Abstract
For an electric vehicle (EV) with a continuously variable transmission (CVT), a novel convex programming (CP)-based co-design method is proposed to minimize the total-cost-of-ownership (TCO). The integration of the electric machine (EM) and the CVT is the primary focus. The optimized system with co-design reduces the TCO by around 5.9% compared to a non-optimized CVT-based EV (based on off-the-shelf components) and by around 2% compared to the EV equipped with a single-speed transmission (SST). By taking advantage of the control and design freedom provided by the CVT, the optimal CVT, EM and battery sizes are found to reduce the system cost. It simultaneously finds the optimal CVT speed ratio and air-flow rate of the cooling system reducing the energy consumption. The strength of co-design is highlighted by comparing to a sequential design, and insights into the design of a low-power EV that is energy-efficient and cost-effective for urban driving are provided. A highly integrated EM-CVT system, which is efficient, low-cost and lightweight, can be expected for future EV applications.
1. Introduction
Growing concerns of environmental contamination and depletion of natural resources have led to the resurgence of electric vehicles (EVs). Admittedly, the emerging EV market is mainly dominated by single-speed transmissions (SSTs). Nevertheless, to optimize key performance indicators (KPIs), for example, energy consumption, system cost and performance, research on multi-speed transmissions is gaining popularity, such as two-speed transmissions and continuously variable transmissions (CVTs) [1,2,3,4].
To date, design of EVs (including CVT-based) is largely based on off-the-shelf components due to cost, and powertrain components are typically not optimized [5]. The component size, for example, the electric machine (EM) size in kW and battery size in kWh, is associated with the component cost. Finding optimal component sizes would contribute to cost reduction. The component size also influences the vehicle performance, such as top speed and acceleration time. Moreover, EV energy consumption is largely influenced by the driveline efficiency. In this respect, the integration of the EM and the CVT plays a key role [6]. The CVT could provide opportunities of optimizing the EM, thanks to the continuous ratio adjustment functionality. The wider power availability of the EM, in turn, could offer opportunities of optimizing the CVT. In literature, however, the EM and the CVT are often treated independently. Standard CVT controllers developed for conventional vehicles are used, where the speed ratio of the CVT (control) is selected to reduce the EM power losses. The influence of the CVT efficiency, CVT and EM size (design) are not always considered simultaneously [4]. In order to maximize system efficiency and minimize system cost, the coupling between the EM and the CVT from design and control perspectives has yet to be investigated. In order to address these issues, design and control frameworks are required.
This type of design problem can be tackled by different approaches. An overview of design and control optimization methodologies is given in [7,8]. As presented in [7], there are generally four approaches to solve the design (plant) and control (controller) problem. With respect to solution optimality, simultaneous and nested coordination schemes outperform iterative and sequential ones, although depending on the coupling and how sensitive the solution is to uncertainties in the design parameters. For instance, the optimal component sizes can be found iteratively, by using rule-based control [9]. However, these methods do not guarantee a globally optimal solution. To overcome this limitation, dynamic programming (DP), as an optimization-based strategy, can be used to find the optimal control inputs [10]. DP can also be utilized in combination with an evolutionary algorithm to find component sizes, such as particle swarm optimization (PSO). In the search space, PSO improves a candidate solution iteratively by moving particles towards the best known positions [11,12]. It can solve complex objective functions and problems with large design space. PSO is used in [13] to find optimal component sizes of an electrified powertrain. However, it requires tuning effort and has long computation time. Furthermore, an optimal solution is not guaranteed. An alternative is to use convex programming (CP) as a simultaneous approach, which is also a co-design optimization method. It finds optimal design parameters and control trajectories simultaneously without the need of checking optimality [14,15]. It ensures a unique optimum with a convex objective function and a convex feasible region. It is also computationally efficient. Due to the low computation time, CP enables optimization of problems with many dynamic states, such as thermal states, which may not be tractable by using DP for example [16].
Moreover, employing a CVT for an EV is a novel concept. Applying advanced optimization methods to optimize KPIs of CVT-based EVs have hardly been found [6]. Additionally, current research mainly concentrates on the energy domain to increase the energy efficiency, taking into account the mechanical and electrical energy flows [17]. The thermal domain, however, for instance, evaluation of cooling power consumption and temperature profile, has yet to be explored. It is also an integral part of an EV, which would affect the total energy consumption [18].
Considering the integration of the EM and CVT, as shown in Figure 1, the CVT speed ratio over time () for a use case changes the EM and CVT operating points. Therefore, it influences the EM () and CVT () power losses. Furthermore, the desired CVT speed ratio affects the CVT size (), for example, the ratio coverage of the CVT, and the EM size () to meet the power demand for example. The CVT and EM sizes are related to their costs. The CVT size that determines the ratio range, in turn, affects the CVT speed ratio and the EM size. The EM size also has an effect on the CVT size and its speed ratio. In addition, the component size affects its own efficiency. Moreover, the battery size and losses are affected indirectly. Hence, the hypothesis is that there exists an optimal combination of the CVT speed ratio over time, battery size, EM size and the CVT size for an application, which results in the lowest total-cost-of-ownership (TCO). TCO consists of energy consumption and system cost. The system cost comprises the CVT, EM (including inverter) and battery prices. Given the interactions between these variables, this optimal solution for a use case can best be found by means of a simultaneous approach in an efficient manner.
Figure 1.
Schematic representation of the coupling between the continuously variable transmission (CVT) and electric machine (EM), where represents the CVT speed ratio, the CVT size, the EM size, the CVT power losses, and the EM power losses.
Motivated by the above discussion, this study originally proposes a CP-based co-design optimization strategy for a CVT-based EV to reduce the TCO. It identifies the optimal CVT speed ratio over time and the desired air-flow rate of a thermal management system (TMS) to maintain the EM temperature below its thermal limit. Furthermore, it finds the optimal sizes of the CVT, EM and battery. The approach is as follows:
- :
- An SST-based EV model including energy dynamics and thermodynamics with reference to a series production vehicle is firstly created. It is developed based on static efficiency maps represented by lookup tables, which is validated against measurement data from real-world driving. It replicates the physical behavior of the vehicle in reality.
- :
- A CVT-based EV model is then developed based on , where only the SST is replaced by a CVT (an off-the-shelf component, which is not optimized). Other components, for example, the battery and EM, are the same. The CVT model is created based on experimental data from a test rig.
- :
- Component models from are convexified to fit the measurement data from real-world driving and experimental data from the test rig. is subsequently optimized with the co-design optimization strategy.
All the systems (, and ) have the same maximum EM power and similar vehicle performance (i.e., 0–100 km/h acceleration time below 11 s, top speed above 165 km/h, gradability above 30%). Therefore, the goal of this study is to show the advantages of the co-design approach in optimizing a CVT-based EV (e.g., sizing) and to compare TCO between , and . System cost comprising the expenses of the battery, EM and CVT are solely given for the implementation of the co-design approach. Moreover, the strengths of the co-design method are highlighted, by comparing with a sequential approach, where the EM size is fixed to meet performance requirements. Additionally, for urban driving that does not require high performance, insights into the design of a low-power EV are provided.
2. Problem Definition
The configuration of the considered EV is demonstrated in Figure 2. The integration of the EM and the CVT is the primary focus, which are highlighted in bold. The major components of the EV are the battery, DC (direct current)-DC converter, DC-AC (alternating current) inverter, EM, CVT, electric oil pump (ELOP), and vehicle. If not specified, the DC-AC inverter and EM are combined together in this study. The final drive (FD) that takes a constant value and a fixed efficiency is lumped into the variator (VA), which together is regarded as CVT. In order to change the CVT speed ratio, hydraulic actuation power is required from the ELOP. The ELOP power is supplied by the DC-DC converter onboard, which is assumed to be always charged. The EM is directly connected to the input shaft of the CVT without a pre-reduction gear. The battery provides the power requested by the EM. The EV model describes the longitudinal dynamics. It is backward-facing, that is, the drive cycle is given, with a discrete time-step of one second using time index k. The vehicle inertia is considered. The main model parameters are listed in Table A1 (Appendix D), including vehicle parameters and validated thermal parameters.
Figure 2.
A CVT-based electric vehicle, where BA represents the battery, DC-AC the DC (direct current) to AC (alternating current) inverter, DC-DC the DC to DC converter, ELOP the electric oil pump, FD the final drive, VA the variator, and WH the wheel. Design, control, and state variables are highlighted in bold.
