Investigations of the Dynamic Travel Time Information Impact on Drivers’ Route Choice in an Urban Area—A Case Study Based on the City of Bialystok
Abstract
1. Introduction
2. Research Area and Data Acquisition
3. Methodology
- –
- Everyday conditions. Getting information about traffic flow in three working days (Mon–Tue–Wed) and analyses of the traffic characteristics (hourly volume traffic intensity, quarterly volume traffic, and peak hour factor (PHF)). Verification of significant differences in traffic volumes between those days in the period 7:00–8:00 (Mon–Tue–Wed) and the period 8:00–9:00 (Mon–Tue–Wed).
- –
- Everyday conditions. Evaluation of hourly traffic volume fluctuations within a day and determining the significance of differences between hourly volumes in two consecutive peak hours (between 7:00–8:00 and 8:00–9:00) to establish the nature and magnitude of traffic fluctuations.
- –
- Artificial conditions of TTI. Determining the significance of changes in traffic volumes after the implementation of elongated travel times to investigate the effect of the VMS operation. Setting the length of travel time information displayed on the VMS board at 7:00 was based on reviewed everyday conditions and was further assumed as a phase “0”. Artificially elongated times were assumed to be distinctly longer from the initial times but still should present reliable and reasonable values. In case of too extended values, drivers could treat the information as a hardware/software error instead of accepting the information on actual conditions. The maximum elongation reached 200% (intersections 3 and 4) and 300% (intersections 1, 2, 5) and depended on the initial time in phase “0”. The planned TTI values are presented in Figure 3. Traffic volumes were measured in all set conditions accordingly. Traffic measures were conducted between March and June during the same weather conditions. Weeks with public holidays were excluded from the research to keep similar traffic conditions as much as possible.
4. Research Results and Discussion
4.1. Characteristic of Traffic Flow Volumes Measured in Weekdays in Everyday Conditions
4.2. Hourly Traffic Volume Fluctuations Within Peak Hours in Everyday Conditions
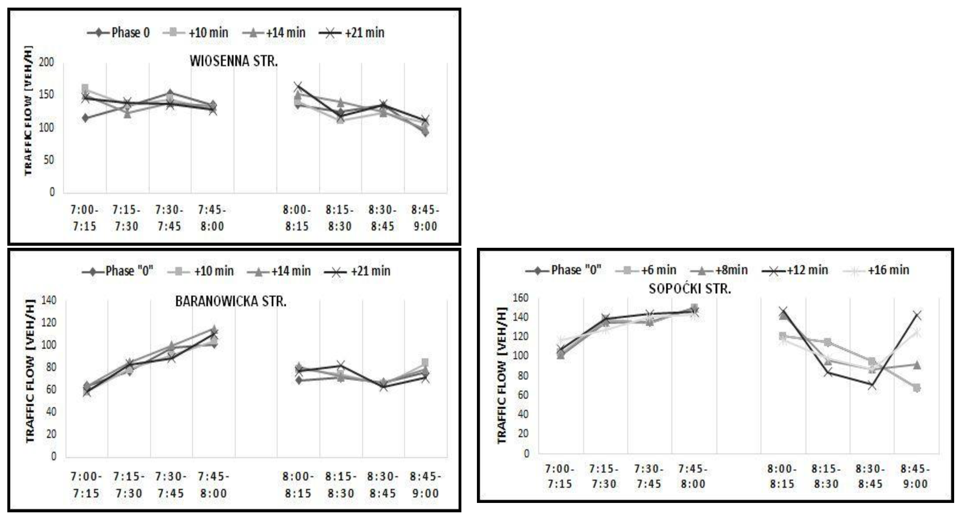
4.3. Determining the Significance of Traffic Intensities Changes Caused by Variations of TTI Displayed on the VMS
5. Conclusions
Author Contributions
Funding
Institutional Review Board Statement
Informed Consent Statement
Data Availability Statement
Conflicts of Interest
Appendix A
| Main Routes | ||||||||||||
| Wiosenna | Baranowicka | Kopernika | Sopoćki | Antoniukowska | ||||||||
