A Solution to Pressure Equation with Its Boundary Condition of Combining Tangential and Normal Pressure Relations
Abstract
1. Introduction
2. Pressure Equations
2.1. Present Pressure Equation
2.2. Pressure Poisson Equation
2.3. Meaning of Present Pressure Equation
3. Pressure Boundary Conditions
3.1. Conventional Boundary Conditions
3.2. Present Boundary Conditions
3.3. Pressure Boundary Treatment
4. Solutions to Pressure and Velocity Equations
4.1. Discretization Equations
4.2. Pressure-Velocity Coupling Method
5. Results and Discussions
6. Conclusions
- (1)
- The transport mechanism of pressure is revealed by introducing the constitutive law and conservation equation for pressure, which have significant meaning in describing the convection of the fluid. A pressure-velocity coupling method (PVCM for short) is then proposed to solve pressure and velocity fields in the tube flow by directly coupling the present pressure equation with the N-S equation. As the conventional boundary conditions are not suitable for the pressure equation, a method of boundary treatment, which is combined by the tangential and normal direction pressure relations, was developed to deal with this problem.
- (2)
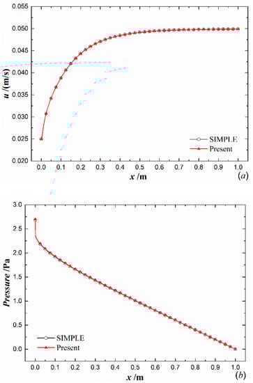
- In order to validate the present pressure equation with its dynamic boundary conditions investigated in this work, the numerical comparison was made between the PVCM and SIMPLE algorithms. The computational results show that the pressure and velocity solved by the two algorithms are closely consistent with each other along the central line of the circular tube, on the cross section in the entrance and fully developed regions, as well as at the tube-axis plane. The excellent agreement between them verifies that the constitutive law and conservation equation on pressure can be applied to solve pressure and velocity in the fluid flow.
Author Contributions
Funding
Institutional Review Board Statement
Informed Consent Statement
Data Availability Statement
Conflicts of Interest
Appendix A. Computational Codes for Pressure Boundary Treatment
References
- Demirel, Y. Nonequilibrium Thermodynamics: Transport and Rate Processes in Physical, Chemical and Biological Systems; Newnes: London, UK, 2013. [Google Scholar]
- Petschel, K.; Stellmach, S.; Wilczek, M.; Lülff, J.; Hansen, U. Dissipation Layers in Rayleigh-B\′enard Convection: A Unifying View. Phys. Rev. Lett. 2013, 110, 114502. [Google Scholar] [CrossRef]
- Calvo, I.; Sánchez, R.; Carreras, B.A.; van Milligen, B.P. Fractional Generalization of Fick’s Law: A Microscopic Approach. Phys. Rev. Lett. 2007, 99, 230603. [Google Scholar] [CrossRef]
- Chiara, N.; Drew, R.E.; Elmar, B.; Hans-Jürgen, B.; Vincent, S.J.C. Boundary slip in Newtonian liquids: A review of experimental studies. Rep. Prog. Phys. 2005, 68, 2859. [Google Scholar]
- Gresho, P.M.; Sani, R.L. On pressure boundary conditions for the incompressible Navier-Stokes equations. Int. J. Numer. Methods Fluids 1987, 7, 1111–1145. [Google Scholar] [CrossRef]
- Johnston, H.; Liu, J.-G. Accurate, stable and efficient Navier–Stokes solvers based on explicit treatment of the pressure term. J. Comput. Phys. 2004, 199, 221–259. [Google Scholar] [CrossRef]
- Sani, R.L.; Shen, J.; Pironneau, O.; Gresho, P. Pressure boundary condition for the time-dependent incompressible Navier–Stokes equations. Int. J. Numer. Methods Fluids 2006, 50, 673–682. [Google Scholar] [CrossRef]
- Liu, J. Open and traction boundary conditions for the incompressible Navier–Stokes equations. J. Comput. Phys. 2009, 228, 7250–7267. [Google Scholar] [CrossRef]
- Shirokoff, D.; Rosales, R.R. An efficient method for the incompressible Navier–Stokes equations on irregular domains with no-slip boundary conditions, high order up to the boundary. J. Comput. Phys. 2011, 230, 8619–8646. [Google Scholar] [CrossRef][Green Version]