The main design criterion to find the optimal control and design variables is the minimization of the TCO, which consists of the consumed electricity cost and system cost , given by
where is the time step. The design variables consist of the ratio coverage of the CVT , the scaling factor for scaling the maximum EM torque and the scaling factor for scaling the battery cells, that is,
The state variables are the state-of-energy of the battery and temperature states of the TMS, which are described in Section 3.7, given by
The control variables are the speed ratio of the CVT () and the air-flow rate of the TMS () to keep the EM temperature below its prescribed thermal limit, that is,
The power balance of the vehicle is represented by (3), and (4) represents the feasible design space, where the design, state and control variables are bounded. Equation (4) also represents the component limits. The disturbance vector contains vehicle speed () and acceleration (), which are prescribed by the drive cycle, given by
The consumed electricity cost over the drive cycle represented by starting at and ending at is obtained by
where is the price of electricity (€/kWh). The term represents the battery output power. The system cost over the drive cycle is calculated by
where is the length of the drive cycle (km) and the traveled distance of the vehicle in its lifetime. The variable represents the CVT cost, the EM cost (including inverter) and the battery cost.
Based on the configuration shown in Figure 2, three systems, namely , and , are developed and compared in terms of TCO as in (1). Three systems have the same battery. Although battery aging is not the focus of this study, the methodology presented also applies to scenarios where battery needs to be changed. is developed with reference to the series production vehicle, which is described in Appendix A. is created based on , where only the SST is replaced by the CVT, which is presented in Appendix B. In and , the component models are represented by experimentally-based lookup tables (efficiency maps), which describe the power generation or power dissipation of each component. The design variables are fixed. In , the CVT speed ratio is predetermined by a low-level CVT controller, which is developed based on [19]. The goal of the CVT controller is to reduce the EM power losses depending on the power demand, which is common in literature, such as [20]. The air-flow rate of the TMS is tuned to maintain the EM temperature below its thermal limit. In , convex models are developed based on measurements. The design and control variables are to be determined by the co-design optimization strategy.
This section formulates the co-design optimization problem of a CVT-based EV. To solve this co-design optimization problem, the required convex EV model based on measurements, especially the mathematical coupling between the CVT and EM from design and control perspectives, is presented in more detail in the next section.
3. System Modeling
This section presents the convex EV model and cost models needed for solving the co-design problem defined in (1). An introduction to CP is first given in Appendix C, which serves as a guideline for developing convex models. A data-driven approach used to derive the convex models is then provided in Section 3.1. Subsequently, given the drive cycle in Section 3.2, the vehicle longitudinal dynamics are described in Section 3.3, which is an input to the convex models in . Given the input, however, the torque input to the CVT is not available. Because the CVT speed ratio is a control variable, which is not known in advance and will be determined by the co-design optimization strategy. Dealing with torque information will lead to non-convexity (Appendix C). Therefore, to preserve convexity for the co-design optimization problem, all the relations are converted to power level. By utilizing the data-driven approach as mentioned above, three convex models are consequently developed, namely the CVT power loss model (Section 3.4), EM power loss model (Section 3.5) and the EM power limitation model (Section 3.6). Equality constraints are also relaxed with inequalities where applicable, and the equality holds at the optimum. Notice that, this study mainly focuses on the CVT, EM and battery sizing, and the ELOP sizing is not required at this level. Therefore, the ELOP is only considered in the calculation of energy consumption, and no convex representation is required. The ELOP power losses are computed offline, meaning the ELOP power losses are obtained based on the optimal CVT speed ratio found by the optimization algorithm and then added to the energy consumption. Furthermore, to remove the heat (power losses) generated by the EM and CVT, the TMS and its associated thermal model are presented in Section 3.7. Eventually, the required power is supplied by the battery, which is described in Section 3.8. The convex battery model is developed based on physics [21]. Additionally, in Section 3.9, convex mass and cost models related to CVT, EM and battery sizes are developed for the implementation of the co-design approach.
3.1. Derivation of Convex Models
As mentioned in Appendix C, the component models, for example, the power loss models, are required to be convex for the CP algorithm. The general idea to derive the convex models based on a data-driven approach can be seen in Figure 3, where measurements are used as inputs for the modeling. The measurement data (top) about the CVT and EM, for example, power losses, torque, speed, and ratio over time, are first served as inputs. Based on these measurements, a set of convex expressions capturing input and output relationships with sufficient accuracy is created. With different combinations of those expressions, for example, CVT and EM power loss models, are then developed. These parameterized models are subsequently fitted to capture the loss behaviors of components with sufficient accuracy, which have a negligible impact on the result. Fourth, the convex models are utilized by the co-design optimization method to find the optimal solution of the system.
Figure 3.
A data-driven approach to derive convex models. In order to apply convex programming, constraints and cost function are also required to be convex.
3.2. Drive Cycle
In this work, a realistic and representative real-world drive cycle, Worldwide Harmonized Light Vehicles Test Cycles (WLTC), is chosen. It is currently widely adopted in the automotive sector to certify energy consumption. It includes low, medium, high, and extra high speed scenarios, which can represent, for example, urban, rural, and highway driving conditions. In order to show the thermal effect, two repeated WLTC is used. The drive cycle contains the vehicle speed and acceleration . Note that, although the quantity (e.g., energy consumption) might vary, the methodology presented also applies to other drive cycles.
3.3. Longitudinal Dynamics
Note that, in this case the total vehicle mass is a variable because of the scaling factors for the CVT, EM and battery, which will be presented in the next sections. Considering all the forces acting on the vehicle, the power demand for the known WLTC can be obtained by
where the total vehicle mass is given by
where is the curb weight excluding the CVT (), EM () and battery () mass (Table 1). is the driver mass.
Table 1.
Comparison of component parameters between , and .
3.4. Convex CVT Model
Convex modeling of the CVT is shown in Figure 4, taking into account the effect of design (,) and control () on the CVT power losses ().
Figure 4.
Convex modeling of the CVT, where represents the maximum EM torque and the EM base speed.
Based on the measurement data, the CVT torque losses can be expressed as a function of its input torque , input speed , and ratio over time . As shown in Figure 2, the relationships in are converted to the power domain. At given input speeds to the CVT, the CVT torque losses are converted to their corresponding power losses , that is,
On the basis of these inputs (, , and ) to the CVT, the outputs ( and ) of the CVT can be determined as
The input-output relationship of the CVT implies that the CVT power losses can also be formulated on system level as (Figure 4a):
Clearly, the CVT power dissipation is influenced by the control variable . However, while and are known here, the CVT speed ratio will be decided by the optimization algorithm. Dealing with this speed ratio alone would lead to non-convexity (Appendix C). Hence, considering the co-design problem and in order to preserve convexity, the information of is embedded in another variable , by applying a change of variables [22], given by
Notice that there is no information loss and the optimization strategy will assess every possible combination of and . There are also two other reasons of selecting . Firstly, the CVT is a rotating mechanical component, and this term is closely related to its kinetic energy. Secondly, in practice, the CVT speed ratio is often determined based on the EM speed and wheel speed , since there is always torque loss in between, but there is no speed loss. Therefore, the CVT power dissipation is affected by (Figure 4a), as it contains the information of speed ratio. Furthermore, the variable is influenced by the ratio coverage of the CVT , which is the range that the CVT can actually shift, as illustrated in Figure 5. In this figure, and are the overdrive ratio and underdrive ratio of the CVT, respectively. The ratio coverage of the CVT is defined by
Figure 5.
Ratio coverage of the CVT.
