Numerical Simulation of the Thermally Developed Pulsatile Flow of a Hybrid Nanofluid in a Constricted Channel
Abstract
1. Introduction
2. Mathematical Model
2.1. The Boundary Conditions
2.2. The Vorticity-Stream Function Formulation
2.3. Transformation of Coordinates
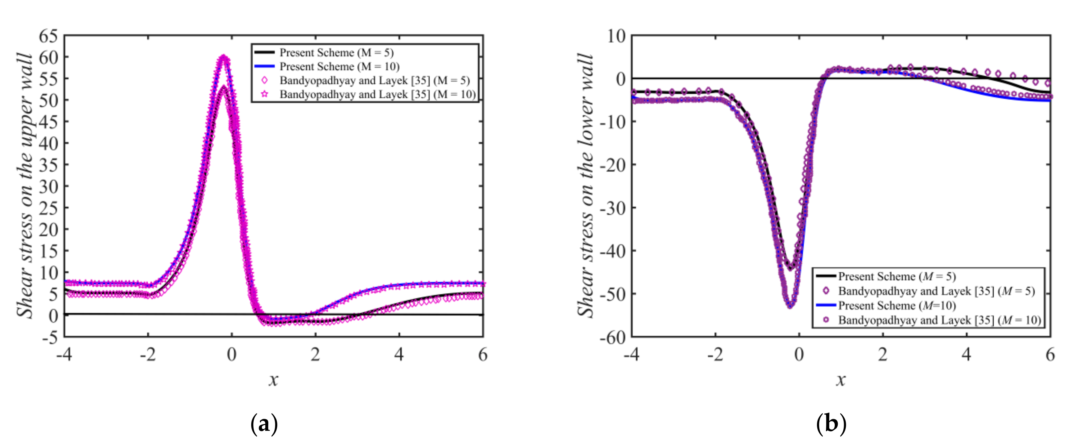
3. Results and Discussion
4. Concluding Remarks
- The effects of the pure water, /water, and /water on the WSS at both walls are computed. The flow separation area rises during the duration . After that, the flow starts to decelerate, during and the WSS also decreases, but the area of the flow separation tends to increase.
- Density and dynamic viscosity are the factors of fluid velocity reduction, which is enhanced by hybridity as more immense particles are introduced, so the velocity reduces when comparing the pure water, the NF, and the HNF.
- A rapid rise in temperature is observed due to the HNF since it increases the thermal conductivity when comparing the pure water, the NF, and the HNF. Hence, it is interpreted that the HNF hits higher temperatures compared to the NF.
- The increasing values of reduce the overall density, which raised the temperature of the HNF within the boundary layer. Finally, the appreciation in maximizes the velocity gradient and minimizes the temperature gradient at the boundary.
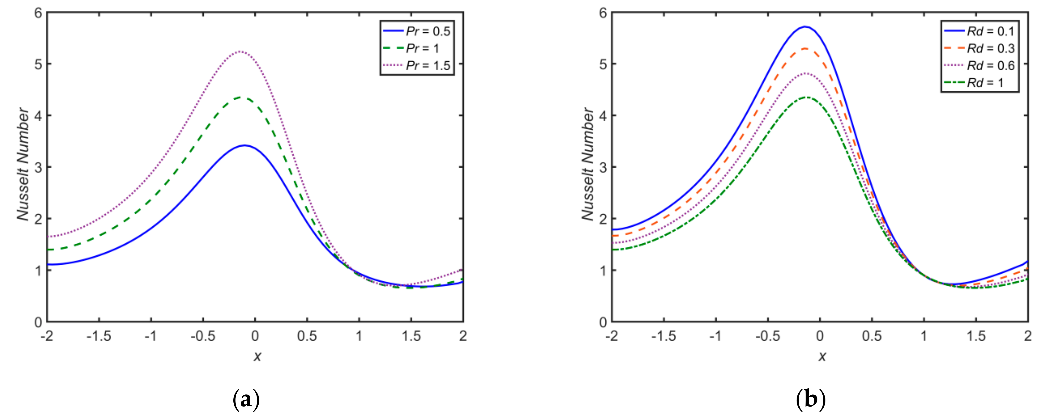
- The HNF temperature profile is slightly higher than that of the NF in the case of varying and . The thermal boundary layer thickness decreases, resulting in a decrease of the temperature profile with increasing values of and . The higher value of number causes a reduction in the thermal diffusivity.
