Next Article in Journal
Influence of the Selection of the Core Shape and Winding Arrangement on the Accuracy of Current Transformers with Through-Going Primary Cable
Previous Article in Journal
Grid-Connected PV Systems Controlled by Sliding via Wireless Communication
 
 
Font Type:
Arial Georgia Verdana
Font Size:
Aa Aa Aa
Line Spacing:
Column Width:
Background:
Article

Stability Analysis of Different Regulation Modes of Hydropower Units

School of Power and Mechanical Engineering, Wuhan University, Wuhan 430072, China
*
Author to whom correspondence should be addressed.
Energies 2021, 14(7), 1933; https://doi.org/10.3390/en14071933
Submission received: 23 February 2021 / Revised: 27 March 2021 / Accepted: 28 March 2021 / Published: 31 March 2021
(This article belongs to the Section A: Sustainable Energy)

Abstract

The dynamic characteristics of hydropower unit governing systems considerably influence the stability of hydropower units and the connected power system. The dynamic performances of hydropower units with power regulation mode (PRM) and opening regulation mode (ORM) are different. This paper establishes a detailed linear model of a hydropower unit based on the Phillips–Heffron model. The damping characteristic and stability of two regulation modes with different water inertia time constants TW were analyzed. ORM tended to provide negative damping, while PRM often provided positive damping in the major parts of the frequency range within the normal frequency oscillations when TW was large. Eigenvalue analysis illustrated that PRM has better stability than ORM. To validate the analysis, a simulation under two typical faults WAS conducted based on a nonlinear model of a hydropower unit. The simulation results illustrated that the responses of units with PRM are more stable in terms of important operating parameters, such as output power, rotor speed, and power angles. For hydropower units facing challenges in stable operation, PRM is recommended to obtain good dynamic stability.

1. Introduction

With the strong demand for clean and green energy, hydropower energy has experienced rapid development in recent years. When adequate environmental flow is guaranteed and the ecological impact is controlled, hydropower is a superior renewable energy source [1,2]. Hydropower units are responsible for the regulation of frequency and power in power systems [3,4]. In a traditional large-scale power grid, where hydropower often provides a small proportion of total power input, the impact of hydropower units on power system stability is neglected. With the increasing momentum toward having flexible power systems based on renewables, hydropower is playing a more important role in power systems, and some hydropower-domain power systems have appeared [5,6]. In hydropower-domain power systems, such as the Colombian Grid, Nordic Grid, and power grids in the Chinese southwest, the dynamic characteristics of hydropower units have a significant influence on system stability [7,8,9], but it requires further detailed study of the dynamic characteristics of hydropower units.
Compared with thermal power units, controlling hydropower units is difficult due to the nonlinear characteristics of hydroturbines and the water hammer phenomenon [10]. The water hammer phenomenon makes the hydroturbine-governing system a non-minimum phase system. Strong nonlinear characteristics pose a challenge for the smooth and accurate control of hydroturbines. With such inherent defects, various unstable phenomena caused by hydropower units have been observed in hydropower-domain power systems, such as low frequency oscillations and power fluctuations. Scholars have searched for the factors that lead to unstable phenomena, and have proposed new control strategies to achieve stable regulation and operation. Many causes can result in frequency oscillations, such as the induction generator effect, turbine damping, the inertia ratio, proportional-integral-derivative (PID) controller parameters, and the feed-forward controllers [11,12,13,14,15]. Hydraulic fluctuation is also a common cause of unstable regulation and operation in transient processes [16,17,18]. The proportion of hydropower in energy sources also affects the stability of a system [19]. Various methods, including the state space method, the extended equal area criterion theory, and the physical model experiment, can be used to analyze transient stability of hydropower system [15,20,21]. With the proportional-integral (PI) controller remaining as the main control method, many additional control strategies have been proposed. Controllers based on fuzzy control, neural network control, sliding mode control, and so on have been developed and applied [22,23].
Despite the many achievements, a number of unresolved questions remains. Few researchers have focused on the selection strategy of regulation modes that significantly influence the stability of hydropower units. Research on the dynamic characteristics of different regulation modes is required to provide some guidelines for the hydropower units in hydropower-dominant power systems.
For the grid-connected hydropower units, the hydroturbine governors often use opening regulation mode (ORM) or power regulation mode (PRM) [8]. PRM and ORM have different feedback signal sources. The feedback signal of ORM is the gate position control signal, or the gate position measured value. In PRM, the output power is the feedback signal. With different structures of closed-loop control systems, ORM and PRM have different dynamic characteristics. While little research has been conducted on the comparison of ORM and PRM, in most of the studies mentioned above, ORM was adopted for its simple closed-loop structure. Few studies concentrated on quantifying the characteristics of frequency oscillations while proposing a systematic tool to improve the regulation quality in both PRM and ORM, but without comparing the ORM and PRM [24]. In reference [25], ORM was found to have increased stability under a small load disturbance for hydropower units in an isolated system analysis. While this study was concerned with the isolated system and neglected the electromagnetic transient process, Chen et al. analyzed the stability of hydropower units with different regulation modes and found that the stability of pure power regulation modes are clearly superior to frequency regulation modes under the same conditions [26]. Whereas the pure power mode only aims to control power and regards the frequency deviation as unavailable in real power grids, in a previous study, characteristic analysis and comparison of ORM and PRM was far from sufficient.
In engineering, ORM is widely used in the hydropower-domain grids, such as the Sichuan grid, Chongqing grid, and Xizang grid in China. The feedback link of ORM is in the governor. The hydroturbine and generator are not in a closed-loop control system. Free from external disturbance, ORM is considered to have better stability. Since the feedback of PRM is the output power, which is sensitive to external disturbances, PRM is thought to produce negative damping. However, this simple inference is lacking detailed theoretical deduction. Further research and validation are necessary to construct a criterion for regulation mode selection.
We analyzed and compared ORM and PRM through theoretical analysis and numerical simulation. In this study, the system of a hydropower unit in ORM and PRM was established. The damping characteristics and stability of two regulation modes were analyzed. The PRM was found to have better stability. The numerical simulation, based on real nonlinear models, proved the results.

