A New Estimate of Sand and Grout Thermal Properties in the Sandbox Experiment for Accurate Validations of Borehole Simulation Codes
Abstract
1. Introduction
2. The Sandbox Experiment
3. Estimation Method and Results
- The measurements of temperature and of the thermal power released to the BHE are precise. This assumption is based on the accuracies declared in Reference [35] and on the nearly perfect agreement between the value of thermal power released to the BHE determined by measurements of voltage and current and that determined by the energy balance equation in the fluid, in quasi-stationary working conditions. The discrepancy between the mean values of these quantities, in the time period between 1200 min and the end of the TRT, is lower than 0.5%.
- The most probable positions of the U-tube pipes are those declared by the authors [35], with axes of the U-tube pipes and axis of the aluminum tube laying in the same horizontal plane, and a shank spacing 5.3 cm. Indeed, the BHE was only 18.32 m long, and spacings were inserted to ensure that the distance between the pipes and the distance between the outer surface of the pipes and the BHE wall were uniform [35].
- Since the U-tube is very short, the bulk fluid temperature along the flow can be considered as a linear function of the distance from the inlet section. Therefore, the mean fluid temperature in the whole U-tube, Tfm, that in the inlet tube, T1, and that in the outlet tube, T2, can be evaluated aswhere Tin is the inlet temperature and Tout is the outlet temperature.
- There may be a significant discrepancy between the value of the grout thermal conductivity, kg, measured in Reference [35] and the real value, because the measurement was performed in a sample of the grout placed in a container and allowed to cure. The BHE grout, initially prepared in the same way, may have absorbed water from the surrounding wet sand, and an increase in water content may have produced an increase in kg with respect to the measured value.
3.1. Preliminary Estimate of kg, with ks = 2.82 W/(mK)
3.2. Preliminary Estimate of the Thermal Diffusivity of the Sand, αs
3.3. Preliminary Estimate of ks
3.4. Estimate of kg, with ks = 3.18 W/(mK)
3.5. Estimate of the Time Evolution of the Temperature Distribution along the BHE Surface
3.6. Estimate of αs with Non-Uniform Temperature Rise of the BHE Surface
3.7. Estimate of ks with the Values of kg and αs Determined Previously
3.8. Estimate of (ρ c)g
4. Validation of the Simulation Codes
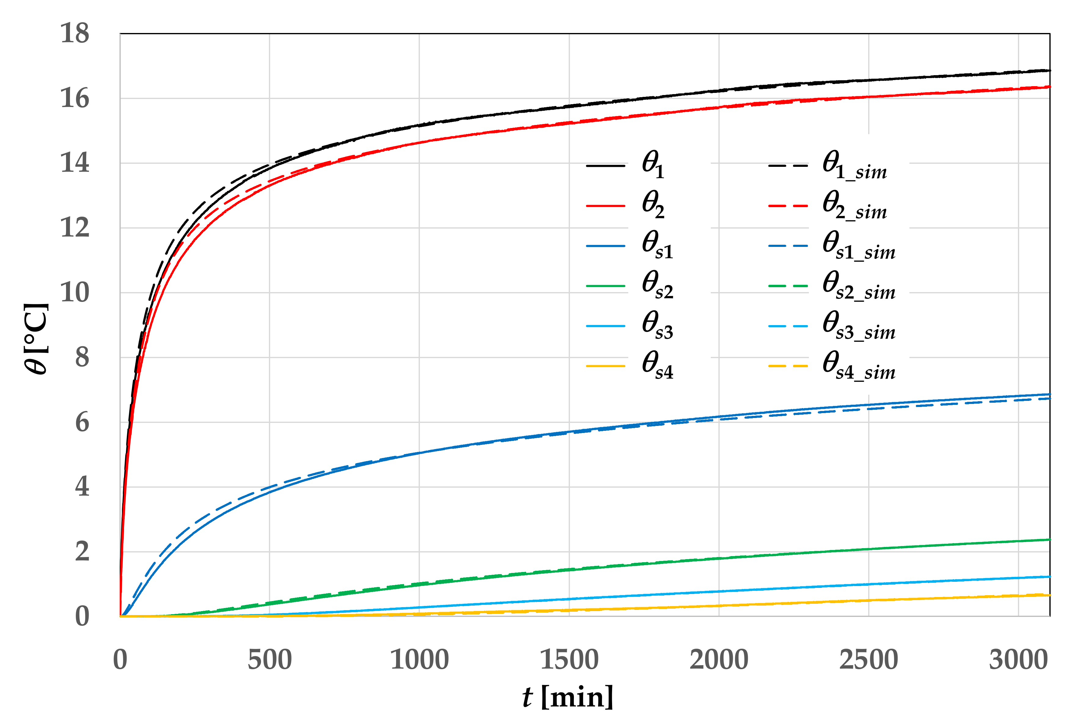
5. Validation of the Estimate by 3D Simulations
6. Conclusions
Author Contributions
Funding
Institutional Review Board Statement
Informed Consent Statement
Data Availability Statement
Acknowledgments
Conflicts of Interest
Nomenclature
| BHE | borehole heat exchanger |
| C | heat capacity (J K–1) |
| cp | specific heat capacity at constant pressure (J kg–1K–1) |
| FLS | finite line-source |
| GCHP | ground-coupled heat pump |
| GSHP | ground-source heat pump |
| GWHP | ground-water heat pump |
| h | convection coefficient (W m–2K–1) |
