Abstract
The present study examines the effect of silicon dioxide (SiO2) nano-additives on the performance and emission characteristics of a diesel engine fuelled with soybean biodiesel. Soybean biofuel was prepared using the transesterification process. The morphology of nano-additives was studied using scanning electron microscopy (SEM), X-ray diffraction (XRD) and energy-dispersive X-ray spectroscopy (EDS). The Ultrasonication process was used for the homogeneous blending of nano-additives with biodiesel, while surfactant was used for the stabilisation of nano-additives. The physicochemical properties of pure and blended fuel samples were measured as per ASTM standards. The performance and emissions characteristics of different fuel samples were measured at different loading conditions. It was found that the brake thermal efficiency (BTE) and brake specific fuel consumption (BSFC) increased by 3.48–6.39% and 5.81–9.88%, respectively, with the addition of SiO2 nano-additives. The carbon monoxide (CO), hydrocarbon (HC) and smoke emissions for nano-additive added blends were decreased by 1.9–17.5%, 20.56–27.5% and 10.16–23.54% compared to SBME25 fuel blends.
1. Introduction
The current scenario of increasing fuel prices and depletion of fossil fuels has increased demand for renewable energy in the industry and heavy-duty diesel engines [,,]. Biodiesel is one of the potential sources of clean and green energy for today’s world’s sustainable development []. Biodiesel is a clean-burning fuel that helps to decrease the emission of unburnt hydrocarbon (HC), carbon monoxide (CO) and smoke emissions [,,]. On the contrary, due to lower heating value than petroleum-based fuels, lower brake power (BP) and higher brake specific fuel consumption (BSFC) is observed []. Biodiesel is also reported to increase nitrogen oxides (NOx) emissions [,]. It was found that soybean biodiesel has properties similar to diesel fuel and different blends of soybean biodiesel can be used in a diesel engine without significant alteration [,]. However, some adverse effects are observed associated with biodiesel use. For example, Özener et al. [] reported that the blends of soybean biodiesel showed a 1–4% decrease in the brake torque and a 2–9% increase in BSFC. They attributed the reduction in the BSFC and torque results to the 12% lower energy content of the biodiesel compared to that of conventional diesel fuel. They also reported a 6.95–17.62% increase in NOx emission. They pointed out that one possible explanation could be the oxygen content of biodiesel which cause a complete combustion reaction when using the biodiesel, resulting in a higher combustion temperature that triggers NOx formation. Another recent study by Seraç et al. [] studied the performance, combustion and exhaust emission characteristics of 5% and 20% by volume soybean biodiesel blend with ultra-low sulphur diesel (ULSD). Tests were carried out at constant power output. They reported a maximum increase in BSFC of 8% for 20% biodiesel blend compared to that of ULSD. They also reported the lowest HC emission and highest NOx emission for 20% biodiesel blend compared to ULSD. They attributed these changes to the higher cetane number and lower heating value of biodiesel. A higher cetane number would result in faster ignition. With a shorter ignition time, the onset of combustion is earlier than that of diesel fuel resulting in the above-mentioned changes.
Novel method was employed by blending the biodiesel with nano-sized particles to overcome the limitations of biodiesel []. The nano additives in biodiesel act as a combustion catalyst. These particles enhance the combustion phenomenon; thus, complete combustion takes place due to the increase in net heat generated inside the combustion chamber that enhances the BTE with a reduction in BSFC. Furthermore, the addition of these nanoparticles reduces the emissions like CO2, HC and smoke except NOx. The NOx increases with the increase in combustion chamber temperature. The addition of fuel additives to improve fuel properties, thereby the combustion characteristics, have become a recent trend in research due to obvious benefits [,,,]. It has been reported that nano-additives effectively reduce the agglomeration during blending with fuel and improve engine characteristics due to the large surface air-to-volume ratio, favourable thermophysical properties and high thermal conductivity [,]. The combined effect of these properties assists in decreasing BSFC as well as engine emissions [,,]. A previous review by Soudagar et al. [] pointed out an extensive literature gap in the investigations to the addition of various types of nano-additives in various biodiesel feedstocks. Najafi [] studied the combustion characteristics of carbon nanotubes (CNT) and Ag nano-additives treated diesel-biodiesel blend. The author showed that the addition of nano-additives to diesel-biodiesel blends resulted in an increase in the in-cylinder peak pressure and the peak pressure rise rate compared to that of neat diesel fuel. Ghanbari et al. [] attributed this to the shorter ignition delay resulting in earlier and higher maximum cylinder pressure. An earlier study by the same group studied the performance and emission characteristics of nano-additive added blends. They showed that these blends reduced BSFC by 7.08%, CO emissions decreased by 25.17% and NOx emissions increased by 25% to 32% on average compared to diesel fuel. Research on enhancing the performance and emission characteristics using silica nano-additives to biodiesel is still minimal.
Adzmi et al. [] studied the effect of adding silica (SiO2) nano-additives (50 and 100 ppm) to palm biodiesel blend on the performance and emission of a diesel engine. Tests were carried out in a single-cylinder diesel engine at various operating load and constant engine speed condition. They reported an increased BP, reduced CO and NOx emission with the addition of silica nano-additives. They reported a 43% increase in BP, a 25% reduction in CO emissions and a 4.48% reduction in NOx emission at various load conditions and amount of silica nano-additives. Saravankumar et al. [] used silica nano-additives as an additive (at 50, 75 and 100 ppm) to the 20% corn oil methyl ester blends with diesel in the form of emulsions. Test results showed that the addition of nano-additives was conducive to decreasing the HC emission due to promoting complete combustion via acting as an oxygen buffer that supplies enough oxygen at higher loads. They also reported lower smoke emission for nano-additives blended fuels as the presence of nano-additives leads to better evaporation rate and enhanced oxidation property of the fuel, which facilitates complete combustion of the fuel. However, they reported an increase in NOx emission due to addition of silica nano-additives, which they attributed to the higher oxygen content in fuel as well as the temperature inside the combustion chamber.
Özgür et al. [] studied the effect of SiO2 nano-additives addition at the dosage of 25 and 50 ppm in rapeseed methyl ester on diesel engine performance and emission. They reported a maximum increase of 4.2–4.8% of BP and 3.6–4.3% of brake torque for 25 and 50 ppm blends, respectively. A maximum average CO reduction of 10.4% was obtained for a 25 ppm silica nano-additives blend. The maximum NOx emission reduction of 7.2% and 9.4% were observed for 25 and 50 ppm nanoparticle blends, respectively. Thus, it can be seen that the variation in the effect on diesel engine performance and emission depend on many factors and are generally not conclusive. Gavhane et al. [] studied the effect of ZnO NPs and soybean biodiesel on engine characteristics. The authors observed an enhancement in the BTE, HRR and MGT by 23.2%, 19.45% and 2.4%, while the CO, HC, CO2 and smoke emissions lowered by 28.21%, 32.23%, 21.66% and 22.5% and ID reduced by 26.2%, while the NOx slightly increased. Figure 1 illustrates the comprehensive steps involved in the production of nano fuel blends.

