Next Article in Journal
Extended SINDICOMP: Characterizing MV Voltage Transformers with Sine Waves
Next Article in Special Issue
Analytical Design of Sculpted Rotor Interior Permanent Magnet Machines
Previous Article in Journal
Robust Control of a PMSG-Based Wind Turbine Generator Using Lyapunov Function
Previous Article in Special Issue
Additive Manufacturing and Topology Optimization of Magnetic Materials for Electrical Machines—A Review
 
 
Font Type:
Arial Georgia Verdana
Font Size:
Aa Aa Aa
Line Spacing:
Column Width:
Background:
Article

Parasitic Effects of PWM-VSI Control Leading to Torque Harmonics in AC Drives †

1
Department of Cooperative Studies, Berlin School of Economics and Law, 10315 Berlin, Germany
2
Electrical Machines and Electric Drive Department, Almaty University of Power Engineering and Telecommunications, Almaty 050013, Kazakhstan
3
Telecommunications and Innovative Technologies Department, Almaty University of Power Engineering and Telecommunications, Almaty 050013, Kazakhstan
4
Electrical Machines Department, Odessa National Polytechnic University, 65044 Odessa, Ukraine
*
Author to whom correspondence should be addressed.
This paper is an extended version of our paper published in 35th Annual Conference of IEEE Industrial Electronics, Porto, Portugal, 3–5 November 2009; pp. 1368–1372.
Energies 2021, 14(6), 1713; https://doi.org/10.3390/en14061713
Submission received: 8 February 2021 / Revised: 3 March 2021 / Accepted: 10 March 2021 / Published: 19 March 2021
(This article belongs to the Special Issue Advances in the Field of Electrical Machines and Drives)

Abstract

Precise torque control without pulsations is one of the major quality issues in pulse-width modulated voltage-source inverter (PWM-VSI) drives. Theoretically, it could be postulated that at frequencies of some kHz, the machine’s inertia absorbs switching frequency torque harmonics, and the resulting torque becomes smooth; though, in reality, parasitic effects in voltage source inverters may cause additional torque harmonics of low order. In particular, first, second and sixth torque harmonics are observed. Such torque harmonics are especially dangerous for normal drive operation, since they may be amplified by drive train resonances at corresponding rotational velocities. New parasitic effects in PWM-VSI control, leading to torque harmonic of low order, are described in the paper, and recommendations for their compensation are given.

1. Introduction

Modern industry applications require inverter-fed pulse-width modulated (PWM) drives with a high standard of performance. Excellent dynamic characteristics have been achieved in recent years with the development of power electronic devices and sophisticated control strategies. However, there is still improvement potential concerning torque ripple reduction methods. Torque harmonics may cause mechanical oscillations, which are particularly dangerous on resonance frequencies of the drive train. In addition, they may produce audible noise.
Drive train resonance frequencies are typically within the range of a couple hundred Hertz. That is why avoiding low-order torque harmonics is so important; such torque harmonics could excite the mechanical resonance oscillations hitting the resonance frequencies of the drive train. With variable drive rotational frequency also, the torque harmonic frequencies vary; during the start-up they could successively coincide with the drives’ resonance frequency, as is shown in the measurement in Figure 1.
First, second and sixth torque harmonics in PWM-VSI-fed drives were observed in the literature [1,2,3,4,5,6], the sixth torque harmonic is reported to be usually the dominating one [3,4,5,6]. The origin of these torque harmonics especially in pulse-width modulated voltage-source inverter (PWM-VSI)-fed drives has not been studied sufficiently. This paper summarizes the authors’ own preceding research upon parasitic effects as a reason for low-order torque harmonics [1,3,6,7,8,9]—it is mainly based on the conference paper [3].
Figure 1. Torque spectrum of a 220 kW asynchronous drive [3].
Figure 1. Torque spectrum of a 220 kW asynchronous drive [3].
Energies 14 01713 g001
Torque harmonics in alternating current (AC) machines may occur also at perfectly sinusoidal power supplies: they may be caused by intrinsic electrical machine properties, by its control technique or by the load characteristics. This paper focuses, however, solely on torque harmonics due to the possible parasitic effects of the PWM’s supply voltage in a kHz range. Investigation of current and torque harmonics for PWM supply with small switching frequencies can be found in the literature [10,11,12,13,14].
Figure 1 shows measured torque harmonics of a 220 kW induction test-bench motor drive [3,6]. It can be observed that the sixth torque harmonic is the predominating one. The induction machine ratings are given in Table 1. It is a special purpose drive with an untypically rated frequency of 67 Hz. Further investigation and explanations will be given in the example of 50 Hz supply frequency—for instance, in the case of the investigated 2.2 kW induction machine in Section 2.
Possible reasons for torque harmonics due to parasitic effects are given in the following sections.

