Multi-Criteria Fuzzy Evaluation of the Planned Offshore Wind Farm Investments in Poland
Abstract
1. Introduction
2. Materials and methods
2.1. Fuzzy TOPSIS Based Multi-Criteria Approach
- if then belongs to Class I–‘not recommended’,
- if then belongs to Class II–‘recommended with high risk’,
- if then belongs to Class III–‘recommended with low risk’,
- if then belongs to Class IV–‘approved’,
- if then belongs to Class V–‘approved and strictly preferred’.
2.2. Model of the Decision Problem
- for C10—expected GDP growth per 1 MW—the assumed value was 10 ± 10% PLN million [12], so it was ,
- for C11—employment per 1 MW—the number of jobs was 12.8 ± 10% [12], so it was ,
- for C12—investment cost for 1 MW—the value of 4 ± 10% million Euro was assumed [12], which after conversion into PLN gave 18 ± 10% PLN million, so it was .
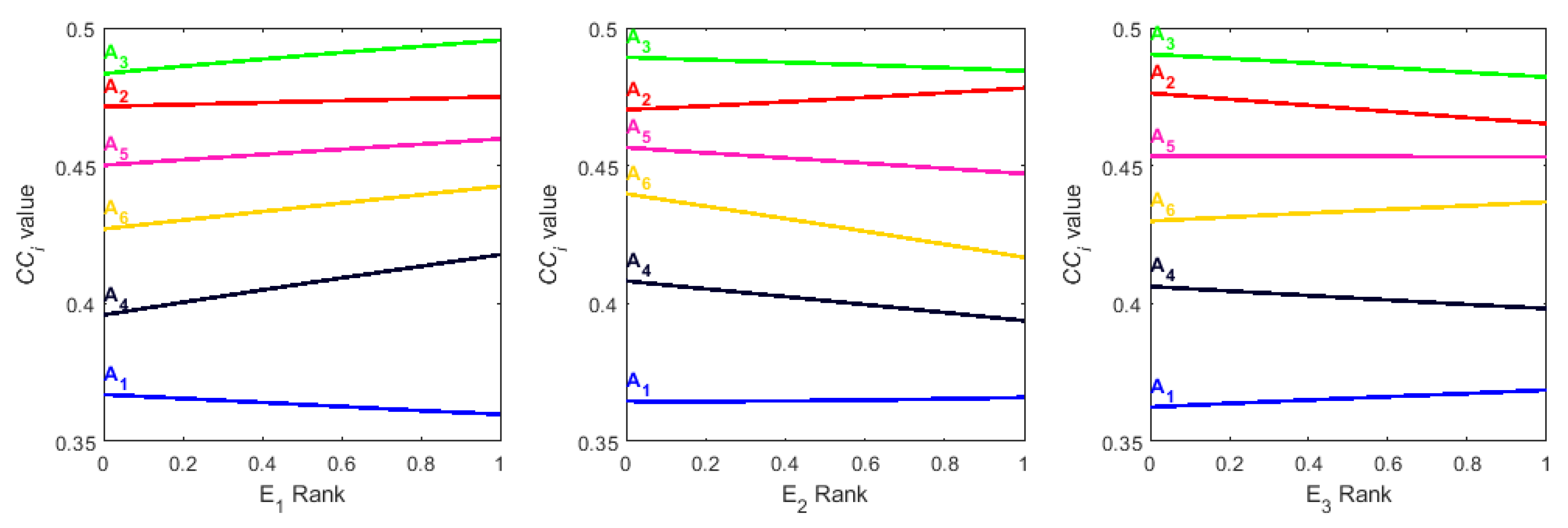
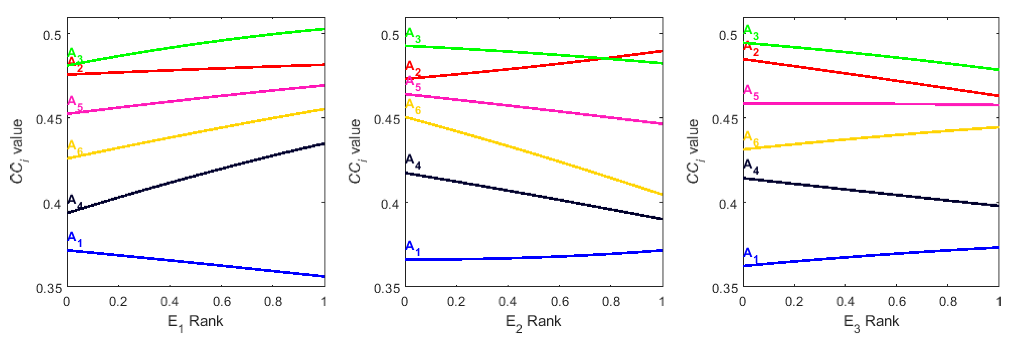
3. Results
4. Discussion
5. Conclusions
Funding
Institutional Review Board Statement
Informed Consent Statement
Data Availability Statement
Conflicts of Interest
References
- Altıntaş, H.; Kassouri, Y. The Impact of Energy Technology Innovations on Cleaner Energy Supply and Carbon Footprints in Europe: A Linear versus Nonlinear Approach. J. Clean. Prod. 2020, 276, 124140. [Google Scholar] [CrossRef]
- Paska, J.; Surma, T.; Terlikowski, P.; Zagrajek, K. Electricity Generation from Renewable Energy Sources in Poland as a Part of Commitment to the Polish and EU Energy Policy. Energies 2020, 13, 4261. [Google Scholar] [CrossRef]
- European Commission. 2030 Climate & Energy Framework. Available online: https://ec.europa.eu/clima/policies/strategies/2030_en (accessed on 23 November 2020).
