Impact of the Lockdown during the COVID-19 Pandemic on Electricity Use by Residential Users
Abstract
1. Introduction
- Comparison of the average residential electricity demand profiles by day of the week during the lockdown and the corresponding period before the pandemic, based on the energy meters in the dwellings.
- Determination of the peak power of the feeder supplying a group of dwellings as a function of the number of the dwellings based on a proposed adaptation of the Bootstrap method, for the lockdown and analogous pre-pandemic period.
- Comparison of the average residential electricity consumption during the lockdown and the corresponding pre-pandemic period.
- Identify the near-term implications for the household energy users resulting from the lockdown experience.
2. Lockdown and Pre-Pandemic Period Case Study
2.1. Methodology
- 8.03.2020—the Chief Sanitary Inspector recommended the cancellation of mass events indoors;
- 11.03.2020—all forms of teaching were suspended at most public universities;
- 12.03.2020—the Prime Minister of the Government and the relevant ministers for health, education and science informed about the decision to close all educational institutions (public and non-public: crèches, kindergartens, schools and universities), and from 16 March 2020 this also applied to day-care centres;
- 15.03.2020—Poland’s borders were closed to air and rail traffic, passport controls at the borders were restored, only Polish citizens were allowed to enter (with a 14-day quarantine) and a ban on public gatherings of more than 50 people, including state and religious gatherings, was introduced;
- 16.03.2020—following government recommendations, remote working in home offices, away from company buildings and institutions, was gradually implemented;
- 25.03.2020—a ban on movement was introduced except for performing necessary professional activities, meeting essential needs in everyday life (food shopping, obtaining health care), banning gatherings of more than two people and restrictions were introduced on the operation of public transport and participation in religious ceremonies (stark lockdown);
- 1.04.2020—minors were banned from staying in public space without adult caretakers, hairdressing and beauty shops were suspended, very restrictive restrictions were introduced on the number of people who can stay in shops and service points at the same time, and it was also forbidden to stay in parks, boulevards, forests and on beaches (total lockdown).
2.1.1. Description of Data
- 7100 dwellings for the lockdown in 2020;
- 6904 dwellings for the equivalent period before the pandemic in 2018.
2.1.2. Methods Used
- characteristics of the peak power of the power supply section as a function of the number of dwellings;
- average daily profiles of active energy use in an average dwelling;
- differences in the consumption of active energy by the group of residential users in both analysed periods.
- A set of users of assumed number N was drawn from the data set, creating a secondary sample.
- The annual profile of the hypothetical section feeding N consumers was determined, followed by its peak power in a 1-h interval.
- The cycle was repeated 5000 times, creating a bootstrap set of samples of the peak value of the section feeding the set of consumers of different types in a given configuration. The assumed number of cycle repeats ensured that each of the individual consumers was selected with equal probability.
2.2. Results
2.2.1. Peak Loads
2.2.2. Profiles of Residential Users
2.2.3. Differences in Energy Consumption
2.3. Discussion
2.3.1. Peak Power during Lockdown and Before the Pandemic
- Comparing the values of peaks of the whole group of residential users: during the lockdown, their average value decreased by about 4% and the median by 0.1% (for both active and apparent power) compared to the analogous period; while, comparing the value of the peak from the average load of the dwelling resulting from the averaging, it increased by about 9% during the lockdown and the median increased by about 0.5% during the lockdown (for both active and apparent power) (Table 1). The differences do not, therefore, give a clear indication of the increase or decrease in the average peak, and from a practical point of view, these differences are not high.
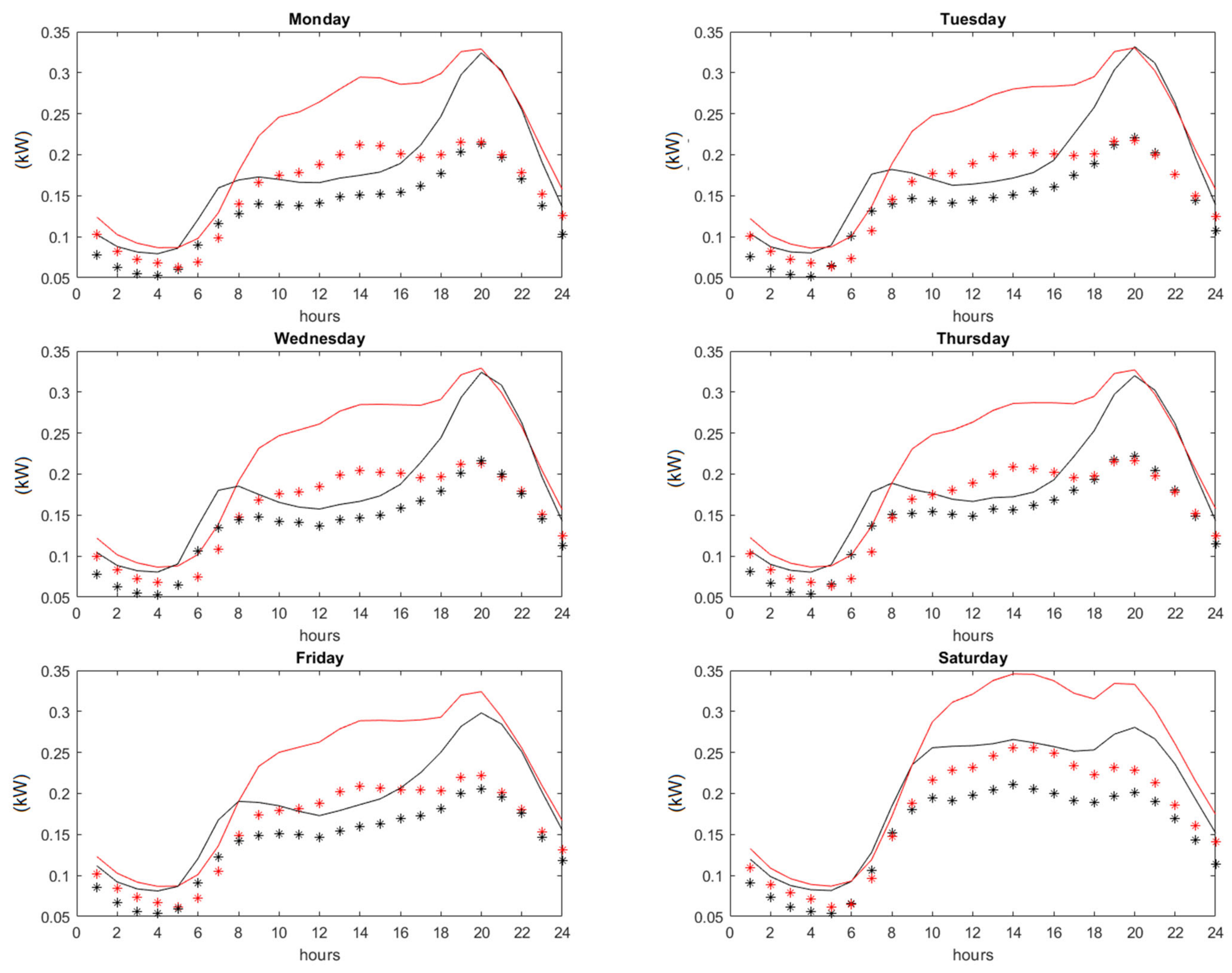
2.3.2. Profiles
- The peak load on weekdays appears at 8 p.m. and reaches practically the same values (about 330 W) both in the lockdown and in the analogous period of 2018; one exception is the averaged profile for Friday from the analogous period of 2018 when the peak was slightly lower.