2. First Torque Harmonic

Rotating mass eccentricity is one possible reason for the first torque harmonic appearance in drives. For PWM-VSI-fed drives, the direct current (DC) component could be a further reason for first torque harmonic emergence [6,7,8,9,15,16,17].
In the presence of a current control loop, any current measurement offset could lead to real offset in machines currents. Usually only a very small measurement offset can be expected, which would lead to an unnoteworthy current offset. Another possible reason for the DC component in drives with and without current control loops could be control circuit- and power switch parameter dispersion [9].
In Figure 2, phase currents of the PWM-inverter-fed ohmic-inductive load at switching frequency of 15 kHz are shown. They contain a DC component, though no DC voltage offset was commanded. PWM control signals within this inverter are transmitted by means of plastic optical fiber coupling to IGBT gate drivers. Such optical coupling brings an advantage of insensitivity to electromagnetic noises and of galvanic isolation between the circuits.
Control signals for transistors of one inverter phase are usually complementary to each other and are transmitted by only one signal. Control signal inversion with necessary dead time for the switching between the upper and lower transistors is realized within the gate unit. The driver circuit for the optical transmitter is implemented according to the producer recommendations given in the application notes, see Figure 3.
To determine the source of DC offset in the inverter output voltage, control signals are investigated upon the propagation delay time. For this aim, the same pulse sequence is commanded to all inverter phases simultaneously. As expected, control signals measured directly at the output port of the micro-controller are perfectly simultaneous without any lag-time relative to each other.
On the contrary, control signals measured at the output of the optical link, behind the optical receiver, have delay time relative to each other. As is shown in Figure 4, the rising edges show time delays of more than 100 ns, and the falling edges are close to each other. That means that, with each switching cycle, an additional non-commanded DC voltage offset between the phases arises, and its magnitude is proportional to the switching frequency and time delay between the signals.
The DC offset in the currents of an ohmic-inductive load, see Figure 2, corresponds to a measured delay in the control signals. Since phase A (CH1 in the Figure 2 and Figure 4) has the biggest negative DC voltage offset compared to the other phases, it has consequently also the biggest negative current offset.
The light-emitting diode of the optical transmitter is driven by the bipolar transistor. It is known, that transistors within the same production series show some dispersion in their characteristics. Among other parameters, the switching on/off time delays may differ sufficiently. Whereby the switching on times are usually much smaller than the switching off times; therefore, their variation may be considered as of no consequence. The rising edge of the voltage in the Figure 4a corresponds to bipolar transistor switching off in the emitting diode driver circuit. This edge shows the strongest time deviation from phase to phase because of the switching-off delay time variation of the given bipolar transistors. The time deviation for the transistors switching on shows a much lower dispersion level, which could be neglected for DC offset generation (Figure 4b).
Measurement directly on the emitter side circuit showed the same time deviations between the voltages, as on the optical receiver side. Such small time deviations in the control signals play a role only for high switching frequencies of some kHz. Even comparatively small resulting DC voltage offsets may lead to considerable DC currents, since the active resistance of the driven load is usually small, as in the case of large AC machines.
We also measured the fact that the light dispersion, which occurs due to improper optical fiber contacting with the receiver, leads to a similar effect of different switching delays and, therefore, to the DC voltage offset. Attention must be paid to proper contacting and clean surfaces of optic fiber endings.
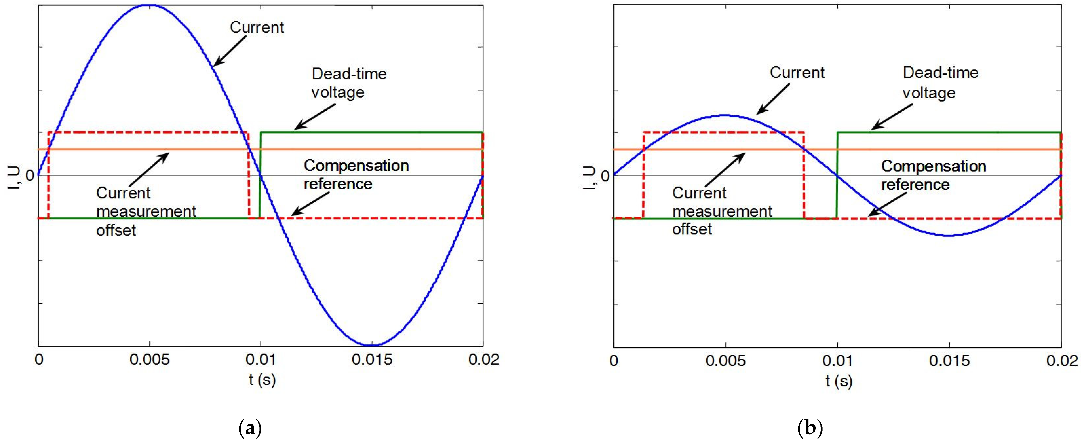
Another possible reason for a potentially much higher DC current component is the malfunction of dead time compensation because of an offset in a current measurement [8]. Even the minimal measurement offset level may lead to a considerable DC current shift. Dead time voltage due to interlock times between switching transistors of the same phase may be represented as rectangular voltage, which polarity is solely dependent upon current direction. The most common method for its compensation is to add to the reference’s rectangular voltage of the same magnitude but of the opposite polarity. If the current measurement shows an offset, then an error will occur in generating the compensating voltage reference, as is shown in Figure 5. Such error leads to unequal duration of compensating voltage positive and negative half-waves. Such asymmetry leads to a nonzero mean value in compensating voltage and correspondingly to a DC current offset. Due to the small DC resistance of the connected AC machines significant DC current level may appear even at the lowest bit offset in the current measurement.
The longer phase current polarity is wrongly detected because of the measurement offset—larger asymmetry and resulting DC offset in the compensating reference voltage will result. As is shown in Figure 5, the duration of false current polarity detection depends upon the current slope near its zero crossings and, consequently, upon its magnitude at a given frequency. At small current magnitudes, the error increases and the resulting DC component in the compensating voltage rises. Figure 6 shows the measured DC current offset with 23% of the rated current in a phase of the induction machine operated in field weakening mode caused by just 0.8% DC offset in the current measurement [8]. At no load operation magnetizing current component is the prevailing one in the phases of the induction machines; hence, the total current magnitude becomes strongly reduced in the field-weakening mode, which provokes large DC offset due to faulty generated dead-time-compensating voltage.