- Paska, J.; Surma, T. Electricity Generation from Renewable Energy Sources in Poland. Renew. Energy 2014, 71, 286–294. [Google Scholar] [CrossRef]
- Brodny, J.; Tutak, M.; Saki, S.A. Forecasting the Structure of Energy Production from Renewable Energy Sources and Biofuels in Poland. Energies 2020, 13, 2539. [Google Scholar] [CrossRef]
- Nemling, O. The Amendment to the Polish Act on Renewable Energy Sources (RES). Available online: https://www.taylorwessing.com/en/insights-and-events/insights/2019/09/the-amendment-to-the-polish-act-on-renewable-energy-sources (accessed on 23 November 2020).
- PWEA—Polish Wind Energy Association. Wind of Hope for Poland’s Green Deal. Available online: http://psew.pl/en/2020/08/25/wind-of-hope-for-polands-green-deal/ (accessed on 11 December 2020).
- Ziemba, P.; Wątróbski, J.; Zioło, M.; Karczmarczyk, A. Using the PROSA Method in Offshore Wind Farm Location Problems. Energies 2017, 10, 1755. [Google Scholar] [CrossRef]
- The Birth of Offshore Wind in Poland. Available online: https://windeurope.org/newsroom/press-releases/the-birth-of-offshore-wind-in-poland/ (accessed on 11 December 2020).
- Gul, A. Innovative Solutions Applied in the High Power Offshore Wind Farms Complex, Taking Intoaccount the Requirements for Protection of the Offshore HVDC Cable Network; Association of Polish Electrical Engineers: Warszawa, Poland, 2 April 2019. [Google Scholar]
- Baltic InteGrid. Recommendations to the ENTSO-E’s Ten Year Network Development Plan; Baltic InteGrid, 2018. [Google Scholar]
- McKinsey & Company. Developing Offshore Wind Power in Poland; McKinsey & Co., 2016. [Google Scholar]
- PWEA—Polish Wind Energy Association. The Future of Offshore Wind in Poland; Polish Wind Energy Association, 2019. [Google Scholar]
- Deveci, M.; Özcan, E.; John, R.; Covrig, C.-F.; Pamucar, D. A Study on Offshore Wind Farm Siting Criteria Using a Novel Interval-Valued Fuzzy-Rough Based Delphi Method. J. Environ. Manag. 2020, 270, 110916. [Google Scholar] [CrossRef]
- Dedecca, J.G.; Hakvoort, R.A.; Ortt, J.R. Market Strategies for Offshore Wind in Europe: A Development and Diffusion Perspective. Renew. Sustain. Energy Rev. 2016, 66, 286–296. [Google Scholar] [CrossRef]
- Nermend, K. The Implementation of cognitive neuroscience techniques for fatigue evaluation in participants of the decision-making process. In Neuroeconomic and Behavioral Aspects of Decision Making; Nermend, K., Łatuszyńska, M., Eds.; Springer International Publishing: Cham, Switzerland, 2017; pp. 329–339. [Google Scholar]
- Nermend, K.; Piwowarski, M.; Borawski, M. Decision Making Methods in Comparative Studies of Complex Economic Processes Management. Iraqi J. Sci. 2020, 652–664. [Google Scholar] [CrossRef]
- Sałabun, W.; Wątróbski, J.; Piegat, A. Identification of a multi-criteria model of location assessment for renewable energy sources. In Artificial Intelligence and Soft Computing; Rutkowski, L., Korytkowski, M., Scherer, R., Tadeusiewicz, R., Zadeh, L.A., Zurada, J.M., Eds.; Springer International Publishing: Cham, Switzerland, 2016; pp. 321–332. [Google Scholar]
- Fetanat, A.; Khorasaninejad, E. A Novel Hybrid MCDM Approach for Offshore Wind Farm Site Selection: A Case Study of Iran. Ocean. Coast. Manag. 2015, 109, 17–28. [Google Scholar] [CrossRef]