- During the lockdown, the shape of the daily profile was flattened (equalizing to a peak during the daytime), and on weekdays the southern valley almost disappeared; the largest load peaks were between 5 a.m. and 8 a.m. (from 100 W to about 250 W), another relatively small one between midnight (from 250 W to about 300 W) and the last daily peak was between 6 p.m. and 8 p.m. (to 350 W); the night valley appears about 4–5 a.m., i.e., later than in the analogous period of 2018 (approx. 3 h), and its value is higher by several Watts.
- During the lockdown, the Saturday and Sunday profiles resembled each other, reaching the highest afternoon peak around 2 p.m. (up to 350 W), the night valley around 5 a.m. (below 100 W) and the evening valley around 6 p.m. (over 300 W) before the second peak (evening) at 7–8 p.m. (around 330 W). On Saturday, the observed flattening of the profile during the daytime is no longer characteristic during the lockdown. The weekend peak in the afternoon (2–3 p.m.) of the lockdown dominates over the peak of the pre-lockdown period from 8 p.m., with the average load at that hour during the lockdown increased by several Watts.
2.3.3. Energy Consumption
2.3.4. Limitations
3. The Prospective Mental Lockdown Implications
- forms of implementation in remote mode:
- ◦
- professional work and education;
- ◦
- home entertainment;
- ◦
- business and private meetings.
- digital tools in the field of:
- ◦
- payments and settlements, including online trading;
- ◦
- new services and activities based on the Internet;
- ◦
- dealing with official matters.
- direct lockdown effects on the behaviour of users (dependent activities and the need for digital competence development);
- the main repercussions identified from the energy side, as a sector;
3.1. User Activation First Step: DSR
- mitigation of pressure on the development of new generation capacity and network investments;
- creation of conditions for optimising electricity prices;
- optimal management of congestion in the distribution and transmission networks,
- improving consumers’ awareness of energy management on the demand side and potential own benefits of distributed generation, i.e., the end-user (small/large) consciously controls own energy consumption;
- improving, on the distribution side, the management of price and quantity risks in the energy market.
3.2. Next Step: Smart Prosumer
3.3. Consequence: Digital Settlements for Energy Exchange
3.4. Comments
- living, with the needs being increased as they were restricted outside the home;
- realisation of work duties resulting from the need to work remotely, as well as school duties in remote learning mode;
- rest in a form limited to own homes.
- the development of techniques for work, education, leisure and entertainment in remote form;
- the expected economic recession, affecting, among other things, the reorganisation of work in certain sectors, reduction in demand for certain goods and services and changes in the standard of living of various social groups;
- opportunities to deepen social differences and the problem of energy poverty;
- the range of measures that can be implemented in the event of a recurrence of a pandemic;
- environmental issues and the need to prevent a climate disaster, which implies changes in the way many consumer goods are used;
- current social and individual needs;
- impact of various legal forms of dwellings (rent, lease, ownership) on participation in various energy initiatives (including participation in DSR, prosumer cooperatives, energy saving, etc.);
- an offer from energy companies in the area of prosumption promoting, programs for demand side and the new forms of settlements;
- a framework for the functioning of the energy market and energy services, openness to the implementation of digital energy-currency.
- the anticipated percentage of people with the appropriate skills and professions to work remotely;
- the penetration of remote working in the context of economic needs;
- development of remote work management methods in the context of its effectiveness;
- possibility to perform remote work also outside the place of residence;
- the correlation between the prevalence of remote working and mobility, especially electromobility needs;
- requirements for equipment conditions to be provided for remote working;
- the impact of remote working equipment (electronic office equipment) on the power quality in the electrical installation and the necessary remedial measures;
- the problem of demand for reactive power (especially capacitive) in residential buildings;
- the need to ensure the supply of quality and reliability in the context of developing local RES;
- automation of processes related to energy use during both remote working and domestic activities;
- the effectiveness of DSR programmes for remote-working dwellers.
