Organic Rankine Cycle Optimization Performance Analysis Based on Super-Heater Pressure: Comparison of Working Fluids
Abstract
1. Introduction
2. Organic Rankine Thermodynamic Cycle Under Analysis
- Process 1–2: The working fluid increases its temperature as it flows at constant pressure through the regenerator;
- Process 2–3: The working fluid increases its temperature until it is a saturated liquid as it flows at constant pressure through the economizer;
- Process 3–4: The working fluid keeps its temperature and pressure while changing from saturated liquid to saturated steam through the evaporator;
- Process 4–5: The working fluid increases its temperature as it flows at constant pressure through the super-heater;
- Process 5–6: The working fluid expands through the turbine, reducing both temperature and pressure;
- Process 6–8: The working fluid decreases its temperature as it flows at constant pressure through the regenerator;
- Process 8–9: The working fluid transfers heat as it flows through the condenser to the saturated liquid;
- Process 9–1: The working fluid compresses in the pump, increasing both temperature and pressure to the liquid region.
- Note that some states are saturated (liquid or vapor). In fact, states 4 and 7 are saturated vapor (), whereas 3 and 9 are saturated liquid (), as previously presented.
- To calculate the temperatures of the different states, all of them are determined from other parameters, but for state 2, where it considers the effectiveness of the regenerator ():It is important to bear in mind that must be in the liquid state, not being allowed a phase change. Temperature for state 5 () is assumed to be known, and it is equal to the critical temperature () of the working fluid according to [31]. These authors found out that the global exergy efficiency is strongly linked to the critical temperature of the working fluid. The temperature of the regenerator () is considered as 2 C over the saturated temperature at .
- The entropies are obtained knowing the pressure and enthalpy of each state.
3. Methodology
- The pressure of the super-heater () stays in between the pressure of the condenser and 80% of the critical pressure of the working fluid [34]. A homogeneous distribution of 100 values of are considered to determine the optimum value for maximum performance ;
- The output temperature of the super-heater () is considered to be equal to the critical temperature of the working fluid, as explained in Section 2;
- In case the state 6 is inside the saturation curve, its quality must be over 90% [42] .
| Name | (kPa) | (kPa) | (K) | GWP (100 Years) | ODP |
|---|---|---|---|---|---|
| R11 | 4394.00 | 3515.20 | 471.06 | 4000 | 1 |
| R114 | 3257.00 | 2605.60 | 418.83 | 3.9 | 0 |
| R123 | 3672.00 | 2937.60 | 456.83 | 77 | 0.02 |
| R1234YF | 3382.20 | 2705.76 | 367.85 | 4 | 0 |
| R1234ZE | 3634.94 | 2907.95 | 382.52 | 6 | 0 |
| R134A | 4059.28 | 3247.42 | 374.21 | 1300 | 0 |
| R141B | 4212.00 | 3369.60 | 477.50 | 630 | 0.11 |
| R236EA | 3420.00 | 2736.00 | 412.44 | 710 | 0 |
| R245FA | 3651.00 | 2920.80 | 427.01 | 950 | 0 |
| R507A | 3704.90 | 2963.92 | 343.77 | 3300 | 0 |
| Ammonia | 11,333.00 | 9066.40 | 405.40 | 0 | 0 |
| Water | 22,064.00 | 17,651.20 | 647.10 | 0 | 0 |
- To determine the maximum performance of the fluid, the initial performance is set as %. The performance is compared to the previous maximum performance for each iteration, and it is increased depending on such comparison.
- The maximum super-heater pressure () is estimated from (refer to Table 2). The minimum super-heater pressure will be equal to the condenser pressure , which is calculated from the temperature of 293.15 K and knowing it is in saturated state. From such two pressures ( and ), 100 values of pressure are uniformly distributed. These 100 values are the super-heater pressures () that will be tested to determine the maximum cycle performance.
- The different variables of the 9 states of the ORC depicted in Figure 1 are determined (p, T, h, s and x).
- They are tested if the quality of state 6 () is over 90%:
- (a)
- If the quality is over 90% (), the algorithm proceeds to the next step.