3. Second Torque Harmonic

The second torque harmonic can be provoked by amplitude error in the current measurement. Through asymmetry in the current measurement, current control would produce asymmetry in real currents, containing a negative sequence. An interaction of this negative sequence with the positive sequence would lead to the second torque harmonic.
A further reason for the second torque harmonic could also be the consequence of the faulty dead time voltage compensation described in the previous section. Dead time compensation voltage here is asymmetric due to the offset in the current measurement; the resulting DC component is discussed above. Another important consequence of rectangular voltage asymmetry is the emergence of second harmonic component, as is shown in Figure 7 [3]. Slip for all higher harmonics is very high, which is why the current components became disproportionally high despite the relatively small harmonic voltage magnitude. Interaction between DC and second harmonic currents leads to second torque harmonic.
A further reason for the second and higher odd harmonics is saturation due to DC current component [17].
The second harmonic, belonging to negative sequence, results in an interaction with the fundamental flux to a third torque harmonic.

4. Sixth Torque Harmonic

Uncompensated rectangular dead time voltage contains fifth and seventh harmonics. The fifth harmonic belongs to the negative sequence and the seventh harmonic belongs to the positive sequence, which is why both of them lead to an interaction with fundamental voltage to a sixth torque harmonic [2]. Dead time voltage magnitude does not vary as the output frequency changes. The magnitude of the dead time voltage is solely dependent on DC link voltage, switching frequency and interlock time between transistors switching [1]. Its influx will increase with lower output frequency and consequently lower fundamental voltage. That is why the sixth torque harmonic caused by dead time voltage will increase at lower VSI output frequency.
At 220 kW test bench drive, a vice versa behavior of the sixth torque harmonic was observed in [4]—its magnitude increased with higher rotational speeds (Figure 8). The origin of the sixth torque harmonic in that case could be explained by parasitic effects in the PWM-VSI control by operation in the nonlinear area of the machine’s magnetization curve [1,3,6].
For space phasor modulation of two-level VSI, eight voltage phasors corresponding to eight possible switching states are available. Six of them are active phasors and two are zero phasors, when all phasors switched to the upper or lower DC link bus. Any voltage space phasors within the hexagon are modulated by switching between these eight phasors (Figure 9). In order to obtain the desired circular trajectory, zero phasors must be utilized. Switching between active and zero phasors produces torque vibration. The duration of zero phasors increases in the vicinity of each active phasor and decreases in the middle of sectors formed by active phasors, so it varies six times per period (Figure 8). With the zero-phasor duration variation also, the magnitude of torque vibration of switching frequency will vary six times a period.
In order to demonstrate torque pulsation of switching frequency of an induction motor drive, simulation was performed in Matlab Simulink. The machine model has been realized as a set of differential equations in α-β-coordinates in the form of S-Function. Voltage PWM pulse pattern was generated by sine-triangle comparison, as also was the case of the 220 kW test bench drive under investigation. The pulse pattern included the pulse dropping effect; ideal switching neglecting transistor dynamics was implemented in the model. Simulation results confirmed the theoretical assumption given above; resulting torque pulsation of the sixth order is shown in Figure 10a. Measuring such torque pulsation at higher switching frequencies is not possible, because torque pulsation with frequency of some kHz would be absorbed by rotor inertia even in small power machines. Therefore, it cannot be measured on the machines shaft, but it can be demonstrated through simulation.
By operation in the nonlinear area of the machine’s magnetization characteristic, pulsation will get distorted by its nonlinearly. The upper half-waves of the pulsation will be weakened due to saturation; they will not compensate the lower half-waves anymore. The higher the pulsation magnitude becomes, the lower the average torque due to the saturation effect. Therefore, operating in the beginning of the magnetic saturation area will transform torque pulsation with switching frequency to torque harmonic of the sixth order with minima at n·60° (n = 0; +/−1…). The sharper the saturation curve, the higher the magnitude of the sixth torque harmonic that can be expected.
To prove this assumption, the measured magnetic saturation curve of a 220 kW induction machine (Table 1) was incorporated into the Matlab model by a look-up table. Simulated torque for operating point on a knee of the magnetization characteristic is given in Figure 10b. The simulation result clearly shows the appearance of the sixth torque harmonic. Torque pulsation of the switching frequency is now a carrier frequency for the machine’s sixth torque harmonic. Carrier torque frequency will be absorbed by drive inertia as occurred in the previous case, but the sixth torque component will be passed through to the machine’s shaft.
By increasing the voltage reference, zero phasor variation, relative to the active phasors, and, consequently, the torque pulsation amplitude, increased. That means that, unlike for the sixth torque harmonic due to dead time voltage, the sixth torque harmonic due to saturation would rise with higher output voltage of VSI. With field weakening, the sixth torque harmonic would significantly decrease [6] or completely disappear.

