Heat Transfer in Highly Turbulent Separated Flows: A Review
Abstract
1. Introduction
2. Heat and Mass Transfer and Friction in a Strong Turbulated Flow around a Flat Plate
2.1. Transport Processes in a Laminar Boundary Layer in a Flow with Intense Velocity Pulsations
2.2. Effect of External Turbulence on Laminar-Turbulent Transition
2.3. Friction and Heat Transfer in the Turbulent Boundary Layer at an Increased Level of Turbulence of the External Flow
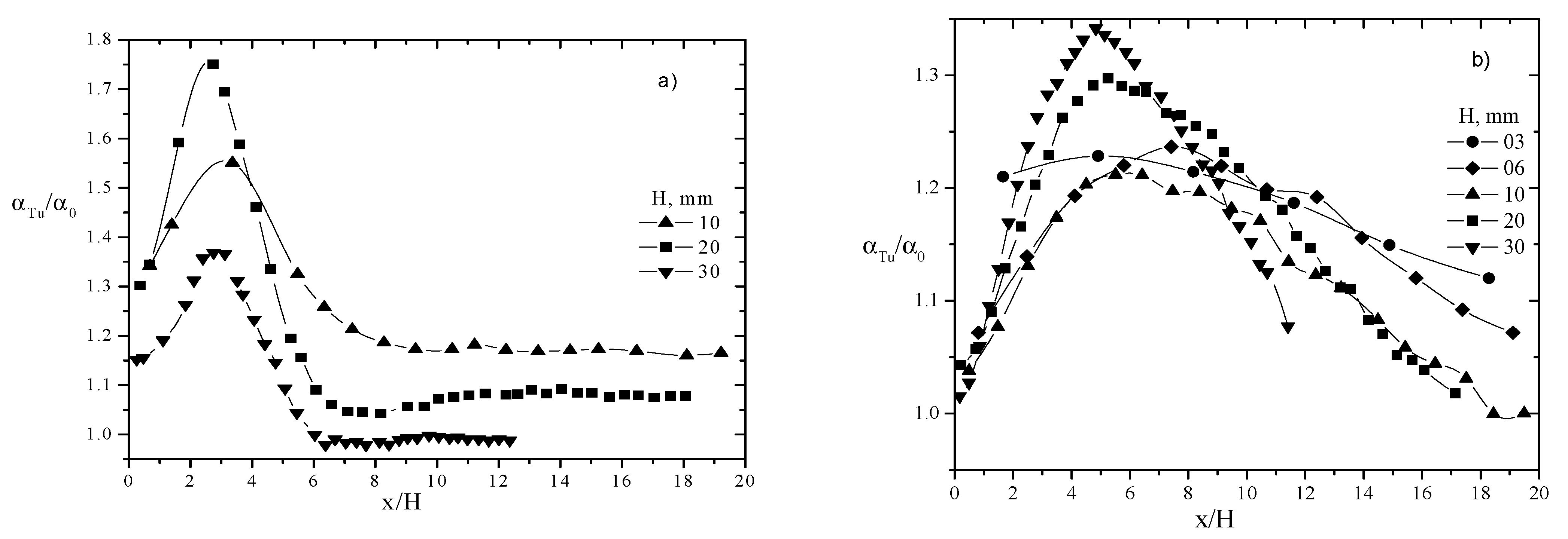
2.4. Effect of Increased Turbulence on the Transfer Processes Near a Porous Surface
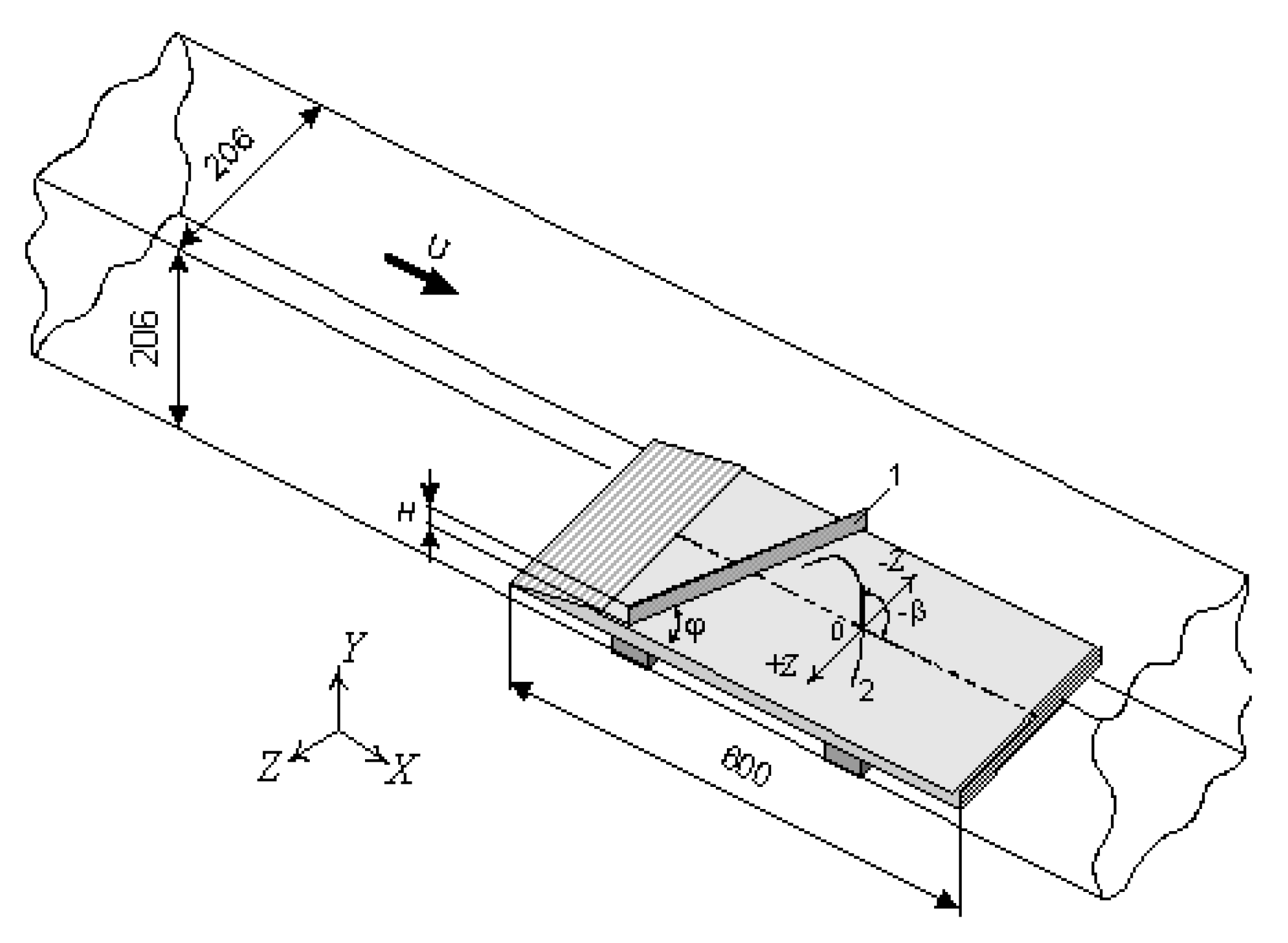
3. Highly-Turbulent Flow around a Backward-Facing Step and a Single Rib
3.1. Dimensions of Separation Zone in a Turbulized Flow
3.1.1. Flowing around Backward-Facing Steps
3.1.2. Flowing around Single Ribs
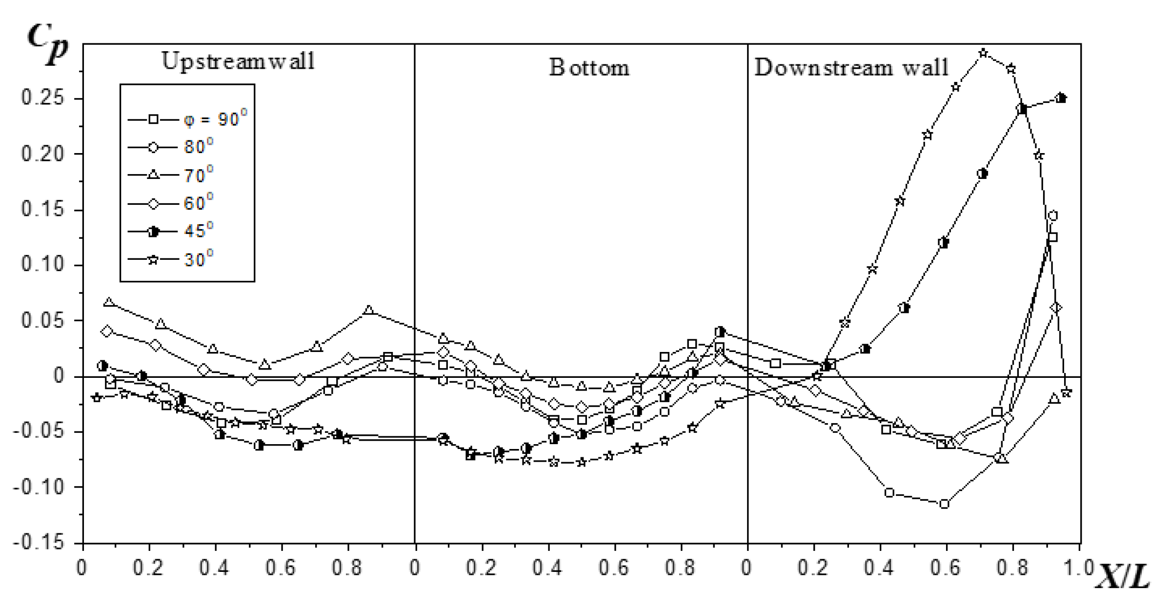
3.2. Pressure Fields behind Single Rib and Step
3.3. Temperature Profiles behind Single Obstacles
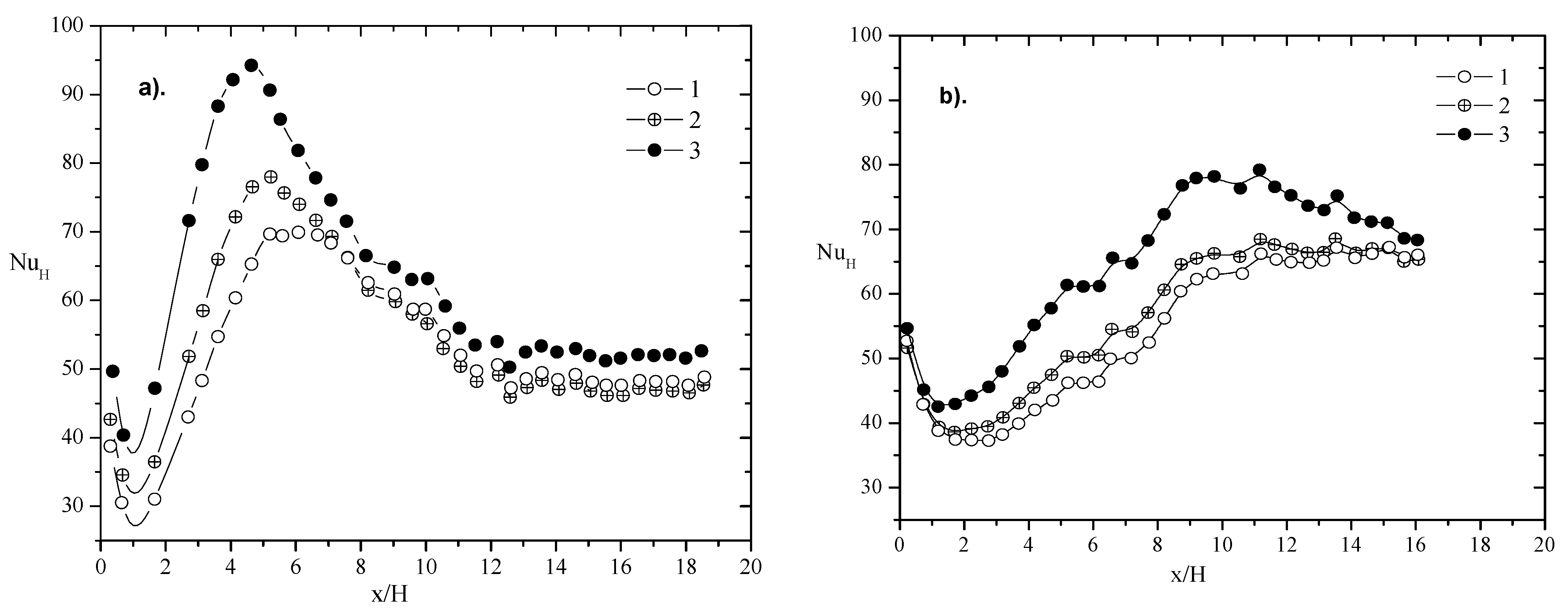
3.4. Heat Transfer Enhancement
4. Flow and Heat Transfer behind an Inclined Rib at High Turbulence
5. Heat Transfer in a Cavity during Flow Turbulization
6. Heat Transfer in the Ribs System
7. High-Turbulent Flow around a Cylinder
7.1. Features of the Flow around a Circular Cylinder
7.2. Flow around a Circular Cylinder with Increased Turbulence of the External Flow
7.3. Heat Transfer in a Turbulized Flow around a Cylinder
8. Conclusions
Funding
Conflicts of Interest
Nomenclature