2. Damping Characteristics of ORM and PRM

In the regulating process of hydropower units, the damping characteristic is determined by a governing system and an excitation system. In the 1960s, the Phillips–Heffron model was proposed to study the damping provided by excitation systems in electromechanical oscillation in the infinite-bus system [27]. Based on the Phillips–Heffron model, we analyzed the damping characteristic of governing systems with PRM and ORM in electromechanical oscillation in the infinite-bus system.
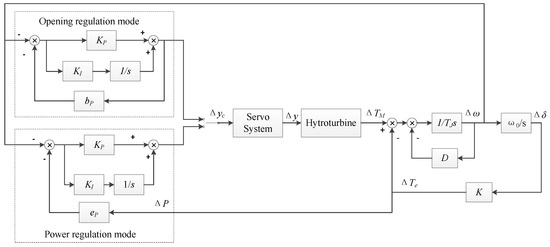
Assuming the power system stabilizer is equipped, the transient exciting potential, Eq’, is unchanged. The electromagnetic torque increase caused by the change in transient exciting potential Eq’ is neglected. The electromagnetic torque increase caused by the change in power angle δ is calculated. The diagram block of the hydropower unit is shown in Figure 1.
KP and KI are the scaling coefficient and integral coefficient, respectively; bP and eP are the temporary droop and permanent droop, respectively; Δyc is the increase in the gate opening position control signal; Δy is the increase in the gate opening position; ΔTM is the increase in the hydroturbine output torque; ΔTe is the increase in electromagnetic torque; Δω is the increase in rotor speed; Δδ is the increase in power angle; ω0 is the rated angular frequency; K is the transfer coefficient from the power angle to electromagnetic torque; D is the damping coefficient; and Ta is the inertia time constant of the generator.

2.1. Mathematical Models of the System

(1) The governor
The governor consists of a PI controller and a servo system. The difference between PRM and ORM is the feedback signal of the PI controller. The transfer function of a PI controller is written as:
G P I ( s ) = K P s + K I s .
The assistant servomotor is adopted in the servo system. The transfer function of a servo system is written as:
G s e r v o ( s ) = 1 T y B s 2 + T y s + 1
where TyB and Ty are the time constant of the assistance servomotor and main servomotor, respectively.
In most hydropower stations, TyB and Ty are small. In IEC61632 standards, Ty is less than 0.25 s and larger than 0.1 s. In most cases, TyB is less than 0.05 s. Thus, TyB is regarded as 0.
G s e r v o ( s ) = 1 T y s + 1
(2) The hydroturbine and division system
The hydroturbine is a nonlinear component. In stability analysis, a hydroturbine is assumed as working in a small region where it is approximately linear. The linear equation of a hydroturbine is written as:
{ T M = e y y + e h h + e x x q = e q y y + e q h h + e q x x } ,
where ey, ex, and eh denote the partial derivatives of the hydroturbine torque TM with respect to guide vane opening y, speed x, and head h, respectively; eqy, eqx, and eqh denote the partial derivatives of the flow q with respect to gate opening y, speed x, and head h, respectively.
In this paper, we consider the Francis turbine. For the Francis turbine, eqx = 0. ex is combined with a load frequency adjusting coefficient.
The inelastic water hammer model is adopted:
h ( s ) q ( s ) = T W s ,
where TW is the time constant of the water conduit.
Overall, the transfer function of a hydroturbine can be written as:
G t ( s ) = e y 1 e T W s 1 + e q h T W s ,
where e = eh × eqh/eyeh.
(3) The generator
As shown in Figure 1, the generator model in the Phillips–Heffron model is written as:
{ T a d Δ ω d t = Δ T M Δ T e D Δ ω Δ ω = 1 ω 0 d Δ δ d t Δ T e = K Δ δ } .