4. Conclusions
Author Contributions
Funding
Institutional Review Board Statement
Informed Consent Statement
Data Availability Statement
Acknowledgments
Conflicts of Interest
References
- International Energy Agency IEA. Global Energy Review 2020–The Impacts of Covid-19 Crisis on Global Energy Demand and CO2 Emissions; International Energy Agency IEA: 2020. Available online: https://www.iea.org/reports/global-energy-review-2020/global-energy-and-co2-emissions-in-2020 (accessed on 12 January 2021).
- International Energy Agency IEA. COVID19-Exploring the Impacts of the COVID19 Pandemic on Global Energy Markets, Energy Resilience, and Climate Change; International Energy Agency IEA: 2020. Available online: https://www.iea.org/topics/covid-19 (accessed on 5 December 2020).
- Mofijur, M.; Fattah, I.R.; Alam, A.; Islam, A.S.; Ong, H.C.; Rahman, S.A.; Najafi, G.; Ahmed, S.; Uddin, A.; Mahlia, T. Impact of COVID-19 on the social, economic, environmental and energy domains: Lessons learnt from a global pandemic. Sustain. Prod. Consum. 2021, 26, 343–359. [Google Scholar] [CrossRef]
- Aktar, M.A.; Alam, M.; Al-Amin, A.Q. Global economic crisis, energy use, CO2 emissions, and policy roadmap amid COVID-19. Sustain. Prod. Consum. 2021, 26, 770–781. [Google Scholar] [CrossRef]
- Akrofi, M.M.; Antwi, S.H. COVID-19 energy sector responses in Africa: A review of preliminary government interventions. Energy Res. Soc. Sci. 2020, 68, 101681. [Google Scholar] [CrossRef]
- Gebreslassie, M.G. COVID-19 and energy access: An opportunity or a challenge for the African continent? Energy Res. Soc. Sci. 2020, 68, 101677. [Google Scholar] [CrossRef]
- Bompard, E.; Mosca, C.; Colella, P.; Antonopoulos, G.; Fulli, G.; Masera, M.; Poncela-Blanco, M.; Vitiello, S. The Immediate Impacts of COVID-19 on European Electricity Systems: A First Assessment and Lessons Learned. Energies 2020, 14, 96. [Google Scholar] [CrossRef]
- Bahmanyar, A.; Estebsari, A.; Ernst, D. The impact of different COVID-19 containment measures on electricity consumption in Europe. Energy Res. Soc. Sci. 2020, 68, 101683. [Google Scholar] [CrossRef]
- Norouzi, N.; De Rubens, G.Z.; Choupanpiesheh, S.; Enevoldsen, P. When pandemics impact economies and climate change: Exploring the impacts of COVID-19 on oil and electricity demand in China. Energy Res. Soc. Sci. 2020, 68, 101654. [Google Scholar] [CrossRef] [PubMed]
- Abu-Rayash, A.; Dincer, I. Analysis of the electricity demand trends amidst the COVID-19 coronavirus pandemic. Energy Res. Soc. Sci. 2020, 68, 101682. [Google Scholar] [CrossRef] [PubMed]
- Aruga, K.; Islam, M.; Jannat, A. Effects of COVID-19 on Indian Energy Consumption. Sustainability 2020, 12, 5616. [Google Scholar] [CrossRef]
- Carvalho, M.; Delgado, D.B.D.M.; De Lima, K.M.; Cancela, M.C.; Dos Siqueira, C.A.; De Souza, D.L.B. Effects of the COVID-19 pandemic on the Brazilian electricity consumption patterns. Int. J. Energy Res. 2021, 45, 3358–3364. [Google Scholar] [CrossRef]
- Zhang, X.; Pellegrino, F.; Shen, J.; Copertaro, B.; Huang, P.; Saini, P.K.; Lovati, M. A preliminary simulation study about the impact of COVID-19 crisis on energy demand of a building mix at a district in Sweden. Appl. Energy 2020, 280, 115954. [Google Scholar] [CrossRef] [PubMed]
- Ghiani, E.; Galici, M.; Mureddu, M.; Pilo, F. Impact on Electricity Consumption and Market Pricing of Energy and Ancillary Services during Pandemic of COVID-19 in Italy. Energies 2020, 13, 3357. [Google Scholar] [CrossRef]
- Narajewski, M.; Ziel, F. Changes in Electricity Demand Pattern in Europe Due to COVID-19 Shutdowns. IAEE Energy Forum/Covid-19 Issue 2020. arXiv 2020, arXiv:2004.14864, 44–47. [Google Scholar]
- Qarnain, S.S.; Muthuvel, S.; Bathrinath, S. Review on government action plans to reduce energy consumption in buildings amid COVID-19 pandemic outbreak. Mater. Today Proc. 2020. Available online: https://pubmed.ncbi.nlm.nih.gov/32377508/ (accessed on 12 February 2021). [CrossRef] [PubMed]
- Elavarasan, R.M.; Shafiullah, G.; Raju, K.; Mudgal, V.; Arif, M.; Jamal, T.; Subramanian, S.; Balaguru, V.S.; Reddy, K.; Subramaniam, U. COVID-19: Impact analysis and recommendations for power sector operation. Appl. Energy 2020, 279, 115739. [Google Scholar] [CrossRef]
- Zhong, H.; Member, S.; Tan, Z.; Member, S.; He, Y.; Member, S. Implications of COVID-19 for the electricity industry: A comprehensive review. CSEE J. Power Energy Syst. 2020, 6, 489–495. [Google Scholar] [CrossRef]
- Mastropietro, P.; Rodilla, P.; Batlle, C. Emergency measures to protect energy consumers during the Covid-19 pandemic: A global review and critical analysis. Energy Res. Soc. Sci. 2020, 68, 101678. [Google Scholar] [CrossRef]