The CVT sizing is carried out on the basis of the design variable , because it is one of the most influencing factors that affect cost, efficiency, drivability, and packaging of CVT and powertrain [6]. Note that there are other factors that affect the variator efficiency and hence the CVT loss, such as the center distance of the pulleys and variator asymmetry. Since this study focuses on system-level representation and there is no pre-reduction between the EM and CVT, these factors are not considered. The underdrive ratio and the overdrive ratio are known. In order to avoid non-convexity for the co-design problem (Appendix C), the overdrive ratio is fixed in this study. Therefore, constraints on , , and are
The CVT power dissipation in (13) is measured based on an original CVT product (sold on the current market) with a full ratio range of [0.38, 2.63]. Therefore, it has a large ratio coverage, torque capacity () and power capacity (). In case of a CVT with reduced ratio coverage (), smaller ELOP and on-demand actuation, resulting in a compact and small CVT (superscript “”) with smaller power capacity (), a higher CVT efficiency is expected [6,23]. This higher efficiency potential means a lower power dissipation. Compared with the original CVT power losses in (16), this lower power dissipation can be modeled by a multiplier , which is a function of the EM scaling factor, giving
This multiplier is sensitive to many parameters and technological advances. For example, as reported in [24], the maximum efficiency of the current variator could be above . Notice that, the final drive does not benefit from this loss reduction. Additionally, the current CVT and EM are designed separately, which leads to a mismatch between the specifications. In this work, as shown in Figure 2, the EM is connected to the CVT without a pre-reduction gear. The required CVT torque capacity is determined by the output of the EM , as demonstrated in Figure 4b. Here, , the scaling factor for the EM, is a design variable, which will be explained in Section 3.5. Thus, the multiplier can be obtained by [23]
where is the maximum EM torque when and is the EM base speed. Similar to [23], this multiplier can be interpreted as a proportional improvement of the more efficient variator, which typically accounts for thirty percent of the total power losses in previous applications.
Consequently, the factors that influence the CVT power losses are , , , and (Figure 4a,b). Taking into account convexity and possible combinations of expressions, various models are developed to represent the CVT power losses. The models are fitted to capture the loss behavior of the CVT. Based on the evaluated fitting accuracy, the convex CVT model is identified as follows:
where , , , , and are the corresponding coefficients. Notice that the power losses are always constrained to be equal to (i.e., vehicle velocity ) or larger than zero. This model is convex (Appendix C) and has a fitting accuracy of around 98%. It should be noted that, information is exchanged between the terms. For example, the information of is not only explicitly expressed in and , but also implicitly embedded in other terms. The term is important for CVT applications, as generally CVT does not operate at very high speeds, yet would lead to lower friction losses of the EM. Another design variable () and control variable () are reflected in . While the information of speed and torque are conveyed already by and , it is further reinforced by torque squared and speed squared to capture essential CVT dynamics. An example of and is shown in Figure 6, where the CVT power dissipation is a function of the power demand and . It can be seen that the developed convex CVT model and the original model based on the measurement data resemble well. The difference between them, which is represented by the absolute error, is small for the relevant range. It means that the developed convex model captures the loss behavior of the CVT with sufficient accuracy. Such correlations in data analysis can be done by clustering the data sets for certain physical attributes. In this case, the CVT power dissipation is considered as the attribute.
Figure 6.
Convex CVT power loss model for and . The absolute error represents the difference in power loss between the convex model and the original model based on the measurement data.
3.5. Convex EM Model
Convex modeling of the EM power losses () is illustrated in Figure 7, taking into consideration the interconnections between the EM and CVT from design and control perspectives.
Figure 7.
Convex modeling of the EM, where represents the EM output power.
To obtain the convex EM model, the steps in Figure 3 are followed, as it is done for the CVT in Section 3.4. As shown in Figure 2, the EM is directly linked to the input shaft of the CVT and provides the power requested by the CVT, referring to (22), that is,
Based on the measurement data, the EM power losses can be expressed as a function of its output torque and speed . The EM power dissipation is given by
On the basis of the output torque and speed of the EM, its output power can be calculated by
Moreover, the EM power dissipation is influenced by its size (in torque and speed). In this work, the maximum EM torque () is scaled down by using the scaling factor , as shown in Figure 8. The base speed is increased () such that the maximum output power is maintained, that is,
Figure 8.
Scaling factor of the EM including the DC-AC inverter, where the solid lines represent the original EM, dashed lines the scaled EM while keeping the same output power, and optimal operating line (OOL) the optimal operating line minimizing the EM losses for every power demand.
The EM sizing is performed based on the design variable , because it affects the EM efficiency, weight and cost. For example, reducing the maximum EM torque decreases the usage of active materials of the EM. Note that because of physical limitations of the CVT, the EM speeds above 6500 rpm are not used for the CVT application, which has a negligible impact on the result.
The EM scaling factor influences the EM torque, optimal operating line (OOL) and power losses, which is bounded by
As illustrated in Figure 4b, the scaling of EM has a direct effect on the CVT design requirements. Furthermore, as explained before, the EM power dissipation is influenced by another design variable and control variable , which change its operating point and hence the power losses. The information of and are represented by .
To sum up, the identified parameters that affect the EM power losses are , , and , which are shown in Figure 7. Models that contain these parameters and their combinations, which are also potentially convex, are built. In a similar fashion as with the convex CVT modeling (Section 3.4), the EM models are fitted to capture the loss behavior of the EM. On the basis of fitting accuracy, the convex EM model is found as follows:
where , , , and are the corresponding coefficients. The information of speed and torque are conveyed already by , and it is further reinforced by torque squared and speed squared to capture essential EM dynamics. Based on Appendix C, this model is convex. It has a fitting accuracy of around 95%. An example of = 1 is illustrated in Figure 9, where the EM power dissipation is a function of the EM power and . A good resemblance can be seen between the developed convex EM model and the original model on the basis of the measurement data. As represented by the absolute error, the difference between them is small. This implies that the developed convex model captures the loss behavior of the EM with sufficient accuracy. Notice that all the EM torque and speed combinations are taken into consideration in constructing the model, and some of them result in higher losses, leading to a larger discrepancy in the upper part of Figure 9. The EM, in practice, however, will not operate at those points. These points are outside the torque-speed envelope, which will be constrained by the EM power limitation model and will be described next. The relatively lower correlation accuracy in the lower part is due to the fact that both motoring and generating modes are considered. Taking into account limited operating points in this part for a long drive cycle in practice, the impact is small.
Figure 9.
Convex EM power loss model for = 1. The absolute error represents the difference in power loss between the convex model and the original model based on the measurement data.
3.6. Convex EM Power Limitation Model