- Wu, Y.; Zhang, J.; Yuan, J.; Geng, S.; Zhang, H. Study of Decision Framework of Offshore Wind Power Station Site Selection Based on ELECTRE-III under Intuitionistic Fuzzy Environment: A Case of China. Energy Convers. Manag. 2016, 113, 66–81. [Google Scholar] [CrossRef]
- Gao, J.; Guo, F.; Ma, Z.; Huang, X.; Li, X. Multi-Criteria Group Decision-Making Framework for Offshore Wind Farm Site Selection Based on the Intuitionistic Linguistic Aggregation Operators. Energy 2020, 204, 117899. [Google Scholar] [CrossRef]
- Deveci, M.; Cali, U.; Kucuksari, S.; Erdogan, N. Interval Type-2 Fuzzy Sets Based Multi-Criteria Decision-Making Model for Offshore Wind Farm Development in Ireland. Energy 2020, 198, 117317. [Google Scholar] [CrossRef]
- Ziemba, P. Neat F-Promethee—A New Fuzzy Multiple Criteria Decision Making Method Based on the Adjustment of Mapping Trapezoidal Fuzzy Numbers. Expert Syst. Appl. 2018, 110, 363–380. [Google Scholar] [CrossRef]
- Hwang, C.-L.; Yoon, K. Multiple Attribute Decision Making: Methods and Applications A State-of-the-Art Survey. In Lecture Notes in Economics and Mathematical Systems; Springer: Berlin/Heidelberg, Germany, 1981; ISBN 978-3-540-10558-9. [Google Scholar]
- Piwowarski, M.; Miłaszewicz, D.; Łatuszyńska, M.; Borawski, M.; Nermend, K. Application of the Vector Measure Construction Method and Technique for Order Preference by Similarity Ideal Solution for the Analysis of the Dynamics of Changes in the Poverty Levels in the European Union Countries. Sustainability 2018, 10, 2858. [Google Scholar] [CrossRef]
- Ziemba, P.; Jankowski, J.; Wątróbski, J. Online Comparison System with Certain and Uncertain Criteria Based on Multi-Criteria Decision Analysis Method. In Computational Collective Intelligence; Nguyen, N.T., Papadopoulos, G.A., Jędrzejowicz, P., Trawiński, B., Vossen, G., Eds.; Springer International Publishing: Cham, Switzerland, 2017; pp. 579–589. [Google Scholar]
- Ziemba, P.; Becker, A.; Becker, J. A Consensus Measure of Expert Judgment in the Fuzzy TOPSIS Method. Symmetry 2020, 12, 204. [Google Scholar] [CrossRef]
- Chen, C.-T.; Lin, C.-T.; Huang, S.-F. A Fuzzy Approach for Supplier Evaluation and Selection in Supply Chain Management. Int. J. Prod. Econ. 2006, 102, 289–301. [Google Scholar] [CrossRef]
- Nieto-Morote, A.; Ruz-Vila, F. A Fuzzy Multi-Criteria Decision-Making Model for Construction Contractor Prequalification. Autom. Constr. 2012, 25, 8–19. [Google Scholar] [CrossRef]
- Global Offshore Renewable Map | 4C Offshore. Available online: https://www.4coffshore.com/offshorewind/ (accessed on 11 December 2020).
- The Renewables Consulting Group (RCG). Global Renewable Infrastructure Project (GRIP) Database. Available online: https://grip.thinkrcg.com/ (accessed on 23 November 2020).
- Wind Farms—Online Access—The Wind Power—Wind Energy Market Intelligence. Available online: https://www.thewindpower.net/windfarms_list_en.php (accessed on 3 December 2020).
- Offshore Wind Farms in Poland | 4C Offshore. Available online: https://www.4coffshore.com/windfarms/poland/ (accessed on 3 December 2020).
- Farmy Morskie | Polenergia. Available online: https://www.polenergia.pl/pol/pl/strona/farmy-morskie (accessed on 4 December 2020).