- Steffen, B.; Egli, F.; Pahle, M.; Schmidt, T.S. Navigating the Clean Energy Transition in the COVID-19 Crisis. Joule 2020, 4, 1137–1141. [Google Scholar] [CrossRef]
- Klemeš, J.J.; Van Fan, Y.; Jiang, P. The energy and environmental footprints of COVID-19 fighting measures–PPE, disinfection, supply chains. Energy 2020, 211, 118701. [Google Scholar] [CrossRef]
- Kuzemko, C.; Bradshaw, M.; Bridge, G.; Goldthau, A.; Jewell, J.; Overland, I.; Scholten, D.; Van De Graaf, T.; Westphal, K. Covid-19 and the politics of sustainable energy transitions. Energy Res. Soc. Sci. 2020, 68, 101685. [Google Scholar] [CrossRef]
- Sovacool, B.K.; Del Rio, D.F.; Griffiths, S. Contextualizing the Covid-19 pandemic for a carbon-constrained world: Insights for sustainability transitions, energy justice, and research methodology. Energy Res. Soc. Sci. 2020, 68, 101701. [Google Scholar] [CrossRef] [PubMed]
- Kanda, W.; Kivimaa, P. What opportunities could the COVID-19 outbreak offer for sustainability transitions research on electricity and mobility? Energy Res. Soc. Sci. 2020, 68, 101666. [Google Scholar] [CrossRef] [PubMed]
- Cheshmehzangi, A. COVID-19 and household energy implications: What are the main impacts on energy use? Heliyon 2020, 6, e05202. [Google Scholar] [CrossRef]
- Snow, S.; Bean, R.; Glencross, M.; Horrocks, N. Drivers behind Residential Electricity Demand Fluctuations Due to COVID-19 Restrictions. Energies 2020, 13, 5738. [Google Scholar] [CrossRef]
- Santiago, I.; Moreno-Munoz, A.; Quintero-Jiménez, P.; Garcia-Torres, F.; Gonzalez-Redondo, M. Electricity demand during pandemic times: The case of the COVID-19 in Spain. Energy Policy 2021, 148, 111964. [Google Scholar] [CrossRef]
- Covid-19 in Poland. Governments Actions. Available online: https://www.gov.pl/web/koronawirus/dzialania-rzadu (accessed on 22 November 2020). (In Polish)
- Bielecki, S. Estimation of Peak Loads in Residental Electricity by Means of a Coincidence Factor Method. Rynek Energii 2020, 1, 65–70. [Google Scholar]
- Efron, B. Bootstrap Methods: Another Look at the Jackknife. Ann. Stat. 1979, 7, 1–26. [Google Scholar] [CrossRef]
- Singh, K.; Xie, M. Bootstrap: A Statistical Method; Rutgers University: 2008. Available online: https://www.stat.rutgers.edu/home/mxie/rcpapers/bootstrap.pdf (accessed on 10 January 2021).
- Efron, B. Estimating the Error Rate of a Prediction Rule: Improvement on Cross-Vaildation. J. Am. Stat. Assoc. 1983, 78, 316–331. [Google Scholar] [CrossRef]
- Chatlani, V.P.; Tylavsky, D.J.; Montgomery, D.C.; Dyer, M. Statistical Properties of Diversity Factors for Probabilistic Loading of Distribution Transformers. In Proceedings of the 2007 39th North American Power Symposium, Cruces, NM, USA, 30 September–2 October 2007; pp. 555–561. [Google Scholar]
- Fox, J. Applied Regresssion Analysis and Generalized Linear Models; SAGE Publications Inc.: London, UK, 2008. [Google Scholar]
- Davidson, R.; MacKinnon, J.G. Bootstrap tests: How many bootstraps? Econ. Rev. 2000, 19, 55–68. [Google Scholar] [CrossRef]
- Efron, B.; Tibshirani, R.J. An Introdution to the Bootstrap; Chapman&Hall: Boca Raton, FL, USA; London, UK; New York, NY, USA; Washington, DC, USA, 1993. [Google Scholar]
- Bielecki, S.; Skoczkowski, T. An enhanced concept of Q-power management. Energy 2018, 162, 335–353. [Google Scholar] [CrossRef]
- Ozimek, A. The Future of Remote Work. SSRN Electron. J. 2020. Available online: https://papers.ssrn.com/sol3/papers.cfm?abstract_id=3638597 (accessed on 12 February 2021). [CrossRef]
- Rana, A.; Perera, P.; Ruparathna, R.; Karunathilake, H.; Hewage, K.; Alam, M.S.; Sadiq, R. Occupant-based energy upgrades selection for Canadian residential buildings based on field energy data and calibrated simulations. J. Clean. Prod. 2020, 271, 122430. [Google Scholar] [CrossRef]
- Wang, B.; Liu, Y.; Qian, J.; Parker, S.K. Achieving Effective Remote Working During the COVID-19 Pandemic: A Work Design Perspective. Appl. Psychol. 2021, 70, 16–59. [Google Scholar] [CrossRef]
- Why the Future of Work Might Be ‘Hybrid’. Available online: https://www.bbc.com/worklife/article/20200824-why-the-future-of-work-might-be-hybrid (accessed on 15 November 2020).
- Golušin, M.; Dodić, S.; Popov, S. Chapter 2-Energy and Sustainable Development. In Sustainable Energy Management; Golušin, M., Dodić, S., Popov, S., Eds.; Academic Press Inc.: Cambridge, MA, USA, 2013; pp. 7–57. ISBN 9780124159785. [Google Scholar]
- European Commission. A Framework Strategy for a Resilient Energy Union with a Forward-Looking Climate Change Policy; 25.2.2015 COM(2015) 80 Final; European Commission: Brussels, Belgium, 2015. [Google Scholar]
- European Commission Clean Energy for All Europeans. Available online: https://ec.europa.eu/energy/en/topics/energy-strategy-and-energy-union/clean-energy-all-europeans (accessed on 1 July 2018).