- Avila, K.; Moxey, D.; de Lozar, A.; Avila, M.; Barkley, D.; Hof, B. The Onset of Turbulence in Pipe Flow. Science 2011, 333, 192–196. [Google Scholar] [CrossRef] [PubMed]
- Barkley, D.; Song, B.; Mukund, V.; Lemoult, G.; Avila, M.; Hof, B. The rise of fully turbulent flow. Nature 2015, 526, 550. [Google Scholar] [CrossRef]
- Shishkina, O.; Wagner, S. Prandtl-Number Dependence of Heat Transport in Laminar Horizontal Convection. Phys. Rev. Lett. 2016, 116, 024302. [Google Scholar] [CrossRef] [PubMed]
- He, Y.-L.; Chu, P.; Tao, W.-Q.; Zhang, Y.-W.; Xie, T. Analysis of heat transfer and pressure drop for fin-and-tube heat exchangers with rectangular winglet-type vortex generators. Appl. Therm. Eng. 2013, 61, 770–783. [Google Scholar] [CrossRef]
- Chong, K.L.; Wagner, S.; Kaczorowski, M.; Shishkina, O.; Xia, K.-Q. Effect of Prandtl number on heat transport enhancement in Rayleigh-Bénard convection under geometrical confinement. Phys. Rev. Fluids 2018, 3, 013501. [Google Scholar] [CrossRef]
- Liu, P.; Zheng, N.; Shan, F.; Liu, Z.; Liu, W. An experimental and numerical study on the laminar heat transfer and flow characteristics of a circular tube fitted with multiple conical strips inserts. Int. J. Heat Mass Transf. 2018, 117, 691–709. [Google Scholar] [CrossRef]
- Shahzad, F.; Haq, R.U.; Al-Mdallal, Q.M. Water driven Cu nanoparticles between two concentric ducts with oscillatory pressure gradient. J. Mol. Liq. 2016, 224, 322–332. [Google Scholar] [CrossRef]
- Haq, R.U.; Shahzad, F.; Al-Mdallal, Q.M. MHD pulsatile flow of engine oil based carbon nanotubes between two concentric cylinders. Results Phys. 2017, 7, 57–68. [Google Scholar] [CrossRef]
- Patankar, S.V. Numerical HeatTransfer and Fluid Flow; Hemisphere: Washington, DC, USA, 1980. [Google Scholar]
- Van Doormaal, J.P.; Raithby, G.D. Enhancements of the Simple Method for Predicting Incompressible Fluid Flows. Numer. Heat Transf. 1984, 7, 147–163. [Google Scholar] [CrossRef]
- Issa, R.I.; Gosman, A.; Watkins, A. The computation of compressible and incompressible recirculating flows by a non-iterative implicit scheme. J. Comput. Phys. 1986, 62, 66–82. [Google Scholar] [CrossRef]
- Xiao, H.; Wang, J.; Liu, Z.; Liu, W. A consistent SIMPLE algorithm with extra explicit prediction—SIMPLEPC. Int. J. Heat Mass Transf. 2018, 120, 1255–1265. [Google Scholar] [CrossRef]
- Tao, W.; Qu, Z.; He, Y. A novel segregated algorithm for incompressible fluid flow and heat transfer problems—Clear (coupled and linked equations algorithm revised) part I: Mathematical formulation and solution procedure. Numer. Heat Transf. Part B Fundam. 2004, 45, 1–17. [Google Scholar]
- Sun, D.; Qu, Z.; He, Y.; Tao, W. An efficient segregated algorithm for incompressible fluid flow and heat transfer problems—IDEAL (inner doubly iterative efficient algorithm for linked equations) Part I: Mathematical formulation and solution procedure. Numer. Heat Transf. Part B Fundam. 2008, 53, 1–17. [Google Scholar] [CrossRef]
- Qu, Z.; Xu, H.; Tao, W. Numerical Simulation of Non-Equilibrium Conjugate Heat Transfer in Tubes Partially Filled with Metallic Foams. J. Therm. Sci. Technol. 2012, 7, 151–165. [Google Scholar] [CrossRef][Green Version]
- Li, J.; Zhang, Q.; Zhai, Z.-Q. An efficient simpler-revised algorithm for incompressible flow with unstructured grids. Numer. Heat Transf. Part B Fundam. 2017, 71, 425–442. [Google Scholar] [CrossRef]
- Darwish, M.; Sraj, I.; Moukalled, F. A coupled finite volume solver for the solution of incompressible flows on unstructured grids. J. Comput. Phys. 2009, 228, 180–201. [Google Scholar] [CrossRef]
- Darwish, M.; Moukalled, F. A Fully Coupled Navier-Stokes Solver for Fluid Flow at All Speeds. Numer. Heat Transf. Part B Fundam. 2014, 65, 410–444. [Google Scholar] [CrossRef]
- Mangani, L.; Darwish, M.; Moukalled, F. An OpenFOAM pressure-based coupled CFD solver for turbulent and compressible flows in turbomachinery applications. Numer. Heat Transf. Part B Fundam. 2016, 69, 413–431. [Google Scholar] [CrossRef]