- Fakty i Dane Liczbowe. Available online: https://www.baltyk2.pl/fakty-i-dane-liczbowe (accessed on 4 December 2020).
- PGE Systemy, S.A PGE Baltica—Morskie Farmy Wiatrowe. Available online: https://www.gkpge.pl/pge-baltica/morskie-farmy-wiatrowe (accessed on 4 December 2020).
- Environmental Surveys Completed by PKN ORLEN for Its Offshore Wind Farm Project in Baltic Sea—PKN ORLEN. Available online: https://www.orlen.pl/EN/News/Pages/Environmental-surveys-completed-by-PKN-ORLEN-for-its-offshore-wind-farm-project-in-Baltic-Sea.aspx (accessed on 4 December 2020).
- Robak, S.; Raczkowski, R.M. Substations for Offshore Wind Farms: A Review from the Perspective of the Needs of the Polish Wind Energy Sector. Bull. Pol. Acad. Sci. Tech. Sci. 2018, 66, 517–528. [Google Scholar] [CrossRef]
- Helcom Map and Data Service. Available online: https://maps.helcom.fi/website/mapservice/ (accessed on 5 December 2020).
- Zaucha, J.; Matczak, M. Studium Uwarunkowań Zagospodarowania Przestrzennego Polskich Obszarów Morskich Wraz z Analizami Przestrzennymi; Instytut Morski w Gdańsku: Gdańsk, Poland, 2015. [Google Scholar]
- Kaszubowski, L.J. Seismic Profiling of the Seabottoms for Shallow Geological and Geotechnical Investigations. In Seafloor Mapping along Continental Shelves: Research and Techniques for Visualizing Benthic Environments; Finkl, C.W., Makowski, C., Eds.; Coastal Research Library; Springer International Publishing: Cham, Switzerland, 2016; pp. 191–243. ISBN 978-3-319-25121-9. [Google Scholar]
- Map of Concessions for Hydrocarbon Exploration and Production, and Non-Resorvoir Storage of Substances in the Subsurface and Storage of Wastes in the Subsurface. Available online: https://www.gov.pl/web/srodowisko/mapy-raporty-i-zestawienia---rok-2020 (accessed on 5 December 2020).
- Ziemba, P. Inter-Criteria Dependencies-Based Decision Support in the Sustainable Wind Energy Management. Energies 2019, 12, 749. [Google Scholar] [CrossRef]
- Shokrzadeh, S.; Jafari Jozani, M.; Bibeau, E.; Molinski, T. A Statistical Algorithm for Predicting the Energy Storage Capacity for Baseload Wind Power Generation in the Future Electric Grids. Energy 2015, 89, 793–802. [Google Scholar] [CrossRef]
- Ocean and Atmosphere Numerical Modelling Laboratory EBaltic. Available online: https://ebaltic.plgrid.pl/ (accessed on 13 December 2020).
- Offshore Wind Turbine SG 14-222 DD I Siemens Gamesa. Available online: https://www.siemensgamesa.com/en-int/products-and-services/offshore/wind-turbine-sg-14-222-dd (accessed on 13 December 2020).
- Skłodowska, M.; Zasuń, R. Największe Turbiny Wiatrowe Będą Mogły Stanąć na Polskim Morzu. Available online: https://wysokienapiecie.pl/29514-najwieksze-turbiny-wiatrowe-jakie-mozna-stawiac-na-morzach/ (accessed on 13 December 2020).
- Kosky, P.; Balmer, R.; Keat, W.; Wise, G. Green Energy Engineering. In Exploring Engineering, 3rd ed.; Kosky, P., Balmer, R., Keat, W., Wise, G., Eds.; Academic Press: Boston, MA, USA, 2013; Chapter 16; pp. 339–356. ISBN 978-0-12-415891-7. [Google Scholar]
- Krajowy Ośrodek Bilansowania i Zarządzania Emisjami Wskaźniki Emisyjności CO2, SO2, NOx, CO i Pyłu Całkowitego Dla Energii Elektrycznej; IOŚ-PIB: Warszawa, Poland, 2019.
- Urząd Regulacji Energetyki Ceny Referencyjne. Available online: https://www.ure.gov.pl/pl/oze/aukcje-oze/ceny-referencyjne/6539,Ceny-referencyjne.html (accessed on 14 December 2020).