2.2. Damping Characteristic in ORM

From Figure 1 and the equations in Section 2.1, the increase in hydroturbine output torque in ORM is obtained by:
Δ T M = Δ ω G P I 1 + b P G P I G s e r v o G t = Δ ω G Y m
G Y m ( s ) = K P s + K I ( 1 + b P K P ) s + b P K I 1 T y s + 1 e y 1 e T W s 1 + e q h T W s
When s = ,
G Y m ( j ω ) = K Y ( Re Y + Im Y j ) ,
where
{ K Y = e y [ b P 2 K P 2 + ( 1 + b P K P ) 2 ω 2 ] ( 1 + T y 2 ω 2 ) ( 1 + e q h 2 T W 2 ω 2 ) > 0 Re Y = A Y ω 4 + B Y ω 2 + C Y A Y = e e q h T W 2 [ K P ( 1 + b P K P ) 2 T y K I ] + T y K P ( 1 + b P K P ) 2 ( e + e q h ) B Y = K P ( 1 + b P K P ) 2 T y K I ( e + e q h ) T W T y ( 1 + b P K I T y ) C Y = b P K I 2 > 0 } ,
The damping torque ΔTD is:
Δ T D = K Y × Re Y × ( Δ ω ) .
The direction of ΔTD is determined by the signs of KY and ReY. When KY and ReY > 0, ΔTD is in same direction as −Δω. The governor provides positive damping.
According to Equation (11), KY > 0 and CY > 0.
The value of AY is related to the values of the parameters, while the sign of AY is identifiable. According to the normal standards of power system, bP = 0.04 in most cases.
A Y < e e q h T W 2 [ K P ( 1 + b P K P ) 2 T y K I ] < e e q h T W 2 ( K P 0.2 K I ) ,
The values of KP and KI are often tuned based on the values of TW and Ta. There is no widely accepted or accurate tuning method. In engineering, the difference in KP and KI is often not very big, which means KP/KI < 5. Thus, AY is negative.
Setting ReY = 0, the critical frequency ω1 is obtained by:
ω 1 = B Y + B Y 2 4 A Y C Y 2 A Y = X 2 A Y ,
When ω < ω1, ReY > 0, ΔTD is in the same direction as −Δω; when ω < ω1, ReY < 0, ΔTD is in the opposite direction as −Δω. In Equation (14), X is the first-order function of TW and AY is the second-order function of TW. ω1 varies inversely with TW0.5, meaning that ω1 decreases as TW increases.
The direction of ΔTM in the Δδ − Δω coordinates system is shown in Figure 2.
In a low-frequency region, ΔTD is in same direction as −Δω. The regulation of the governor provides positive damping and improves system stability. In a high frequency region, ΔTD is in the same direction as −Δω. The regulation of a governor provides negative damping and worsens system stability. With increasing TW, the critical frequency ω1 decreases and system stability deteriorates.
To validate the conclusion, a real hydropower unit was chosen as an example. The hydroturbine was linearized in a certain operating point, where ey = 1.6, e = 1.02, and eqh = 0.48. KP was 5 and KI was 8. When TW was 0.2, 1.2, 2.2, and 3.2, the values of KP and KI and the corresponding response time were as listed in Table 1. The power response times in different conditions are almost the same and meet the standards.
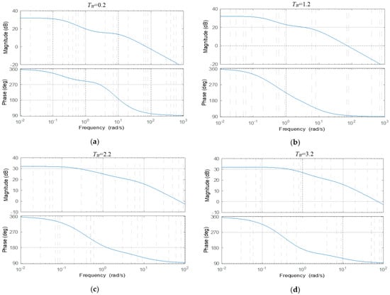
The Bode graph of GYm(s) is shown in Figure 3. In Figure 3, in the low-frequency region, the phase angle is between 270° and 360°; in the high-frequency region, the phase angle is between 90° and 270°. ORM provides positive damping in the low-frequency region and provides negative damping in the high-frequency region. The critical frequency decreases with increasing TW. The stability deteriorates with increasing TW.

2.3. Damping Characteristics in PRM

From Figure 1 and the equations in Section 2.1, the increase in hydroturbine output torque in PRM is obtained by:
Δ T M = ( Δ ω + K e P Δ δ ) G P I G s e r v o G t = Δ ω G P m ,
G Y m ( s ) = ( 1 + K e P ω 0 s ) K P s + K I s 1 T y s + 1 e y 1 e T W s 1 + e q h T W s .
When s = ,
G P m ( j ω ) = K P ( Re P + Im P j ) ,
where
{ K Y = e y ω 2 ( 1 + T y 2 ω 2 ) ( 1 + e q h 2 T W 2 ω 2 ) > 0 Re P = A P ω 4 + B P ω 2 + C P A P = e e q h T W 2 [ K P T y K I K e p ω 0 T y K P ] T y K P T W ( e + e q h ) B Y = K P K I T W ( e + e q h ) K e p ω 0 [ e e q h T W 2 K I + ( e + e q h ) ( T y K I T W K P T W ) K P T y ] C Y = K e P ω 0 K I > 0 } ,
The damping torque ΔTD is:
Δ T D = K P × Re P × ( Δ ω ) ,
The direction of ΔTD is determined by the signs of KP and ReP. When KP and ReP > 0, ΔTD is in same direction as −Δω. The governor provides positive damping.
According to Equation (18), KP > 0 and CP < 0. When ω is very low, ReP < 0. The governor provides negative damping in low-frequency regions.
The sign of AP is related to the parameters. In engineering, ω0 = 314, eP = 0.04, 0.1 < Ty < 0.2, and K is related to the operating condition. In normal operating conditions, 0.8 < K < 1.2. and the coefficient of TW2 is positive.
K P + K I T y + K e p ω 0 K P T y > 0.0048 K P + 0.1 K I > 0
Order AP > 0, then
T W > e e q h ( K P + K I T y + K e p ω 0 K P T y ) ( e + e q h ) K P T y ,
When Equation (21) is tenable, the sign of AP is positive.
Setting ReP = 0, the critical frequency ω1 is obtained by:
ω 1 = B P + B P 2 4 A P C P 2 A P = Y 2 A P ,
When ω < ω1 and ReP < 0, ΔTD is in same direction as −Δω; when ω < ω1 and ReP > 0, ΔTD is in the opposite direction as −Δω. In Equation (2), ω1 decreases as TW increases.
Generally, when Equation (21) is false, ΔTD is in the opposite direction as −Δω in almost all frequency regions. The regulation of a governor provides negative damping and worsens system stability. When Equation (21) is tenable, the direction of damping torque depends on frequency ω. In low-frequency regions, ΔTD is in the same direction as −Δω. The regulation of the governor provides negative damping. In high-frequency regions, ΔTD is in the same direction as −Δω. The regulation of the governor provides positive damping. With the increase in TW, the critical frequency ω1 decreases and system stability improves.
The same as with ORM, the same hydropower unit was chosen as an example. The values of KP and KI and corresponding response times are listed in Table 2. The power response times in different conditions are almost the same and meet the standards.
The Bode graph of GPm(s) is shown in Figure 4. In Figure 4, the phase characteristic when TW = 0.2 is different compared with the others. In this condition, Equation (21) is false. The phase angle is between 90° and 225° in all frequency region. The governor always provides negative damping. When TW = 1.2, 2.2, and 3.2, the phase angle is between 0° and 90° in high-frequency regions. The governor provides positive damping. The critical frequency ω1 is 4.77, 201, and 0.98, illustrating that PRM worsens the stability in low-frequency regions and improves the stability in high-frequency regions when Equation (21) is tenable. The stability is strengthened with increasing TW.