Figure 1.
Comprehensive steps involved in the production of nano fuel blends [].
The aim of the present investigation is to study the effect of NP additives and biodiesel fuel blends at varying loads in VCR diesel engine. The study delivers the potential of SiO2 NPs and SBME25 blend. SBME25 is blended with SiO2 NPs at different blending ratios (25, 50 and 75 ppm). This study provides a direction to the further investigational facet of nano-additives in diesel-biodiesel fuel in CI engine application.
2. Materials and Methodology
2.1. Materials
In this study, soybean seeds were collected from the local market and oil is extracted. The extracted oil was further used to produce biodiesel using the transesterification process. The SiO2 nano-additives (spherical, amorphous) was used in the current study. The size, molecular weight, surface area and density of the nano-additives were 5–20 nm, 60.08 and 590–690 m2/g and 2.2–2.6 g/mL at 25 °C, respectively.
2.2. Preparation of Soybean Biodiesel by Transesterification Process
Drying of grains was carried out first to ensure good quality of oil during the oil extraction method. After that, pre-treatment on beans such as dehulling and grinding was carried out. A mechanical press with an electrical heater was employed for oil extraction. After extracting the raw soybean oil transesterification process was employed to produce biodiesel. In this process, crude soybean oil was reacted with methanol (17% v/v oil) and 1% (w/w oil) sodium methoxide and maintained at 60 °C for two hours. The stirring of the mixture was carried out at 1000 rpm to achieve a greater reaction. The produced biodiesel was poured into a separation funnel for 12 h to separate the glycerin from the biodiesel. Then, the lower layer, which contained impurities and glycerin, was drawn off after the completion of settling down. The produced methyl ester was washed with distilled water to remove the impurities and glycerin. In this process, 50% (v/v) distilled water at 60 °C was sprayed over the esters and shaken gently and the lower layer containing water and impurities was taken out. Then, methyl ester was subjected to vacuum distillation at 65 °C for one hour using a rotary evaporator to remove excess water and remaining methanol. The whole process is shown in Figure 2, which illustrates (a) the steps involved in the production of soybean biodiesel oil from beans and (b) a schematic representation of the transesterification reaction.

Figure 2.
(a) Steps involved in the production of soybean oil from beans; (b) schematic representation of the transesterification reaction [,].
2.3. Characterisation of Silica Nano-Additive
The morphology of SiO2 nano-additives was analysed using X-ray diffraction (XRD) shown in Figure 3. The XRD analysis was performed to analyse the crystalline structure of nano-additives using Xpert MPD, Philips, Holland XRD analyser, with a range of copper X-ray tubes from 5° to 100°. The XRD structure reveals a broad, amorphous peak corresponding to Bragg angle at 2θ = 22° due to the amorphous phase of SiO2 in nano-additive. The minute size and partial internal structure of the nano-additive trigger this broad XRD peak. The result indicates that a high proportion of certain particles are amorphous []. This also illustrates the presence of SiO2 nano-additives with no other significant impurities. The results are consistent with the International Centre for Diffraction Data (JCPDS) [,]. Figure 4 illustrates the EDS analysis of the SiO2 nano-additive. The EDS, also known as energy dispersive X-ray analysis, was performed to determine the elemental and chemical analysis of the SiO2 nano-additives. The EDS analysis showed a higher quantity of silicon (65.68%) with an adequate amount of oxygen molecules (30.4). In addition, some impurities were observed due to the previous stains of carbon and sodium in the canister []. The SEM analysis was carried out using XL 30 ESEM, EDAX Inc, USA, with an accelerating voltage of 200 kV with the secondary and back detectors of the scattered electron. The SEM of SiO2 nano-additives at 6000× magnification is shown in Figure 5a,b.