As varies, the EM power limits change as well, referring to (29), as shown in Figure 10. Note that the EM power limits also consider the effect of the CVT (). Regarding the EM power limits, as can be seen from Figure 8, they mainly relate to two parts, that is, one before the base speed and the other after the base speed (). Hence, the speed information is important. As speed information is mostly conveyed by , it is identified as one of the key parameters. As a result, factors that influence the EM power limits could be, for example, and . Based on these parameters, possible models that preserve convexity are developed, which are fitted to represent the EM power limitation. Based on fitting accuracy, the convex EM power limitation model including motoring and generating modes is identified as follows:
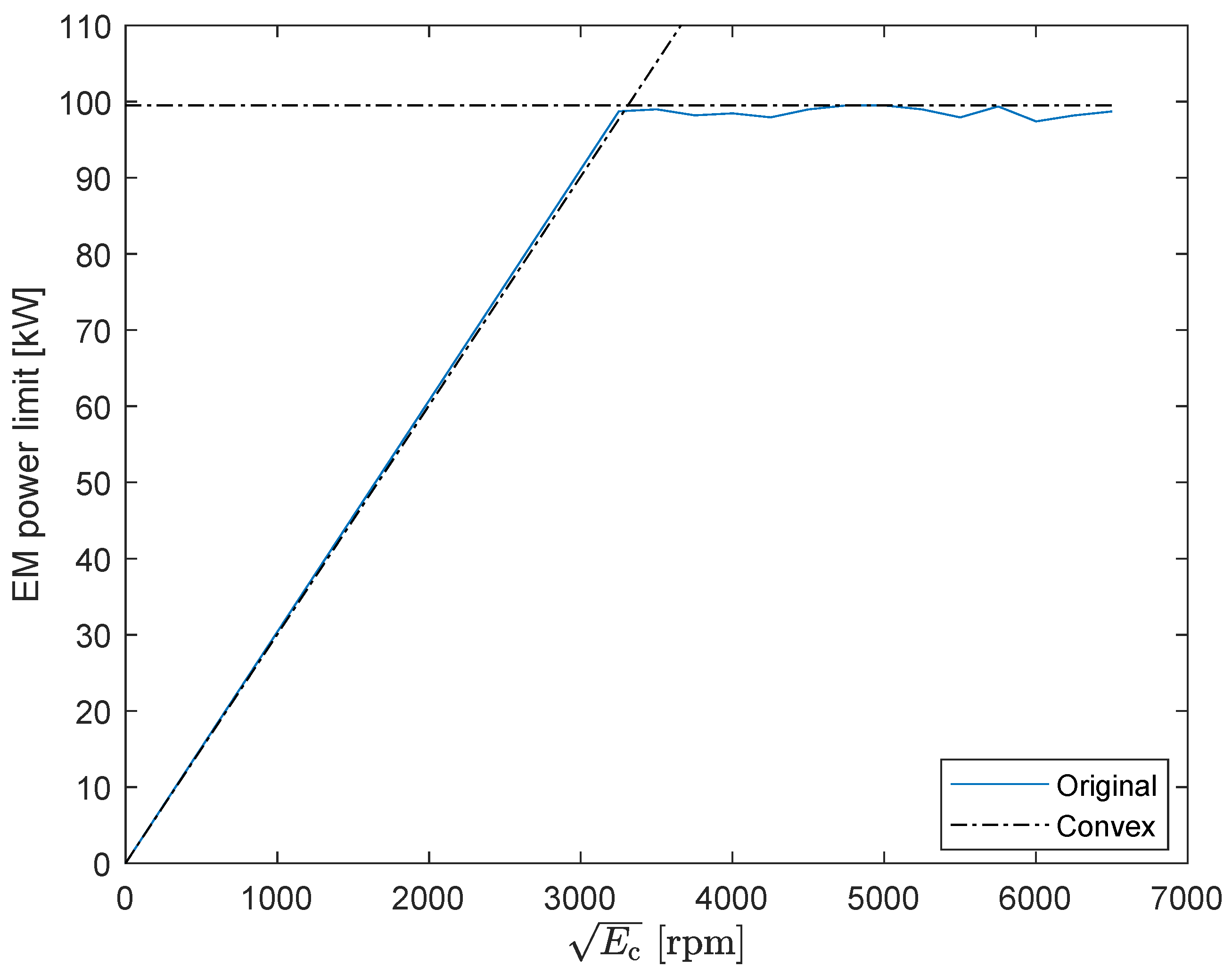
where , , , , , , and are the corresponding coefficients. The plus sign (+) represents the motoring mode and the minus sign (-) the generating mode. This model is convex (Appendix C) and has a fitting accuracy of around 99%. The terms and represent the maximum and minimum power of the original EM, respectively, which can be obtained from Figure 8. An example of this model for in motoring mode () is depicted in Figure 11, which can be mirrored for generating mode (). It can be observed that the developed convex EM power limitation model and the original model based on the measurement data resemble well. It indicates that the developed convex model replicates the power limitation of the EM in reality. It should be noted that while the approximated convex model appears as straight lines in Figure 11 for , they may not be for other scaling factors, depending on (32) and (33). Notice that, this model is mainly used in Section 4.3.
Figure 10.
Convex modeling of the EM power limits.
Figure 11.
Convex EM power limitation model for = 1 in motoring mode (). The dash-dot lines represent the approximated convex model before and after the base speed.
3.7. Thermal EM-CVT Model
The heat (power losses) generated by the CVT ( in (24)) and EM ( in (31)) is removed by a TMS, as demonstrated in Figure 12. The main difference between Figure 12 and Figure A4 is that there is an extra small off-the-shelf heat exchanger in Figure 12. It enables heat exchange between the CVT cooling medium and the EM cooling medium. The EM and the CVT are physically attached. The heat from the CVT is removed directly by its cooling medium, which exchanges that with the EM cooling medium. Furthermore, the heat from the EM is taken away by its cooling medium driven by a pump, which is eventually removed by the radiator with a fan providing the required air-flow rate. The EM and CVT dissipate heat to the ambient air due to convection. The aim of the TMS is to find the desired air-flow rate () that maintains the EM temperature () below its prescribed thermal limit (65 °C) dictated by the manufacturer. A lumped-parameter approach is utilized to describe the thermal behavior of the EM and CVT. Based on first principles of thermodynamics, referring to Appendix A.4, the thermal EM-CVT model is given by
Figure 12.
Thermal management configuration for the EM-CVT.
The thermal variables are restricted by
This model is validated against measurement data in terms of temperature, which is presented in Appendix A.4. Note that since detailed pump and fan signals are not available in the measurement data, validation of cooling power consumption is not performed. Hence, the cooling power consumption is not added to the overall energy consumption. It does not influence the purpose of this study, focusing on evaluation of thermal performance (Section 4.4).
3.8. Convex Battery Model
The electric power of the EM is provided by the battery. The battery model is based on lithium-ion technology with identical cells. The required battery power is given by
where represents the battery losses, which is calculated by
where is the cell current and its resistance. The battery sizing is performed based on the scaling factor for scaling the battery cells, which linearly influences the battery energy, weight and cost. is the original number of battery cells when . To preserve convexity for the co-design problem (Appendix C), the open circuit voltage of a battery cell () is approximated as a linear function of the state-of-charge of the battery (), given by
where is the cell capacity and the capacitance. The battery energy can then be calculated by
Taking the derivative of yields
In order to model the battery on a pack level instead of a cell level, which does not require information of series-parallel connection, the cell voltage is replaced by a new variable , by applying a change of variables, given by
The battery power losses can then be expressed as
The battery energy and power are constrained by
where is given by
3.9. Convex Mass and Cost Models
Apart from powertrain and thermal models, convex mass and cost models are required for the implementation of the co-design method. This section describes the convex mass and cost models associated with the CVT, EM and battery sizes. The CVT mass includes the mass of the variator and final drive. The EM mass includes the mass of the EM and inverter.
For a generic CVT, its weight can be approximated as a function of its torque capacity based on existing CVTs [25]. The CVT weight is modeled by
The original production CVT with a full ratio range of [0.38, 2.63], implying a ratio coverage of around 7, has a torque capacity of 250 Nm. On the basis of this CVT, assume the ratio affects the torque capacity proportionally. For each torque capacity (ratio coverage), the corresponding weight can be computed based on (52). Specifically for the CVT in this study, a one-on-one mapping between the weight and ratio coverage can thus be expressed as
The prediction (54) is valid on the basis of this CVT, since the ratio coverage is scaled down.
The EM weight is estimated as a function of its scaling factor [26], that is,
where is the original EM mass when , which is provided in Table 1.
The EM cost (in €) is estimated as a function of its scaling factor [27,28], giving
The battery weight is described as a function of its scaling factor, given by
where is the original battery mass when , which is provided in Table 1. The battery cost (in €) is approximated by [28,29]
Note that, the price of CVT could be lowered, as some parts of the CVT for conventional applications are not needed in EVs, such as torque converter and DNR (drive, neutral and reverse). However, since part of this information is taken into account in (53) and the exact weight is not known before optimization, it is not further addressed. Moreover, currently, there is no consensus on the component price. The numbers used in this study are only indicative figures (e.g., , ), which have no direct relation to possible market prices. They do not affect the comparison, as the same scale is employed in all the systems (, and ).
Additionally, notice that the component specifications appear large in this case. The components are scaled down, which means that, for example, and , are not necessary. The models are always valid within their feasible ranges based on the measurement data. The right combination of the speed ratio of the CVT over time , air-flow rate of the cooling system , ratio coverage , the scaling factor for the EM and the scaling factor for the battery will be determined simultaneously by the optimization algorithm, which is discussed in the next section.
This section presents a convex EV model and its associated cost models for the co-design optimization problem. A data-driven approach is used to derive the convex CVT and EM models. In particular, the coupling between the EM and CVT from design and control perspectives is described in detail. Compared to the original model based on measurements, the convex CVT power loss model is developed with a correlation accuracy of 98%. The convex EM power loss and power limitation models are developed with correlation accuracies of 95% and 99%, respectively. An experimentally validated thermal EM-CVT model is subsequently presented. A convex battery model is also developed. Finally, convex mass and cost models that are size-dependent for the CVT, EM and battery are created. The overall system has a large number of states, and there is a strong coupling between the CVT and EM. By applying CP, not only will it find an optimal solution but also it will find the solution in a computationally efficient manner. It allows for extensive parameter variation studies and evaluation of diverse design aspects on system and component level.