- Hosseini, S.E. An outlook on the global development of renewable and sustainable energy at the time of COVID-19. Energy Res. Soc. Sci. 2020, 68, 101633. [Google Scholar] [CrossRef]
- Ozili, P.K. Impact of digital finance on financial inclusion and stability. Borsa Istanb. Rev. 2018, 18, 329–340. [Google Scholar] [CrossRef]
- Raza, N.; Akbar, M.Q.; Soofi, A.A.; Akbar, S. Study of Smart Grid Communication Network Architectures and Technologies. J. Comput. Commun. 2019, 7, 19–29. [Google Scholar] [CrossRef]
- Verschae, R.; Kato, T.; Matsuyama, T. Energy Management in Prosumer Communities: A Coordinated Approach. Energies 2016, 9, 562. [Google Scholar] [CrossRef]
- Matsukawa, I.; Kakimoto, H.A.A.H. Household Response to Incentive Payments for Load Shifting: A Japanese Time-of-Day Electricity Pricing Experiment. Energy J. 2000, 21, 21. [Google Scholar] [CrossRef]
- Nakano, S.; Washizu, A. On the Acceptability of Electricity Demand Side Management by Time of Day. Energies 2020, 13, 3665. [Google Scholar] [CrossRef]
- Sisodiya, S.; Kumbhar, G.B. Demand-Side Resources for Electric Energy Management. In Proceedings of the 2018 4th International Conference on Electrical Energy Systems (ICEES), Chennai, India, 7–9 February 2018; pp. 20–25. [Google Scholar]
- Bel, C.Á.; Ortega, M.A.; Escrivá, G.E.; Marín, A.G. Technical and economical tools to assess customer demand response in the commercial sector. Energy Convers. Manag. 2009, 50, 2605–2612. [Google Scholar] [CrossRef]
- Tzovaras, D.; Damousis, I.; Papanikolaou, A.; Pitsiladis, G.; Barbagelata, G. DRIMPAC—Unified Demand Response Interoperability Framework Enabling Market Participation of Active Energy Consumers. Proceedings 2019, 20, 15. [Google Scholar] [CrossRef]
- Goulden, M.; Spence, A.; Wardman, J.; Leygue, C. Differentiating ‘the user’ in DSR: Developing demand side response in advanced economies. Energy Policy 2018, 122, 176–185. [Google Scholar] [CrossRef]
- Darby, S.J. Demand response and smart technology in theory and practice: Customer experiences and system actors. Energy Policy 2020, 143, 111573. [Google Scholar] [CrossRef]
- Yamaguchi, Y.; Chen, C.-F.; Shimoda, Y.; Yagita, Y.; Iwafune, Y.; Ishii, H.; Hayashi, Y. An integrated approach of estimating demand response flexibility of domestic laundry appliances based on household heterogeneity and activities. Energy Policy 2020, 142, 1–12. [Google Scholar] [CrossRef]
- Torstensson, D.; Wallin, F. Potential and Barriers for Demand Response at Household Customers. Energy Procedia 2015, 75, 1189–1196. [Google Scholar] [CrossRef]
- Güner, S.; Erenoğlu, A.K.; Şengör, I.; Erdinç, O.; Catalão, J.P.S. Effects of On-Site PV Generation and Residential Demand Response on Distribution System Reliability. Appl. Sci. 2020, 10, 7062. [Google Scholar] [CrossRef]
- Noga, M.; Ożadowicz, A.; Grela, J.; Hayduk, G. Active Consumers in Smart Grid Systems-Applications of the Building Automation Technologies. Przegląd Elektrotechniczny 2013, 89, 227–233. [Google Scholar]
- Hu, Y.-C.; Lin, Y.-H.; Lin, C.-H. Artificial Intelligence, Accelerated in Parallel Computing and Applied to Nonintrusive Appliance Load Monitoring for Residential Demand-Side Management in a Smart Grid: A Comparative Study. Appl. Sci. 2020, 10, 8114. [Google Scholar] [CrossRef]
- Ullah, I.; Rasheed, M.B.; Alquthami, T.; Tayyaba, S. A Residential Load Scheduling with the Integration of On-Site PV and Energy Storage Systems in Micro-Grid. Sustainability 2019, 12, 184. [Google Scholar] [CrossRef]
- Walker, I.; Hope, A. Householders’ readiness for demand-side response: A qualitative study of how domestic tasks might be shifted in time. Energy Build. 2020, 215, 109888. [Google Scholar] [CrossRef]
- Skoczkowski, T.; Bielecki, S.; Wojtyńska, J. Long-Term Projection of Renewable Energy Technology Diffusion. Energies 2019, 12, 4261. [Google Scholar] [CrossRef]
- Heesen, H.T.; Herbort, V.; Rumpler, M. Performance of roof-top PV systems in Germany from 2012 to 2018. Sol. Energy 2019, 194, 128–135. [Google Scholar] [CrossRef]
- Gullbrekken, L.; Kvande, T.; Time, B. Roof-integrated PV in Nordic Climate-Building Physical Challenges. Energy Procedia 2015, 78, 1962–1967. [Google Scholar] [CrossRef]
- Galvin, R. I’ll follow the sun: Geo-sociotechnical constraints on prosumer households in Germany. Energy Res. Soc. Sci. 2020, 65, 101455. [Google Scholar] [CrossRef]
- Huang, P.; Lovati, M.; Zhang, X.; Bales, C.; Hallbeck, S.; Becker, A.; Bergqvist, H.; Hedberg, J.; Maturi, L. Transforming a residential building cluster into electricity prosumers in Sweden: Optimal design of a coupled PV-heat pump-thermal storage-electric vehicle system. Appl. Energy 2019, 255, 113864. [Google Scholar] [CrossRef]
- Baumann, T.; Nussbaumer, H.; Klenk, M.; Dreisiebner, A.; Carigiet, F.; Baumgartner, F. Photovoltaic systems with vertically mounted bifacial PV modules in combination with green roofs. Sol. Energy 2019, 190, 139–146. [Google Scholar] [CrossRef]
- Hernández, J.; Sanchez-Sutil, F.; Muñoz-Rodríguez, F.; Baier, C. Optimal sizing and management strategy for PV household-prosumers with self-consumption/sufficiency enhancement and provision of frequency containment reserve. Appl. Energy 2020, 277, 115529. [Google Scholar] [CrossRef]
- Skoczkowski, T.; Bielecki, S.; Węglarz, A.; Włodarczak, M.; Gutowski, P. Impact assessment of climate policy on Poland’s power sector. Mitig. Adapt. Strat. Glob. Chang. 2018, 23, 1303–1349. [Google Scholar] [CrossRef] [PubMed]
- The European Parliament and the Council of the European Union. Regulation (EU) 2019/2088 of the European Parliament and of the Council of 27 November 2019 on Sustainability-related Disclosures in the Financial Services Sector; The European Parliament and the Council of the European Union: 2019. Available online: https://eur-lex.europa.eu/eli/reg/2019/2088/oj (accessed on 12 February 2021).