Figure 3.
Crystalline structure of nano-additives, including measurement conditions.

Figure 4.
Elemental composition of SiO2 nano-additives.

Figure 5.
SEM analysis: (a) 5000× and (b) 6000× magnification.
2.4. Preparation and Physicochemical Properties of Nano Fuel Blends
In the current study, an ultrasonicator was used for making a well-mixed nano solution. To stabilise the blend, sodium dodecyl sulphate (SDS) surfactant was used for the ultrasonication process. The process was adapted from previous investigations by Soudagar et al. [,]. Initially, 25% of soybean biodiesel was blended with 75% diesel using an ultrasonication bath for 60 min. An ultrasonication probe at 15–30 Hz was used for 20 min to mix the blend further. After that, SiO2 nano-additives along with SDS surfactant were transferred to the biodiesel blend and steadily mixed using a magnetic stirrer at 60 °C for 30 min to remove traces of water molecules. Then, the same ultrasonication processes were carried out for a steady dispersion of SiO2 nano-additives in SBME25 biodiesel–diesel fuel blend. In the SBME25 blend, 25, 50 and 75 ppm of SiO2 nano additive was added using an ultrasonicator. This process was adopted in the previous literature []. Figure 6 illustrates the schematic of the ultrasonication unit for the preparation of nano fuel. The physicochemical properties of fuel blends are shown in Table 1. As shown in Table 1, the addition of biodiesel resulted in increased density and reduced heating value. The addition of SiO2 nano-additive resulted in a reduction in density due to the high surface volume of nanoparticles and a small increase in heating value owing to the heating value of SiO2.

Figure 6.
Schematic representation of ultrasound-assisted preparation unit [].

Table 1.
Physicochemical properties of fuel blends.
2.5. Test Setup
The engine used in the current investigation is a variable compression ratio (VCR), Kirloskar made, single-cylinder diesel engine. All the experiments were carried-out in Apex innovation labs, India. The values were measured using in-built Enginesoft software. The test rig consists of different fuel tanks and a three-way stop cock assisted for the different fuel blends. The engine was operated initially on diesel as baseline fuel. The experiment was conducted under varying load condition from no load to 12 kg loading with an increment of 3 kg at the rated speed of 1800 rpm. After running a few times, it was switched to biodiesel and its blends and run at the same operating conditions. After completing all the tests, the engine was switched back to diesel fuel and continued running for 15 min until the biodiesel blends were removed from the injector and fuel line. The engine satisfactorily ran throughout the test at the same operating conditions. Three readings were taken for each fuel blend and the average values were noted and the standard deviation and uncertainty analysis of the study were determined. The engine is coupled to a five-gas analyser and smoke meter. DAQ and Labview software is used as an interface between the computer and the engine sensors (air and fuel flow, temperatures and load measurement sensors). Table 2 shows the specification engine used in the current study. Figure 7 shows the VCR diesel engine.

Table 2.
Engine specifications.

Figure 7.
Variable Compression Ratio (VCR) diesel engine.
2.6. Uncertainty Analysis
Uncertainty analysis is used to determine the probable errors obtained during the experimentation due to environmental conditions, and some are due to instruments used for the measurement [,,]. Human errors are also included in these errors. Table 3 shows the percentage of uncertainty and accuracy of various parameters.

Table 3.
Uncertainty and accuracy levels of performance and emission parameters.
3. Results and Discussion
3.1. Effect of Nano-Additive on the Performance Parameters
3.1.1. Effect on BTE at Varying Load Condition
Figure 8 indicates the change in BTE at different loads. The readings were taken for different blends of biodiesel with the addition of nano-additives at various combinations. At every combination, thermal efficiency always increases up to 9 kg of load. After that, it either stabilises or decreases. Generally, biodiesel’s addition reduces the ignition delay, which causes faster combustion resulting in higher peak pressure [,]. However, due to the lower heating value of biodiesel owing to its fuel bound oxygen and higher density, the BTE reduction is significant. It has been reported that combustion efficiency is enhanced with the addition of nano-additives as they have the ability to donate oxygen from their lattice structure, thereby catalysing the combustion reaction []. They also help in reducing the ignition delay. It was observed that because of the addition of SiO2 nano-additives, enhanced combustion of fuel particles takes place. Hence, blends with nano-additive dosage showed an increase in BTE compared to that of soybean biodiesel blend. At maximum load, the average value of BTE increased by 9.12% (SBME25SiO250) and 7.19% (SBME25SiO275) compared to the SBME25 fuel blend. An increase in BTE of up to 16% was reported in an earlier report with the addition of MWCNTs into the 20% jatropha biodiesel blend [].