4. Optimization Results and Discussion
On the basis of the convex models developed in the last section, the objective of the co-design optimization strategy is to minimize the TCO. It aims at generating an optimal control trajectory of the speed ratio of the CVT () and finding the desired air-flow rate of the cooling system (). Furthermore, it aims to identify the optimal sizes of the CVT (), EM () and battery (). Based on (1), the overall co-design optimization problem in can be written as follows:
The final state of the battery energy is not constrained, considering the battery capacity and the power demand of the drive cycle. The overall optimization problem is convex, including convex cost function, models and constraints. Basic convex functions, for example, linear, quadratic, quadratic-over-linear and opposite of geometric mean functions, and operations that preserve convexity, for example, nonnegative weighted sums and pointwise maximum, are used to verify model convexity. For example, the battery mass model (57) is linear and the CVT cost model (54) is quadratic. A quadratic-over-linear term is used in the EM loss model (31). The overall co-design optimization problem is solved by using SDPT3 [30]. Specifically, the problem can be recognized as a semidefinite program. It is then translated automatically by a tool CVX into a form required by SDPT3 [30]. This permits the problem to be written in a readable form, for example, using expressions/symbols to hold operations over variables. It solves the dual problem for improved efficiency [22].
4.1. Control and Design Freedom
The co-design optimization method tends to obtain a globally optimal solution by simultaneously optimizing the design and control variables to minimize the TCO. Figure 13 shows the EM operating points on the WLTC for the three systems. It can be seen from Figure 13 that the EM operation in is relatively fixed, which has no control freedom because of the fixed gear ratio (9.02 in Table 1). The EM has to operate according to the driving conditions, which can hardly be efficient in consideration of real-world dynamic behavior. In contrast, the EM in has relatively more freedom to adjust operating points to reduce the power dissipation. This is realized by changing the speed ratio of the CVT, depending on the loading conditions. Yet, implementing the standard CVT controllers developed for conventional vehicles would reduce only the EM power losses (Section 2), regardless of the CVT efficiency. While the EM operation in is efficient, which follows its OOL (Figure 13), the system (combined EM and CVT) is not able to operate efficiently over a dynamic cycle (WLTC). The combined EM and transmission losses are thus higher in than that in , as shown in Figure 14. The co-design optimization strategy, however, takes full advantage of control freedom (continuous ratio adjustment depending on the driving conditions) provided by the CVT. Specifically, apart from the EM power dissipation, the CVT power losses are also monitored in . The CVT speed ratio over time (19) is selected to improve the overall system efficiency. Ratio variation that results in a higher loss is penalized. Smooth ratio change improves efficiency, drivability and reduced ELOP power losses. This effect can be seen in Figure 14, where the CVT power dissipation in is significantly lower than that in and the system efficiency is higher. The EM efficiency is also high in , as demonstrated in Figure 13. The battery power dissipation is similar in three systems.
Figure 13.
EM operating points on the Worldwide Harmonized Light Vehicles Test Cycles (WLTC). (Top to bottom) , , and .
Figure 14.
Comparison of energy consumption between (with a total vehicle mass of 1670 kg), (with a total vehicle mass of 1700 kg) and (with a total vehicle mass of 1666 kg) on the WLTC, where RL represents road load. The transmission (TR) losses include the ELOP power dissipation, which is zero in . The EM power losses include the effect of the DC-AC inverter.
Additionally, the control freedom offered by the CVT creates design flexibility, which is not explored by , as the component sizes are fixed. The design space is larger in , with different combinations of CVT (21) and EM (30) sizes, which bring opportunities of optimizing the system from design perspective. The optimal component sizes, namely the right combination of the scaling factor for the battery (), scaling factor for the EM () and the ratio coverage of the CVT (), are eventually determined by the co-design optimization method. The co-design optimization strategy takes into account the coupling between the EM and CVT, cost function and the drive cycle.
As shown in Table 1, the maximum EM torque is reduced from in and to in . Reduced EM torque and increased base speed decrease the EM losses (Figure 13). The optimal battery size is found and the number of battery cells is reduced because of improved efficiency (Table 1). The EM in has the same maximum power as the other systems. Because the same EM from the SST-based EV on the market () is utilized in , which is not optimized for the CVT application. Even if the EM is made smaller in , the overall system efficiency is not necessarily always be higher, see Figure 8 about the OOL, as the CVT efficiency is not considered.
This reduced EM size is achieved due to a variable ratio coverage. The right ratio coverage of the CVT can also thus be determined in combination with the EM size in terms of torque and power. It is reduced from [0.7, 2.63] with a ratio coverage of 3.76 before optimization to [0.7, 2.34] with a ratio coverage of 3.34 after optimization (Table 1). In , the CVT is oversized considering the WLTC. First, the CVT used in is based on an off-the-shelf component, which is not optimized. Second, the CVT is controlled only to reduce the EM power dissipation, regardless of the CVT size. The system mass including transmission, EM and battery (Table 1) is thus reduced in due to the reduced component sizes, resulting in a decrease in power demand (RL in Figure 14). The curb weight and driver mass are the same in the three systems.
Owing to high CVT power losses in , the energy consumption is reduced by around 3.1% in . Compared with , because of the reduction in the system power losses (Figure 14), the energy consumption is decreased by around 5.1% in . The decrease in the CVT power dissipation contributes more to the energy saving. Given the component sizes, the component costs are calculated based on (54), (56) and (58). As shown in Figure 15, compared with , the system cost is increased by around 5.1% in , as the CVT cost is higher than the SST price. Due to the reduction in the component sizes (Table 1), compared to , the system cost is reduced by around 1.8% in . Reduced EM torque decreases the EM mass and cost. The decrease in the battery and EM prices contributes more to the cost saving.
Figure 15.
Comparison of normalized system cost between , and , where the EM cost includes the DC-AC inverter.
Overall, as shown in Figure 16, has the lowest TCO because of reduced energy consumption and system cost, which is around 2% lower than . The optimization results demonstrate that the optimized EM-CVT system can be compact, lightweight, energy-efficient and cost-effective. It is very different from its traditional image. Additionally, it can be suggested that automotive suppliers could greatly benefit from highly integrated components and systems to maximize their system efficiency and minimize cost targets. It can also be observed that reducing the maximum EM torque and increasing the base speed while having a higher slope of OOL compared with that of SST are beneficial for CVT-based EVs (Figure 13). Most importantly, it shows the importance of cycle-driven (Section 3.2) and co-design (Section 2) in identifying the optimal control trajectories and component sizes. Specifically, it finds the trade-off between CVT power losses (24), CVT size (21), EM power losses (31), and EM size (30), based on the combined EM-CVT characteristics (Figure 7) and cost function (1).
Figure 16.
Comparison of normalized TCO between , and .
4.2. Sequential Design versus Simultaneous Design
The strength of co-design (simultaneous design in this case) lies in the fact that it finds the optimal design and control variables simultaneously. It minimizes the cost function for a strongly coupled problem, which is the case for the integration of the EM and CVT (Figure 1). The CVT speed ratio (control) influences the CVT and EM sizes (design/plant), and vice versa (e.g., (24) and (31)). The cost function, namely the minimization of the TCO (1), consists of the energy consumption (9) and system cost (10), and both are affected by the design and control variables. In order to demonstrate the effectiveness of the co-design approach in , it is compared to a sequential design (SD) method, where the plant and controller are determined sequentially (Section 1). Note that for purposes of comparison, not all the plant parameters are predetermined. SD is defined as follows:
- SD: Based on , assuming that the EM size is fixed (i.e., ) in order to achieve the required performance (Section 1), the goal is to find the CVT speed ratio over time, CVT and battery size reducing the TCO.
Referring to (1), the corresponding cost function is given by
where is a constant because of the fixed EM size. Other constraints remain the same. The comparison between SD and is shown in Figure 17.
Figure 17.
Comparison of normalized EC, SC and TCO between SD (with a total vehicle mass of 1677 kg) and , where EC represents the energy consumption and SC the system cost.
It can be seen from Figure 17 that the energy consumption (EC) and system cost (SC) are reduced in compared with SD. Overall, the TCO is decreased by around 3.4% in . The primary reason is that the control and design freedom provided by the CVT cannot be fully exploited in SD because of the fixed EM size. Admittedly, the CVT is optimized in SD, especially the CVT cost because of a reduced ratio coverage of around 2, which is significantly lower than that of 3.34 in . Nevertheless, the EM and battery optimization are not taken into account, leading to a higher system cost. The control trajectory identified may not be efficient for the overall system. In SD, the problem is decoupled and the interconnections between the CVT (24), EM (31) and battery (42) are not considered, resulting in a higher TCO. For an inherently coupled problem (i.e., the integration of the EM and CVT), SD creates a separation and cannot guarantee an optimal solution. This issue is tackled by the co-design approach (), where the right combination of the control policy and component sizes reducing the TCO is identified. It considers the coupling between the components from design and control perspectives.