| ICMCS | infinite composite-medium cylindrical source |
| ICMLS | infinite composite-medium line-source |
| ILS | infinite line-source |
| k | thermal conductivity (W m–1K–1) |
| mass flow rate (kg s–1) | |
| Nu | Nusselt number |
| OMEC | one-material equivalent cylinder |
| Pr | Prandtl number |
| thermal power (W) | |
| qb | heat flux per unit length supplied to the borehole (W m–1) |
| qg | heat generation term (W m–3) |
| r | radius (m) |
| r0 | radius of the heat generating surface (m) |
| Rb | borehole thermal resistance (m K W–1) |
| Rb1 | modified borehole thermal resistance defined in Equation (2) (m K W–1) |
| Re | Reynolds number |
| RMSD | root mean square deviation |
| S1, …, S5 | temperature sensors in the sand |
| SWHP | surface-water heat pump |
| t | time (s) |
| T | temperature (K) or (°C) |
| TRCM | thermal resistance capacity model |
| TRT | thermal response test |
| volume flow rate (m3 s–1) | |
| x | horizontal coordinate (m) |
| Greek symbols | |
| α | thermal diffusivity (m2 s−1) |
| (ρ c) | specific heat capacity per unit volume (J m–3 K–1) |
| φ | angular coordinate in Equation (7) (rad) |
| ψ | angle along the upper part of the BHE surface (degrees) |
| Subscripts | |
| 1 | of the inlet pipe |
| 2 | of the outlet pipe |
| 30.5 | for r = 30.5 cm |
| 100 | for t = 100 min |
| approx | approximate |
| b | of borehole, of the borehole surface |
| eff | effective |
| fin | at the final instant |
| fm | mean of the fluid |
| g | of grout |
| in | inlet |
| out | outlet |
| p | of polyethylene |
| s | of sand |
| s0 | at the top of the borehole external surface |
| S1, …, S5 | of sensor S1, …, S5 |
| w | of water |
References
- Lund, J.W.; Toth, A.N. Direct utilization of geothermal energy 2020 worldwide review. Geothermics 2021, 90, 101915. [Google Scholar] [CrossRef]
- Yang, H.; Cui, P.; Fang, Z. Vertical-borehole ground-coupled heat pumps: A review of models and systems. Appl. Energy 2010, 87, 16–27. [Google Scholar] [CrossRef]
- Muela Maya, S.; García-Gil, A.; Garrido Schneider, E.; Mejías Moreno, M.; Epting, J.; Vázquez-Suñé, E.; Marazuela, M.Á.; Sánchez-Navarro, J.Á. An upscaling procedure for the optimal implementation of open-loop geothermal energy systems into hydrogeological models. J. Hydrol. 2018, 563, 155–166. [Google Scholar] [CrossRef]
- García-Gil, A.; Muela Maya, S.; Garrido Schneider, E.; Mejías Moreno, M.; Vázquez-Suñé, E.; Marazuela, M.Á.; Lázaro, J.M.; Sánchez-Navarro, J.Á. Sustainability indicator for the prevention of potential thermal interferences between groundwater heat pump systems in urban aquifers. Renew. Energy 2019, 134, 14–24. [Google Scholar] [CrossRef]
- García-Gil, A.; Abesser, C.; Gasco Cavero, S.; Marazuela, M.Á.; Lázaro, J.M.; Vázquez-Suñé, E.; Hughes, A.G.; Mejías Moreno, M. Defining the exploitation patterns of groundwater heat pump systems. Sci. Total Environ. 2020, 710, 136425. [Google Scholar] [CrossRef]
- García-Gil, A.; Mejías Moreno, M.; Garrido Schneider, E.; Marazuela, M.Á.; Abesser, C.; Mateo Lázaro, J.; Sánchez Navarro, J.Á. Nested Shallow Geothermal Systems. Sustainability 2020, 12, 5152. [Google Scholar] [CrossRef]