- Brown, D.; Hall, S.; Davis, M.E. What is prosumerism for? Exploring the normative dimensions of decentralised energy transitions. Energy Res. Soc. Sci. 2020, 66, 101475. [Google Scholar] [CrossRef]
- European Commission. European Commission Report from the Commission to the European Parliament, the Council, the European Economic and Social Committee and the Committee of the Regions Renewable Energy Progress Report; 14.10.2020 COM(2020) 952 Final; European Commission: Brussels, Belgium, 2020. [Google Scholar]
- World Economic Forum COVID-19 Is a Game-Changer for Renewable Energy. Here’s Why. Available online: https://www.weforum.org/agenda/2020/06/covid-19-is-a-game-changer-for-renewable-energy/ (accessed on 20 December 2020).
- Gold, R.; Hodari, D. Coronavirus Pandemic Speeds Shift to Cleaner Energy. The Wall Street Journal, 13 October 2020. Available online: https://www.wsj.com/articles/coronavirus-pandemic-speeds-shift-to-cleaner-energy-11602561601 (accessed on 18 December 2020).
- Tsao, Y.-C.; Thanh, V.-V.; Lu, J.-C.; Wei, H.-H. A risk-sharing-based resilient renewable energy supply network model under the COVID-19 pandemic. Sustain. Prod. Consum. 2021, 25, 484–498. [Google Scholar] [CrossRef]
- Ghazvini, M.A.F.; Soares, J.; Abrishambaf, O.; Castro, R.; Vale, Z. Demand response implementation in smart households. Energy Build. 2017, 143, 129–148. [Google Scholar] [CrossRef]
- Ivanov, O.; Chattopadhyay, S.; Banerjee, S.; Neagu, B.-C.; Grigoras, G.; Gavrilas, M. A Novel Algorithm with Multiple Consumer Demand Response Priorities in Residential Unbalanced LV Electricity Distribution Networks. Mathematics 2020, 8, 1220. [Google Scholar] [CrossRef]
- Chen, C.-F.; De Rubens, G.Z.; Xu, X.; Li, J. Coronavirus comes home? Energy use, home energy management, and the social-psychological factors of COVID-19. Energy Res. Soc. Sci. 2020, 68, 101688. [Google Scholar] [CrossRef] [PubMed]
- Zanocco, C.; Flora, J.; Rajagopal, R.; Boudet, H. Exploring the effects of California’s COVID-19 shelter-in-place order on household energy practices and intention to adopt smart home technologies. Renew. Sustain. Energy Rev. 2020, 139, 110578. [Google Scholar] [CrossRef]
- Andoni, M.; Robu, V.; Flynn, D.; Abram, S.; Geach, D.; Jenkins, D.; McCallum, P.; Peacock, A. Blockchain technology in the energy sector: A systematic review of challenges and opportunities. Renew. Sustain. Energy Rev. 2019, 100, 143–174. [Google Scholar] [CrossRef]
- Ahl, A.; Yarime, M.; Tanaka, K.; Sagawa, D. Review of blockchain-based distributed energy: Implications for institutional development. Renew. Sustain. Energy Rev. 2019, 107, 200–211. [Google Scholar] [CrossRef]
- Esmat, A.; De Vos, M.; Ghiassi-Farrokhfal, Y.; Palensky, P.; Epema, D. A novel decentralized platform for peer-to-peer energy trading market with blockchain technology. Appl. Energy 2021, 282, 116123. [Google Scholar] [CrossRef]
- Meeuw, A.; Schopfer, S.; Wörner, A.; Tiefenbeck, V.; Ableitner, L.; Fleisch, E.; Wortmann, F. Implementing a blockchain-based local energy market: Insights on communication and scalability. Comput. Commun. 2020, 160, 158–171. [Google Scholar] [CrossRef]
- Teufel, B.; Sentic, A.; Barmet, M. Blockchain energy: Blockchain in future energy systems. J. Electron. Sci. Technol. 2019, 17, 100011. [Google Scholar] [CrossRef]
- Petri, I.; Barati, M.; Rezgui, Y.; Rana, O.F. Blockchain for energy sharing and trading in distributed prosumer communities. Comput. Ind. 2020, 123, 103282. [Google Scholar] [CrossRef]
- Hu, W.; Li, H. A blockchain-based secure transaction model for distributed energy in Industrial Internet of Things. Alex. Eng. J. 2021, 60, 491–500. [Google Scholar] [CrossRef]
- Diestelmeier, L. Changing power: Shifting the role of electricity consumers with blockchain technology–Policy implications for EU electricity law. Energy Policy 2019, 128, 189–196. [Google Scholar] [CrossRef]
- Adeyemi, A.; Yan, M.; Shahidehpour, M.; Botero, C.; Guerra, A.V.; Gurung, N.; Zhang, L.; Paaso, A. Blockchain technology applications in power distribution systems. Electr. J. 2020, 33, 106817. [Google Scholar] [CrossRef]
- Patsonakis, C.; Terzi, S.; Moschos, I.; Ioannidis, D.; Votis, K.; Tzovaras, D. Permissioned Blockchains and Virtual Nodes for Reinforcing Trust Between Aggregators and Prosumers in Energy Demand Response Scenarios. In Proceedings of the 2019 IEEE International Conference on Environment and Electrical Engineering and 2019 IEEE Industrial and Commercial Power Systems Europe (EEEIC/I&CPS Europe), Genoa, Italy, 11–14 June 2019; pp. 1–6. [Google Scholar]
- Ahl, A.; Yarime, M.; Goto, M.; Chopra, S.S.; Kumar, N.M.; Tanaka, K.; Sagawa, D. Exploring blockchain for the energy transition: Opportunities and challenges based on a case study in Japan. Renew. Sustain. Energy Rev. 2020, 117, 109488. [Google Scholar] [CrossRef]
- Marinakis, V.; Doukas, H.; Koasidis, K.; AlBuflasa, H. From Intelligent Energy Management to Value Economy through a Digital Energy Currency: Bahrain City Case Study. Sensors 2020, 20, 1456. [Google Scholar] [CrossRef] [PubMed]
- European Central Bank the Future of Money–Innovating While Retaining Trust. Available online: https://www.ecb.europa.eu/press/inter/date/2020/html/ecb.in201130~ce64cb35a3.en.html (accessed on 30 December 2020).