3. Stability Analysis of Different Modes

In this section, the stability of power angles with disturbance of electromagnetic torque is studied through eigenvalue analysis. From Figure 1, the block diagrams of ORM and PRM are obtained thorough transformation.

3.1. Transfer Function of ORM

The block diagram of ORM is shown in Figure 5.
The transfer function is:
G Y m = G g 1 + G g G Y m ω 0 s 1 + K G g 1 + G g G Y m ω 0 s = a Y s 3 + b Y s 2 + c Y s + d Y A Y s 5 + B Y s 4 + C Y s 3 + D Y s 2 + E Y s 2 + F Y ,

3.2. Transfer Function of PRM

The block diagram of PRM is shown in Figure 6.
The transfer function is:
G P m = ( 1 + e P G g o v ) G g 1 + G g G g o v ω 0 s 1 + K ( 1 + e P G g o v ) G g 1 + G g G g o v ω 0 s = a P s 3 + b P s 2 + c P s + d P A P s 5 + B P s 4 + C P s 3 + D P s 2 + E P s 2 + F P ,

3.3. Eigenvalue Analysis of ORM and PRM

To conduct further analysis, the PI coefficients in Table 1 and Table 2 were adopted. Under these parameters, the power response times were almost the same. Then 8 functions of different TW and regulation modes were obtained.
The indexes of these functions are listed in Table 3 and Table 4.
The dynamic performance of systems in ORM is determined by two conjugate poles. When TW increases to 1.2 from 0.2, the real part of the dominant poles decreases significantly from 0.271 to 0.0129. The stability deteriorates greatly. From 1.2 to 3.2, the stability margin increases a little from 0.0129 to 0.0712, while the damping ratios are only about 0.01, resulting in poor stability.
In PRM, the stability also deteriorates considerably from TW = 0.2 to TW = 1.2. The stability is improved from TW = 1.2 to TW = 3.2. When TW = 3.2, the damping ratio is 0.2058, which much larger than that of ORM, indicating that PRM has better stability than ORM.

4. Numerical Simulation and Validation

The analysis above is based on a linear model. While the linear mode is unable to study the most common disturbances in a power system, to further validate the conclusion above, a nonlinear model that is able to describe the real characteristic of hydropower unit and electromagnetic transient process was established. The simulation under two faults was conducted to study the performance of ORM and PRM further.

4.1. System Model

The structure of a system model is shown in Figure 7. The model was built based on the operating data of a real hydropower unit.
The PI controller servosystem was well-described in Section 2. The model of a hydroturbine is described by the matrixes of six coefficients in Equation (4) in various gate positions and unit speeds [28]. The model can accurately reflect the nonlinear characteristic of hydroturbine. The 7-order normal model of the salient-pole synchronous generator model was adopted [29]. The excitation system was the static excitation system with a power system stabilizer [29]. The power grid was assumed to be an infinite system.
Two typical disturbances are simulated in the system:
Disturbance 1: Three-phase short circuit. In 1 s, the three-phase short circuit occurs in the head of a line; the breaker trips in 1.15 s and closes in 1.75 s.
Disturbance 2: Voltage fluctuation. A sine wave is added on the system voltage in 5 s and disappears in 20 s. Its frequency is 0.16 Hz and the amplitude is 2% of the rated value.
Simulations using different TW of ORM and PRM were conducted. The parameters of the six simulation cases are listed in Table 5.