- Mitchell, M.S.; Spitler, J.D. Open-loop direct surface water cooling and surface water heat pump systems—A review. HvacR Res. 2013, 19, 125–140. [Google Scholar] [CrossRef]
- Zhang, C.; Guo, Z.; Liu, Y.; Cong, X.; Peng, D. A review on thermal response test of ground-coupled heat pump systems. Renew. Sustain. Energy Rev. 2014, 40, 851–867. [Google Scholar] [CrossRef]
- Carotenuto, A.; Ciccolella, M.; Massarotti, N.; Mauro, A. Models for thermo-fluid dynamic phenomena in low enthalpy geothermal energy systems: A review. Renew. Sustain. Energy Rev. 2016, 60, 330–355. [Google Scholar] [CrossRef]
- Claesson, J.; Eskilson, P. Conductive Heat Extraction by a Deep Borehole, Analytical Studies; Technical Report; Lund University: Lund, Sweden, 1987. [Google Scholar]
- Zeng, H.Y.; Diao, N.R.; Fang, Z.H. A finite line-source model for boreholes in geothermal heat exchangers. Heat Transf. Asian Res. 2002, 31, 558–567. [Google Scholar] [CrossRef]
- Lamarche, L.; Beauchamp, B. A new contribution to the finite line-source model for geothermal boreholes. Energy Build. 2007, 39, 188–198. [Google Scholar] [CrossRef]
- Bandos, T.V.; Montero, A.; Fernandez, E.; Santander, J.L.G.; Isidro, J.M.; Perez, J.; Fernandez de Cordoba, P.J.; Urchueguía, J.F. Finite line-source model for borehole heat exchangers: Effect of vertical temperature variations. Geothermics 2009, 38, 263–270. [Google Scholar] [CrossRef]
- Claesson, J.; Javed, S. An analytical method to calculate borehole fluid temperatures for time-scales from minutes to decades. Ashrae Trans. 2011, 117, 279–288. [Google Scholar]
- De Carli, M.; Tonon, M.; Zarrella, A.; Zecchin, R. A computational capacity resistance model (CaRM) for vertical ground-coupled heat exchangers. Renew. Energy 2010, 35, 1537–1550. [Google Scholar] [CrossRef]
- Zarrella, A.; Scarpa, M.; De Carli, M. Short time step analysis of vertical ground-coupled heat exchangers: The approach of CaRM. Renew. Energy 2011, 36, 2357–2367. [Google Scholar] [CrossRef]
- Bauer, D.; Heidemann, W.; Müller-Steinhagen, H.; Diersch, H.-J.G. Thermal resistance and capacity models for borehole heat exchangers. Int. J. Energy Res. 2011, 35, 312–320. [Google Scholar] [CrossRef]
- Pasquier, P.; Marcotte, D. Short-term simulation of ground heat exchanger with an improved TRCM. Renew. Energy 2012, 46, 92–99. [Google Scholar] [CrossRef]
- Pasquier, P.; Marcotte, D. Joint use of quasi-3D response model and spectral method to simulate borehole heat exchanger. Geothermics 2014, 51, 281–299. [Google Scholar] [CrossRef]
- Ruiz-Calvo, F.; De Rosa, M.; Acuña, J.; Corberán, J.M.; Montagud, C. Experimental validation of a short-term Borehole-to-Ground (B2G) dynamic model. Appl. Energy 2015, 140, 210–223. [Google Scholar] [CrossRef]
- Mineai, A.; Maerefat, M. Thermal resistance capacity model for short-term borehole heat exchanger simulation with non-stiff ordinary differential equations. Geothermics 2017, 70, 260–270. [Google Scholar] [CrossRef]
- Li, M.; Lai, A.C.K. New temperature response functions (G functions) for pile and borehole ground heat exchangers based on composite-medium line-source theory. Energy 2012, 38, 255–263. [Google Scholar] [CrossRef]