- Guo, Z.Y.; Li, D.Y.; Wang, B.X. A novel concept for convective heat transfer enhancement. Int. J. Heat Mass Transf. 1998, 41, 2221–2225. [Google Scholar] [CrossRef]
- Guo, Z.Y.; Tao, W.Q.; Shah, R.K. The field synergy (coordination) principle and its applications in enhancing single phase convective heat transfer. Int. J. Heat Mass Transf. 2005, 48, 1797–1807. [Google Scholar] [CrossRef]
- Tao, W.-Q.; Guo, Z.-Y.; Wang, B.-X. Field synergy principle for enhancing convective heat transfer––Its extension and numerical verifications. Int. J. Heat Mass Transf. 2002, 45, 3849–3856. [Google Scholar] [CrossRef]
- He, Y.L.; Tao, W.Q. Chapter Three—Convective Heat Transfer Enhancement: Mechanisms, Techniques, and Performance Evaluation. In Advances in Heat Transfer; Sparrow, E.M., Abraham, J., Gorman, J., Cho, Y., Eds.; Elsevier: Amsterdam, The Netherlands, 2014; Volume 46, pp. 87–186. [Google Scholar]
- Yu, Z.-Q.; Wang, P.; Zhou, W.-J.; Li, Z.-Y.; Tao, W.-Q. Study on the consistency between field synergy principle and entransy dissipation extremum principle. Int. J. Heat Mass Transf. 2018, 116, 621–634. [Google Scholar] [CrossRef]
- Liu, W.; Liu, Z.; Ming, T.; Guo, Z. Physical quantity synergy in laminar flow field and its application in heat transfer enhancement. Int. J. Heat Mass Transf. 2009, 52, 4669–4672. [Google Scholar]
- Wang, J.; Liu, W.; Liu, Z. The application of exergy destruction minimization in convective heat transfer optimization. Appl. Therm. Eng. 2015, 88, 384–390. [Google Scholar] [CrossRef]
- Liu, W.; Liu, P.; Wang, J.B.; Zheng, N.B.; Liu, Z.C. Exergy destruction minimization: A principle to convective heat transfer enhancement. Int. J. Heat Mass Transf. 2018, 122, 11–21. [Google Scholar] [CrossRef]
- Liu, W.; Liu, P.; Dong, Z.M.; Yang, K.; Liu, Z.C. A study on the multi-field synergy principle of convective heat and mass transfer enhancement. Int. J. Heat Mass Transf. 2019, 134, 722–734. [Google Scholar] [CrossRef]
- Chen, Q.; Wang, M.; Pan, N.; Guo, Z. Optimization principles for convective heat transfer. Energy 2009, 34, 1199–1206. [Google Scholar] [CrossRef]
- Liu, Y.; Chen, Q.; Hu, K.; Hao, J. Porosity distribution optimization catalyst for methanol decomposition in solar parabolic trough receiver-reactors by the variational method. Appl. Therm. Eng. 2018, 129, 1563–1572. [Google Scholar] [CrossRef]
- Liu, W.; Wang, J.B.; Liu, Z.C. A method of fluid dynamic analysis based on Navier-Stokes equation and conservation equation on fluid mechanical energy. Int. J. Heat Mass Transf. 2017, 109, 393–396. [Google Scholar] [CrossRef]
- Tao, W.Q. Numerical Heat Transfer, 2nd ed.; Xi’an Jiaotong University Press: Xi′an, China, 2001. [Google Scholar]








Publisher’s Note: MDPI stays neutral with regard to jurisdictional claims in published maps and institutional affiliations. |
© 2021 by the authors. Licensee MDPI, Basel, Switzerland. This article is an open access article distributed under the terms and conditions of the Creative Commons Attribution (CC BY) license (http://creativecommons.org/licenses/by/4.0/).
Share and Cite
Xiao, H.; Liu, W. A Solution to Pressure Equation with Its Boundary Condition of Combining Tangential and Normal Pressure Relations. Energies 2021, 14, 1507. https://doi.org/10.3390/en14051507
Xiao H, Liu W. A Solution to Pressure Equation with Its Boundary Condition of Combining Tangential and Normal Pressure Relations. Energies. 2021; 14(5):1507. https://doi.org/10.3390/en14051507
Chicago/Turabian StyleXiao, Hui, and Wei Liu. 2021. "A Solution to Pressure Equation with Its Boundary Condition of Combining Tangential and Normal Pressure Relations" Energies 14, no. 5: 1507. https://doi.org/10.3390/en14051507
APA StyleXiao, H., & Liu, W. (2021). A Solution to Pressure Equation with Its Boundary Condition of Combining Tangential and Normal Pressure Relations. Energies, 14(5), 1507. https://doi.org/10.3390/en14051507