4.2. Responses under Three-Phase Short Circuit

To accurately illustrate the performance in detail, the responses of hydroturbine output torque mt, power angle δ, and rotor speed deviation x are given in the Figure 8, Figure 9 and Figure 10 below.
(1) Response of hydroturbine output torque mt
The order of the stability of hydroturbine output torque mt responses in 6 cases was found to be: Case 3 > Case 2 > Case 1 > Case 6 > Case 5 > Case 4.
(2) Response of power angle δ
The order of the stability of the power angle δ responses in the 6 cases was found to be: Case 6 > Case 5 > Case 1 > Case 3 > Case 2 > Case 4.
(3) Response of rotor speed deviation x
The order of the stability of rotor speed deviation x responses in the 6 cases was: Case 6 > Case 5 > Case 2 > Case 3 > Case 1 > Case 4.

4.3. Responses under Voltage Fluctuation

The responses of hydroturbine output torque mt, power angle δ, rotor speed deviation x and output power P are given in Figure 11, Figure 12, Figure 13 and Figure 14 below.
(1) Response of hydroturbine output torque mt
The order of the stability of hydroturbine output torque mt responses in the 6 cases was: Case 1 > Case 2 > Case 3 > Case 6 > Case 5 > Case 4.
(2) Response of power angle δ
The order of the stability of the power angle δ responses in the 6 cases was: Case 6 > Case 5 > Case 2 > Case 3 > Case 1 > Case 4.
(3) Response of rotor speed deviation x
The order of the stability of the rotor speed deviation x responses in the 6 cases was: Case 6 > Case 5 > Case 3 > Case 2 > Case 1 > Case 4.
(4) Response of output power P
The order of the stability of the output power P responses in the 6 cases was: Case 6 > Case 5 > Case 3 ≈ Case 2 ≈ Case 1 > Case 4.

5. Discussion

The damping characteristics of ORM and PRM are relative to the frequency of oscillations and operating parameters. The tendency of the damping characteristics of ORM are irrelevant to the operating parameters. ORM provides positive damping in low-frequency regions and provides negative damping in high-frequency regions. The critical frequency is determined by the operating parameters. For PRM, both the tendency of damping characteristics and critical frequency are influenced by the operating parameters. When TW > eeqh(−KP + KITy + KePω0KPTy)/[(e + eqh)KPTy], PRM provides negative damping in low-frequency regions and positive damping in high-frequency regions. Otherwise, PRM always provides negative damping. To validate the analysis, a linear model of a real hydroturbine unit was studied. When TW ≥ 1.2, the critical frequency of ORM is less than 0.6 rad/s. When TW = 0.2, 1.2, 2.2, and 3.2, the critical frequency of PRM ω1 is infinite, 4.77, 2.01, and 0.98, respectively. The frequency range of normal frequency oscillations in power systems is 0.6–15.7 rad/s. ORM provides negative damping in normal oscillations when TW ≥ 1.2. The critical frequency of PRM is inside the range. PRM provides positive damping in the majority of frequency ranges. When TW ≥ 3.2, PRM provides positive damping in normal oscillations.
Eigenvalue analysis illustrated that the damping ratio and stability margin of PRM are bigger than that of ORM when TW is large. When TW is very small, ORM is more stable than PRM. The finding contradicts that in reference [23] because we used different research objects. In reference [23], the frequency stability of the hydropower unit in an isolated power system was analyzed, neglecting the electromagnetic transient process and variable operating parameters, whereas we studied a large-scale power system and analyzed the power angle stability. The performance of ORM and PRM is relative to the operating parameters.
A numerical simulation of two typical disturbances was conducted to further study the stability of ORM and PRM. Some results were obtained from these responses:
(1) The hydroturbine output torque mt is more stable in ORM than in PRM.
(2) When TW = 0, the power angle δ, rotor speed x, and output power P in ORM are more stabled than in PRM; when TW ≥ 1.3, the stability of power angle δ, rotor speed x, and output power P in PRM is better than in ORM.
(3) The stability in ORM changes a little when TW increases; the stability in ORM is improved obviously when TW increases.
For the important parameters such as rotor speed, power angle, and active power, PRM shows better stability than ORM when TW is large.

6. Conclusions

In this study, the damping characteristic analysis, eigenvalue analysis, and numerical simulation were conducted to examine the stability of ORM and PRM. The stability of ORM and PRM is relative to the value of TW. Thus, some points were concluded from the analysis:
(1) The governor in ORM provides positive damping in low-frequency regions and provides negative damping in high-frequency regions when TW is considerable. The stability decreases with increasing TW.
When operating parameters meet some conditions, a governor in PRM provides negative damping in low-frequency regions and positive damping in high-frequency regions. The stability increases with increasing TW.
(2) The stability margin and damping ratio of transfer function in PRM are larger than in ORM.
(3) The time domain simulation results of a three-phase short-circuit and voltage fluctuation supported the theoretical analysis.
For real hydropower units, TW is often larger than one. Hydropower units in PRM have better stability than hydropower units in ORM. Especially for hydropower-domain systems or systems with many inherent instable factors, PRM is the first choice for hydropower units. In addition, the limitation of parameters for PRM to provide positive damping would be helpful in the tuning of PI coefficients.

Author Contributions

Conceptualization, Y.C.; methodology, Y.C. and X.G.; validation, X.G. and Y.L.; formal analysis, Y.C. and X.G.; resources, J.W.; writing—original draft preparation, X.G.; writing—review and editing, Y.C. and X.G. All authors have read and agreed to the published version of the manuscript.

