In-Service Thermal and Luminous Performance Monitoring of a Refurbished Building with Solar Control Films on the Glazing System
Abstract
1. Introduction
2. Methodology
2.1. Case Study
2.2. Experimental Setup
3. Results
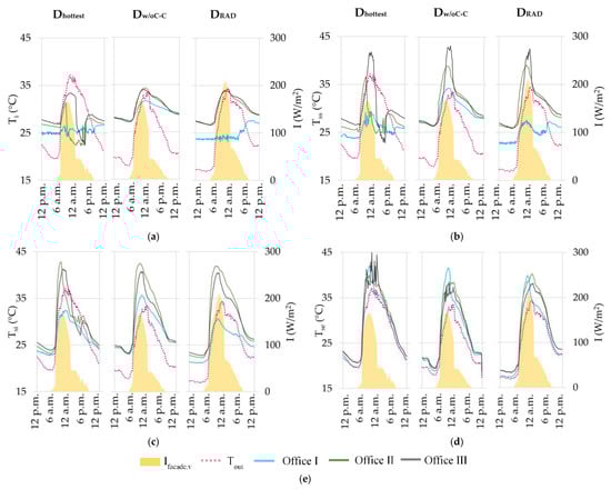
3.1. Heating Period
3.1.1. Temperature of the Indoor Air and of the Surface of the Glazing Systems
3.1.2. Indoor Illuminance Levels
3.2. Cooling Period
3.2.1. Temperature of the Indoor Air and of the Surface of the Glazing Systems
3.2.2. Indoor Illuminance Levels
3.3. Thermal and Visual Comfort Assessment
4. Critical Discussion and Limitations
- Influence of the following variables on the performance of glazing systems with SCFs: solar orientation; type, configuration and control of shading systems; climate conditions.
- Comparative analysis between the computed indoor comfort and post-occupancy evaluation surveys with occupants’ satisfaction scores.
- Performance, economic and environmental comparative analysis of installation of SCFs versus the following hypotheses: replacement of the existing glazing for a new glazing with an equivalent performance to the system’s glazing film; shading systems with different optical and thermal properties, and control modes; installation of innovative smart window films with a dynamic behavior that can adapt/react to environmental stimuli.
5. Conclusions
- The indoor air temperature was lower in the offices with SCFs, with reductions in the peak temperature up to 6.9 and 2.3 °C on the representative days of the heating and cooling periods, respectively, in office I when compared with the reference office. Average indoor temperatures of 22.2 and 25.5 °C were obtained in office I during working hours of the coldest and hottest days, respectively, significantly lower than the ones measured in the reference office (coldest day—25.1°C; hottest day—28.9°C). A lower thermal performance was obtained with SCF B installed on the internal glass surface, since it reflects radiation inside and consequently increases the indoor temperature.
- The indoor illuminance levels measured on the vertical plane in the offices were significantly reduced in the presence of SCFs, with a percentage reduction between 94 and 96% during the sun hours period of the representative days of the heating and cooling periods in office I with the highly reflective SCF A when comparing with the reference office (without an SCF). The measured values were lower than what was expected from the computed optical properties of the glazing systems. The illuminance levels were lower than 0.47 and 1.8 klx in offices I and II, respectively, during 50% of the working hours of the day with the highest levels of outdoor solar radiation levels.
- Office I had 100% of working hours within thermal comfort during the heating period. The presence of SCF A increased the percentage of working hours within thermal comfort during the cooling period, making it possible to obtain thermal comfort during 53% and 9% of the working hours (which corresponds to an increase of 53% and 9% of working hours within thermal comfort when compared with office III), in accordance with the ASHRAE 55 80% acceptability class [36] and Portuguese legislation [37,38,39], respectively.
- The reference office (office III, without an SCF) has the highest percentage of working hours (97%) within visual comfort during the heating period. The glazing system of office I with SCF A significantly decreased the excessive illuminance levels during the cooling period, increasing visual comfort.