| Cp = 2(pi − p0)/ρ2 | pressure coefficient |
| dimensionless pressure coefficient | |
| H | obstacle height, m |
| L | dividing line length, m |
| L = | |
| Nu | Nusselt number, Nu = α H/λ |
| P | pressure, Pa |
| Pr | Prandtl number |
| Re | Reynolds number; |
| ReH = H/ν | |
| Tu0 | the degree of turbulence of the main stream, |
| main stream velocity, m/c | |
| x | longitudinal coordinate, m |
| XR | coordinate of the attachment point separated flow |
| α | heat transfer coefficient, W/m2K |
| ϕ | the angle of orientation of the obstacle to the flow or the angle of inclination of the side walls of the trench or step, degrees |
| λ | coefficient of thermal conductivity, W/mK |
| ν | kinematic viscosity, m2/c |
| Indices: | |
| 0 | conditions in the main stream or with natural turbulence |
| max | maximum value |
| min | minimum value |
| w | wall |
References
- Alemasov, V.E.; Glebov, G.A.; Kozlov, A.P. Thermoanemometry Methods for Investigation of Separation Flows; Branch of the USSR Academy of Sciences: Kazan, Russia, 1990. (In Russian) [Google Scholar]
- Dyban, E.P.; Epik, E.Y. Heat Mass Transfer and Hydrodynamics of Turbulized Flows; Naukova Dumka: Kyiv, Ukraine, 1985. (In Russian) [Google Scholar]
- Blair, M.F. Influence of free-stream turbulence on turbulent boundary layer heat transfer and mean profile development, part II-Analysis of the results. J. Heat Transf. 1983, 105, 41–47. [Google Scholar] [CrossRef]