- Röckmann, C.; Lagerveld, S.; Stavenuiter, J. Operation and Maintenance Costs of Offshore Wind Farms and Potential Multi-use Platforms in the Dutch North Sea. In Aquaculture Perspective of Multi-Use Sites in the Open Ocean: The Untapped Potential for Marine Resources in the Anthropocene; Buck, B.H., Langan, R., Eds.; Springer International Publishing: Cham, Switzerland, 2017; pp. 97–113. ISBN 978-3-319-51159-7. [Google Scholar]
- Ziemba, P. Multi-Criteria Approach to Stochastic and Fuzzy Uncertainty in the Selection of Electric Vehicles with High Social Acceptance. Expert Syst. Appl. 2021. [Google Scholar] [CrossRef]
- Wątróbski, J.; Jankowski, J.; Ziemba, P.; Karczmarczyk, A.; Zioło, M. Generalised Framework for Multi-Criteria Method Selection. Omega 2019, 86, 107–124. [Google Scholar] [CrossRef]
- Ziemba, P.; Jankowski, J.; Wątróbski, J.; Wolski, W.; Becker, J. Integration of Domain Ontologies in the Repository of Website Evaluation Methods. In Proceedings of the 2015 Federated Conference on Computer Science and Information Systems (FedCSIS), Łódź, Poland, 15–16 September 2015; pp. 1585–1595. [Google Scholar]
- Ziemba, P.; Wątróbski, J. Selected Issues of Rank Reversal Problem in ANP Method. In Selected Issues in Experimental Economics; Nermend, K., Łatuszyńska, M., Eds.; Springer International Publishing: Cham, Switzerland, 2016; pp. 203–225. [Google Scholar]
- Kannchen, M.; Ziemba, P.; Borawski, M. Use of the PVM Method Computed in Vector Space of Increments in Decision Aiding Related to Urban Development. Symmetry 2019, 11, 446. [Google Scholar] [CrossRef]
- Shrivathsan, A.D.; Ravichandran, K.S.; Krishankumar, R.; Sangeetha, V.; Kar, S.; Ziemba, P.; Jankowski, J. Novel Fuzzy Clustering Methods for Test Case Prioritization in Software Projects. Symmetry 2019, 11, 1400. [Google Scholar] [CrossRef]
- Ziemba, P.; Becker, J. Analysis of the Digital Divide Using Fuzzy Forecasting. Symmetry 2019, 11, 166. [Google Scholar] [CrossRef]
- Ziemba, P. Towards Strong Sustainability Management—A Generalized PROSA Method. Sustainability 2019, 11, 1555. [Google Scholar] [CrossRef]
- Ziemba, P. Multi-Criteria Stochastic Selection of Electric Vehicles for the Sustainable Development of Local Government and State Administration Units in Poland. Energies 2020, 13, 6299. [Google Scholar] [CrossRef]









| No. | Group | Criterion | Unit | Preference Direction | Reference |
|---|---|---|---|---|---|
| C1 | Technical | Average annual wind speed | (m/s) | max | [14,19,20,21,22] |
| C2 | Social | Shipping density | linguistic | max | [14,18,19,20,21] |
| C3 | Social | Fishing density | linguistic | max | [18] |
| C4 | Technical | Geotechnical conditions | linguistic | max | [18,20,21,22] |
| C5 | Spatial | Proximity to hydrocarbon reserves | linguistic | max | [14,22] |
| C6 | Spatial | Proximity to protected areas | linguistic | max | [14,18,19,22] |
| C7 | Spatial | Proximity to shore | (km) | min | [14,18,19,20,22] |
| C8 | Technical | Sea water depth | (m) | min | [14,18,20,21,22] |
| C9 | Environmental | Pollutant reduction effect | (tonnes) | max | [21] |