- (b)
- If the quality is below 90% (), the cycle cannot take place due to the erosion of the turbine blades [42]. Consequently, the cycle performance is set to 0 () and the algorithm goes to the last step.
- The performance of the cycle () is calculated from Equation (11) and it is compared with the maximum performance:
- (a)
- If the performance of the cycle exceeds the maximum performance (), the value of is updated () and the super-heater pressure () is saved. After that, the algorithm proceeds.
- (b)
- If the performance of the cycle does not exceed the maximum performance (), the algorithm goes to the last step.
- The following () super-heater pressure is determined, repeating the algorithm from step 3. It finishes when the 100 values of have been considered to determine the optimum performance ().
4. Results
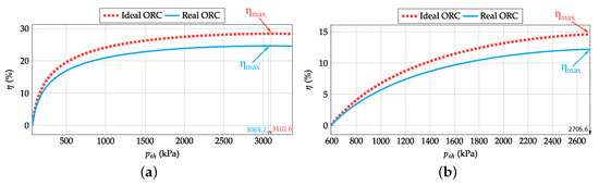
- Group 1. These fluids start to carry out the ORC even if the super-heater pressure is kPa. They quickly increase the performance of the ORC. In fact, they have performances around 20% for kPa. The maximum performances are in between 23 and 25% for kPa. R141B, R11 and R123 are included in this group. Moreover, the output temperature of the super-heater () for these working fluids is in the range K. Among the three working fluids included in Group 1, the authors recommend the use of R123 due to the lower values of GWP and ODP.
- Group 2. These working fluids start to carry out the ORC for super-heater pressures between kPa. Their performances do not increase as quickly as for Group 1, having performances around 15% for kPa. The maximum performances are in between 15 and 20% for kPa. This group includes R245FA, R114 and R236EA, which have an output temperature of the super-heater () in between K. Among the three working fluids included in Group 2, the authors recommend the use of R114 due to the lower values of GWP and ODP.
- Group 3. They need a super-heater pressure between kPa to start to carry out the thermodynamic cycle. The performance increases slower than in the two previous groups, with values between 5 and 10% for kPa. Moreover, their maximum performances are in between 10 and 15% for kPa. R1234ZE, R134A and R1234YF are included in this group. In this case, the output temperature of the super-heater () is in the range K. Among the three working fluids included in Group 3, the authors recommend the use of R1234ZE and/or R1234YF due to the lower values of GWP and ODP. This has previously been proposed in several works [55,56,57].
- Group 4. They need a super-heater pressure over kPa to start to carry out the thermodynamic cycle. The performance increases very slowly, with a maximum value under 10% for kPa. This group includes R507A, which has an output super-heater temperature of K.
5. Conclusions
Author Contributions
Funding
Institutional Review Board Statement
Informed Consent Statement
Conflicts of Interest
Abbreviations
| Effectiveness | |
| Efficiency, performance | |
| Condenser (subscript) | |
| Critical (subscript) | |
| Economizer (subscript) | |
| Evaporator (subscript) | |
| Minimum (subscript) | |
| Maximum (subscript) | |
| p | Pump (subscript) |
| Regenerator (subscript) | |
| Super-heater (subscript) | |
| t | Turbine (subscript) |
| h | Enthalpy |
| p | Pressure |