- The thermal boundary layer thickness increases, resulting in the rise of temperature as is increased. Temperature profile and thermal boundary layer thickness are enhanced by increasing the values of .
- Velocity decreases for enhancing the solid volume fraction i.e., the viscous boundary layer thickness increases with increasing values of . Additionally, the HNF exhibits a higher temperature profile than the NF.
- The HNF is observed to be a better thermal conductor as compared with the traditional NF.
- The Nusselt number increases for higher values of and , but decreases for increasing .
- The skin friction coefficient increases for an increase in the values of ; however, it remains unchanged for and .
Author Contributions
Funding
Institutional Review Board Statement
Informed Consent Statement
Conflicts of Interest
References
- Saidur, R.; Leong, K.Y.; Mohammed, H.A. A review on applications and challenges of nanofluids. Renew. Sustain. Energy Rev. 2011, 15, 1646–1668. [Google Scholar] [CrossRef]
- Choi, S.U.S. Enhancing thermal conductivity of a fluids with nanoparticles. ASME 1995, 66, 99–105. [Google Scholar]
- Buongiorno, J. Convective transport in nanofluids. Int. J. Heat Mass Trans. 2006, 128, 240–250. [Google Scholar] [CrossRef]
- Kuznetsov, A.V.; Nield, D.A. Natural convective boundary layer flow of a nanofluid past a vertical plate. Int. J. Therm. Sci. 2010, 49, 243–247. [Google Scholar] [CrossRef]
- Wong, K.V.; Leon, O.D. Applications of NFs: Current and Future. Adv. Mech. Eng. 2010, 2, 1–11. [Google Scholar] [CrossRef]
- Akbar, N.S. Metallic NPs analysis for the peristaltic flow in an asymmetric channel with MHD. IEEE Trans. Nanotech. 2014, 13, 357–361. [Google Scholar] [CrossRef]
- Sheikholeslami, M.; Hayat, T.; Alsaedi, A. Numerical study for external magnetic source influence on water based NF convective heat transfer. Int. J. Heat Mass Trans. 2017, 106, 745–755. [Google Scholar] [CrossRef]
- Hayat, T.; Rashid, M.; Imtiaz, M.; Alsaedi, A. Nanofluid flow due to rotating disk with variable thickness and homogeneous–heterogeneous reactions. Int. J. Heat Mass Trans. 2017, 113, 96–105. [Google Scholar] [CrossRef]
- Paul, D.; Mandal, G. Thermal radiation and MHD effects on boundary layer flow of micropolar nanofluid past a stretching sheet with non-uniform heat source/sink. Int. J. Mech. Sci. 2017, 136, 308–318. [Google Scholar] [CrossRef]
- Alizadeh, M.; Dogonchi, A.S.; Ganji, D.D. Micropolar nanofluid flow and heat transfer between penetrable walls in the presence of thermal radiation and magnetic field. Case Stud. Therm. Eng. 2018, 12, 319–332. [Google Scholar] [CrossRef]
- Dib, A.; Haiahem, A.; Bou-said, B. Approximate analytical solution of squeezing unsteady nanofluid flow. Powder Technol. 2015, 269, 193–199. [Google Scholar] [CrossRef]
- Cacua, K.; Ordoñez, F.; Zapata, C.; Herrera, B.; Pabón, E.; Buitrago-Sierra, R. Surfactant concentration and pH effects on the zeta potential values of alumina nanofluids to inspect stability. Colloids Surf. A Physicochem. Eng. 2019, 583, 123960. [Google Scholar] [CrossRef]
- Choudhary, R.; Khurana, D.; Kumar, A.; Subudhi, S. Stability analysis of Al2O3/water nanofluids. J. Exp. Nanosci. 2017, 12, 140–151. [Google Scholar] [CrossRef]
- Lim, C.Y.; Lim, A.E.; Lam, Y.C. pH change in electroosmotic flow hysteresis. Anal. Chem. 2017, 89, 9394–9399. [Google Scholar] [CrossRef]