| C10 | Economic | Expected impact on GDP (economic externalities) | (million PLN) | max | [14] |
| C11 | Social | Employment | (jobs) | max | [14,19,20,21] |
| C12 | Economic | Initial investment cost | (million PLN) | min | [14,18,20,21,22] |
| C13 | Economic | Investment payback period | (years) | min | [14,18,20,21,22] |
| No. | Criterion | |||
|---|---|---|---|---|
| C1 | Average annual wind speed | VH | H | H |
| C2 | Shipping density | MH | H | MH |
| C3 | Fishing density | MH | H | MH |
| C4 | Geotechnical conditions | H | MH | M |
| C5 | Proximity to hydrocarbon reserves | M | M | MH |
| C6 | Proximity to protected areas | M | MH | VH |
| C7 | Proximity to shore | H | M | M |
| C8 | Sea water depth | H | ML | M |
| C9 | Pollutant reduction effect | M | MH | VH |
| C10 | Expected impact on GDP (economic externalities) | VH | MH | M |
| C11 | Employment | H | H | MH |
| C12 | Initial investment cost | H | M | MH |
| C13 | Investment payback period | VH | M | MH |
| C1 | C2 | C3 | C4 | C5 | C6 | C9 | C13 | |
|---|---|---|---|---|---|---|---|---|
| A1 | (9.7, 9.7, 9.9, 9.9) | VG | F | MG | VG | F | (1,640,242, 1,822,491, 1,937,563, 2,131,319) | (6.08, 7.97, 8.93, 12.18) |
| A2 | (9.5, 9.7, 9.7, 9.9) | VG | G | MG | VG | MP | (5,238,929, 6,196,470, 6,196,470, 7,246,486) | (6.02, 8.76, 8.76, 13.64) |
| A3 | (9.3, 9.5, 9.7, 9.9) | VG | MP | G | VG | MP | (6,187,075, 7,327,652, 7,800,263, 9,122,047) | (5.87, 8.47, 9.51, 15.12) |
| A4 | (8.8, 9.1, 9.3, 9.5) | F | G | VG | VG | MG | (2,057,548, 2,528,039, 2,698,413, 3,163,902) | (6.71, 9.79, 11.06, 18.86) |
| A5 | (9.1, 9.3, 9.5, 9.7) | G | MG | G | G | G | (4,008,747, 4,754,346, 5,067,722, 5,934,032) | (6.30, 9.09, 10.24, 16.34) |
| A6 | (9.1, 9.3, 9.5, 9.7) | F | F | G | MG | VG | (4,604,642, 5,461,073, 5,821,032, 6,816,117) | (6.29, 9.08, 10.23, 16.33) |
| C1 | C2 | C3 | C4 | C5 | C6 | C9 | C13 | |
|---|---|---|---|---|---|---|---|---|
| A1 | (9.7, 9.7, 9.9, 9.9) | G | F | MG | VG | MP | (1,640,242, 1,822,491, 1,937,563, 2,131,319) | (6.08, 7.97, 8.93, 12.18) |
| A2 | (9.5, 9.7, 9.9, 9.9) | G | G | F | VG | P | (5,238,929, 6,196,470, 6,587,714, 7,246,486) | (6.02, 8.03, 9.00, 13.64) |
| A3 | (9.5, 9.7, 9.7, 9.9) | MG | P | G | VG | P | (6,594,887, 7,800,263, 7,800,263, 9,122,047) | (5.97, 8.69, 8.69, 13.52) |
| A4 | (8.9, 9.1, 9.4, 9.5) | MP | F | G | VG | F | (2,128,492, 2,528,039, 2,786,398, 3,163,902) | (6.77, 9.37, 11.23, 17.72) |
| A5 | (9.1, 9.3, 9.5, 9.6) | F | F | MG | MG | G | (4,008,747, 4,754,346, 5,067,722, 5,752,390) | (6.55, 9.09, 10.24, 15.95) |
| A6 | (9.1, 9.3, 9.5, 9.6) | P | P | MG | F | VG | (4,604,642, 5,461,073, 5,821,032, 6,607,475) | (6.54, 9.08, 10.23, 15.94) |
| C1 | C2 | C3 | C4 | C5 | C6 | C9 | C13 | |
|---|---|---|---|---|---|---|---|---|
| A1 | (9.7, 9.7, 9.9, 9.9) | G | MG | MG | VG | MP | (1,640,242, 1,822,491, 1,937,563, 2,131,319) | (6.08, 7.97, 8.93, 12.18) |
| A2 | (9.5, 9.7, 9.7, 9.9) | VG | G | F | VG | P | (5,238,929, 6,196,470, 6,196,470, 7,246,486) | (6.02, 8.76, 8.76, 13.64) |
| A3 | (9.4, 9.6, 9.7, 9.9) | G | MP | G | VG | P | (6,388,812, 7,561,496, 7,800,263, 9,122,047) | (5.92, 8.57, 9.08, 14.29) |