| s | Entropy |
| v | Volume |
| x | Quality |
| Q | Thermal power |
| T | Temperature |
| W | Work |
| GWP | Global warming potential |
| ICE | Internal combustion engine |
| ODP | Ozone depleting potential |
| ORC | Organic Rankine thermodynamic cycle |
| RC | Rankine thermodynamic cycle |
| RES | Renewable energy source |
| WHR | Waste heat recovery |
References
- Jabir, H.J.; Teh, J.; Ishak, D.; Abunima, H. Impacts of Demand-Side Management on Electrical Power Systems: A Review. Energies 2018, 11, 1050. [Google Scholar] [CrossRef]
- Hostick, D.J.; Belzer, D.B.; Hadley, S.W.; Markel, T.; Marnay, C.; Kintner-Meyer, M.C. Projecting Electricity Demand in 2050; Technical Report; Pacific Northwest National Lab. (PNNL): Richland, WA, USA, 2014. [Google Scholar]
- Ram, M.; Bogdanov, D.; Aghahosseini, A.; Oyewo, S.; Gulagi, A.; Child, M.; Fell, H.J.; Breyer, C. Global Energy System Based on 100% Renewable Energy—Power Sector; Lappeenranta University of Technology and Energy Watch Group: Lappeenranta, Finland, 2017. [Google Scholar]
- International Renewable Energy Agency (IRENA). Renewable Energy Prospects for the European Union; International Renewable Energy Agency (IRENA): Abu Dhabi, United Arab Emirates; European Commission (EC): Brussels, Belgium, 2018. [Google Scholar]
- Fernández-Guillamón, A.; Das, K.; Cutululis, N.A.; Molina-García, Á. Offshore wind power integration into future power systems: Overview and trends. J. Mar. Sci. Eng. 2019, 7, 399. [Google Scholar] [CrossRef]
- Koirala, B.P.; Koliou, E.; Friege, J.; Hakvoort, R.A.; Herder, P.M. Energetic communities for community energy: A review of key issues and trends shaping integrated community energy systems. Renew. Sustain. Energy Rev. 2016, 56, 722–744. [Google Scholar] [CrossRef]
- UNFCCC. INDC—Submissions n.d. Technical Report. Intended Nationally Determined Contributions. 2020. Available online: http://www4.unfccc.int (accessed on 2 March 2021).
- Decc, D. Community Energy Strategy: Full Report; Department of Energy and Climate Change: London, UK, 2014. [Google Scholar]
- European Commission. 2030 Climate & Energy Framework; Technical Report; European Commission: Brussels, Belgium, 2020; Available online: https://ec.europa.eu/clima/policies/strategies/2030_en (accessed on 2 March 2021).
- Data and Statistics; International Energy Agency. Available online: https://www.iea.org/data-and-statistics (accessed on 2 March 2021).
- Saleh, B.; Koglbauer, G.; Wendland, M.; Fischer, J. Working fluids for low-temperature organic Rankine cycles. Energy 2007, 32, 1210–1221. [Google Scholar] [CrossRef]
- Tchanche, B.F.; Pétrissans, M.; Papadakis, G. Heat resources and organic Rankine cycle machines. Renew. Sustain. Energy Rev. 2014, 39, 1185–1199. [Google Scholar] [CrossRef]
- Lemmens, S. Cost engineering techniques and their applicability for cost estimation of organic Rankine cycle systems. Energies 2016, 9, 485. [Google Scholar] [CrossRef]
- Wang, L.; Yang, Z.; Sharma, S.; Mian, A.; Lin, T.E.; Tsatsaronis, G.; Maréchal, F.; Yang, Y. A Review of Evaluation, Optimization and Synthesis of Energy Systems: Methodology and Application to Thermal Power Plants. Energies 2019, 12, 73. [Google Scholar] [CrossRef]