- Li, M.; Lai, A.C.K. Analytical model for short-time responses of ground heat exchangers with U-shaped tubes: Model development and validation. Appl. Energy 2013, 104, 510–516. [Google Scholar] [CrossRef]
- Zhang, L.; Zhang, Q.; Huang, G. A transient quasi-3D entire time scale line source model for the fluid and ground temperature prediction of vertical ground heat exchangers (GHEs). Appl. Energy 2016, 170, 65–75. [Google Scholar] [CrossRef]
- Beier, R.A.; Smith, M.D. Minimum duration of in-situ tests on vertical boreholes. Ashrae Trans. 2003, 109, 475–486. [Google Scholar]
- Xu, X.; Spitler, J.D. Modeling of vertical ground loop heat exchangers with variable convective resistance and thermal mass of the fluid. In Proceedings of the 10th International Conference on Thermal Energy Storage (Ecostock 2006), Pomona, NJ, USA, 31 May–2 June 2006. [Google Scholar]
- Man, Y.; Yang, H.; Diao, N.; Liu, J.; Fang, Z. A new model and analytical solutions for borehole and pile ground heat exchangers. Int. J. Heat Mass Transf. 2010, 53, 2593–2601. [Google Scholar] [CrossRef]
- Bandyopadhyay, G.; Gosnold, W.; Mann, M. Analytical and semi-analytical solutions for short-time transient response of ground heat exchangers. Energy Build. 2008, 40, 1816–1824. [Google Scholar] [CrossRef]
- Javed, S.; Claesson, J. New analytical and numerical solutions for the short-term analysis of vertical ground heat exchangers. Ashrae Trans. 2011, 117, 3–12. [Google Scholar]
- Beier, R.A. Transient heat transfer in a U-tube borehole heat exchanger. Appl. Therm. Eng. 2014, 62, 256–266. [Google Scholar] [CrossRef]
- Lamarche, L. Short-time analysis of vertical boreholes, new analytic solutions and choice of equivalent radius. Int. J. Heat Mass Transf. 2015, 91, 800–807. [Google Scholar] [CrossRef]
- Naldi, C.; Zanchini, E. A one-material cylindrical model to determine short- and long-term fluid-to-ground response factors of single U-tube borehole heat exchangers. Geothermics 2020, 86, 101811. [Google Scholar] [CrossRef]
- Naldi, C.; Zanchini, E. Full-Time-Scale Fluid-to-Ground Thermal Response of a Borefield with Uniform Fluid Temperature. Energies 2019, 12, 3750. [Google Scholar] [CrossRef]
- Naldi, C.; Zanchini, E. A new numerical method to determine isothermal g-functions of borehole heat exchanger fields. Geothermics 2019, 77, 278–287. [Google Scholar] [CrossRef]
- Beier, R.A.; Smith, M.D.; Spitler, J.D. Reference data sets for vertical borehole ground heat exchanger models and thermal response test analysis. Geothermics 2011, 40, 79–85. [Google Scholar] [CrossRef]
- Boockmeyer, A.; Bauer, S. Efficient simulation of multiple borehole heat exchanger storage sites. Environ. Earth Sci. 2016, 75, 1021. [Google Scholar] [CrossRef]
- Doherty, J. Calibration and Uncertainty Analysis for Complex Environmental Models. PEST: Complete Theory and What It Means for Modelling the Real World; Watermark Numerical Computing: Brisbane, Australia, 2015. [Google Scholar]