| A4 | (8.8, 9.1, 9.3, 9.5) | MP | MG | G | VG | F | (2,057,548, 2,528,039, 2,698,413, 3,163,902) | (6.71, 9.79, 11.06, 18.86) |
| A5 | (9.2, 9.3, 9.5, 9.6) | MG | F | G | MG | G | (4,142,361, 4,754,346, 5,067,722, 5,752,390) | (6.61, 9.09, 10.24, 15.07) |
| A6 | (9.1, 9.3, 9.5, 9.7) | MP | MP | G | F | VG | (4,604,642, 5,461,073, 5,821,032, 6,816,117) | (6.29, 9.08, 10.23, 16.33) |
| C7 | C8 | C10 | C11 | C12 | |
|---|---|---|---|---|---|
| A1 | (55, 55, 55, 55) | (45, 45, 45, 45) | (3150, 3500, 3500, 3850) | (4032, 4480, 4480, 4928) | (5670, 6300, 6300, 6930) |
| A2 | (37, 37, 37, 40) | (23, 30, 30, 41) | (10,800, 12,000, 12,000, 13,200) | (13,824, 15,360, 15,360, 16,896) | (19,440, 21,600, 21,600, 23,760) |
| A3 | (25, 30, 30, 40) | (20, 40, 40, 60) | (13,482, 14,980, 14,980, 16,478) | (17,257, 19,174, 19,174, 21,092) | (24,267.6, 26,964, 26,964, 29,660.4) |
| A4 | (22, 22, 23, 30) | (25, 30, 30, 39) | (5400, 6,000, 6000, 6,600) | (6912, 7680, 7680, 8448) | (9720, 10800, 10,800, 11,880) |
| A5 | (25, 33, 33, 34) | (20, 40, 40, 60) | (9409.5, 10,455, 10,455, 11,500.5) | (12,044, 13,382, 13,382, 14,721) | (16,937.1, 18,819, 18,819, 20,700.9) |
| A6 | (23, 23, 28, 28) | (40, 40, 40, 40) | (10,800, 12,000, 12,000, 13,200) | (13,824, 15,360, 15,360, 16,896) | (19,440, 21,600, 21,600, 23,760) |
| No. | Criterion | Weight Aggregated |
|---|---|---|
| C1 | Average annual wind speed | (0.7212, 0.8212, 0.8424, 0.9212) |
| C2 | Shipping density | (0.541, 0.641, 0.7205, 0.8205) |
| C3 | Fishing density | (0.541, 0.641, 0.7205, 0.8205) |
| C4 | Geotechnical conditions | (0.5292, 0.6292, 0.6708, 0.7708) |
| C5 | Proximity to hydrocarbon reserves | (0.4205, 0.5205, 0.541, 0.641) |
| C6 | Proximity to protected areas | (0.5083, 0.6083, 0.6667, 0.75) |
| C7 | Proximity to shore | (0.45, 0.55, 0.55, 0.65) |
| C8 | Sea water depth | (0.3667, 0.4667, 0.5083, 0.6083) |
| C9 | Pollutant reduction effect | (0.5083, 0.6083, 0.6667, 0.75) |
| C10 | Expected impact on GDP (economic externalities) | (0.5083, 0.6083, 0.6667, 0.75) |
| C11 | Employment | (0.659, 0.759, 0.7795, 0.8795) |
| C12 | Initial investment cost | (0.5292, 0.6292, 0.6708, 0.7708) |
| C13 | Investment payback period | (0.5083, 0.6083, 0.6667, 0.75) |
| A1 | A2 | A3 | A4 | A5 | A6 | |
|---|---|---|---|---|---|---|
| C1 | (9.7, 9.7, 9.9, 9.9) | (9.5, 9.7, 9.7619, 9.9) | (9.3989, 9.5989, 9.7, 9.9) | (8.832, 9.1, 9.332, 9.5) | (9.1328, 9.3, 9.5, 9.633) | (9.1, 9.3, 9.5, 9.6674) |
| C2 | (7.2121, 8.2121, 8.4242, 9.2121) | (7.7878, 8.7878, 9.5757, 9.7878) | (6.7458, 7.7458, 8.3291, 9.0250) | (2.4102, 3.4102, 4.2051, 5.2051) | (5.2916, 6.2916, 6.7083, 7.7083) | (2.2916, 3.2916, 3.7083, 4.7083) |
| C3 | (4.2051, 5.2051, 5.4102, 6.4102) | (7, 8, 8, 9) | (1.7948, 2.7948, 3.5897, 4.5897) | (5.2916, 6.2916, 6.7083, 7.7083) | (4.2051, 5.2051, 5.4102, 6.4102) | (2.2916, 3.2916, 3.7083, 4.7083) |
| C4 | (5, 6, 7, 8) | (4.2051, 5.2051, 5.4102, 6.4102) | (7, 8, 8, 9) | (7.2121, 8.2121, 8.4242, 9.2121) | (6.5897, 7.5897, 7.7948, 8.7948) | (6.5897, 7.5897, 7.7948, 8.7948) |