Figure 8.
Effect of SiO2 nano-additives on BTE at varying load.
3.1.2. Effect on BSFC at Varying Load Condition
Figure 9 indicates the variation of BSFC concerning load and all combinations of nano fuel. SBME25 biodiesel blend had the highest BSFC and diesel fuel showed the lowest BSFC at all loads. However, the addition of 50 and 75 ppm of SiO2 nano-additive to SBME25 results in lower BSFC than SBME25 biodiesel. As the load increases, the cylinder temperature increases resulting in a reduction in the ignition delay period, which results in a reduction in BSFC [,]. In addition, at a higher load, lower heat loss is observed. The SiO2 nano-additives acts as a catalyst because of their higher reactive surface area during combustion [,]. This enhances the combustion after a droplet injected inside the combustion chamber, resulting in lower BSFC compared to SBME25. Hence, a reduction in BSFC of about 9.88%, 5.81% for SBME25SiO250 and SBME25SiO275 were observed compared to SBME25, respectively. El-Seesy et al. [] reported a reduction in BSFC of up to 15% with the addition of MWCNTs into the 20% jatropha biodiesel blend.

Figure 9.
Effect of SiO2 nano-additives on Brake Specific Fuel Consumption (BSFC) at varying loads.
3.2. Effect of Nano-Additive on the Engine Emission Parameters
3.2.1. Effect on CO Emission at Varying Load Condition
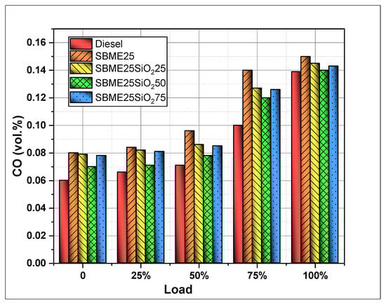
CO is formed during combustion whenever the air-fuel mixture is burned with an insufficient air supply with low flame temperature []. It can be observed from Figure 10 that with the increase in load, the CO emission was increased. With the increase in load gradually, the volumetric efficiency increases. However, due to insufficient time for combustion, incomplete combustion occurs, resulting in the formation of CO. As mentioned previously, the addition of biodiesel results in higher cylinder temperature and higher combustion pressure improving the combustion efficiency. Hence, CO emissions were found to be lower for biodiesel blends. As mentioned previously, oxygenated nano-additives provide oxygen molecules in a chain reaction, causing complete combustion to reduce CO compared to baseline fuel (SBME25) [,]. SBME25SiO275 fuel gives the lowest CO emission compared to all other blends. The CO emissions were decreased by 17.5% for SBME25SiO250 compared to SBME25.

Figure 10.
Effect of SiO2 nano-additives on CO emission at varying loads.
3.2.2. Effect on HC Emission at Varying Load Condition
HC emissions rely on fuel density, fuel flow properties, fuel spray patterns and engine operating conditions [,]. As mentioned previously, the addition of biodiesel results in higher cylinder temperature and higher combustion pressure improving the combustion efficiency. This results in a reduction in HC emission compared to baseline diesel fuel. HC emissions were reduced by 27.5% and 20.56% for SBME25SiO250 and SBME25SiO275, respectively, compared to SBME25 shown in Figure 11. SBME25 blend shows the highest HC emissions in the biodiesel blends with or without additives. This can be attributed to its high density, as well as viscosity, which in turn results in poor fuel atomisation.

Figure 11.
Effect of SiO2 nano-additives on hydrocarbon (HC) at varying load.
3.2.3. Effect on NOx Emission at Varying Load Condition
Figure 12 explains the NOx emissions for various biofuel blends. It was observed from the plots that NOx emission increases with an increase in load. NOx emissions are generated at a very high temperature and pressure []. The addition of oxygenated fuel, such as biodiesel, enhances combustion, thereby increasing the NOx emission. With the addition of nano-additives, a faster premixed-combustion occurs, which produces higher combustion temperature inside the chamber and the subsequent higher NOx emission than baseline fuel []. All nano fuel blends show an increase in NOx emissions compared to only biodiesel blend due to this elevated in-cylinder temperature and pressure. The NOx emissions were increased by 7.6% and 10.25% for SBME25SiO250 and SBME25SiO275, respectively, compared to SBME25.

Figure 12.
Effect of SiO2 nano-additives on NOx at varying load.
3.2.4. Effect on Smoke Emission at Varying Load Condition
Figure 13 shows the production of smoke with the variation in engine load. It was observed that smoke is highly dependent on the engine load. Smoke opacity increases with an increase in the engine loads [,]. Other input parameters have less affecting on smoke. The diesel fuel combustion produced the maximum smoke opacity, and the addition of biodiesel results in enhanced combustion and thereby higher combustion temperature inside the chamber. The higher temperature enhances the combustion resulting in less smoke emission compared to diesel fuel. On the contrary, the addition of silica nano-additives with SBME25 produces better micro-explosion of blend leading to less smoke opacity. As shown in Figure 13, the smoke emission for SBME25SiO250 and SBME25SiO275 was reduced by 23.54% and 10.16%, respectively, compared to that of SBME25. The maximum surface area of the SBME25SiO250 nano-additives improves the combustion phenomenon, and hence, the fuel combustion.