- Lim, A.E.; Lim, C.Y.; Lam, Y.C. Electroosmotic flow hysteresis for dissimilar anionic solutions. Anal. Chem. 2016, 88, 8064–8073. [Google Scholar] [CrossRef]
- Shadloo, M.S. Application of support vector machines for accurate prediction of convection heat transfer coefficient of nanofluids through circular pipes. Int. J. Numer. Methods Heat Fluid Flow 2020. [Google Scholar] [CrossRef]
- Rashidi, M.M.; Nasiri, M.; Shadloo, M.S.; Yang, Z. Entropy Generation in a Circular Tube Heat Exchanger Using Nanofluids: Effects of Different Modeling Approaches. Heat Trans. Eng. 2017, 38, 853–866. [Google Scholar] [CrossRef]
- Huminicl, G.; Huminic, A. Hybrid nanofluids for heat transfer applications—A state of the art review. Int. J. Heat Mass Trans. 2018, 125, 82–103. [Google Scholar] [CrossRef]
- Sarkar, J.; Ghosh, P.; Adil, A. A review on hybrid nanofluids: Recent research, development and applications. Renew. Sustain. Energy Rev. 2015, 43, 164–177. [Google Scholar] [CrossRef]
- Ahmad, S.; Nadeem, S. Application of CNT-based micropolar hybrid nanofluid flow in the presence of Newtonian heating. App. Nanosci. 2020, 10, 1–13. [Google Scholar] [CrossRef]
- Khan, M.; Malik, M.; Salahuddin, T.; Hussian, A. Heat and mass transfer of Williamson nanofluid flow yield by an inclined Lorentz force over a nonlinear stretching sheet. Results Phys. 2018, 8, 862–868. [Google Scholar] [CrossRef]
- Devi, S.S.U.; Devi, S.P.A. Numerical investigation on three dimensional hybrid Cu-Al2O3/water nanofluid flow over a stretching sheet with effecting Lorentz force subject to Newtonian heatings. Can. J. Phys. 2016, 94, 490–496. [Google Scholar] [CrossRef]
- Suleman, M.; Ramzan, M.; Ahmad, S.; Dianchen, L.; Muhammad, T.; Chung, J.D. A numerical simulation of silver-water nanofluid flow with impacts of Newtonian heating and homogeneous- heterogeneous reactions past a nonlinear stretched cylinder. Symmetry 2019, 11, 295. [Google Scholar] [CrossRef]
- Nadeem, S.; Hayat, T.; Khan, A.U. Numerical study of 3D rotating hybrid SWCNT-MWCNT flow over a convectively heated stretching surface with heat generation/absorption. Phys. Scr. 2019, 94, 075202. [Google Scholar] [CrossRef]
- Suresh, S.; Venkitaraj, K.; Selvakumar, P.; Chandrasekar, M. Effect of Al2O3/water hybrid nanofluid in heat transfer. Exp. Therm. Fluid Sci. 2012, 8, 54–60. [Google Scholar] [CrossRef]
- Momin, G.G. Experimental investigation of mixed convection with Al2O3/water and hybrid nanofluid in inclined tube for laminar flow. Int. J. Sci. Res. Sci. 2013, 2, 195–202. [Google Scholar]
- Prakash, M.; Devi, S.S.U. Hydromagnetic hybrid Al2O3-Cu/water nanofluid flow over a slendering stretching sheet with prescribed surface temperature. Asian J. Hum. Soc. Sci. 2016, 6, 1921–1936. [Google Scholar] [CrossRef]
- Bahiraei, M.; Mazaheri, N. Application of a novel hybrid nanofluid containing graphene platinum nanoparticles in a chaotic twisted geometry for utilization in miniature devices thermal and energy efficiency considerations. Int. J. Mech. Sci. 2018, 138, 337–349. [Google Scholar] [CrossRef]
- Eshgarf, H.; Kalbasi, R.; Maleki, A.; Shadloo, M.S.; Karimipour, A. A review on the properties, preparation, models, and stability of hybrid nanofluids to optimize energy consumption. J. Therm. Anal. Calorim. 2020. [Google Scholar] [CrossRef]
- Vasua, B.; Dubey, A.; Bég, O.A.; Gorla, R.S.R. Micropolar pulsatile blood flow conveying nanoparticles in a stenotic tapered artery: Non-Newtonian pharmacodynamic simulation. Comput. Biol. Med. 2020, 126, 104025. [Google Scholar] [CrossRef]