- Ma, W.; Li, M.; Li, P.; Lai, A.C.K. New quasi-3D model for heat transfer in U-shaped GHEs (ground heat exchangers): Effective overall thermal resistance. Energy 2015, 90, 578–587. [Google Scholar] [CrossRef]
- Zhu, L.; Chen, S.; Yang, Y.; Sun, Y. Transient heat transfer performance of a vertical double U-tube borehole heat exchanger under different operation conditions. Renew. Energy 2019, 131, 494–505. [Google Scholar] [CrossRef]
- Lei, X.; Zheng, X.; Duan, C.; Ye, J.; Liu, K. Three-Dimensional Numerical Simulation of Geothermal Field of Buried Pipe Group Coupled with Heat and Permeable Groundwater. Energies 2019, 12, 3698. [Google Scholar] [CrossRef]
- Tombarević, E.; Vušanović, I. Experimental Validation of a Quasy-3D CVFEM Model of Borehole Heat Exchangers. In Proceedings of the 4th International Conference on Computational Methods for Thermal Problems (THERMACOMP2016), Atlanta, GA, USA, 6–8 July 2016. [Google Scholar]
- Rhode, D.; Andresen, T.; Nord, N. Analysis of an integrated heating and cooling system for a building complex with focus on long–term thermal storage. Appl. Therm. Eng. 2018, 145, 791–803. [Google Scholar] [CrossRef]
- Brussieux, Y.; Bernier, M. Universal short time g*-functions: Generation and application. Sci. Technol. Built Environ. 2019, 25, 993–1006. [Google Scholar] [CrossRef]
- Cherati, D.Y.; Ghasemi-Fare, O. Analyzing transient heat and moisture transport surrounding a heat source in unsaturated porous media using the Green’s function. Geothermics 2019, 81, 224–234. [Google Scholar] [CrossRef]
- Li, W.; Dong, J.; Wang, Y.; Tu, J. Numerical modeling of thermal response of a ground heat exchanger with single U-shaped tube. Sci. Technol. Built Environ. 2019, 25, 525–533. [Google Scholar] [CrossRef]
- Wang, C.L.; Li, H.; Huang, Z.J.; Lu, Y.H.; Huang, X.J.; Gan, L. A new heat transfer model for single U-pipe ground heat exchanger. Appl. Therm. Eng. 2019, 154, 400–406. [Google Scholar] [CrossRef]
- Wang, C.; Li, H.; Huang, Z.; Lu, Y.; Tang, G. An improved infinite composite-medium cylindrical source model for single U-tube ground heat exchanger. IOP Conf. Series Earth Environ. Sci. 2019, 238, 012010. [Google Scholar] [CrossRef]
- Zhang, L.; Chen, J.; Wang, J.; Huang, G. Estimation of soil and grout thermal properties for ground-coupled heat pump systems: Development and application. Appl. Therm. Eng. 2018, 143, 112–122. [Google Scholar] [CrossRef]
- Zhang, L.; Luo, X.; Huang, G.; Zhang, Q. Comparative analysis of U-pipe location on the sizing of borehole heat exchangers. Appl. Therm. Eng. 2019, 150, 666–673. [Google Scholar] [CrossRef]
- Zhang, L.; Liu, G.; Li, M. Estimation of thermal properties of the ground and backfilling materials from thermal response tests (TRTs) using ground heat exchangers. Energy Procedia 2019, 158, 91–96. [Google Scholar] [CrossRef]
- Churchill, S.W. Comprehensive correlating equations for heat, mass and momentum transfer in fully developed flow in smooth tubes. Ind. Eng. Chem. Fundam. 1977, 16, 109–116. [Google Scholar] [CrossRef]
- NIST Chemistry WebBook. Available online: https://webbook.nist.gov/chemistry/fluid/ (accessed on 18 December 2020).