| 7:00–8:00 | F = | p = | F = | p = | F = | p = | F = | p = | F = | p = | ||
| 0.2730 | 0.8436 | 0.4078 | 0.7502 | 0.0857 | 0.9665 | 0.0216 | 0.9989 | 0.0017 | 0.9999 | |||
| 8:00–9:00 | 0.2769 | 0.8409 | 0.3715 | 0.7750 | 1.9592 | 0.1740 | 0.1305 | 0.9688 | 0.6113 | 0.6608 | ||
| F = | p = | F = | p = | F = | p = | F = | p = | F = | p = | |||
| Phase “0” | 0.9095 | 0.3770 | 2.4998 | 0.1649 | 2.2171 | 0.1870 | 2.6608 | 0.1596 | 0.0023 | 9629 | ||
| 10 min | 4.566 | 0.0764 | 0.5571 | 0.4836 | 4.3022 | 0.0755 | ||||||
| 14 min | 0.3780 | 0.5612 | 2.0486 | 0.2023 | 15.4229 | 0.0077 | ||||||
| 21 min | 0.1667 | 0.6972 | 1.1357 | 0.3275 | 10.4000 | 0.0180 | ||||||
| 6 min | 4.2852 | 0.0838 | 0.3921 | 0.5542 | ||||||||
| 8 min | 2.5366 | 0.1623 | 0.0008 | 0.9772 | ||||||||
| 12 min | 1.1348 | 0.3277 | 0.3032 | 0.6017 | ||||||||
| 16 min | 5.7907 | 0.0528 | 0.1376 | 0.7233 | ||||||||
| Alternative Routes | ||||||||||||
| Ciołkowskiego | Sulika | Sikorskiego | Antoniukowska | Świętokrzyska | Wierzbowa | |||||||
| 7:00–8:00 | F = | p = | F = | p = | F = | p = | F = | p = | F = | p = | F = | p = |
| 0.0161 | 0.9970 | 0.1021 | 0.9572 | 0.0411 | 0.9883 | 0.2608 | 0.8984 | 0.0944 | 0.9827 | 0.0771 | 0.9881 | |
| 8:00–9:00 | 0.3290 | 0.8044 | 1.043 | 0.4085 | 1.0112 | 0.4215 | 0.4264 | 0.7872 | 0.3752 | 0.8227 | 0.6594 | 0.6295 |
| F = | p = | F = | p = | F = | p = | F = | p = | F = | p = | F = | p = | |
| Phase “0” | 1.8797 | 0.2194 | 7.0617 | 0.0376 | 0.2155 | 0.6588 | 0.8198 | 0.4001 | 0.0806 | 0.7860 | 0.6457 | 0.4522 |
| 10 min | 8.8113 | 0.0250 | 5.4777 | 0.0578 | 3.0636 | 0.1306 | ||||||
| 14 min | 6.3200 | 0.0456 | 5.2086 | 0.0626 | 0.0048 | 0.9465 | ||||||
| 21 min | 1.5796 | 0.2552 | 7.7327 | 0.0319 | 1.5455 | 0.2601 | ||||||
| 6 min | 3.7376 | 0.1013 | 0.0924 | 0.7713 | 1.7444 | 0.2347 | ||||||
| 8 min | 2.2369 | 0.1853 | 0.1609 | 0.7021 | 5.2224 | 0.0623 | ||||||
| 12 min | 1.5087 | 0.2653 | 0.4622 | 0.5219 | 5.1200 | 0.0643 | ||||||
| 16 min | 2.7145 | 0.1505 | 0.2329 | 0.6464 | 4.1136 | 0.0888 | ||||||
References
- Gonzalo-Orden, H.; Pérez-Acebo, H.; Linares-Unamunzaga, A.; Rojo, M. Effects of traffic calming measures in different urban areas. Transp. Res. Proc. 2018, 33, 83–90. [Google Scholar] [CrossRef]
- Lee, G.; Joob, S.; Oh, C.; Choi, K. An evaluation framework for traffic calming measures in residential areas. Transp. Res. Part D Transp. Environ. 2013, 25, 68–76. [Google Scholar] [CrossRef]
- Directive 2010/40/EU of the European Parliament and of the Council of 7 July 2010. Available online: https://eur-lex.europa.eu (accessed on 15 April 2020).