| C5 | (8, 9, 10, 10) | (8, 9, 10, 10) | (8, 9, 10, 10) | (8, 9, 10, 10) | (5.4102, 6.4102, 7.2051, 8.2051) | (4.2051, 5.2051, 5.4102, 6.4102) |
| C6 | (2.4102, 3.4102, 4.2051, 5.2051) | (1.2051, 2.2051, 2.4102, 3.4102) | (1.2051, 2.2051, 2.4102, 3.4102) | (4.2051, 5.2051, 5.4102, 6.4102) | (7, 8, 8, 9) | (8, 9, 10, 10) |
| C7 | (55, 55, 55, 55) | (37, 37, 37, 40) | (25, 30, 30, 40) | (22, 22, 23, 30) | (25, 33, 33, 34) | (23, 23, 28, 28) |
| C8 | (45, 45, 45, 45) | (23, 30, 30, 41) | (20, 40, 40, 60) | (25, 30, 30, 39) | (20, 40, 40, 60) | (40, 40, 40, 40) |
| C9 | (1,640,242.1533, 1,822,491.2815, 1,937,563.0351, 2,131,319.3386) | (5,238,928.8334, 6,196,470.3571, 6,322,907.4134, 7,246,485.7514) | (6,389,788.3162, 7,562,593.1408, 7,800,262.6849, 9,122,046.7694) | (2,080,698.7304, 2,528,038.6844, 2,727,123.918, 3,163,902.119) | (4,053,106.5539, 4,754,346.315, 5,067,722.0088, 5,812,423.8934) | (4,604,641.8894, 5,461,073.4699, 5,821,032.0371, 6,747,564.3523) |
| C10 | (3150, 3500, 3500, 3850) | (10,800, 12,000, 12,000, 13,200) | (13,482, 14,980, 14,980, 16,478) | (5400, 6000, 6000, 6600) | (9409.5, 10455, 10,455, 11,500.5) | (10,800, 12,000, 12,000, 13,200) |
| C11 | (4032, 4480, 4480, 4928) | (13,824, 15,360, 15,360, 16,896) | (17,257, 19,174, 19,174, 21,092) | (6912, 7680, 7680, 8448) | (12,044, 13,382, 13,382, 14,721) | (13,824, 15,360, 15,360, 16,896) |
| C12 | (5670, 6300, 6300, 6930) | (19,440, 21,600, 21,600, 23,760) | (24,267.6, 26,964, 26,964, 29,660.4) | (9720, 10,800, 10,800, 11,880) | (16,937.1, 18,819, 18,819, 20,700.9) | (19,440, 21,600, 21,600, 23,760) |
| C13 | (6.0876, 7.9723, 8.9331, 12.1864) | (6.0291, 8.5276, 8.844, 13.6436) | (5.9282, 8.5804, 9.0987, 14.3181) | (6.736, 9.6587, 11.1171, 18.4928) | (6.4873, 9.0957, 10.2415, 15.7972) | (6.3784, 9.0888, 10.2337, 16.2075) |
| Alternative | A1 | A2 | A3 | A4 | A5 | A6 |
|---|---|---|---|---|---|---|
| 0.3645 | 0.4726 | 0.4877 | 0.4034 | 0.4534 | 0.4323 | |
| Rank | 6 | 2 | 1 | 5 | 3 | 4 |
| Class of assessment status | II | III | III | III | III | III |
Publisher’s Note: MDPI stays neutral with regard to jurisdictional claims in published maps and institutional affiliations. |
© 2021 by the author. Licensee MDPI, Basel, Switzerland. This article is an open access article distributed under the terms and conditions of the Creative Commons Attribution (CC BY) license (http://creativecommons.org/licenses/by/4.0/).
Share and Cite
Ziemba, P. Multi-Criteria Fuzzy Evaluation of the Planned Offshore Wind Farm Investments in Poland. Energies 2021, 14, 978. https://doi.org/10.3390/en14040978
Ziemba P. Multi-Criteria Fuzzy Evaluation of the Planned Offshore Wind Farm Investments in Poland. Energies. 2021; 14(4):978. https://doi.org/10.3390/en14040978
Chicago/Turabian StyleZiemba, Paweł. 2021. "Multi-Criteria Fuzzy Evaluation of the Planned Offshore Wind Farm Investments in Poland" Energies 14, no. 4: 978. https://doi.org/10.3390/en14040978
APA StyleZiemba, P. (2021). Multi-Criteria Fuzzy Evaluation of the Planned Offshore Wind Farm Investments in Poland. Energies, 14(4), 978. https://doi.org/10.3390/en14040978