- Simonich, J.C.; Bradshaw, P. Effect of free-stream turbulence on heat transfer through a turbulent boundary layer. J. Heat Transf. 1978, 100, 671–677. [Google Scholar] [CrossRef]
- Hancock, P.E.; Bradshaw, P. The effect of free-stream turbulence on turbulent boundary layers. J. Fluid Eng. 1983, 105, 284–289. [Google Scholar] [CrossRef]
- Peneau, F.; Boisson, H.C.; Djilali, N. Large eddy simulation of the influence of high free-stream turbulence on a spatially evolving boundary layer. Int. J. Heat Fluid Flow. 2000, 21, 640–647. [Google Scholar] [CrossRef]
- Junkhan, G.H.; Serovy, G.K. Effects of free-stream turbulence and pressure gradient on flat-plate boundary-layer velocity profiles and on heat transfer. J. Heat Transf. 1967, 89, 169–176. [Google Scholar] [CrossRef]
- Kestin, J.; Maeder, P.F.; Wang, H.E. Influence of turbulence on the transfer of heat from plates with and without a pressure gradient. Int. J. Heat Mass Transf. 1961, 3, 133–154. [Google Scholar] [CrossRef]
- Kondjoyan, A.; Peneau, F.; Boisson, H.C. Effect of high free stream turbulence on heat transfer between plates and air flows: A review of existing experimental resultants. Int. J. Therm. Sci. 2002, 41, 1–16. [Google Scholar] [CrossRef]
- Thole, K.A.; Bogard, D.G. High freestream turbulence effects on turbulent boundary layers. J. Fluids Eng. 1996, 118, 276–284. [Google Scholar] [CrossRef]
- Young, C.D.; Han, J.C.; Huang, Y.; Rivir, R.B. Influence of jet-grid turbulence on a flat plate turbulent boundary layer flow and heat transfer. J. Heat Transf. 1992, 114, 65–72. [Google Scholar] [CrossRef]