5. Corrective Measures

Compensating the torque harmonics due to parasitic effects in PWM-VSI may be performed by control software changes in the majority of cases.
To avoid the first and second torque harmonic, a DC current component must be prevented. It can be achieved by current measurement refinement. A DC offset in the measurement can be easily detected prior to the start by blocked transistor control signals. It should be subtracted from the current measurement during the further operation.
During the drive operation, temperature drift in the current measurement may arise, so, in each idle mode, the zero-point calibration should be repeated. Furthermore, current measurement accuracy should be improved. In the 2.2 kW drive given in the second section, only 10-bit analog–digital converters for current measurement were applied, which is obviously not precise enough. Analog–digital converters with higher resolution would help to avoid the parasitic effects described above, which result in torque harmonics.
In the case of driver circuits for optical fiber coupling, the simplest way to reduce the measured DC voltage offset owing to the transistor tolerances would be to replace bipolar transistors by MOSFETs, which have much lower switching off delay times and, therefore, narrower tolerances.
Avoiding DC current component insertion is important, not only for machine drives but also for grid-side inverters.
Precise compensation of dead time voltage would prevent the sixth torque harmonic appearance. The major difficulty for its implementation lies in precise current polarity detection, which may vary due to multiple zero crossings at high current ripple.
Sixth torque harmonic due to PWM in the nonlinear magnetization area can be compensated by torque reference with the opposite phase. Minima and maxima of the sixth torque component are provided by the voltage angle, with a high degree of accuracy reference voltage phasor angle that can be used for compensation aim. The magnitude of the occurring sixth torque harmonic can be measured once during the drive commissioning for various voltage values and stored in a look-up table; it can be used for the compensation reference during drive operation. Solely, phase delay of torque control loop must be considered for the optimal implementation of this method. Due to production tolerances, machine parameters may vary significantly [5], and it is advisable to perform such measurements for each machine individually.

6. Conclusions

Parasitic effects in PWM-VSI controls are found to be the reason for low-order torque harmonics in AC drives operated at switching frequencies of some kHz. Low-order torque harmonics could coincide with drive train resonance frequency leading to strong vibrations, depending on the grade of mechanical damping. This may disturb the technological process and decrease production quality.
Knowing the origin of such low-order torque harmonics enables one to meet countermeasures. Not only are torque harmonic origins explained, but also ways to compensate them are presented in this paper. Mostly compensation measures are restricted to control software modification only. However, precise current measurement hardware is advisable in any case.

Author Contributions

Conceptualization, J.P. and V.P.; methodology, J.P.; validation, J.P., N.A. and A.Y.; investigation, J.P.; writing—original draft preparation, J.P.; writing—review and editing, V.P. and N.A. All authors have read and agreed to the published version of the manuscript.

Funding

This research received no external funding.

Conflicts of Interest

The authors declare no conflict of interest.