- Zanchini, E.; Jahanbin, A. Correlations to determine the mean fluid temperature of double-U-tube borehole heat exchangers with a typical geometry. Appl. Energy 2017, 206, 1406–1415. [Google Scholar] [CrossRef]
- Zanchini, E.; Lazzari, S.; Priarone, A. Improving the thermal performance of coaxial borehole heat exchangers. Energy 2010, 35, 657–666. [Google Scholar] [CrossRef]
- Zanchini, E.; Jahanbin, A. Effects of the temperature distribution on the thermal resistance of double U-tube borehole heat exchangers. Geothermics 2018, 71, 46–54. [Google Scholar] [CrossRef]
- Jahanbin, A.; Naldi, C.; Zanchini, E. Relation between mean fluid temperature and outlet temperature for single U-tube boreholes. Energies 2020, 13, 828. [Google Scholar] [CrossRef]

















| Flow Rate [L/s] | Re | Pr | Nu | h [W/(m2K)] |
|---|---|---|---|---|
| 0.197 | 11,460 | 5.4147 | 86.533 | 1948.8 |
| Mesh | Elements | t = 1500 min | t = 3106 min | ||||
|---|---|---|---|---|---|---|---|
| θs2 °C | θs3 °C | θs4 °C | θs2 °C | θs3 °C | θs4 °C | ||
| 1 | 1130 | 1.4529 | 0.5096 | 0.1592 | 2.4186 | 1.2300 | 0.6676 |
| 2 | 4520 | 1.4542 | 0.5105 | 0.1592 | 2.4198 | 1.2308 | 0.6676 |
| 3 | 18,080 | 1.4541 | 0.5104 | 0.1592 | 2.4198 | 1.2308 | 0.6676 |
| 4 | 72,320 | 1.4541 | 0.5104 | 0.1592 | 2.4198 | 1.2307 | 0.6676 |
| Adopted | 28,320 | 1.4541 | 0.5105 | 0.1593 | 2.4198 | 1.2308 | 0.6676 |
| Mesh | Elements | t = 1500 min | t = 3106 min | ||||
|---|---|---|---|---|---|---|---|
| θ1 °C | θ2 °C | θs1 °C | θ1 °C | θ2 °C | θs1 °C | ||
| 1 | 5472 | 15.7905 | 15.2773 | 5.6623 | 16.9054 | 16.3921 | 6.7453 |
| 2 | 21,888 | 15.7912 | 15.2780 | 5.6626 | 16.9061 | 16.3928 | 6.7456 |
| 3 | 87,552 | 15.7912 | 15.2780 | 5.6626 | 16.9062 | 16.3929 | 6.7456 |
| Adopted | 52,152 | 15.7912 | 15.2780 | 5.6626 | 16.9062 | 16.3929 | 6.7456 |
Publisher’s Note: MDPI stays neutral with regard to jurisdictional claims in published maps and institutional affiliations. |
© 2021 by the authors. Licensee MDPI, Basel, Switzerland. This article is an open access article distributed under the terms and conditions of the Creative Commons Attribution (CC BY) license (http://creativecommons.org/licenses/by/4.0/).
Share and Cite
Naldi, C.; Jahanbin, A.; Zanchini, E. A New Estimate of Sand and Grout Thermal Properties in the Sandbox Experiment for Accurate Validations of Borehole Simulation Codes. Energies 2021, 14, 1149. https://doi.org/10.3390/en14041149
Naldi C, Jahanbin A, Zanchini E. A New Estimate of Sand and Grout Thermal Properties in the Sandbox Experiment for Accurate Validations of Borehole Simulation Codes. Energies. 2021; 14(4):1149. https://doi.org/10.3390/en14041149
Chicago/Turabian StyleNaldi, Claudia, Aminhossein Jahanbin, and Enzo Zanchini. 2021. "A New Estimate of Sand and Grout Thermal Properties in the Sandbox Experiment for Accurate Validations of Borehole Simulation Codes" Energies 14, no. 4: 1149. https://doi.org/10.3390/en14041149
APA StyleNaldi, C., Jahanbin, A., & Zanchini, E. (2021). A New Estimate of Sand and Grout Thermal Properties in the Sandbox Experiment for Accurate Validations of Borehole Simulation Codes. Energies, 14(4), 1149. https://doi.org/10.3390/en14041149