- The Library of Congress Chronicling America. Available online: https://chroniclingamerica.loc.gov/lccn/sn83030214/1921-12-04/ed-1/seq-1/ (accessed on 30 December 2020).
- Collins, J.R.; Schuster, L.; Greenham, T. Energising Money. An Introduction to Energy Currencies and Accounting. 2013. Available online: https://b.3cdn.net/nefoundation/d5efb739f3fb9a137c_q2m6y7916.pdf (accessed on 4 January 2021).
- Schinckus, C.; Nguyen, C.P.; Ling, F.C.H. Crypto-currencies trading and energy consumption. Int. J. Energy Econ. Policy 2020, 10, 355–364. [Google Scholar] [CrossRef]
- Mihaylov, M.; Jurado, S.; Avellana, N.; Van Moffaert, K.; De Abril, I.M.; Nowe, A. NRGcoin: Virtual currency for trading of renewable energy in smart grids. In Proceedings of the 11th International Conference on the European Energy Market (EEM14), Kraków, Poland, 28–30 May 2014; pp. 1–6. [Google Scholar]
- Association of Polish Electrical Engineers. Instalacje Elektryczne w Obiektach Budowlanych; N SEP-E-002, Instalacje Elektryczne w Budynkach Mieszkalnych, Podstawy Planowania; Association of Polish Electrical Engineers: Warsaw, Poland, 2003. (In Polish) [Google Scholar]
- Fell, M.J.; Pagel, L.; Chen, C.-F.; Goldberg, M.H.; Herberz, M.; Huebner, G.M.; Sareen, S.; Hahnel, U.J. Validity of energy social research during and after COVID-19: Challenges, considerations, and responses. Energy Res. Soc. Sci. 2020, 68, 101646. [Google Scholar] [CrossRef] [PubMed]




















| Parameter | Lockdown 2020 | Analogous Period 2018 | ||
|---|---|---|---|---|
| P (kW) | S (kVA) | P (kW) | S (kVA) | |
| Average of the peak values of the set of users | 1.651 | 1.668 | 1.714 | 1.732 |
| Peak from averaged loads over the period | 0.393 | 0.433 | 0.357 | 0.396 |
| Median from the peak values of the set of users | 1.698 | 1.714 | 1.70 | 1.716 |
| Peak value from median loads in the period | 0.261 | 0.308 | 0.26 | 0.306 |
| Standard deviation of the peak values of users in the period | 0.587 | 0.584 | 0.598 | 0.595 |
| Standard deviation from the peak loads in the period | 0.299 | 0.399 | 0.409 | 0.391 |
| Limitation | Comments |
|---|---|
| One type of household customers—flats in blocks of flats built in a similar period (after 2005), inhabited by representatives of the middle class of metropolitan society in a Central European country. | The data sample used for the study shows a phenomenon that is the result of a trend that, in lockdown conditions, is observed in the home user group due to the nature and objectives of the restrictions introduced during the forced social quarantine. Qualitatively, the observed trends should be similar in the whole group of household users regardless of location and type of construction (including single or multi-family houses). |
| The data set of users is numerous, although representative of a group of users with a similar standard of living. | Except for extreme groups of residential users (conditions of severe poverty or very high wealth), given the purpose and nature of the forced social quarantine, the trends observed should be specific to the whole group of household users. |
| The lack of information on the attributes of individual users of flats made it impossible to categorise and group profiles | The aim was to set general trends and to compare them with the results of a practical method used to determine peak power in a feeder supplying a different number of dwellings, which does not categorise dwellings concerning additional attributes of their users. |
| The lockdown covered only one season (spring) | There are no other experiences of a similar nature to a general quarantine involving a strict lockdown. The study selected the longest possible period during which residents with appropriate attention were subjected to recommendations and restrictions. |
| The electricity in the study was not used for heating purposes, including domestic hot water preparation or cooling | The use of electricity produced conventionally is not very energy efficient. Heat can come from a properly adapted district heating network. |
| The load data were averaged over 1-h intervals, so they do not take into account the instantaneous power consumption | The averaging period is appropriate to time constants of elements used in networks (e.g., wires and cables) and allows for appropriate elimination of short, incidental and uncharacteristic load peaks from consideration. |
| Estimating the peak in supply feeders based on the results obtained does not take into account the possible impact of generation sources in the installation (prosumer installations). | The analysed set of users allowed the observation of the energy demand (as a base) in the analysed periods. The impact of prosumer installations within the residential building installation is an additional issue. |
| Measurement data from the lockdown period included its different stages in terms of the range of restrictions. | The stark lockdown covered 76% of the time from which the measurement data was collected, of which the total lockdown covered more than half. The whole period from which the data were analysed covers the time when remote working and learning was common, residents followed the recommendations to spend most of their time in their flats, avoiding contact with other people. Therefore, the way and nature of energy use by the residents in the different stages of the analysed period did not differ significantly in terms of the typical daily schedule of the residents. Furthermore, the analysed peaks were selected as maximum values for the user from the whole analysed period. |