References

  1. Plotkin, J. Parasitic Effects in PWM-Converters with DC Voltage Link and Their Impact onto the Operation of Connected Loads; Shaker Verlag: Aachen, Germany, 2008. [Google Scholar]
  2. Barro, R. Torque Ripple Compensation of Induction Motors Under Field Oriented Control. In Proceedings of the APEC 97—Applied Power Electronics Conference, Atlanta, GA, USA, 27 February 1997; Volume 1, pp. 527–533. [Google Scholar]
  3. Plotkin, J.; Schaefer, U.; Hanitsch, R. Torque Ripple in PWM-VSI-fed Drives due to Parasitic Effects in the Inverter Control. In Proceedings of the 35th Annual Conference of IEEE Industrial Electronics, Porto, Portugal, 3–5 November 2009; pp. 1368–1372. [Google Scholar]
  4. Hofmeyer, D. Harmonic Torque Pulsations of Induction Machines—Analysis and Compensation Techniques Using PWM Inverter. In Proceedings of the EPE 10th European Conference on Power Electronics and Applications, Toulouse, France, 2–4 September 2003. [Google Scholar]
  5. Holtz, J. Identification and Compensation of Torque Ripple in High- Precision Permanent Magnet Motor Drives. IEEE Trans. Ind. Electron. 1996, 43, 309–320. [Google Scholar] [CrossRef]
  6. Plotkin, Y.; Stiebler, M.; Hofmeyer, D. Sixth Torque Harmonic in PWM Inverter-fed Induction Drives and Its Compensation. IEEE Trans. Ind. Appl. 2005, 41, 1067–1074. [Google Scholar] [CrossRef]
  7. Plotkin, J.; Schaefer, U.; Hanitsch, R. High First Torque Harmonic Due to Insufficient Function of Dead Time Compensation in PWM Inverters. In Proceedings of the EPE 12th European Conference on Power Electronics and Applications, Aalborg, Denmark, 2–5 September 2007. [Google Scholar]
  8. Plotkin, J.; Schaefer, U.; Hanitsch, R. Malfunction of a Dead-Time Compensation in PWM-Converters Leading to a High DC Current Offset. In Proceedings of the IEEE IECON, Orlando, FL, USA, 10–13 November 2008. [Google Scholar]
  9. Plotkin, J.; Centner, M.; Schulz, D.; Hanitsch, R. DC Offset at PWM-Inverter Output due to Tolerances of the Optical Link Junction for IGBT-Control Signals. In Proceedings of the International Conference on Electrical Machines (ICEM), Chania, Greece, 2–5 September 2006. [Google Scholar]
  10. Enjeti, P.N.; Ziogas, P.D.; Lindsay, J.F. Programmed PWM Techniques to Eliminate Harmonics: A Critical Evaluation. IEEE Trans. Ind. Appl. 1990, 26, 418–430. [Google Scholar] [CrossRef]
  11. Holtz, J. Pulsewidth Modulation—A Survey. IEEE Trans. Ind. Electron. 1992, 39, 410–420. [Google Scholar] [CrossRef]
  12. Jenni, F.; Wuest, D. Control Methods for Selfcommutated Converters; B.G. Teubner: Stuttgart, Germany; vdf Hochschulverlag: Zürich, Switzerland, 1995. [Google Scholar]
  13. Michel, M. Fundamentals of Power Electronics; Springer: Berlin, Germany, 1995. [Google Scholar]
  14. Patel, H.S.; Hoft, R.G. Generalized Techniques of Harmonic Elimination and Voltage Control in Thyristor Inverters. IEEE Trans. Ind. Appl. 1973, 3, 310–317. [Google Scholar] [CrossRef]
