorupski, J.; Grabarek, I.; Kwasiborska, A.; Czyżo, S. Assessing the suitability of airport ground handling agents. J. Air Transp. Manag. 2020, 83, 1–10. [Google Scholar] [CrossRef]
Figure 1. Simulation model structure.
Figure 1. Simulation model structure.
Energies 15 00256 g001
Figure 2. Example of system structure translation: (a) part of the modeled system, (b) system structure in model notation.
Figure 2. Example of system structure translation: (a) part of the modeled system, (b) system structure in model notation.
Energies 15 00256 g002
Figure 3. Passenger generation algorithm.
Figure 3. Passenger generation algorithm.
Energies 15 00256 g003
Figure 4. Passenger handling algorithm.
Figure 4. Passenger handling algorithm.
Energies 15 00256 g004
Figure 5. Algorithm for calculating energy consumption.
Figure 5. Algorithm for calculating energy consumption.
Energies 15 00256 g005
Figure 6. BHS system structure.
Figure 6. BHS system structure.
Energies 15 00256 g006
Figure 7. Energy consumption during the simulation experiment.
Figure 7. Energy consumption during the simulation experiment.
Energies 15 00256 g007
Figure 8. Energy consumption as a function of the number of passengers served.
Figure 8. Energy consumption as a function of the number of passengers served.
Energies 15 00256 g008
Table 1. Probability density function of reporting time before departure depending on the TYPE parameter.
Table 1. Probability density function of reporting time before departure depending on the TYPE parameter.
Type ParameterProbability Density Function
1 f ( x ) = 0.04 x 104.8 3 exp ( x 104.8 4 )
2 f ( x ) = 0.04 x 92.9 2.8 exp ( x 92.9 3.8 )
3 f ( x ) = 0.06 x 131.2 7 exp ( x 131.2 8 )
Table 2. Probability density function of passenger service time depending on the TYPE parameter.
Table 2. Probability density function of passenger service time depending on the TYPE parameter.
Type ParameterProbability Density Function
1 f ( x ) = 0.83 x 1.57 0.3 exp ( x 1.57 1.3 )
2 f ( x ) = exp ( 0.5 ( ln ( x ) 0.07 0.68 ) 2 ) / 1.7 x
3 f ( x ) = exp ( 0.5 ( ln ( x ) 0.22 0.39 ) 2 ) / 0.98 x
Table 3. Input data summary.
Table 3. Input data summary.
ScenarioFlight Timetable and Resources Schedule
scenario 1LO3850 | 2 | 370 | 80 |10, 11 | 120
LH1635 | 2 | 375 | 80 | 12, 13 | 120
LH1375 | 2 | 385 | 80 | 14, 15 | 120
FR8307 | 1 | 390 | 160 | 17, 18 | 120
FR8406 | 1 | 395 | 160 | 19, 20 | 120
W61801 | 1 | 535 | 160 | 3, 4 | 120
LO3852 | 2 | 535 | 80 | 10, 11 | 120
FR1647 | 1 | 585 | 160 | 17, 18 | 120
ENT5107 | 3 | 585 | 160 | 6, 7 | 120
FR2026 | 1 | 590 | 160 | 19, 20 | 120
W61871 | 1 | 610 | 160 | 5, 6 | 120
scenario 2LO3850 | 2 | 370 | 80 |10, 11 | 120
LH1635 | 2 | 375 | 80 | 12, 13, 14 | 120
LH1375 | 2 | 385 | 80 | 12, 13, 14 | 120
FR8307 | 1 | 390 | 160 | 18, 19, 20 | 120
FR8406 | 1 | 395 | 160 | 18, 19, 20 | 120
W61801 | 1 | 535 | 160 | 3, 4 | 120
LO3852 | 2 | 535 | 80 | 10, 11 | 120
FR1647 | 1 | 585 | 160 | 18, 19, 20 | 120
ENT5107 | 3 | 585 | 160 | 6, 7 | 120
FR2026 | 1 | 590 | 160 | 18, 19, 20 | 120
W61871 | 1 | 610 | 160 | 3, 4 | 120
scenario 3LO3850 | 2 | 370 | 80 | 10, 11, 12, 13 | 0
LH1635 | 2 | 375 | 80 | 10, 11, 12, 13 | 0
LH1375 | 2 | 385 | 80 | 10, 11, 12, 13 | 0
FR8307 | 1 | 390 | 160 | 10, 11, 12, 13 | 0
FR8406 | 1 | 395 | 160 | 10, 11, 12, 13 | 0
W61801 | 1 | 535 | 160 | 10, 11, 12 | 0
LO3852 | 2 | 535 | 80 | 10, 11, 12 | 0
FR1647 | 1 | 585 | 160 | 10, 11, 12 | 0
ENT5107 | 3 | 585 | 160 | 10, 11, 12 | 0
FR2026 | 1 | 590 | 160 | 10, 11, 12 | 0
W61871 | 1 | 610 | 160 | 10, 11, 12 | 0
Table 4. Measured electrical power of system components.
Table 4. Measured electrical power of system components.
SignsStateElectrical Power [W]
W 1 ,   t o   W 20 1590
0240
−15
W 1 1 , W 1 3 , W 1 5 , W 1 7 , W 1 9 , W 2 1 , W 2 3 , W 2 5 , W 2 7 , W 2 9 1340
05
W 1 2 , W 1 3 , W 1 6 , W 1 8 , W 1 10 , W 2 2 , W 2 4 , W 2 6 , W 2 8 , W 2 10 1426
05
Publisher’s Note: MDPI stays neutral with regard to jurisdictional claims in published maps and institutional affiliations.

Share and Cite

MDPI and ACS Style

Kierzkowski, A.; Kisiel, T. Simulation Model for the Estimation of Energy Consumption of the Baggage Handling System in the Landside Area of the Airport. Energies 2022, 15, 256. https://doi.org/10.3390/en15010256

AMA Style

Kierzkowski A, Kisiel T. Simulation Model for the Estimation of Energy Consumption of the Baggage Handling System in the Landside Area of the Airport. Energies. 2022; 15(1):256. https://doi.org/10.3390/en15010256

Chicago/Turabian Style

Kierzkowski, Artur, and Tomasz Kisiel. 2022. "Simulation Model for the Estimation of Energy Consumption of the Baggage Handling System in the Landside Area of the Airport" Energies 15, no. 1: 256. https://doi.org/10.3390/en15010256

APA Style

Kierzkowski, A., & Kisiel, T. (2022). Simulation Model for the Estimation of Energy Consumption of the Baggage Handling System in the Landside Area of the Airport. Energies, 15(1), 256. https://doi.org/10.3390/en15010256

Note that from the first issue of 2016, this journal uses article numbers instead of page numbers. See further details here.

Article Metrics

Back to TopTop