- Blythe, P.; Rackliff, T.; Holland, R.; Mageean, J. ITS applications in public transport: Improving the service to the transport system. J. Adv. Transp. 2000, 34, 325–345. [Google Scholar] [CrossRef]
- Stelzer, A.; Englert, F.; Hörold, S.; Mayas, C. Improving service quality in public transportation systems using automated customer feedback. Transp. Res. Part E Logist. Transp. Rev. 2015, 89, 259–271. [Google Scholar] [CrossRef]
- Lee, S.H.; Cho, H.J. A Study on Safety Impacts for VMS Traffic Information. J. Korea Inst. Intell. Transp. Syst. 2015, 14, 22–30. [Google Scholar] [CrossRef]
- Hamish, A.J.; Merat, N. The effectiveness of safety campaign vms messages—A driving simulator investigation. In Proceedings of the Fourth International Driving Symposium on Human Factors in Driver Assessment, Training and Vehicle Design, Washington, DC, USA, 9–12 July 2007; Available online: https://www.researchgate.net/publication/228598600_the_effectiveness_of_safety_campaign_vms_messages_a_driving_simulator_investigation (accessed on 25 January 2021).
- Kwon, E.; Brannan, D.; Shouman, K.; Isackson, C.; Arseneau, B. Development and Field Evaluation of Variable Advisory Speed Limit System for Work Zones. Transp. Res. Rec. J. Transp. Res. Board 2015, 12–18. [Google Scholar] [CrossRef]
- Gao, F.; Li, S.E.; Zheng, Y.; Kum, D. Robust control of heterogeneous vehicular platoon with uncertain dynamics and communication delay. IET Intell. Transp. Syst. 2016, 10, 503–513. [Google Scholar] [CrossRef]
- Wang, D.; Fengjie, F.; Xiaoqin, L.; Sheng, J.; Dongfang, M. Travel time estimation method for urban road based on traffic stream directions. Transp. A Transp. Sci. 2016, 12, 479–503. [Google Scholar] [CrossRef]
- Wang, Z.; Wu, G.; Barth, M.J. Cooperative Eco-Driving at Signalized Intersections in a Partially Connected and Automated Vehicle Environment. IEEE Trans. Intell. Transp. Syst. 2020, 21, 2029–2038. [Google Scholar] [CrossRef]
- Tian, D.; Li, W.; Wu, G.; Barth, M.J. Examining the Safety, Mobility and Environmental Sustainability Co-Benefits and Tradeoffs of Intelligent Transportation Systems. UC Davis: National Center for Sustainable Transportation. 2017. Available online: https://escholarship.org/uc/item/0m49j95r (accessed on 24 April 2020).
- Jurgen, R. V2V/V2I Communications for Improved Road Safety and Efficiency; SAE: Warrendale, PA, USA, 2012; pp. i–viii. [Google Scholar]
- Pribyl, O.; Blokpoel, R.; Matowicki, M. Addressing EU climate targets: Reducing CO2 emissions using cooperative and automated vehicles. Transp. Res. Part D Transp. Environ. 2020, 86. [Google Scholar] [CrossRef]
- Hoye, A. Speed Cameras, Section Control, and Kangaroo Jumps—A Meta-Analysis. Accid. Anal. Prev. 2014, 73, 200–208. [Google Scholar] [CrossRef] [PubMed]
- La Torre, F.; Meocci, M.; Nocentini, A. Safety effects of automated section speed control on the Italian motorway network. J. Saf. Res. 2019, 69, 115–123. [Google Scholar] [CrossRef]
- Ziolkowski, R. Effectiveness of Automatic Section Speed Control System Operating on National Roads in Poland. Promet-Traffic Transp. 2019, 31, 435–442. [Google Scholar] [CrossRef]
- Karlberg, N.O. Road, weather, action. In Traffic Technology International; AutoIntermediates Limited: Surrey, UK, 2003. [Google Scholar]