  15. Antic, D.; Klaassens, J.B.; Deleroi, W. Side Effects in Low-speed AC Drives. In Proceedings of the PESC’94 Power Electronics Specialists Conference, Taipei, Taiwan, 20–25 June 1994; Volume 2, pp. 527–533. [Google Scholar]
  16. Chen, S.; Namuduri, C.; Mir, S. Controller-induced Parasitic Torque Ripples in a PM Synchronous Motor. IEEE Trans. Ind. Appl. 2002, 38, 1273–1281. [Google Scholar] [CrossRef]
  17. Zhang, P.; Du, Y.; Habetler, T.G.; Lu, B. Magnetic Effects of DC Signal Injection on Induction Motors for Thermal Evaluation of Stator Windings. IEEE Trans. Ind. Electron. 2010, 58, 1479–1489. [Google Scholar] [CrossRef]
Figure 2. Currents in the three-phase ohmic-inductive load at 15 kHz switching frequency [9].
Figure 2. Currents in the three-phase ohmic-inductive load at 15 kHz switching frequency [9].
Energies 14 01713 g002
Figure 3. Emitting diode driver circuit [16].
Figure 3. Emitting diode driver circuit [16].
Energies 14 01713 g003
Figure 4. Control signals for three inverter legs measured after the optical transmission [16]: (a) rising edge—light off; (b) falling edge—light on [9].
Figure 4. Control signals for three inverter legs measured after the optical transmission [16]: (a) rising edge—light off; (b) falling edge—light on [9].
Energies 14 01713 g004
Figure 5. Dead time voltage compensation malfunction caused by current measurement offset: (a) larger current magnitude; (b) smaller current magnitude [3].
Figure 5. Dead time voltage compensation malfunction caused by current measurement offset: (a) larger current magnitude; (b) smaller current magnitude [3].
Energies 14 01713 g005
Figure 6. DC current offset in 2.2 kW induction machine phase currents in field-weakening region at no load due to faulty dead time compensation [8].
Figure 6. DC current offset in 2.2 kW induction machine phase currents in field-weakening region at no load due to faulty dead time compensation [8].
Energies 14 01713 g006
Figure 7. Dead time voltage in a presence of a DC component in a phase current: (a) time course; (b) spectrum [1].
Figure 7. Dead time voltage in a presence of a DC component in a phase current: (a) time course; (b) spectrum [1].
Energies 14 01713 g007
Figure 8. Measured torque harmonic at a load of 150 Nm [6].
Figure 8. Measured torque harmonic at a load of 150 Nm [6].
Energies 14 01713 g008
Figure 9. Space phasors of two-level voltage-source inverter (VSI) [6].
Figure 9. Space phasors of two-level voltage-source inverter (VSI) [6].
Energies 14 01713 g009
Figure 10. Simulated torque of pulse-width modulated voltage-source inverter (PWM-VSI)-fed induction machine: (a) unsaturated; (b) at the “knee” of the magnetization characteristic [6].
Figure 10. Simulated torque of pulse-width modulated voltage-source inverter (PWM-VSI)-fed induction machine: (a) unsaturated; (b) at the “knee” of the magnetization characteristic [6].
Energies 14 01713 g010
Table 1. Tested motor ratings.
Table 1. Tested motor ratings.
Power220 kW
Voltage400 V
Current390 A
Frequency67 Hz
Rotational speed3985 rpm
Publisher’s Note: MDPI stays neutral with regard to jurisdictional claims in published maps and institutional affiliations.