Figure 13.
Effect of SiO2 nano-additive on smoke at varying loads.
4. Conclusions
The present study is focused on the effect of SiO2 nano-additive on the performance and emission characteristics of soybean biodiesel (SBME25) fuelled diesel engine. The nano-additives in biodiesel act as a combustion catalyst which enhance the combustion phenomenon, ensuring complete combustion. This is attributed to the increase in net heat generated inside the combustion chamber that enhances the BTE with the reduction in BSFC. Furthermore, the addition of these nanoparticle reduces emissions like CO2, HC and smoke, except NOx. The NOx increases with an increase in combustion chamber temperature due to complete combustion. The addition of SiO2 nano-additives in the soybean biodiesel blend increased the BTE by 3.48–9.12% and decreased the BSFC by 5.81–11.58%, respectively. The CO, HC and smoke emissions for nano-additive added blends were decreased by 1.9–17.5%, 20.56–27.5% and 10.16–23.54% compared to SBME25 fuel blends. However, the NOx slightly increases for all the nanofuel blends due to the rise in in-cylinder temperature and the presence of a large number of oxygen molecules due to the utilisation of oxides of silicon and the presence of oxygen in biodiesel. As a recommendation, the NOx formation can be controlled by using exhaust gas recirculation.
Author Contributions
Conceptualisation, R.S.G. and M.E.M.S.; methodology, R.S.G. and M.E.M.S.; software, M.E.M.S. and I.M.R.F.; validation, I.M.R.F., V.D.W., S.B. and M.E.M.S.; formal analysis, H.F. and T.M.Y.K.; investigation M.A.M. and R.K.; resources, R.S.G., A.M.K. and M.E.M.S.; data curation, N.-N.N.-G. and M.E.M.S.; writing—original draft preparation, R.S.G., M.E.M.S. and I.M.R.F.; writing—review and editing, M.E.M.S., M.S., H.F., T.M.Y.K., M.A.M. and I.M.R.F.; supervision, A.M.K.; project administration, M.E.M.S. and I.M.R.F.; funding acquisition, M.S., I.M.R.F. and T.M.Y.K. All authors have read and agreed to the published version of the manuscript.
Funding
Deanship of Scientific Research at King Khalid University, Grant Number R.G.P. 1/251/42.
Acknowledgments
The authors extend their appreciation to the Deanship of Scientific Research at King Khalid University for funding this work through Grant Number R.G.P. 1/251/42. The authors would also like to acknowledge the Research Development Fund of the School of Information, Systems and Modelling, Faculty of Engineering and Information Technology, University of Technology, Sydney, Australia.
Conflicts of Interest
The authors declare no conflict of interest.
Nomenclature
NPs | Nanoparticles |
VCR | Variable Compression Ratio |
CO2 | Carbon dioxide |
NOX | Oxides of nitrogen |
HC | Hydrocarbon |
BTE | Brake thermal efficiency |
nm | Nanometre |
g/kWh | Grams per kilowatt hour |
ATDC | After top dead centre |
Sr@ZnO | Strontium coated Zinc oxide |
SBME25 | 25% Soybean methyl ester |
blended with diesel | |
SBME25SiO250 | SBME25 and 50 ppm SiO2 NPs |
XRD | X-ray diffraction |
ULSD | Ultra-low sulphur diesel |
SEM | Scanning electron microscopy |
SiO2 | Silicon dioxide |
SDS | Sodium dodecyl sulphate |
CO | Carbon monoxide |
PM | Particulate matter |
°CA | Crank angle (degrees) |
BSFC | Brake specific fuel consumption |
ppm | Parts per million |
MWCNT | Multi-walled Carbon nanotubes |
BTDC | Before top dead centre |
SBME | Soybean methyl ester |
SBME25SiO225 | SBME25 and 25 ppm SiO2 NPs |
SBME25SiO275 | SBME25 and 75 ppm SiO2 NPs |
DAQ | Data Acquisition |
GO | Graphene oxide |
EDS | Energy Dispersive Spectroscopy |
References
- Soudagar, M.E.M.; Nik-Ghazali, N.-N.; Kalam, M.A.; Badruddin, I.; Banapurmath, N.; Akram, N. The effect of nano-additives in diesel-biodiesel fuel blends: A comprehensive review on stability, engine performance and emission characteristics. Energy Convers. Manag. 2018, 178, 146–177. [Google Scholar] [CrossRef]