- Rama, P.; Kulmala, R. Effects of variable message signs for slippery road conditions on driving speed and headways. Transp. Res. Part F 2000, 3, 85–94. [Google Scholar] [CrossRef]
- Boyle, L.; Mannering, F. Impact of traveller advisory systems on driving speed: Some new evidence. Trans. Res. Part C 2004, 12, 57–72. [Google Scholar] [CrossRef]
- Zhenzhen, Y.; Hongcheng, G.; Shengrong, Z. Simulation analysis for guidance benefit of travel time displayed by variable message signs. IEEE 2011, 5, 123–127. [Google Scholar]
- Cheu, R.L.; Liu, Q.; Lee, D. Arterial Travel Time Estimation Using SCATS Detectors. Appl. Adv. Technol. Transp. 2002, 4, 32–39. [Google Scholar] [CrossRef]
- Elhenawy, M.H.; Chen, H.; Rakha, H.A. Dynamic Travel Time Prediction Using Data Clustering and Genetic Programming. Transp. Res. Part C Emerg. Technol. 2014, 42, 82–98. [Google Scholar] [CrossRef]
- Jamshidnejad, A.; Schutter, B.D. Estimation of the Generalised Average Traffic Speed based on Microscopic Measurements. Transp. A Transp. Sci. 2015, 11, 525–546. [Google Scholar] [CrossRef]
- Shang, H.; Huang, H.; Gao, Z. Impacts of variable message signs on traffic congestion. Sci. China Ser. E Technol. Sci. 2009, 52, 477. [Google Scholar] [CrossRef]
- Erke, A.; Sagberg, F.; Hagman, R. Effects of route guidance variable message signs (VMS) on driver behaviour. Transp. Res. Part F Traffic Psychol. Behav. 2007, 10, 447–457. [Google Scholar] [CrossRef]
- Chatterjee, K.; Hounsella, N.B.; Firminb, P.E.; Bonsall, P.W. Driver response to variable message sign information in London. Transp. Res. Part C Emerg. Technol. 2002, 10, 149–169. [Google Scholar] [CrossRef]
- Zhang, E.; Zhang, X. Road Traffic Congestion Detecting by VANETs. In Proceedings of the 2nd International Conference on Electrical and Electronic Engineering (EEE 2019); Atlantis Press: Paris, France, 2019; Volume 185. [Google Scholar]
- Menelaou, C.; Kolios, P.; Timotheou, S.; Panayiotou, C.G.; Polycarpou, M.P. Controlling road congestion via a low-complexity route reservation approach. Transp. Res. Part C Emerg. Technol. 2017, 81, 118–136. [Google Scholar] [CrossRef]
- Jayapal, C.; Roy, S.S. Road traffic congestion management using VANET. In Proceedings of the International Conference on Advances in Human Machine Interaction (HMI), Kodigehalli, India, 3–5 March 2016; pp. 1–7. [Google Scholar] [CrossRef]
- Ziółkowski, R.; Anszczak-Pycz, M.; Dziejma, Z. Analysis of red light camera violations—A case study in Bialystok. In Proceedings of the 2018 Smart City Symposium Prague (SCSP), Prague, Czech Republic, 24–25 May 2018; pp. 1–6. [Google Scholar] [CrossRef]
- Benson, B.G. Motorist Attitudes about Content of Variable-Message Signs. Transp. Res. Rec. J. Transp. Res. Board 1996, 1550, 48–57. [Google Scholar] [CrossRef]
- Zhong-Ren, P.; Guequierre, N.; Blakeman, J. Motorist Response to Arterial Variable Message Signs. Transp. Res. Rec. J. Transp. Res. Board 2004, 1899, 55–63. [Google Scholar] [CrossRef]










| Intersection | Travel Time Displayed for Main (M) and Alternative Routes (A) | Speed Limit (km/h) | Route Length (km) | |
|---|---|---|---|---|
| 1 | Wiosenna (M) | 7–9 | 50 | 3.5 |
| Ciołkowskiego (A) | 7–7 | 50/70 | 4.1 | |
| 2 | Baranowicka (M) | 7–12 (20, 10 min) * | 50 | 5.2 |
| Sulika (A) | 8–17 | 50/70 | 6.3 | |