Author Contributions
Funding
Institutional Review Board Statement
Informed Consent Statement
Data Availability Statement
Acknowledgments
Conflicts of Interest
References
- Calama-González, C.M.; Suárez, R.; León-Rodríguez, Á.L. Thermal and Lighting Consumption Savings in Classrooms Retrofitted with Shading Devices in a Hot Climate. Energies 2018, 11, 2790. [Google Scholar] [CrossRef]
- Krstić-Furundžić, A.; Vujošević, M.; Petrovski, A. Energy and Environmental Performance of the Office Building Facade Scenarios. Energy 2019. [Google Scholar] [CrossRef]
- Prieto, A.; Knaack, U.; Auer, T.; Klein, T. Passive Cooling & Climate Responsive Façade Design Exploring the Limits of Passive Cooling Strategies to Improve the Performance of Commercial Buildings in Warm Climates. Energy Build. 2018. [Google Scholar] [CrossRef]
- Li, J.; Ban, Q.; Chen, X.; Yao, J. Glazing Sizing in Large Atrium Buildings: A Perspective of Balancing Daylight Quantity and Visual Comfort. Energies 2019, 12, 701. [Google Scholar] [CrossRef]
- Detsi, M.; Manolitsis, A.; Atsonios, I.; Mandilaras, I.; Founti, M. Energy Savings in an Office Building with High WWR Using Glazing Systems Combining Thermochromic and Electrochromic Layers. Energies 2020, 13, 3020. [Google Scholar] [CrossRef]
- Troup, L.; Phillips, R.; Eckelman, M.J.; Fannon, D. Effect of Window-to-Wall Ratio on Measured Energy Consumption in US Office Buildings. Energy Build. 2019. [Google Scholar] [CrossRef]
- Chiesa, G.; Acquaviva, A.; Grosso, M.; Bottaccioli, L.; Floridia, M.; Pristeri, E.; Sanna, E.M. Parametric Optimization of Window-to-Wall Ratio for Passive Buildings Adopting a Scripting Methodology to Dynamic-Energy Simulation. Sustainability 2019, 11, 3078. [Google Scholar] [CrossRef]
- Murano, G.; Primo, E.; Corrado, V. The Effect of Glazing on NZEB Performance. Energy Procedia 2018, 148, 320–327. [Google Scholar] [CrossRef]
- Moret Rodrigues, A.; Santos, M.; Gomes, M.G.; Duarte, R. Impact of Natural Ventilation on the Thermal and Energy Performance of Buildings in a Mediterranean Climate. Buildings 2019, 9, 123. [Google Scholar] [CrossRef]
- Gomes, M.G.; Rodrigues, A.M.; Bogas, J.A. Numerical and Experimental Study of the Optical Properties of Venetian Blinds. J. Build. Phys. 2012. [Google Scholar] [CrossRef]
- Gomes, M.G.; Santos, A.J.; Rodrigues, A.M. Solar and Visible Optical Properties of Glazing Systems with Venetian Blinds: Numerical, Experimental and Blind Control Study. Build. Environ. 2014, 71, 47–59. [Google Scholar] [CrossRef]
- Sghiouri, H.; Mezrhab, A.; Karkri, M.; Naji, H. Shading Devices Optimization to Enhance Thermal Comfort and Energy Performance of a Residential Building in Morocco. J. Build. Eng. 2018. [Google Scholar] [CrossRef]
- Kunwar, N.; Cetin, K.S.; Passe, U.; Zhou, X.; Li, Y. Energy Savings and Daylighting Evaluation of Dynamic Venetian Blinds and Lighting through Full-Scale Experimental Testing. Energy 2020. [Google Scholar] [CrossRef]
- Fedorczak-Cisak, M.; Nowak, K.; Furtak, M. Analysis of the Effect of Using External Venetian Blinds on the Thermal Comfort of Users of Highly Glazed Office Rooms in a Transition Season of Temperate Climate-Case Study. Energies 2019, 13, 81. [Google Scholar] [CrossRef]
- Atzeri, A.M.; Gasparella, A.; Cappelletti, F.; Tzempelikos, A. Comfort and Energy Performance Analysis of Different Glazing Systems Coupled with Three Shading Control Strategies. Sci. Technol. Built Environ. 2018. [Google Scholar] [CrossRef]
- Li, D.H.W.; Lam, J.C.; Lau, C.C.S.; Huan, T.W. Lighting and Energy Performance of Solar Film Coating in Air-Conditioned Cellular Offices. Renew. Energy 2004, 29, 921–937. [Google Scholar] [CrossRef]