- Soudagar, M.E.M.; Banapurmath, N.; Afzal, A.; Hossain, N.; Abbas, M.M.; Haniffa, M.A.C.M.; Naik, B.; Ahmed, W.; Nizamuddin, S.; Mubarak, N. Study of diesel engine characteristics by adding nano-sized zinc oxide and diethyl ether additives in Mahua biodiesel–diesel fuel blend. Sci. Rep. 2020, 10, 1–17. [Google Scholar] [CrossRef] [PubMed]
- Soudagar, M.E.M.; Nik-Ghazali, N.-N.; Kalam, M.; Badruddin, I.A.; Banapurmath, N.; Ali, M.A.B.; Kamangar, S.; Cho, H.M.; Akram, N. An investigation on the influence of aluminium oxide nano-additive and honge oil methyl ester on engine performance, combustion and emission characteristics. Renew. Energy 2020, 146, 2291–2307. [Google Scholar] [CrossRef]
- Shahir, S.; Masjuki, H.; Kalam, M.; Imran, A.; Fattah, I.R.; Sanjid, A. Feasibility of diesel–biodiesel–ethanol/bioethanol blend as existing CI engine fuel: An assessment of properties, material compatibility, safety and combustion. Renew. Sustain. Energy Rev. 2014, 32, 379–395. [Google Scholar] [CrossRef]
- Imtenan, S.; Varman, M.; Masjuki, H.; Kalam, M.; Sajjad, H.; Arbab, M.; Fattah, I.R. Impact of low temperature combustion attaining strategies on diesel engine emissions for diesel and biodiesels: A review. Energy Convers. Manag. 2014, 80, 329–356. [Google Scholar] [CrossRef]
- Fattah, I.R.; Masjuki, H.; Kalam, M.; Hazrat, M.; Masum, B.; Imtenan, S.; Ashraful, A. Effect of antioxidants on oxidation stability of biodiesel derived from vegetable and animal based feedstocks. Renew. Sustain. Energy Rev. 2014, 30, 356–370. [Google Scholar] [CrossRef]
- Khan, H.; Soudagar, M.E.M.; Kumar, R.H.; Safaei, M.R.; Farooq, M.; Khidmatgar, A.; Banapurmath, N.R.; Farade, R.A.; Abbas, M.M.; Afzal, A. Effect of Nano-Graphene Oxide and n-Butanol Fuel Additives Blended with Diesel—Nigella sativa Biodiesel Fuel Emulsion on Diesel Engine Characteristics. Symmetry 2020, 12, 961. [Google Scholar] [CrossRef]
- Rahman, S.M.A.; Fattah, I.M.R.; Maitra, S.; Mahlia, T.M.I. A ranking scheme for biodiesel underpinned by critical physicochemical properties. Energy Convers. Manag. 2021, 229, 113742. [Google Scholar] [CrossRef]
- Mofijur, M.; Masjuki, H.H.; Kalam, M.A.; Atabani, A.E.; Rizwanul Fattah, I.M.; Mobarak, H.M. Comparative evaluation of performance and emission characteristics of Moringa oleifera and Palm oil based biodiesel in a diesel engine. Ind. Crops Prod. 2014, 53, 78–84. [Google Scholar] [CrossRef]
- Fattah, I.M.R.; Masjuki, H.H.; Kalam, M.A.; Mofijur, M.; Abedin, M.J. Effect of antioxidant on the performance and emission characteristics of a diesel engine fueled with palm biodiesel blends. Energy Convers. Manag. 2014, 79, 265–272. [Google Scholar] [CrossRef]
- Gavhane, R.S.; Kate, A.M.; Pawar, A.; Soudagar, M.E.M.; Fayaz, H. Effect of Soybean biodiesel and Copper coated Zinc oxide Nanoparticles on Enhancement of Diesel Engine Characteristics. Energy Sources Part A Recovery Util. Environ. Eff. 2020, 1–19. [Google Scholar] [CrossRef]
- Palash, S.M.; Masjuki, H.H.; Kalam, M.A.; Atabani, A.E.; Rizwanul Fattah, I.M.; Sanjid, A. Biodiesel production, characterisation, diesel engine performance, and emission characteristics of methyl esters from Aphanamixis polystachya oil of Bangladesh. Energy Convers. Manag. 2015, 91, 149–157. [Google Scholar] [CrossRef]
- Özener, O.; Yüksek, L.; Ergenç, A.T.; Özkan, M. Effects of soybean biodiesel on a DI diesel engine performance, emission and combustion characteristics. Fuel 2014, 115, 875–883. [Google Scholar] [CrossRef]
- Seraç, M.R.; Aydın, S.; Yılmaz, A.; Şevik, S. Evaluation of comparative combustion, performance, and emission of soybean-based alternative biodiesel fuel blends in a CI engine. Renew. Energy 2020, 148, 1065–1073. [Google Scholar] [CrossRef]
- Fayaz, H.; Mujtaba, M.A.; Soudagar, M.E.M.; Razzaq, L.; Nawaz, S.; Nawaz, M.A.; Farooq, M.; Afzal, A.; Ahmed, W.; Khan, T.M.Y.; et al. Collective effect of ternary nano fuel blends on the diesel engine performance and emissions characteristics. Fuel 2021, 293, 120420. [Google Scholar] [CrossRef]