4.3. Towards a Low-Power Application
As illustrated in Figure 13, the usage of the available EM torque is low considering WLTC. It implies that powertrain components are typically oversized (considering WLTC) to meet certain vehicle performance requirements. The selection of electric powertrain components (e.g., EM) for future EV applications is still an ongoing question. Current selection criteria are largely based on performance requirements, such as top speed, acceleration time and gradability (Section 1). It usually leads to oversized components, considering drive cycles used for efficiency indicators. Therefore, even with the co-design approach, the downsizing potential is limited (Section 4.1). High performance, however, may not be required in urban driving. In order to see the downsizing potential, a low-power (LP) design is utilized as an example. Note that for purposes of comparison, the EM design is not restricted by (29). LP is defined as follows:
- LP: Based on , assuming that there are no performance requirements (Section 1), the aim is to find the optimal design and control variables reducing the TCO while satisfying drive cycle requirements.
The objective function in this case is similar to (1). The comparison between LP and is shown in Figure 18. It can be observed from Figure 18 that compared with , the energy consumption (EC) and system cost (SC) are decreased in LP. Overall, in LP, the TCO is reduced by around 4%. The main reason is that LP takes full advantage of the control and design freedom provided by the CVT without performance constraints. Compared to , all the parameters as presented in Table 1, Figure 14 and Figure 15 are reduced in LP. For example, the maximum EM power is reduced from 100 kW in to 54 kW in LP with a CVT ratio coverage of around 2.06. The battery size is decreased in LP as well. The minimum required component size is found in LP. For a specific use case (WLTC) and a given EM-CVT system (combined EM-CVT characteristics), there is a lower bound for the system (i.e., the CVT, EM and battery) so as to complete the driving mission. The result also demonstrates the importance of co-design optimization in determining the system size for a representative use case, considering the coupling between the EM and CVT (combined EM-CVT characteristics). Although reduction of peak power has a negative effect on vehicle performance (e.g., the 0–50 km/h and 0–100 km/h acceleration times of LP are around 6 s and 18 s, respectively), LP is energy-efficient and cost-effective. It can be used for urban driving that does not require high performance.
Figure 18.
Comparison of normalized EC, SC and TCO between LP (with a total vehicle mass of 1635 kg) and , where EC represents the energy consumption and SC the system cost.
4.4. Thermal Performance
The EM is a power source. It is also a heat source, and so does the transmission. They generate heat during operation, which needs to be taken away efficiently by a cooling system. For purposes of comparison, , and have the same control target, maintaining the EM temperature below its thermal limit 65 °C dictated by the manufacturer at the end of the drive cycle. All the other conditions are the same, including the coolant flow rate. For simplicity, the problem is translated to finding a constant air-flow rate for each system over the WLTC. Assume the air-flow rate is proportional to the cooling power consumption. They are compared in terms of cooling power consumption and temperature profile.
It is found that , which means that compared to , the cooling power consumption is reduced in , as shown in Figure 19. Recall that the system losses are higher in (Figure 14). The EM power dissipation in is less than that in but the transmission power dissipation is much higher. In this case, the EM is more dominant in determining the level of the cooling power consumption. Another reason is that the thermal mass (EM and CVT) is higher in (Table 1). Moreover, because of topology difference, the extra small off-the-shelf heat exchanger in enables heat exchange between the EM and CVT. It changes the overall thermal behavior of the cooling system. It is also calculated that , which implies that compared to , the cooling power consumption is decreased in . They have the same topology. The primary reason is that the power losses are less in , which requires less cooling power to remove the heat, although the system mass is reduced in . The corresponding temperature profiles are illustrated in Figure 20.
Figure 19.
Comparison of normalized cooling power consumption between , and .
Figure 20.
Comparison of temperature profile between , and .
Additionally, an important finding from Figure 20 is that the EM temperature and the CVT temperature are very similar in . The primary reason is that the small heat exchanger provides extra heat exchange between the EM and the CVT. It is a crucial step towards a thermally integrated EM and CVT, for example, using a combined cooling loop with a dedicated cooling medium, taking into account such as corrosion, viscosity and conductivity [31,32,33]. It would make the system even more compact and efficient.
Note that as the systems, overall, are efficient, this amount of reduction will not significantly influence the total energy consumption, although depending on the use case. Furthermore, the exact value of cooling power is not provided, because detailed pump and fan signals are not available in the controller area network (CAN) data, as mentioned in Section 3.7. However, based on physics and model validation (Appendix A.4), the result is representative. Previously, it is shown that there is a strong coupling between the EM and CVT, and the combined system can be lightweight, efficient and low-cost. Now, it is demonstrated that they can also be integrated thermally, and a further reduction in weight, energy usage and cost can be expected. In the future, a highly integrated EM-CVT system can be anticipated for EV applications.
5. Conclusions
A co-design optimization method based on CP is proposed for a CVT-based EV to minimize the TCO, focusing on the integration of the EM and CVT. The co-design optimization method finds the optimal CVT speed ratio, air-flow rate of the cooling system, CVT size, EM size and battery size simultaneously. It takes full advantage of the control and design freedom provided by the CVT. The optimized system with the co-design approach decreases the TCO by around 2% compared with an SST-based EV with reference to a series production vehicle and by around 5.9% compared with a non-optimized CVT-based EV (based on off-the-shelf components). The advantages of the co-design approach are also highlighted by comparing to a sequential method. Moreover, for urban driving, insights into the design of a low-power EV are given based on the co-design approach, which finds the minimum required component size. It can be concluded that although the current EV market is dominated by SSTs, multi-speed transmissions, for example, CVTs, are competitive alternatives for EVs in terms of TCO, due to continuous ratio adjustment depending on driving conditions and the resulting design freedom. For EV applications, a highly and thermally integrated EM-CVT system, which is low-cost, efficient and lightweight, can be anticipated.
Author Contributions
C.W. proposed the concepts and methodologies. He wrote and edited the original draft; T.H. and E.I.C. were responsible for supervision, internal review and editing of the draft and concepts. All authors have read and agreed to the published version of the manuscript.
Funding
This research received no external funding.
Institutional Review Board Statement
Not applicable.
Informed Consent Statement
Not applicable.
Data Availability Statement
No new data were created or analyzed in this study. Data sharing is not applicable to this article.
Acknowledgments
This research was carried out under project number T18001 in the framework of the Research Program of the Materials innovation institute (M2i) (www.m2i.nl accessed on 11 February 2021) supported by the Dutch government.
Conflicts of Interest
The authors declare no conflict of interest.
Abbreviations
The following abbreviations are used in this manuscript:
| AC | Alternating Current |
| BA | Battery |
| CAN | Controller Area Network |
| CP | Convex Programming |
| CVT | Continuously Variable Transmission |
| DC | Direct Current |
| DNR | Drive, Neutral and Reverse |
| DP | Dynamic Programming |
| EC | Energy Consumption |
| ELOP | Electric Oil Pump |
| EM | Electric Machine |
| EV | Electric Vehicle |
| FD | Final Drive |
| ICDC | Intercity Drive Cycle |
| KPI | Key Performance Indicator |
| LP | Low Power |
| OOL | Optimal Operating Line |
| PSO | Particle Swarm Optimization |
| RL | Road Load |
| SC | System Cost |
| SD | Sequential Design |
| SST | Single Speed Transmission |
| TCO | Total Cost of Ownership |
| TMS | Thermal Management System |
| TR | Transmission |
| VA | Variator |
| VCU | Vehicle Control Unit |
| WH | Wheel |
| WLTC | Worldwide Harmonized Light Vehicles Test Cycle |
Appendix A. SST-Based EV Model
The SST-based EV model () is validated by measurement data obtained from the series production vehicle driven on a real-world drive cycle, namely intercity drive cycle (ICDC). The measurement data are extracted from the CAN signals of the vehicle control unit (VCU) in the series production vehicle driven on the ICDC. The sampling time is 0.01 s. The vehicle specification is provided in Table A1.
Appendix A.1. Longitudinal Dynamics
Given the drive cycle represented by vehicle velocity and acceleration and taking into account aerodynamic drag force, rolling resistance and inertia force, the demanded wheel torque and speed can be calculated by
where the total vehicle mass is given by
where is the SST mass (Table 1).
Table A1.
Main parameters of EV model.
Table A1.