Funding

This research received no external funding.

Institutional Review Board Statement

Not applicable.

Informed Consent Statement

Not applicable.

Conflicts of Interest

The authors declare no conflict of interest.

References

  1. Kuriqi, A.; Pinheiro, A.N.; Sordo-Ward, A.; Garrote, L. Water-energy-ecosystem nexus: Balancing competing interests at a run-of-river hydropower plant coupling a hydrologic–ecohydraulic approach. Energy Convers. Manag. 2020, 223, 113267. [Google Scholar] [CrossRef]
  2. Kuriqi, A.; Pinheiro, A.N.; Sordo-Ward, A.; Bejarano, M.D.; Garrote, L. Ecological impacts of run-of-river hydropower plants—Current status and future prospects on the brink of energy transition. Renew. Sustain. Energy Rev. 2021, 142, 110833. [Google Scholar] [CrossRef]
  3. Yang, W.J.; Norrlund, P.; Saarinen, L.; Witt, A.; Smith, B.; Yang, J.D.; Lundin, U. Burden on hydropower units for short-term balancing of renewable power systems. Nat. Commun. 2018, 9, 2633. [Google Scholar] [CrossRef]
  4. Deason, W. Comparison of 100% renewable energy system scenarios with a focus on flexibility and cost. Renew. Sustain. Energy Rev. 2018, 82, 3168–317878. [Google Scholar] [CrossRef]
  5. Mitchell, C. Momentum is increasing towards a flexible electricity system based on renewables. Nat. Energy 2016, 1, 1–6. [Google Scholar] [CrossRef]
  6. Heard, B.; Brook, B.; Wigley, T.; Bradshaw, C. Burden of proof: A comprehensive review of the feasibility of 100% renewable-electricity systems. Renew. Sustain. Energy Rev. 2017, 76, 1122.e33. [Google Scholar] [CrossRef]
  7. Pico, H.V.; McCalley, J.D.; Angel, A.; Leon, R.; Castrillon, N.J. Analysis of very low frequency oscillations in hydro-dominant power systems using multi-unit modeling. IEEE Trans. Power Syst. 2012, 27, 1906–1915. [Google Scholar] [CrossRef]
  8. Li, X.-Z.; Chen, Z.-J.; Fan, X.-C.; Cheng, Z.-J. Hydropower development situation and prospects in China. Renew. Sust. Energy Rev. 2018, 82, 232–239. [Google Scholar] [CrossRef]
  9. Wang, X.; Zhang, Y.; Wang, G.; Yu, R.; Zhang, J.; Sun, H.; Luo, X. Research on Ultra-low Frequency Oscillation Risk and Influencing Factors of High-ratio Hydroelectric Transmission System. Power Syst. Technol. 2014, 43, 1000–3673. (In Chinese) [Google Scholar]
  10. Cheng, Y.; Zhang, J. Hydro Turbine Governing System, 1st ed.; China Water & Power Press: Beijing, China, 2010. (In Chinese) [Google Scholar]
  11. Li, X.; Zhang, C.; Zhu, J.; Hu, X. The Effect of Hydro Turbines and Governors on Power System Low Frequency Oscillations. In Proceedings of the 2006 International Conference on Power System Technology, Chongqing, China, 22–26 October 2006. [Google Scholar]
  12. Wang, G.; Xu, Z.; Guo, X.; Xiao, L. Mechanism analysis and suppression method of ultra-low-frequency oscillations caused by hydropower units. Electr. Power Energy Syst. 2018, 103, 102–114. [Google Scholar] [CrossRef]
  13. Liu, Z.; Yao, W.; Wen, J.; Cheng, S. Effect analysis of generator governor system and its frequency mode on inter-area oscillations in power systems. Int. J. Elect. Power Energy Syst. 2018, 96, 1–10. [Google Scholar] [CrossRef]
  14. Yang, W.; Norrlund, P.; Bladh, J.; Yang, J.; Lundin, U. Urban Lundin. Hydraulic damping mechanism of low frequency oscillations in power systems: Quantitative analysis using a nonlinear model of hydropower plants. Appl. Energy 2018, 212, 1138–1152. [Google Scholar] [CrossRef]
  15. Yang, W.; Yang, J.; Zeng, W.; Tang, R.; Hou, L.; Ma, A.; Zhao, Z.; Peng, Y. Experimental investigation of theoretical stability regions for ultralow frequency oscillations of hydropower generating systems. Energy 2019, 186, 115816. [Google Scholar] [CrossRef]
  16. Guo, W.; Peng, Z. Hydropower system operation stability considering the coupling effect of water potential energy in surge tank and power grid. Renew. Energy 2019, 134, 846–861. [Google Scholar] [CrossRef]
  17. Guo, X.; Cheng, H.; Wang, H.; Cheng, Y.; Sun, M. Analysis of the Power Fluctuations Caused by the Unstable Flow in the Trifurcation of Multi-Turbine Diversion Systems with Common Penstock in Hydropower Units. Energies 2019, 12, 2941. [Google Scholar] [CrossRef]