- Ong, H.C.; Tiong, Y.W.; Goh, B.H.H.; Gan, Y.Y.; Mofijur, M.; Fattah, I.M.R.; Chong, C.T.; Alam, M.A.; Lee, H.V.; Silitonga, A.S.; et al. Recent advances in biodiesel production from agricultural products and microalgae using ionic liquids: Opportunities and challenges. Energy Convers. Manag. 2020, 113647. [Google Scholar] [CrossRef]
- Razzaq, L.; Mujtaba, M.A.; Soudagar, M.E.M.; Ahmed, W.; Fayaz, H.; Bashir, S.; Fattah, I.M.R.; Ong, H.C.; Shahapurkar, K.; Afzal, A.; et al. Engine performance and emission characteristics of palm biodiesel blends with graphene oxide nanoplatelets and dimethyl carbonate additives. J. Environ. Manag. 2021, 282, 111917. [Google Scholar] [CrossRef] [PubMed]
- Hussain, F.; Soudagar, M.E.M.; Afzal, A.; Mujtaba, M.; Fattah, I.M.R.; Naik, B.; Mulla, M.H.; Badruddin, I.A.; Khan, T.M.Y.; Raju, V.D.; et al. Enhancement in Combustion, Performance, and Emission Characteristics of a Diesel Engine Fueled with Ce-ZnO Nanoparticle Additive Added to Soybean Biodiesel Blends. Energies 2020, 13, 4578. [Google Scholar] [CrossRef]
- Mujtaba, M.; Kalam, M.; Masjuki, H.; Gul, M.; Soudagar, M.E.M.; Ong, H.C.; Ahmed, W.; Atabani, A.; Razzaq, L.; Yusoff, M. Comparative study of nanoparticles and alcoholic fuel additives-biodiesel-diesel blend for performance and emission improvements. Fuel 2020, 279, 118434. [Google Scholar] [CrossRef]
- Gavhane, R.S.; Kate, A.M.; Pawar, A.; Safaei, M.R.; Soudagar, M.E.M.; Abbas, M.M.; Ali, H.M.; Banapurmath, N.R.; Goodarzi, M.; Badruddin, I.A.; et al. Effect of Zinc Oxide Nano-Additives and Soybean Biodiesel at Varying Loads and Compression Ratios on VCR Diesel Engine Characteristics. Symmetry 2020, 12, 1042. [Google Scholar] [CrossRef]
- Najafi, G. Diesel engine combustion characteristics using nanoparticles in biodiesel-diesel blends. Fuel 2018, 212, 668–678. [Google Scholar] [CrossRef]
- Mujtaba, M.; Masjuki, H.; Kalam, M.; Noor, F.; Farooq, M.; Ong, H.C.; Gul, M.; Soudagar, M.E.M.; Bashir, S.; Rizwanul Fattah, I. Effect of Additivized Biodiesel Blends on Diesel Engine Performance, Emission, Tribological Characteristics, and Lubricant Tribology. Energies 2020, 13, 3375. [Google Scholar] [CrossRef]
- Ghanbari, M.; Najafi, G.; Ghobadian, B.; Yusaf, T.; Carlucci, A.; Kiani, M.K.D. Performance and emission characteristics of a CI engine using nano particles additives in biodiesel-diesel blends and modeling with GP approach. Fuel 2017, 202, 699–716. [Google Scholar] [CrossRef]
- Adzmi, M.A.; Abdullah, A.; Abdullah, Z.; Mrwan, A.G. Effect of Al2O3 and SiO2 Metal Oxide Nanoparticles Blended with POME on Combustion, Performance and Emissions Characteristics of a Diesel Engine. Int. J. Automot. Mech. Eng. 2019, 16, 6859–6873. [Google Scholar] [CrossRef]
- Saravankumar, P.T.; Suresh, V.; Vijayan, V.; Godwin Antony, A. Ecological effect of corn oil biofuel with SiO2 nano-additives. Energy Sources Part A Recovery Util. Environ. Eff. 2019, 41, 2845–2852. [Google Scholar] [CrossRef]
- Özgür, T.; Özcanli, M.; Aydin, K. Investigation of Nanoparticle Additives to Biodiesel for Improvement of the Performance and Exhaust Emissions in a Compression Ignition Engine. Int. J. Green Energy 2015, 12, 51–56. [Google Scholar] [CrossRef]
- Habibullah, M.; Masjuki, H.H.; Kalam, M.A.; Rizwanul Fattah, I.M.; Ashraful, A.M.; Mobarak, H.M. Biodiesel production and performance evaluation of coconut, palm and their combined blend with diesel in a single-cylinder diesel engine. Energy Convers. Manag. 2014, 87, 250–257. [Google Scholar] [CrossRef]
- Her, Y.-S.; Lee, S.-H.; Matijević, E. Continuous precipitation of monodispersed colloidal particles. II. SiO2, Al(OH)3, and BaTiO3. J. Mater. Res. 1996, 11, 156–161. [Google Scholar] [CrossRef]
- Bajpai, N.; Tiwari, A.; Khan, S.; Kher, R.; Bramhe, N.; Dhoble, S. Effects of rare earth ions (Tb, Ce, Eu, Dy) on the thermoluminescence characteristics of sol–gel derived and γ-irradiated SiO2 nanoparticles. Luminescence 2014, 29, 669–673. [Google Scholar] [CrossRef]