- Chen, Y.; Hou, G.; Xie, H.; Chan, W. In-Site Experimental Measurement of Energy-Saving Performance for Solar-Control Film on Single Window Glass. In Proceedings of the Sixth International Conference on Indoor Air Quality, Ventilation and Energy Conservation in Buildings: Sustainable Built Environment, Sendai, Japan, 28–31 October 2007; Volume 1, pp. 47–53. [Google Scholar]
- Calama-González, C.M.; León-Rodríguez, Á.L.; Suárez, R. Daylighting Performance of Solar Control Films for Hospital Buildings in a Mediterranean Climate. Energies 2019, 12, 489. [Google Scholar] [CrossRef]
- Pereira, J.; Gomes, M.G.; Moret Rodrigues, A.; Teixeira, H.; Almeida, M. Small-Scale Field Study of Window Films’ Impact on Daylight Availability under Clear Sky Conditions. J. Facade Des. Eng. 2020, 8, 65–84. [Google Scholar] [CrossRef]
- Noh-Pat, F.; Xamán, J.; Álvarez, G.; Chávez, Y.; Arce, J. Thermal Analysis for a Double Glazing Unit with and without a Solar Control Film (SnS-CuxS) for Using in Hot Climates. Energy Build. 2011, 43, 704–712. [Google Scholar] [CrossRef]
- Xamán, J.; Pérez-Nucamendi, C.; Arce, J.; Hinojosa, J.; Álvarez, G.; Zavala-Guillén, I. Thermal Analysis for a Double Pane Window with a Solar Control Film for Using in Cold and Warm Climates. Energy Build. 2014, 76, 429–439. [Google Scholar] [CrossRef]
- Xamán, J.; Olazo-Gómez, Y.; Zavala-Guillén, I.; Hernández-Pérez, I.; Aguilar, J.O.; Hinojosa, J.F. Thermal Evaluation of a Room Coupled with a Double Glazing Window with/without a Solar Control Film for Mexico. Appl. Therm. Eng. 2017. [Google Scholar] [CrossRef]
- Yin, R.; Xu, P.; Shen, P. Case Study: Energy Savings from Solar Window Film in Two Commercial Buildings in Shanghai. Energy Build. 2012, 45, 132–140. [Google Scholar] [CrossRef]
- Chaiyapinunt, S.; Phueakphongsuriya, B.; Mongkornsaksit, K.; Khomporn, N. Performance Rating of Glass Windows and Glass Windows with Films in Aspect of Thermal Comfort and Heat Transmission. Energy Build. 2005. [Google Scholar] [CrossRef]
- Amirkhani, S.; Bahadori-Jahromi, A.; Mylona, A.; Godfrey, P.; Cook, D. Impact of Low-E Window Films on Energy Consumption and CO2 Emissions of an Existing UK Hotel Building. Sustainability 2019, 11, 4265. [Google Scholar] [CrossRef]
- Li, D.H.W.; Lam, T.N.T.; Wong, S.L.; Tsang, E.K.W. Lighting and Cooling Energy Consumption in an Open-Plan Office Using Solar Film Coating. Energy 2008, 33, 1288–1297. [Google Scholar] [CrossRef]
- Li, C.; Tan, J.; Chow, T.T.; Qiu, Z. Experimental and Theoretical Study on the Effect of Window Films on Building Energy Consumption. Energy Build. 2015, 102, 129–138. [Google Scholar] [CrossRef]
- Moretti, E.; Belloni, E. Evaluation of Energy, Thermal, and Daylighting Performance of Solar Control Films for a Case Study in Moderate Climate. Build. Environ. 2015, 94, 183–195. [Google Scholar] [CrossRef]
- Pereira, J.; Gomes, M.G.; Rodrigues, A.M.; Almeida, M. Thermal, Luminous and Energy Performance of Solar Control Films in Single-Glazed Windows: Use of Energy Performance Criteria to Support Decision Making. Energy Build. 2019, 198, 431–443. [Google Scholar] [CrossRef]
- Teixeira, H.; Gomes, M.G.; Moret Rodrigues, A.; Pereira, J. Thermal and Visual Comfort, Energy Use and Environmental Performance of Glazing Systems with Solar Control Films. Build. Environ. 2020, 168, 106474. [Google Scholar] [CrossRef]
- European Commission. Indoor Air Pollution: New EU Research Reveals Higher Risks than Previously Thought. Available online: https://ec.europa.eu/commission/presscorner/detail/en/IP_03_1278 (accessed on 10 April 2020).