- Desideri, A.; Gusev, S.; Van den Broek, M.; Lemort, V.; Quoilin, S. Experimental comparison of organic fluids for low temperature ORC (organic Rankine cycle) systems for waste heat recovery applications. Energy 2016, 97, 460–469. [Google Scholar] [CrossRef]
- Zhao, Y.; Liu, G.; Li, L.; Yang, Q.; Tang, B.; Liu, Y. Expansion devices for organic Rankine cycle (ORC) using in low temperature heat recovery: A review. Energy Convers. Manag. 2019, 199, 111944. [Google Scholar] [CrossRef]
- Yu, H.; Gundersen, T.; Feng, X. Process integration of organic Rankine cycle (ORC) and heat pump for low temperature waste heat recovery. Energy 2018, 160, 330–340. [Google Scholar] [CrossRef]
- Hossain, S.N.; Bari, S. Waste heat recovery form the exahust of diesel generator using Rankine Cycle. Energy Convers. Manag. 2013, 75, 141–151. [Google Scholar] [CrossRef]
- Saidur, R.; Rezaei, M.; Muzammil, W.; Hassan, M.; Paria, S.; Hasanuzzaman, M. Technologies to recover exhaust heat from internal combustion engines. Renew. Sustain. Energy Rev. 2012, 16, 5649–5659. [Google Scholar] [CrossRef]
- Sahlot, M.; Riffat, S.B. Desiccant cooling systems: A review. Int. J. Low-Carbon Technol. 2016, 11, 489–505. [Google Scholar] [CrossRef]
- European Parliament and the Council of the European Union. Directive 2006/40/EC of The European Parliament and of the Council of 17 May 2006 relating to emissions from air conditioning systems in motor vehicles and amending Council Directive 70/156/EC. Off. J. Eur. Union L 2006, 161, 1–11. [Google Scholar]
- European Parliament and the Council of the European Union. Regulation (EU) No 517/2014 of the European Parliament and the Council of 16 April 2014 on fluorinated greenhouse gases and repealing Regulation (EC) No 842/2006. Off. J. Eur. Union L 2014, 150, 195–230. [Google Scholar]
- Calm, J.M. The next generation of refrigerants—Historical review, considerations, and outlook. Int. J. Refrig. 2008, 31, 1123–1133. [Google Scholar] [CrossRef]
- Pérez-García, V.; Belman-Flores, J.M.; Rodríguez-Muñoz, J.L.; Rangel-Hernández, V.; Gallegos-Muñoz, A. Second law analysis of a mobile air conditioning system with internal heat exchanger using low GWP refrigerants. Entropy 2017, 19, 175. [Google Scholar] [CrossRef]
- Portmann, R.; Daniel, J.; Ravishankara, A. Stratospheric ozone depletion due to nitrous oxide: Influences of other gases. Philos. Trans. R. Soc. B Biol. Sci. 2012, 367, 1256–1264. [Google Scholar] [CrossRef]
- Mota-Babiloni, A.; Navarro-Esbrí, J.; Makhnatch, P.; Molés, F. Refrigerant R32 as lower GWP working fluid in residential air conditioning systems in Europe and the USA. Renew. Sustain. Energy Rev. 2017, 80, 1031–1042. [Google Scholar] [CrossRef]
- Jiang, L.; Lu, H.; Wang, L.; Gao, P.; Zhu, F.; Wang, R.; Roskilly, A. Investigation on a small-scale pumpless Organic Rankine Cycle (ORC) system driven by the low temperature heat source. Appl. Energy 2017, 195, 478–486. [Google Scholar] [CrossRef]
- Yang, J.; Ye, Z.; Yu, B.; Ouyang, H.; Chen, J. Simultaneous experimental comparison of low-GWP refrigerants as drop-in replacements to R245fa for Organic Rankine cycle application: R1234ze (Z), R1233zd (E), and R1336mzz (E). Energy 2019, 173, 721–731. [Google Scholar] [CrossRef]
- Gil, B.; Kasperski, J. Efficiency evaluation of the ejector cooling cycle using a new generation of HFO/HCFO refrigerant as a R134a replacement. Energies 2018, 11, 2136. [Google Scholar] [CrossRef]