  18. Guo, W.; Yang, J.; Teng, Y. Surge wave characteristics for hydropower station with upstream series double surge tanks in load rejection transient. Renew. Energy 2017, 108, 488–501. [Google Scholar] [CrossRef]
  19. Yu, X.; Yang, X.; Zhang, J. Stability analysis of hydro-turbine governing system including surge tanks under interconnected operation during small load disturbance. Renew. Energy 2019, 133, 1426–1435. [Google Scholar] [CrossRef]
  20. Chen, W.; Wu, X.; Xu, Y.; He, J.; Shi, Z.; Liu, C. EEAC-based Transient Stability Analysis of Hydropower System Considering Different Practical Hydroelectric Generator Models. In Proceedings of the 2019 IEEE 3rd International Electrical and Energy Conference (CIEEC), Beijing, China, 7–9 September 2019. [Google Scholar]
  21. Yu, X.; Zhang, J.; Fan, C.; Chen, S. Stability analysis of governor-turbine-hydraulic system by state space method and graph theory. Energy 2016, 114, 613–622. [Google Scholar] [CrossRef]
  22. Xu, C.; Qian, D. Governor Design for a Hydropower Plant with an Upstream Surge Tank by GA-Based Fuzzy Reduced-Order Sliding Mode. Energies 2015, 8, 13442–13457. [Google Scholar] [CrossRef]
  23. Khan, M.R.B.; Pasupuleti, J.; Jidin, R. Load frequency control for mini-hydropower system: A new approach based on self-tuning fuzzy proportional-derivative scheme. Sustain. Energy Technol. Assess. 2018, 30, 153–162. [Google Scholar]
  24. Zhao, Z.; Yang, J.; Huang, Y.; Yang, W.; Ma, W.; Hou, L.; Chen, M. Improvement of regulation quality for hydro-dominated power system: Quantifying oscillation characteristic and multi-objective optimization. Renew. Energy 2021, 168, 606–631. [Google Scholar] [CrossRef]
  25. Zhou, J.; Hu, R.; Cao, Q. Effect Analysis of Regulation Mode on Small Disturbance Stability in Hydropower Stations. In Proceedings of the 2009 International Conference on Energy and Environment Technology, Guilin, China, 16–18 October 2009; pp. 606–609. [Google Scholar]
  26. Chen, J.P.; Yang, J.D.; Guo, W.C.; Teng, Y. Study on the stability of waterpower-speed control system for hydropower station with upstream and downstream surge chambers based on regulation modes. Symp. Hydraul. Mach. Syst. (IAHR) 2014, 22, 042003. [Google Scholar] [CrossRef]
  27. Heffron, W.G.; Phillips, R.A. Effect of a modern amplidyne voltage regulator on underexcited operation of large turbine generators. Trans. Am. Inst. Electr. Eng. 1971, 1, 692–697. [Google Scholar] [CrossRef]
  28. Fang, H.Q.; Chen, L.; Dlakavu, N.; Shen, Z.Y. Basic modeling and simulation tool for analysis of hydraulic transients in hydroelectric power plants. IEEE Trans. Energy Convers. 2008, 23, 834–841. [Google Scholar] [CrossRef]
  29. Kundur, P.; Balu, N.J.; Lauby, M.G. Power System Stability and Control; McGraw-Hill: New York, NY, USA, 1994. [Google Scholar]
Figure 1. Structure of a hydropower unit.
Figure 1. Structure of a hydropower unit.
Energies 14 01933 g001
Figure 2. Location of the change in hydroturbine torque (ΔTM) in opening regulation mode (ORM).
Figure 2. Location of the change in hydroturbine torque (ΔTM) in opening regulation mode (ORM).
Energies 14 01933 g002
Figure 3. Bode graphs of GYm(s) with different TW: (a) TW = 0.2; (b) TW = 1.2; (c) TW = 2.2; (d) TW = 3.2.
Figure 3. Bode graphs of GYm(s) with different TW: (a) TW = 0.2; (b) TW = 1.2; (c) TW = 2.2; (d) TW = 3.2.
Energies 14 01933 g003
Figure 4. Bode graphs of GPm(s) with different TW: (a) TW = 0.2; (b) TW = 1.2; (c) TW = 2.2; (d) TW = 3.2.
Figure 4. Bode graphs of GPm(s) with different TW: (a) TW = 0.2; (b) TW = 1.2; (c) TW = 2.2; (d) TW = 3.2.
Energies 14 01933 g004
Figure 5. Block diagram of ORM.
Figure 5. Block diagram of ORM.
Energies 14 01933 g005
Figure 6. Block diagram of PRM.
Figure 6. Block diagram of PRM.
Energies 14 01933 g006
Figure 7. Block diagram of the simulation system.
Figure 7. Block diagram of the simulation system.
Energies 14 01933 g007
Figure 8. Response of hydroturbine output torque mt under three-phase short circuit.
Figure 8. Response of hydroturbine output torque mt under three-phase short circuit.
Energies 14 01933 g008
Figure 9. Response of power angle δ under three-phase short circuit.