- Priyadharshini, S.; Ponalagusamy, R. Mathematical modelling for pulsatile flow of Casson fluid along with magnetic nanoparticles in a stenosed artery under external magnetic field and body acceleration. Neural Comput. Appl. 2019, 31, 813–826. [Google Scholar] [CrossRef]
- Sheikholeslami, M.; Ganji, D.D. Heat transfer of Cu-water nanofluid flow between parallel plates. Powder Technol. 2013, 235, 873–879. [Google Scholar] [CrossRef]
- Wu, J.Z.; Ma, H.Y.; Zhou, M.D. Vorticity and Vortex Dynamics; Springer: Berlin/Heidelberg, Germany, 2006. [Google Scholar]
- Bandyopadhyay, S.; Layek, G.C. Numerical computation of pulsatile flow through a locally constricted channel. Commun. Nonlinear Sci. Numer. Simul. 2011, 16, 252–265. [Google Scholar] [CrossRef]
- Bandyopadhyay, S.; Layek, G.C. Study of magnetohydrodynamic pulsatile flow in a constricted channel. Commun. Nonlinear Sci. Numer. Simul. 2012, 17, 2434–2446. [Google Scholar] [CrossRef]
- Ali, A.; Farooq, H.; Abbas, Z.; Bukhari, Z.; Fatima, A. Impact of Lorentz force on the pulsatile flow of a non-Newtonian Casson fluid in a constricted channel using Darcy’s law. Sci. Rep. 2020, 10, 10629. [Google Scholar] [CrossRef]
- Ali, A.; Umar, M.; Bukhari, Z.; Abbas, Z. Pulsating flow of a micropolar-Casson fluid through a constricted channel influenced by a magnetic field and Darcian porous medium: A numerical study. Results Phys. 2020, 19, 103544. [Google Scholar] [CrossRef]
- Bukhari, Z.; Ali, A.; Abbas, Z.; Farooq, H. The pulsatile flow of thermally developed non-Newtonian Casson fluid in a channel with constricted walls. AIP Adv. 2021, 11, 025324. [Google Scholar] [CrossRef]
- Ali, A.; Fatima, A.; Bukhari, Z.; Farooq, H.; Abbas, Z. Non-Newtonian Casson pulsatile fluid flow influenced by Lorentz force in a porous channel with multiple constrictions: A numerical study. Korea Aust. Rheol. J. 2021, 33, 79–90. [Google Scholar] [CrossRef]
- Ali, A.; Syed, K.S. An outlook of high performance computing infrastructures for scientific computing. Adv. Comput. 2013, 91, 87–118. [Google Scholar]






















Publisher’s Note: MDPI stays neutral with regard to jurisdictional claims in published maps and institutional affiliations. |
© 2021 by the authors. Licensee MDPI, Basel, Switzerland. This article is an open access article distributed under the terms and conditions of the Creative Commons Attribution (CC BY) license (https://creativecommons.org/licenses/by/4.0/).
Share and Cite
Ali, A.; Bukhari, Z.; Shahzadi, G.; Abbas, Z.; Umar, M. Numerical Simulation of the Thermally Developed Pulsatile Flow of a Hybrid Nanofluid in a Constricted Channel. Energies 2021, 14, 2410. https://doi.org/10.3390/en14092410
Ali A, Bukhari Z, Shahzadi G, Abbas Z, Umar M. Numerical Simulation of the Thermally Developed Pulsatile Flow of a Hybrid Nanofluid in a Constricted Channel. Energies. 2021; 14(9):2410. https://doi.org/10.3390/en14092410
Chicago/Turabian StyleAli, Amjad, Zainab Bukhari, Gullnaz Shahzadi, Zaheer Abbas, and Muhammad Umar. 2021. "Numerical Simulation of the Thermally Developed Pulsatile Flow of a Hybrid Nanofluid in a Constricted Channel" Energies 14, no. 9: 2410. https://doi.org/10.3390/en14092410
APA StyleAli, A., Bukhari, Z., Shahzadi, G., Abbas, Z., & Umar, M. (2021). Numerical Simulation of the Thermally Developed Pulsatile Flow of a Hybrid Nanofluid in a Constricted Channel. Energies, 14(9), 2410. https://doi.org/10.3390/en14092410