- Saengsikhiao, P.; Taweekun, J.; Maliwan, K.; Sae-ung, S.; Theppaya, T. Investigation and Analysis of R463A as an Alternative Refrigerant to R404A with Lower Global Warming Potential. Energies 2020, 13, 1514. [Google Scholar] [CrossRef]
- Ayachi, F.; Ksayer, E.B.; Zoughaib, A.; Neveu, P. ORC optimization for medium grade heat recovery. Energy 2014, 68, 47–56. [Google Scholar] [CrossRef]
- Feng, Y.Q.; Luo, Q.H.; Wang, Q.; Wang, S.; He, Z.X.; Zhang, W.; Wang, X.; An, Q.S. Entropy and Entransy Dissipation Analysis of a Basic Organic Rankine Cycles (ORCs) to Recover Low-Grade Waste Heat Using Mixture Working Fluids. Entropy 2018, 20, 818. [Google Scholar] [CrossRef] [PubMed]
- Rak, J.; Błasiak, P.; Kolasiński, P. Influence of the applied working fluid and the arrangement of the steering edges on multi-vane expander performance in micro ORC system. Energies 2018, 11, 892. [Google Scholar]
- Meinel, D.; Wieland, C.; Spliethoff, H. Effect and comparison of different working fluids on a two-stage organic rankine cycle (ORC) concept. Appl. Therm. Eng. 2014, 63, 246–253. [Google Scholar] [CrossRef]
- Matuszewska, D.; Olczak, P. Evaluation of using gas turbine to increase efficiency of the Organic Rankine Cycle (ORC). Energies 2020, 13, 1499. [Google Scholar] [CrossRef]
- Zeleny, Z.; Vodicka, V.; Novotny, V.; Mascuch, J. Gear pump for low power output ORC–an efficiency analysis. Energy Procedia 2017, 129, 1002–1009. [Google Scholar] [CrossRef]
- Pan, M.; Lu, F.; Zhu, Y.; Huang, G.; Yin, J.; Huang, F.; Chen, G.; Chen, Z. Thermodynamic, exergoeconomic and multi-objective optimization analysis of new ORC and heat pump system for waste heat recovery in waste-to-energy combined heat and power plant. Energy Convers. Manag. 2020, 222, 113200. [Google Scholar] [CrossRef]
- Delgado-Torres, A.M.; García-Rodríguez, L. Preliminary design of seawater and brackish water reverse osmosis desalination systems driven by low-temperature solar organic Rankine cycles (ORC). Energy Convers. Manag. 2010, 51, 2913–2920. [Google Scholar] [CrossRef]
- Ge, Z.; Wang, H.; Wang, H.T.; Wang, J.J.; Li, M.; Wu, F.Z.; Zhang, S.Y. Main parameters optimization of regenerative organic Rankine cycle driven by low-temperature flue gas waste heat. Energy 2015, 93, 1886–1895. [Google Scholar] [CrossRef]
- Li, M.; Wang, J.; He, W.; Gao, L.; Wang, B.; Ma, S.; Dai, Y. Construction and preliminary test of a low-temperature regenerative Organic Rankine Cycle (ORC) using R123. Renew. Energy 2013, 57, 216–222. [Google Scholar] [CrossRef]
- Petrollese, M.; Oyekale, J.; Tola, V.; Cocco, D. Optimal ORC configuration for the combined production of heat and power utilizing solar energy and biomass. In Proceedings of the ECOS, Guimarães, Portugal, 17–21 June 2018; pp. 17–22. [Google Scholar]
- Moran, M.J.; Shapiro, H.N.; Boettner, D.D.; Bailey, M.B. Fundamentals of Engineering Thermodynamics; John Wiley & Sons: Hoboken, NJ, USA, 2010. [Google Scholar]
- Khennich, M.; Galanis, N. Optimal design of ORC systems with a low-temperature heat source. Entropy 2012, 14, 370–389. [Google Scholar] [CrossRef]
- Györke, G.; Groniewsky, A.; Imre, A.R. A simple method of finding new dry and isentropic working fluids for organic rankine cycle. Energies 2019, 12, 480. [Google Scholar] [CrossRef]