Figure 9. Response of power angle δ under three-phase short circuit.
Energies 14 01933 g009
Figure 10. Response of rotor speed deviation x under a three-phase short circuit.
Figure 10. Response of rotor speed deviation x under a three-phase short circuit.
Energies 14 01933 g010
Figure 11. Response of hydroturbine output torque mt under voltage fluctuation.
Figure 11. Response of hydroturbine output torque mt under voltage fluctuation.
Energies 14 01933 g011
Figure 12. Response of power angle δ under voltage fluctuation.
Figure 12. Response of power angle δ under voltage fluctuation.
Energies 14 01933 g012
Figure 13. Response of rotor speed deviation x under voltage fluctuation.
Figure 13. Response of rotor speed deviation x under voltage fluctuation.
Energies 14 01933 g013
Figure 14. Response of output power P under voltage fluctuation.
Figure 14. Response of output power P under voltage fluctuation.
Energies 14 01933 g014
Table 1. The parameters in ORM.
Table 1. The parameters in ORM.
TWKPKIPower Response Time (s)Critical Frequency (rad/s)
0.246.1142.68
1.246.8140.40
2.247.514.10.28
3.248.714.10.23
Table 2. The parameters in power regulation mode (PRM).
Table 2. The parameters in power regulation mode (PRM).
TWKPKIPower Response Time (s)Critical Frequency (rad/s)
0.223.414.1-
1.222.814.14.77
2.222.314.22.1
3.21.81.914.10.98
Table 3. The parameters in ORM.
Table 3. The parameters in ORM.
TWZeroPoleDamping RatioNatural Frequency (rad/s)
0.2−10.0000
−6.6667
−0.2103
−0.2045
−5.3849
−0.3136 + 5.5461i
−0.3136 − 5.5461i
−11.6604
1.0000
1.0000
0.0565
0.0565
1.0000
0.2045
5.3849
5.5550
5.5550
11.6604
1.2−6.6667
−1.6667
−0.2345
−0.2246
−1.6709
−0.0939 + 5.1190i
−0.0939 − 5.1190i
−7.4845
1.0000
1.0000
0.0183
0.0183
1.0000
0.2246
1.6709
5.1199
5.1199
7.4845
2.2−6.6667
−0.9091
−0.2586
−0.2418
−0.9885
−0.1311 + 5.0221i
−0.1311 − 5.0221i
−7.3419
1.0000
1.0000
0.0261
0.0261
1.0000
0.2418
0.9885
5.0238
5.0238
7.3419
3.2−6.6667
−0.6250
−0.3000
−0.2664
−0.7375
−0.1585 + 4.9705i
−0.1585 − 4.9705i
−7.2708
1.0000
1.0000
0.0319
0.0319
1.0000
0.2664
0.7375
4.9730
4.9730
7.2708
Table 4. The parameters in PRM.
Table 4. The parameters in PRM.
TWZeroPoleDamping RatioNatural Frequency (rad/s)
0.2−7.3752 + 3.8488i
−7.3752 − 3.8488i
−0.2096
−0.2071
−0.1018 + 5.2020i
−0.1018 − 5.2020i
−7.4804
−9.7755
1.0000
0.0196
0.0196
1.0000
1.0000
0.2071
5.2030
5.2030
7.4804
9.7755
1.2−4.4456
−1.9516
−0.2295
−0.2255
−1.8498
−0.5081 + 4.6213i
−0.5081 − 4.6213i
−6.2418
1.0000
1.0000
0.1093
0.1093
1.0000
0.2255
1.8498
4.6492
4.6492
6.2418
2.2−4.9143
−0.6927
−0.2621
−0.2537
−0.7184
−0.6449 + 4.6364i
−0.6449 − 4.6364i
−6.3139
1.0000
1.0000
0.1378
0.1378
1.0000
0.2537
0.7184
4.6811
4.6811
6.3139
3.2−5.1917
−0.2820 + 0.1345i
−0.2820 − 0.1345i
−0.2882 + 0.1248i
−0.2882 − 0.1248i
−0.6713 + 4.7250i
−0.6713 − 4.7250i
−6.3726
0.9177
0.9177
0.1407
0.1407
1.0000
0.3141
0.3141
4.7725
4.7725
6.3726
Table 5. Simulation cases.
Table 5. Simulation cases.
Simulation CaseRegulation ModeTW
Case 1ORM0
Case 2ORM1.3
Case 3ORM2.7
Case 4PRM0
Case 5PRM1.3
Case 6PRM2.7
Publisher’s Note: MDPI stays neutral with regard to jurisdictional claims in published maps and institutional affiliations.

Share and Cite

MDPI and ACS Style

Guo, X.; Cheng, Y.; Wei, J.; Luo, Y. Stability Analysis of Different Regulation Modes of Hydropower Units. Energies 2021, 14, 1933. https://doi.org/10.3390/en14071933

AMA Style

Guo X, Cheng Y, Wei J, Luo Y. Stability Analysis of Different Regulation Modes of Hydropower Units. Energies. 2021; 14(7):1933. https://doi.org/10.3390/en14071933

Chicago/Turabian Style

Guo, Xinran, Yuanchu Cheng, Jiada Wei, and Yitian Luo. 2021. "Stability Analysis of Different Regulation Modes of Hydropower Units" Energies 14, no. 7: 1933. https://doi.org/10.3390/en14071933

APA Style

Guo, X., Cheng, Y., Wei, J., & Luo, Y. (2021). Stability Analysis of Different Regulation Modes of Hydropower Units. Energies, 14(7), 1933. https://doi.org/10.3390/en14071933

Note that from the first issue of 2016, this journal uses article numbers instead of page numbers. See further details here.

Article Metrics

Back to TopTop