| Precision of measurement data | The measurement data were obtained from certified electricity meters (under the class standards in force in Poland: not less than 1 for active energy and 3 for reactive energy), installed at the end-users. The current legalization feature for all devices and the remote reading system allows reducing measurement errors. To eliminate possible thick errors, 5% of the records with the highest and 5% with the lowest peak power recorded during the data collection period have been removed from the measurement data set (in the set with data from 2020 and 2018). |
| Not all working residents could do remote work | The measurement data provide a view of the situation among a diverse group of residents of a typical housing estate in a large Central European city, showing the use of energy in extreme conditions (lockdown). Some of the lockdown users stayed in their flats, carrying out other activities (suspension of activities by their employers), some went to their workplaces on a similar scale as before the pandemic. |
| Criterion | Effects | |
|---|---|---|
| Immediate | Postponed in Time | |
| Character | Technical (network load) Economic (energy and infrastructure costs) | Technical (changes in network infrastructure) Mental (changes in energy use) Economic (investment in equipment and services) Social (new prosumer organisations) |
| Source of knowledge about them | Measurements | Observations, surveys, suppositions, measurements |
| Effects identified | Changes in the shape of the daily profile Increase in energy consumption during the daytime h | Interest of users: -services based on remote communication, e.g. based on DSR -smart home and Smart Grid possibilities -own RES, prosumption -new forms and methods of electronic settlements based on digital finance |
| Reasons | Fulfilling current life and work needs | Increased digital competences of residents, available Smart Grid possibilities, awareness of users’ needs |
| Spread after the pandemic | Possible changes, towards the restoration of the pre-lockdown condition, but rather only partial restoration is to be expected | Successive expansion (diffusion of tools) |
| Required reaction from | DSOs | |
| Current monitoring of the state of the network | Implementation of new services, activating users Openness to new participants (e.g. brokers, aggregators, cooperatives Changes in the current paradigm of network functioning Smart-metering diffusion Development of the network for the implementation of the Smart Grid | |
| Power network designers | ||
| A grid designed according to the existing guidelines (e.g., [98]) can withstand (due to peak power) the observed loads with an additional reserve. | Taking into account the possibility of two-way energy flow in the distribution network (within the area of the estate) from prosumer sources Taking into account the possibility of powering EV charging stations Providing functionality of Smart Grid solutions | |
| End users | ||
| Monitoring of consumption Rational energy management | To be active in exploiting the technical possibilities and rules of the market. Participation in energy initiative group (e.g., clusters, cooperatives) Monitoring of consumption Rationalisation of the use of equipment for the DSR Cooperation with new service providers | |
| Regulators | ||
| Current activities (same as before the pandemic) | Implementation of new forms of protection for energy-poor consumers Monitoring of the expanded market – new forms of activity, in the interest of end-users | |
Publisher’s Note: MDPI stays neutral with regard to jurisdictional claims in published maps and institutional affiliations. |
© 2021 by the authors. Licensee MDPI, Basel, Switzerland. This article is an open access article distributed under the terms and conditions of the Creative Commons Attribution (CC BY) license (http://creativecommons.org/licenses/by/4.0/).
Share and Cite
Bielecki, S.; Skoczkowski, T.; Sobczak, L.; Buchoski, J.; Maciąg, Ł.; Dukat, P. Impact of the Lockdown during the COVID-19 Pandemic on Electricity Use by Residential Users. Energies 2021, 14, 980. https://doi.org/10.3390/en14040980
Bielecki S, Skoczkowski T, Sobczak L, Buchoski J, Maciąg Ł, Dukat P. Impact of the Lockdown during the COVID-19 Pandemic on Electricity Use by Residential Users. Energies. 2021; 14(4):980. https://doi.org/10.3390/en14040980
Chicago/Turabian StyleBielecki, Sławomir, Tadeusz Skoczkowski, Lidia Sobczak, Janusz Buchoski, Łukasz Maciąg, and Piotr Dukat. 2021. "Impact of the Lockdown during the COVID-19 Pandemic on Electricity Use by Residential Users" Energies 14, no. 4: 980. https://doi.org/10.3390/en14040980
APA StyleBielecki, S., Skoczkowski, T., Sobczak, L., Buchoski, J., Maciąg, Ł., & Dukat, P. (2021). Impact of the Lockdown during the COVID-19 Pandemic on Electricity Use by Residential Users. Energies, 14(4), 980. https://doi.org/10.3390/en14040980