Share and Cite

MDPI and ACS Style

Plotkin, J.; Almuratova, N.; Yerzhan, A.; Petrushin, V. Parasitic Effects of PWM-VSI Control Leading to Torque Harmonics in AC Drives. Energies 2021, 14, 1713. https://doi.org/10.3390/en14061713

AMA Style

Plotkin J, Almuratova N, Yerzhan A, Petrushin V. Parasitic Effects of PWM-VSI Control Leading to Torque Harmonics in AC Drives. Energies. 2021; 14(6):1713. https://doi.org/10.3390/en14061713

Chicago/Turabian Style

Plotkin, Juriy, Nurgul Almuratova, Assel Yerzhan, and Victor Petrushin. 2021. "Parasitic Effects of PWM-VSI Control Leading to Torque Harmonics in AC Drives" Energies 14, no. 6: 1713. https://doi.org/10.3390/en14061713

APA Style

Plotkin, J., Almuratova, N., Yerzhan, A., & Petrushin, V. (2021). Parasitic Effects of PWM-VSI Control Leading to Torque Harmonics in AC Drives. Energies, 14(6), 1713. https://doi.org/10.3390/en14061713

Note that from the first issue of 2016, this journal uses article numbers instead of page numbers. See further details here.

Article Metrics

Back to TopTop