- López-Belchí, A.; Illán-Gómez, F.; Vera-García, F.; García-Cascales, J.R. Experimental condensing two-phase frictional pressure drop inside mini-channels. Comparisons and new model development. Int. J. Heat Mass Transf. 2014, 75, 581–591. [Google Scholar] [CrossRef]
- López-Belchí, A.; Illan-Gomez, F.; Cano-Izquierdo, J.M.; García-Cascales, J.R. GMDH ANN to optimise model development: Prediction of the pressure drop and the heat transfer coefficient during condensation within mini-channels. Appl. Therm. Eng. 2018, 144, 321–330. [Google Scholar] [CrossRef]
- Bell, I.H.; Wronski, J.; Quoilin, S.; Lemort, V. Pure and Pseudo–pure Fluid Thermophysical Property Evaluation and the Open-Source Thermophysical Property Library CoolProp. Ind. Eng. Chem. Res. 2014, 53, 2498–2508. [Google Scholar] [CrossRef] [PubMed]
- Quoilin, S.; Declaye, S.; Tchanche, B.F.; Lemort, V. Thermo-economic optimization of waste heat recovery Organic Rankine Cycles. Appl. Therm. Eng. 2011, 31, 2885–2893. [Google Scholar] [CrossRef]
- Benhadid-Dib, S.; Benzaoui, A. Refrigerants and their environmental impact Substitution of hydro chlorofluorocarbon HCFC and HFC hydro fluorocarbon. Search for an adequate refrigerant. Energy Procedia 2012, 18, 807–816. [Google Scholar] [CrossRef]
- Mota-Babiloni, A.; Navarro-Esbrí, J.; Barragán, Á.; Molés, F.; Peris, B. Drop-in energy performance evaluation of R1234yf and R1234ze (E) in a vapor compression system as R134a replacements. Appl. Therm. Eng. 2014, 71, 259–265. [Google Scholar] [CrossRef]
- Abas, N.; Nawaz, R.; Khan, N. Parametric quantification of low GWP refrigerant for thermosyphon driven solar water heating system. Procedia Comput. Sci. 2015, 52, 804–811. [Google Scholar] [CrossRef]
- Fannou, J.L.C.; Rousseau, C.; Lamarche, L.; Kajl, S. A comparative performance study of a direct expansion geothermal evaporator using R410A and R407C as refrigerant alternatives to R22. Appl. Therm. Eng. 2015, 82, 306–317. [Google Scholar] [CrossRef]
- Petrovic, A.; Delibasic, B.; Filipovic, J.; Petrovic, A.; Lomovic, M. Thermoeconomic and environmental optimization of geothermal water desalination plant with ejector refrigeration system. Energy Convers. Manag. 2018, 178, 65–77. [Google Scholar] [CrossRef]
- López-Belchí, A. Assessment of a mini-channel condenser at high ambient temperatures based on experimental measurements working with R134a, R513A and R1234yf. Appl. Therm. Eng. 2019, 155, 341–353. [Google Scholar] [CrossRef]
- Janković, Z.; Atienza, J.S.; Suárez, J.A.M. Thermodynamic and heat transfer analyses for R1234yf and R1234ze (E) as drop-in replacements for R134a in a small power refrigerating system. Appl. Therm. Eng. 2015, 80, 42–54. [Google Scholar] [CrossRef]
- Yataganbaba, A.; Kilicarslan, A.; Kurtbaş, İ. Exergy analysis of R1234yf and R1234ze as R134a replacements in a two evaporator vapour compression refrigeration system. Int. J. Refrig. 2015, 60, 26–37. [Google Scholar] [CrossRef]
- Sánchez, D.; Cabello, R.; Llopis, R.; Arauzo, I.; Catalán-Gil, J.; Torrella, E. Energy performance evaluation of R1234yf, R1234ze (E), R600a, R290 and R152a as low-GWP R134a alternatives. Int. J. Refrig. 2017, 74, 269–282. [Google Scholar] [CrossRef]