| 3 | Sopoćki (M) | 4–7 (9, 7 min) * | 50 | 3.1 |
| Antoniukowska (A) | 4–9 (11, 3 min) * | 50 | 2.4 | |
| 4 | Świętokrzyska (A) | 4–9 (13, 1 min) * | 50 | 3.1 |
| Antoniukowska (M) | 3–4 | 50 | 3.1 | |
| Wierzbowa (A) | 4–7 (9, 4 min) | 50 | 4.3 | |
| 5 | Kopernika (M) | 8–10 | 50/70 | 4.7 |
| Sikorskiego (A) | 7–2 | 50/70 | 4.6 | |
| Time | Wiosenna | Baranowicka | Sopoćki | Antoniukowska | Kopernika | |
| p = | ||||||
| 7:00–8:00 | 0.9438 | 0.8414 | 0.6926 | 0.9560 | 0.6538 | |
| p = | ||||||
| 8:00–9:00 | 0.5487 | 0.7068 | 0.3518 | 0.7493 | 0.8911 | |
| Time | Ciołkowskiego | Sulika | Antoniukowska | Świętokrzyska | Wierzbowa | Sikorskiego |
| p = | ||||||
| 7:00–8:00 | 0.9896 | 0.7858 | 0.9619 | 0.6001 | 0.7108 | 0.7183 |
| p = | ||||||
| 8:00–9:00 | 0.9325 | 0.2265 | 0.5402 | 0.9273 | 0.8104 | 0.7092 |
| Main Routes | ||||||||||||
| Wiosenna | Baranowicka | Sopoćki | Antoniukowska | Kopernika | ||||||||
| Time | 7:00–8:00 | 8:00–9:00 | 7:00–8:00 | 8:00–9:00 | 7:00–8:00 | 8:00–9:00 | 7:00–8:00 | 8:00–9:00 | 7:00–8:00 | 8:00–9:00 | ||
| Q avg (veh/15 min) | 137 | 133 | 84 | 71 | 129 | 106 | 153 | 150 | 193 | 158 | ||
| SD | 14.3 | 22.8 | 15.7 | 5.1 | 14.4 | 18.2 | 45.6 | 24.7 | 21.7 | 11.7 | ||
| F = | 0.2025 | 4.4008 | 7.6645 | 0.0245 | 24.3532 | |||||||
| p = | 0.6570 | 0.0545 | 0.0151 | 0.8776 | 0.0001 | |||||||
| Alternative Routes | ||||||||||||
| Ciołkowskiego | Sulika | Antoniukowska | Świętokrzyska | Wierzbowa | Sikorskiego | |||||||
| Time | 7.00–8.00 | 8.00–9.00 | 7.00–8.00 | 8.00–9.00 | 7.00–8.00 | 8.00–9.00 | 7.00–8.00 | 8.00–9.00 | 7.00–8.00 | 8.00–9.00 | 7.00–8.00 | 8.00–9.00 |
| Q avg (veh/15 min) | 223 | 182 | 103 | 82 | 205 | 156 | 98 | 88 | 65 | 57 | 74 | 64 |
| SD | 46.6 | 18.8 | 13.9 | 3.3 | 65.8 | 29.7 | 21.2 | 20.7 | 14.5 | 10.5 | 12.9 | 7.4 |
| F = | 7.7931 | 18.0642 | 3.8143 | 0.9874 | 1.4523 | 5.2518 | ||||||
| p = | 0.0106 | 0.0008 | 0.0711 | 0.3388 | 0.2481 | 0.0318 | ||||||
Publisher’s Note: MDPI stays neutral with regard to jurisdictional claims in published maps and institutional affiliations. |
© 2021 by the authors. Licensee MDPI, Basel, Switzerland. This article is an open access article distributed under the terms and conditions of the Creative Commons Attribution (CC BY) license (http://creativecommons.org/licenses/by/4.0/).
Share and Cite
Ziółkowski, R.; Dziejma, Z. Investigations of the Dynamic Travel Time Information Impact on Drivers’ Route Choice in an Urban Area—A Case Study Based on the City of Bialystok. Energies 2021, 14, 1645. https://doi.org/10.3390/en14061645
Ziółkowski R, Dziejma Z. Investigations of the Dynamic Travel Time Information Impact on Drivers’ Route Choice in an Urban Area—A Case Study Based on the City of Bialystok. Energies. 2021; 14(6):1645. https://doi.org/10.3390/en14061645
Chicago/Turabian StyleZiółkowski, Robert, and Zbigniew Dziejma. 2021. "Investigations of the Dynamic Travel Time Information Impact on Drivers’ Route Choice in an Urban Area—A Case Study Based on the City of Bialystok" Energies 14, no. 6: 1645. https://doi.org/10.3390/en14061645
APA StyleZiółkowski, R., & Dziejma, Z. (2021). Investigations of the Dynamic Travel Time Information Impact on Drivers’ Route Choice in an Urban Area—A Case Study Based on the City of Bialystok. Energies, 14(6), 1645. https://doi.org/10.3390/en14061645