Main parameters of EV model.
| Parameter | Value | Unit | Description |
|---|---|---|---|
| 1.18 | kg/m3 | Density of air | |
| 0.27 | - | Aerodynamic drag coefficient | |
| 2.21 | m2 | Frontal area | |
| 0.00724 | - | Rolling resistance coefficient | |
| 1 | kgm2 | Wheel inertia | |
| 0.312 | m | Wheel radius | |
| 0.98 | - | Fixed gear efficiency | |
| 0.985 | - | Final drive efficiency | |
| 2.63 | - | Underdrive ratio | |
| 0.7 | - | Overdrive ratio | |
| 430 [19] | J/kgK | Specific heat capacity of EM | |
| 630 [23] | J/kgK | Specific heat capacity of CVT | |
| 630 [23] | J/kgK | Specific heat capacity of SST | |
| 4090 | J/kgK | Specific heat capacity of EM cooling medium | |
| 1000 | J/kgK | Specific heat capacity of air | |
| 0.62 [23] | - | CVT heating coefficient | |
| 2000 | W/m2K | Heat transfer coefficient between EM and its cooling medium | |
| 10 | W/m2K | Heat transfer coefficient between EM and ambient air | |
| 10 | W/m2K | Heat transfer coefficient between CVT and ambient air | |
| 111 | W/K | Heat transfer coefficient between EM and CVT | |
| 125 | W/K | Heat transfer coefficient between EM cooling medium and CVT oil | |
| 0.2 | m2 | Heat exchange area between EM and its cooling medium | |
| 0.32 | m2 | Heat exchange area between EM and ambient air | |
| 0.17 | m2 | Heat exchange area between CVT and ambient air | |
| 1.5 | kg | Cooling medium mass | |
| 0.35 | kg/s | Coolant flow rate | |
| 0.6 [34] | - | Radiator effectiveness | |
| 65 | °C | Maximum EM temperature | |
| 65 | °C | Maximum cooling medium temperature at EM outlet | |
| 65 | °C | Maximum cooling medium temperature at EM inlet | |
| 46.532 | km | Two repeated WLTC length | |
| 300,000 | km | Traveled distance of vehicle in its lifetime | |
| 0.23 | €/kWh | Price of electricity | |
| 13 [23] | €/kg | Specific cost of CVT | |
| 1000 | € | Specific cost of EM | |
| 250 | €/kWh | Specific cost of battery | |
| 25.4 | kWh | Battery energy | |
| 264 | - | Battery cells |
Appendix A.2. Single-Speed Transmission
Appendix A.3. Electric Machine
The EM is a permanent magnet synchronous machine, featuring motoring and generating modes. Its specification is provided in Table 1. The torque and speed of the EM are computed by
Given the same inputs (vehicle speed and acceleration) from the ICDC, the outputs of the EM from the developed model (simulation) are compared with the corresponding CAN signals (measurement). These signals are the EM torque and speed, and the comparisons are shown in Figure A1 and Figure A2, respectively. In Figure A1 and Figure A2, the right subplot zooms in on the left subplot, showing the details of the comparison. It should be noted that the measurement data are presented as they are in this study. In consideration of noise, driving environment, data recording, and effect of CAN signals, the simulation and measurement resemble well.
Figure A1.
Validation of the EM torque for the ICDC.
Figure A1.
Validation of the EM torque for the ICDC.

Figure A2.
Validation of the EM speed for the ICDC.
Figure A2.
Validation of the EM speed for the ICDC.

The mechanical power of the EM is then given by
An efficiency map is used to calculate the power losses of the EM, as shown in Figure A3. This efficiency map includes the effect of the DC-AC inverter. The EM power dissipation is described as a function of its torque and speed, that is,
Therefore, the electrical power supplied to/by the EM is expressed as
The EM torque and speed are bounded by
Figure A3.
Efficiency map of the EM including the DC-AC inverter.
Figure A3.
Efficiency map of the EM including the DC-AC inverter.

Appendix A.4. Thermal EM-SST Model
The SST () and EM () power losses appear as heat, which is removed by a TMS, as demonstrated in Figure A4. The EM and the SST are physically attached. The SST is cooled based on oil splashing, where its heat is taken away by the EM cooling medium indirectly and the ambient air directly due to convection. The EM dissipates heat to the ambient air. Moreover, the cooling medium driven by a pump removes heat from the EM. When the EM temperature is higher than a predefined threshold, the EM is cooled down with a radiator. The goal of the TMS is to maintain the EM temperature below its prescribed thermal limit. A lumped-parameter method is used to capture the thermal behavior of the EM and SST. On the basis of first principles, the thermal EM-SST model is described by
The thermal EM-SST model is validated by measurement data. Since the SST temperature is not available in the CAN data, the EM temperature is used for validation. The measurement data are extracted from the CAN signal regarding the EM temperature of the VCU in the series production vehicle driven on the ICDC. The estimated thermal parameters are provided in Table A1. As shown in Figure A5, a good resemblance can be seen between the model and measurement.
Figure A4.
Thermal management architecture for the EM-SST.
Figure A4.
Thermal management architecture for the EM-SST.

Figure A5.
Validation of the EM temperature for the ICDC.
Figure A5.
Validation of the EM temperature for the ICDC.

Figure A6.
Validation of the battery output power for the ICDC.
Figure A6.
Validation of the battery output power for the ICDC.

Appendix A.5. Battery
The battery provides the power required by the EM, that is,
For the same inputs from the ICDC, the battery output power from the model is compared to the corresponding CAN signal regarding the battery output power in terms of voltage and current (measurement). The comparison can be seen in Figure A6, where the right subplot zooms in on the left subplot. It can be observed that the model and measurement resemble well.
In summary, the SST-based EV model represented by is validated against the measurement data, which replicates the physical behavior of the series production vehicle in reality.
Appendix B. CVT-Based EV Model
As presented in Section 1, a CVT-based EV model () is created based on (Appendix A). The main difference is that the SST model as described in Appendix A.2 is replaced by a CVT model. The SST mass in (A1) is replaced by (Table 1). The thermal model is the same as that in Section 3.7. All the other component models remain the same as .
In this context, the variator of the pushbelt CVT has two pulleys, a primary pulley (subscript “”) and a secondary pulley (subscript “”), which are connected by a pushbelt. The CVT provides a continuous variable speed ratio between the primary pulley and the secondary pulley. It permits the EM speed to be independent of the wheel speed to optimize its operating point. Given the required torque (A1) and speed (A2) at the wheels, the torque and speed of the primary pulley are obtained by
The total torque input to the CVT is thus given by
where represents the torque loss in the CVT, which is described by a lookup table, that is,
The power losses of the CVT can thus be calculated by
The primary torque and speed ratio are constrained by
where is the overdrive ratio and the underdrive ratio. Bounds on the primary speed will be implicitly taken into consideration in the constraints on the EM speed. Additionally, to maintain the CVT speed ratio , the corresponding hydraulic actuation power can be calculated.
Appendix C. Convex Programming
CP demands all the models to be convex. A brief introduction to CP is given here, and interested readers are referred to [22] for a rigorous treatment. A convex optimization problem can be formulated as follows:
where are convex functions and are affine functions. The feasible set of this optimization problem is convex with m convex sublevel sets and n hyperplanes. A convex function can be described as
where , and it means that the line segment between any two points lies above the graph. Models that are originally non-convex can be reformulated based on approximations, relaxations, and change of variables. Model convexity can be verified, by using basic convex functions, for example, linear functions, quadratic functions, quadratic-over-linear functions and opposite of geometric mean functions, and operations that preserve convexity, such as nonnegative weighted sums and pointwise maximum.
Appendix D. Main Parameters of EV Model
The main EV model parameters are provided in the following table, including vehicle parameters with reference to the series production vehicle and validated thermal parameters.