- Reis, C.; Lopes, A. Evaluating the Cooling Potential of Urban Green Spaces to Tackle Urban Climate Change in Lisbon. Sustainability 2019, 11, 2480. [Google Scholar] [CrossRef]
- Lourenço, D.L. Experimental Study on the Thermal and Optical Performance of Glazing Systems with Solar Control Window Films. Master’s Thesis, Department of Civil Engineering, Architecture and Georesources, Instituto Superior Técnico, Universidade de Lisboa, Lisboa, Portugal, 2016. (In Portuguese). [Google Scholar]
- Curcija, C.; Vidanovic, S.; Hart, R.; Jonsson, J.; Mitchell, R. WINDOW Technical Documentation; Wind. Envel. Mater. Group, Ed.; Lawrence Berkeley Natl. Lab.: Berkeley, CA, USA, 2018. [Google Scholar]
- ISO. ISO Standard 7730: Ergonomics of the Thermal Environment—Analytical Determination and Interpretation of Thermal Comfort Using Calculation of the PMV and PPD Indices and Local Thermal Comfort Criteria; International Organization for Standardization: Geneva, Switzerland, 2005. [Google Scholar]
- ASHRAE. ASHRAE Standard 55-2017: Thremal Environmental Conditions for Human Occupancy; Am. Soc Heating Refrig. Air-Conditioning Eng.: Atlanta, GA, USA, 2017. [Google Scholar]
- Regulamento de Desempenho Energético Dos Edifícios de Habitação (REH), Decree-Law 118/2013 of 20 of August 2013. Diário República 2013, 159, 4988–5005.
- Order 15793-K of 2 of December 2013. Diário República 2013, 234, 35088-(58)–35088-(87).
- Order 349-B/2013 of 29 of November 2013. Diário República 2013, 232, 6624-(18)–6624-(29).
- ISO. ISO Standard 7726: Ergonomics of the Thermal Environment—Instruments for Measuring Physical Quantities; International Organization for Standardization: Geneva, Switzerland, 1998. [Google Scholar]
- Moura, P.S.; de Almeida, A.T. Methodologies and Technologies for the Integrations of Renewable Resources in Portugal. In Conference: Renewable Energy World Europe 2009; Department Electrical & Computer Engineering University of Coimbra Portugal: Coimbra, Portugal, 2009. [Google Scholar]
- Mardaljevic, J.; Andersen, M.; Roy, N.; Christoffersen, J. Daylighting metrics: Is there a relation between usefuldaylight illuminance and daylight glare probability. In First Building Simulation and Optimization Conference; IBPSA: Loughborough, UK, 2012; pp. 189–196. [Google Scholar]
















| SCF | P a | -value (W/m2K) | (-) | (%) | (%) | (%) | (%) | (%) | (%) | (-) | |||||
|---|---|---|---|---|---|---|---|---|---|---|---|---|---|---|---|
| A | e | 2.71 | 0.15 | 16 | 62 | 58 | 10 | 63 | 44 | 0.1 | 26 | 1 | 80 | 84 | 1.07 |
| B | i | 2.63 | 0.40 | 26 | 45 | 46 | 18 | 36 | 50 | 1.0 | 14 | 32 | 84 | 74 | 0.65 |
| W/o b | - | 2.72 | 0.76 | 81 | 15 | 15 | 70 | 13 | 13 | 54.0 | 12 | 6 | 84 | 84 | 1.07 |
| Equipment | Model | Parameter | Name | Accuracy | Location |
|---|---|---|---|---|---|
| Thermocouples | Type-T | Temperature | ±0.2 °C at 100 °C | Indoor and outdoor environments | |