| Source | Generation (GWh) | Rankine Cycle | Percentage (%) |
|---|---|---|---|
| Coal | 10,159,646 | Yes | 38.01 |
| Natural gas | 6,150,200 | No | – |
| Hydro-power | 4,325,111 | No | – |
| Nuclear | 2,710,430 | Yes | 10.14 |
| Wind | 1,273,409 | No | – |
| Oil | 783,703 | Yes | 2.93 |
| Biomass | 637,240 | Yes | 2.38 |
| PV | 554,382 | No | – |
| Geothermal | 88,956 | Yes | 0.33 |
| Others | 35,669 | No | – |
| Solar thermal | 11,321 | Yes | 0.04 |
| Total | 26,730,067 | – | 53.84 |
| Ideal Cycle | Real Cycle | ||
|---|---|---|---|
| R11 | (%) | 27.3 | 23.7 |
| (kPa) | 3099.9 | 3030.6 | |
| (K) | 471.1 | 471.1 | |
| R114 | (%) | 21.8 | 18.6 |
| (kPa) | 2605.6 | 2605.6 | |
| (K) | 418.8 | 418.8 | |
| R123 | (%) | 26.2 | 22.7 |
| (kPa) | 2793.1 | 2764.1 | |
| (K) | 456.8 | 456.8 | |
| R1234YF | (%) | 14.6 | 12.2 |
| (kPa) | 2705.8 | 2705.8 | |
| (K) | 367.9 | 367.9 | |
| R1234ZE | (%) | 16.8 | 14.2 |
| (kPa) | 2907.9 | 2907.9 | |
| (K) | 382.5 | 382.5 | |
| R134A | (%) | 15.4 | 12.9 |
| (kPa) | 3247.4 | 3166.3 | |
| (K) | 374.2 | 374.2 | |
| R141B | (%) | 28.4 | 24.6 |
| (kPa) | 3102.6 | 3069.2 | |
| (K) | 477.5 | 477.5 | |
| R236EA | (%) | 21.1 | 18.0 |
| (kPa) | 2736.0 | 2736.0 | |
| (K) | 412.4 | 412.4 | |
| R245FA | (%) | 22.9 | 19.7 |
| (kPa) | 2892.5 | 2836.0 | |
| (K) | 427.0 | 427.0 | |
| R507A | (%) | 10.3 | 8.4 |
| (kPa) | 2963.9 | 2963.9 | |
| (K) | 343.8 | 343.8 | |
| Ammonia | (%) | 18.60 | 16.23 |
| (kPa) | 5998.3 | 6910.4 | |
| (K) | 405.4 | 405.4 | |
| Water | (%) | 29.22 | 28.71 |
| (kPa) | 358.88 | 1072 | |
| (K) | 647.1 | 647.1 |
| Working Fluid | (K) | (%) | (K) | (%) |
|---|---|---|---|---|
| R114 | 418.83 | 18.65 | 415.80 | 18.45 |
| R123 | 456.83 | 22.68 | 419.22 | 14.33 |
| R1234YZ | 367.85 | 12.22 | 366.66 | 12.12 |
| R1234ZE | 382.52 | 14.21 | 381.14 | 14.09 |
Publisher’s Note: MDPI stays neutral with regard to jurisdictional claims in published maps and institutional affiliations. |
© 2021 by the authors. Licensee MDPI, Basel, Switzerland. This article is an open access article distributed under the terms and conditions of the Creative Commons Attribution (CC BY) license (https://creativecommons.org/licenses/by/4.0/).
Share and Cite
Fernández-Guillamón, A.; Molina-García, Á.; Vera-García, F.; Almendros-Ibáñez, J.A. Organic Rankine Cycle Optimization Performance Analysis Based on Super-Heater Pressure: Comparison of Working Fluids. Energies 2021, 14, 2548. https://doi.org/10.3390/en14092548
Fernández-Guillamón A, Molina-García Á, Vera-García F, Almendros-Ibáñez JA. Organic Rankine Cycle Optimization Performance Analysis Based on Super-Heater Pressure: Comparison of Working Fluids. Energies. 2021; 14(9):2548. https://doi.org/10.3390/en14092548
Chicago/Turabian StyleFernández-Guillamón, Ana, Ángel Molina-García, Francisco Vera-García, and José A. Almendros-Ibáñez. 2021. "Organic Rankine Cycle Optimization Performance Analysis Based on Super-Heater Pressure: Comparison of Working Fluids" Energies 14, no. 9: 2548. https://doi.org/10.3390/en14092548
APA StyleFernández-Guillamón, A., Molina-García, Á., Vera-García, F., & Almendros-Ibáñez, J. A. (2021). Organic Rankine Cycle Optimization Performance Analysis Based on Super-Heater Pressure: Comparison of Working Fluids. Energies, 14(9), 2548. https://doi.org/10.3390/en14092548