- Tabatabaei, S.; Shukohfar, A.; Aghababazadeh, R.; Mirhabibi, A. Experimental study of the synthesis and characterisation of silica nanoparticles via the sol-gel method. In Proceedings of Journal of Physics: Conference Series; IOP Publishing Ltd.: Bristol, UK, 2006; p. 371. [Google Scholar]
- Musić, S.; Filipović-Vinceković, N.; Sekovanić, L. Precipitation of amorphous SiO2 particles and their properties. Braz. J. Chem. Eng. 2011, 28, 89–94. [Google Scholar] [CrossRef]
- Soudagar, M.E.M.; Mujtaba, M.; Safaei, M.R.; Afzal, A.; Ahmed, W.; Banapurmath, N.; Hossain, N.; Bashir, S.; Badruddin, I.A.; Goodarzi, M. Effect of Sr@ ZnO nanoparticles and Ricinus communis biodiesel-diesel fuel blends on modified CRDI diesel engine characteristics. Energy 2020, 215, 119094. [Google Scholar] [CrossRef]
- Hoseini, S.; Najafi, G.; Ghobadian, B.; Ebadi, M.; Mamat, R.; Yusaf, T. Performance and emission characteristics of a CI engine using graphene oxide (GO) nano-particles additives in biodiesel-diesel blends. Renew. Energy 2020, 145, 458–465. [Google Scholar] [CrossRef]
- Fattah, I.M.R.; Masjuki, H.H.; Kalam, M.A.; Wakil, M.A.; Ashraful, A.M.; Shahir, S.A. Experimental investigation of performance and regulated emissions of a diesel engine with Calophyllum inophyllum biodiesel blends accompanied by oxidation inhibitors. Energy Convers. Manag. 2014, 83, 232–240. [Google Scholar] [CrossRef]
- Fattah, I.M.R.; Masjuki, H.H.; Kalam, M.A.; Wakil, M.A.; Rashedul, H.K.; Abedin, M.J. Performance and emission characteristics of a CI engine fueled with Cocos nucifera and Jatropha curcas B20 blends accompanying antioxidants. Ind. Crops Prod. 2014, 57, 132–140. [Google Scholar] [CrossRef]
- El-Seesy, A.I.; Abdel-Rahman, A.K.; Bady, M.; Ookawara, S. Performance, combustion, and emission characteristics of a diesel engine fueled by biodiesel-diesel mixtures with multi-walled carbon nanotubes additives. Energy Convers. Manag. 2017, 135, 373–393. [Google Scholar] [CrossRef]
- Basha, J.S. An Experimental Analysis of a Diesel Engine Using Alumina Nanoparticles Blended DIESEL fuel; 0148-7191; SAE Technical Paper; SAE International: Warrendale, PA, USA, 2014. [Google Scholar]
- Harari, P.; Banapurmath, N.; Yaliwal, V.; Khan, T.Y.; Soudagar, M.E.M.; Sajjan, A. Experimental studies on performance and emission characteristics of reactivity controlled compression ignition (RCCI) engine operated with gasoline and Thevetia Peruviana biodiesel. Renew. Energy 2020, 160, 865–875. [Google Scholar] [CrossRef]
- Akkoli, K.M.; Banapurmath, N.R.; Shivashimpi, M.M.; Soudagar, M.E.M.; Badruddin, I.A.; Alazwari, M.A.; Yaliwal, V.S.; Mujtaba, M.A.; Akram, N.; Goodarzi, M.; et al. Effect of injection parameters and producer gas derived from redgram stalk on the performance and emission characteristics of a diesel engine. Alex. Eng. J. 2021, 60, 3133–3142. [Google Scholar] [CrossRef]
- Ming, C.; Rizwanul Fattah, I.M.; Chan, Q.N.; Pham, P.X.; Medwell, P.R.; Kook, S.; Yeoh, G.H.; Hawkes, E.R.; Masri, A.R. Combustion scharacterisation of waste cooking oil and canola oil based biodiesels under simulated engine conditions. Fuel 2018, 224, 167–177. [Google Scholar] [CrossRef]
- Sayin, C.; Ilhan, M.; Canakci, M.; Gumus, M. Effect of injection timing on the exhaust emissions of a diesel engine using diesel–methanol blends. Renew. Energy 2009, 34, 1261–1269. [Google Scholar] [CrossRef]
- Soudagar, M.; Afzal, A.; Kareemullah, M. Waste coconut oil methyl ester with and without additives as an alternative fuel in diesel engine at two different injection pressures. Energy Sources Part A Recovery Util. Environ. Eff. 2020. [Google Scholar] [CrossRef]
Publisher’s Note: MDPI stays neutral with regard to jurisdictional claims in published maps and institutional affiliations. |
© 2021 by the authors. Licensee MDPI, Basel, Switzerland. This article is an open access article distributed under the terms and conditions of the Creative Commons Attribution (CC BY) license (http://creativecommons.org/licenses/by/4.0/).