| Internal and external surfaces of the glazing systems | |||||
| Slats surface | |||||
| BF5 (DeltaT) | Solar radiation Diffuse (horizontal plane) | ±20 W/m2 ± 15% | Flat roof | ||
| Global (horizontal plane) | ±5 W/m2 ± 12% | Flat roof | |||
| LI-200R (LICOR) | Global (vertical plane) | ±3% | Office III façade | ||
| CMP6 (Kipp&Zonen) | Global (vertical plane) | 5 to 20 µV/W/m2 | Flat roof | ||
| Luxmeter | LI-210R (LICOR) | Illuminance (horizontal plane) | ±5% | Flat roof | |
| (vertical plane) | Side of the closet | ||||
| HOBO sensor | U12-012 (HOBO) | Temperature | ±0.35 °C; ±2.5% | Desk | |
| Relative humidity | |||||
| Illuminance (horizontal plane) |
| Period | Office (SCF) | Weekdays | Weekends | ||
|---|---|---|---|---|---|
| (lx) | (lx) | ||||
| Heating Period | Office I (SCF A) | 583 | 94.3 | 485 | 94 |
| Office II (SCF B) | 1361 | 83.7 | 1105 | 83.7 | |
| Office III (W/o SCF) | 10.660 | - | 7488 | - | |
| Cooling Period | Office I (SCF A) | 601 | 93.2 | 648 | 86.9 |
| Office II (SCF B) | 1715 | 80.4 | 1633 | 72.5 | |
| Office III (W/o SCF) | 4013 | - | 7608 | - | |
| Parameter | Heating Period | Cooling Period | |||||
|---|---|---|---|---|---|---|---|
| Dcoldest | Dw/oC-H | Drad | Dhottest | Dw/oC-C | DRAD | ||
| (°C) | 15.11 | 14.81 | 15.41 | 30.64 | 26.75 | 27.90 | |
| M | 20.19 | 19.01 | 16.39 | 37.17 | 33.54 | 34.42 | |
| (W/m2) | 92.98 | 46.90 | 11.38 | 67.47 | 65.25 | 82.50 | |
| M | 234.59 | 220.18 | 45.55 | 166.05 | 167.44 | 210.47 | |
Publisher’s Note: MDPI stays neutral with regard to jurisdictional claims in published maps and institutional affiliations. |
© 2021 by the authors. Licensee MDPI, Basel, Switzerland. This article is an open access article distributed under the terms and conditions of the Creative Commons Attribution (CC BY) license (http://creativecommons.org/licenses/by/4.0/).
Share and Cite
Teixeira, H.; Gomes, M.d.G.; Moret Rodrigues, A.; Pereira, J. In-Service Thermal and Luminous Performance Monitoring of a Refurbished Building with Solar Control Films on the Glazing System. Energies 2021, 14, 1388. https://doi.org/10.3390/en14051388
Teixeira H, Gomes MdG, Moret Rodrigues A, Pereira J. In-Service Thermal and Luminous Performance Monitoring of a Refurbished Building with Solar Control Films on the Glazing System. Energies. 2021; 14(5):1388. https://doi.org/10.3390/en14051388
Chicago/Turabian StyleTeixeira, Henriqueta, Maria da Glória Gomes, António Moret Rodrigues, and Júlia Pereira. 2021. "In-Service Thermal and Luminous Performance Monitoring of a Refurbished Building with Solar Control Films on the Glazing System" Energies 14, no. 5: 1388. https://doi.org/10.3390/en14051388
APA StyleTeixeira, H., Gomes, M. d. G., Moret Rodrigues, A., & Pereira, J. (2021). In-Service Thermal and Luminous Performance Monitoring of a Refurbished Building with Solar Control Films on the Glazing System. Energies, 14(5), 1388. https://doi.org/10.3390/en14051388