References
- Kwon, K.; Seo, M.; Min, S. Efficient Multi-Objective Optimization of Gear Ratios and Motor Torque Distribution for Electric Vehicles with Two-Motor and Two-Speed Powertrain System. Appl. Energy 2020, 259, 114190. [Google Scholar] [CrossRef]
- Karki, A.; Phuyal, S.; Tuladhar, D.; Basnet, S.; Shrestha, B.P. Status of Pure Electric Vehicle Power Train Technology and Future Prospects. Appl. Syst. Innov. 2020, 3, 35. [Google Scholar] [CrossRef]
- Han, J.; Shin, J.; Kim, J.; Oh, S. Design 2-Speed Transmission for Compact Electric Vehicle Using Dual Brake System. Appl. Sci. 2019, 9, 1793. [Google Scholar] [CrossRef]
- Hupkes, I. Variable Drive EV: Comfort Solution for Full Electric Vehicles. In Proceedings of the 3rd International VDI Conference: CVT in Automotive Applications, Baden-Baden, Germany, 19–20 March 2019. [Google Scholar]
- Anselma, P.G.; Belingardi, G. Comparing Battery Electric Vehicle Powertrains through Rapid Component Sizing. Int. J. Electr. Hybrid Veh. 2019, 11, 36–58. [Google Scholar] [CrossRef]
- Van der Sluis, F.; Römers, L.; van Spijk, G.; Hupkes, I. CVT, Promising Solutions for Electrification; SAE Technical Paper 2019-01-0359; SAE International: Warrendale, PA, USA, 2019. [Google Scholar]
- Wei, C.; Hofman, T.; Ilhan Caarls, E.; van Iperen, R. A Review of the Integrated Design and Control of Electrified Vehicles. Energies 2020, 13, 5454. [Google Scholar] [CrossRef]
- Silvas, E.; Hofman, T.; Murgovski, N.; Etman, L.F.P.; Steinbuch, M. Review of Optimization Strategies for System-Level Design in Hybrid Electric Vehicles. IEEE Trans. Veh. Technol. 2017, 66, 57–70. [Google Scholar] [CrossRef]
- Singh, K.V.; Bansal, H.O.; Singh, D. Feed-forward Modeling and Real-time Implementation of an Intelligent Fuzzy Logic-based Energy Management Strategy in a Series–parallel Hybrid Electric Vehicle to Improve Fuel Economy. Electr. Eng. 2020, 102, 967–987. [Google Scholar] [CrossRef]
- Lee, H.; Song, C.; Kim, N.; Cha, S.W. Comparative Analysis of Energy Management Strategies for HEV: Dynamic Programming and Reinforcement Learning. IEEE Access 2020, 8, 67112–67123. [Google Scholar] [CrossRef]
- Qi, Z.; Shi, Q.; Zhang, H. Tuning of Digital PID Controllers Using Particle Swarm Optimization Algorithm for a CAN-Based DC Motor Subject to Stochastic Delays. IEEE Trans. Ind. Electron. 2020, 67, 5637–5646. [Google Scholar] [CrossRef]
- Zhang, Y.; Wang, S.; Ji, G. A Comprehensive Survey on Particle Swarm Optimization Algorithm and Its Applications. Math. Probl. Eng. 2015, 2015, 931256. [Google Scholar] [CrossRef]
- Pourabdollah, M.; Silvas, E.; Murgovski, N.; Steinbuch, M.; Egardt, B. Optimal Sizing of a Series PHEV: Comparison between Convex Optimization and Particle Swarm Optimization. IFAC-PapersOnLine 2015, 48, 16–22. [Google Scholar] [CrossRef]
- East, S.; Cannon, M. Energy Management in Plug-In Hybrid Electric Vehicles: Convex Optimization Algorithms for Model Predictive Control. IEEE Trans. Control Syst. Technol. 2020, 28, 2191–2203. [Google Scholar] [CrossRef]
- Pourabdollah, M.; Murgovski, N.; Grauers, A.; Egardt, B. Optimal Sizing of a Parallel Phev Powertrain. IEEE Trans. Veh. Technol. 2013, 62, 2469–2480. [Google Scholar] [CrossRef]
- Wei, C.; Hofman, T.; Ilhan Caarls, E.; van Iperen, R. Evolution and Classification of Energy and Thermal Management Systems in Electrified Powertrains. In Proceedings of the 2019 IEEE Vehicle Power and Propulsion Conference, Hanoi, Vietnam, 14–17 October 2019. [Google Scholar]
- Luin, B.; Petelin, S.; Al-Mansour, F. Microsimulation of Electric Vehicle Energy Consumption. Energy 2019, 174, 24–32. [Google Scholar] [CrossRef]
- Wei, C.; Hofman, T.; Ilhan Caarls, E.; van Iperen, R. Integrated Energy and Thermal Management for Electrified Powertrains. Energies 2019, 12, 2058. [Google Scholar] [CrossRef]
- Markel, T.; Brooker, A.; Hendricks, T.; Johnson, V.; Kelly, K.; Kramer, B.; O’Keefe, M.; Sprik, S.; Wipke, K. ADVISOR: A Systems Analysis Tool for Advanced Vehicle Modeling. J. Power Sources 2002, 110, 255–266. [Google Scholar] [CrossRef]
- Ruan, J.; Walker, P.; Zhang, N. A Comparative Study Energy Consumption and Costs of Battery Electric Vehicle Transmissions. Appl. Energy 2016, 165, 119–134. [Google Scholar] [CrossRef]
- Murgovski, N.; Johannesson, L.; Sjöberg, J. Convex Modeling of Energy Buffers in Power Control Applications. IFAC Proc. Vol. 2012, 45, 92–99. [Google Scholar] [CrossRef]
- Boyd, S.; Vandenberghe, L. Convex Optimization; Cambridge University Press: Cambridge, UK, 2009. [Google Scholar]
- van Berkel, K. Control of a Mechanical Hybrid Powertrain. Ph.D. Thesis, Eindhoven University of Technology, Eindhoven, The Netherlands, 2013. [Google Scholar]
- van der Sluis, F. The Pushbelt designed for Change. In Proceedings of the 3rd International VDI Conference: CVT in Automotive Applications, Baden-Baden, Germany, 19–20 March 2019. [Google Scholar]
- van der Sluis, F.; Yildiz, S.; Brandsma, A.; Veltmans, P.; Kunze, M. The CVT Pushbelt reinvented for Future Compact and Efficient Powertrains. In Proceedings of the 2017 JSAE Annual Congress, Yokohama, Japan, 24–26 May 2017. [Google Scholar]
- Pourabdollah, M. Optimization of Plug-in Hybrid Electric Vehicles. Ph.D. Thesis, Chalmers University of Technology, Gothenburg, Sweden, 2015. [Google Scholar]
- Electrical and Electronics Technical Team Roadmap. Technical Report; U.S. DRIVE: Washington, DC, USA, 2017.
- Lutsey, N.; Nicholas, M. Update on Electric Vehicle Costs in the United States through 2030; Technical Report; International Council on Clean Transportation: Washington, DC, USA, 2019. [Google Scholar]
- Mahmoudzadeh Andwari, A.; Pesiridis, A.; Rajoo, S.; Martinez-Botas, R.; Esfahanian, V. A Review of Battery Electric Vehicle Technology and Readiness Levels. Renew. Sustain. Energy Rev. 2017, 78, 414–430. [Google Scholar] [CrossRef]
- Software for Disciplined Convex Programming. Available online: http://cvxr.com/ (accessed on 11 February 2021).
- Tang, T.; Devlin, M.; Mathur, N.; Henly, T.; Saathoff, L. Lubricants for (Hybrid) Electric Transmissions. SAE Int. J. Fuels Lubr. 2013, 6, 289–294. [Google Scholar] [CrossRef]
- McFadden, C.; Hughes, K.; Raser, L.; Newcomb, T. Electrical Conductivity of New and Used Automatic Transmission Fluids. SAE Int. J. Fuels Lubr. 2016, 9, 519–526. [Google Scholar] [CrossRef]
- Bennion, K.; Moreno, G. Convective Heat Transfer Coefficients of Automatic Transmission Fluid Jets with Implications for Electric Machine Thermal Management. In Proceedings of the ASME 2015 International Technical Conference and Exhibition on Packaging and Integration of Electronic and Photonic Microsystems InterPACK2015, San Francisco, CA, USA, 6–9 July 2015. [Google Scholar]
- Salah, M. Nonlinear Control Strategies for Advanced Vehicle Thermal Management Systems. Ph.D. Thesis, Clemson University, Clemson, SC, USA, 2007. [Google Scholar]
Publisher’s Note: MDPI stays neutral with regard to jurisdictional claims in published maps and institutional affiliations. |
© 2021 by the authors. Licensee MDPI, Basel, Switzerland. This article is an open access article distributed under the terms and conditions of the Creative Commons Attribution (CC BY) license (http://creativecommons.org/licenses/by/4.0/).



