- Maciejewski, P.K.; Moffat, R.J. Heat transfer with very free stream turbulence: Part I—Experimental data. J. Heat Transf. 1992, 114, 827–833. [Google Scholar] [CrossRef]
- Maciejewski, P.K.; Moffat, R.J. Heat transfer with very high free-stream turbulence. Part II—Analysis of results. J. Heat Transf. 1992, 114, 834–839. [Google Scholar] [CrossRef]
- MacMullin, R.; Elrod, W.; Rivir, R.B. Free-stream turbulence from a circular jet on flat plate heat transfer and boundary layer flow. J. Turbomachin. 1989, 111, 78–86. [Google Scholar] [CrossRef]
- Boyarshinov, B.F. Some characteristics of heat and mass transfer in a turbulent air flow over a surface. J. Appl. Mech. Technol. Phys. 2000, 11, 686–691. [Google Scholar] [CrossRef]
- Boyarshinov, B.F.; Titkov, V.I. Effect of free-stream turbulence on the boundary-layer structure with diffusion combustion of ethanol. J. Appl. Mech. Techn. Phys. 2001, 42, 972–978. [Google Scholar] [CrossRef]
- Epik, E.Y.; Grigorenko, V.A. Heat transfer at occurrence of the bypass transition. In Proceedings of the 2nd Russian National Conference on Heat Transfer, Moscow, Russia, 26–30 October 1998; MPEI: Moscow, Russia, 1998; Volume 2, pp. 278–281. (In Russian). [Google Scholar]
- Mironov, B.P.; Vasechkin, V.N.; Mamonov, V.N.; Yarygina, N.I. Transport processes in turbulent boundary layer under high level free stream turbulence. Struct. Turbul. Heat Mass Transf. 1982, 14, 221–243. [Google Scholar]
- Lebedev, V.P.; Lemanov, V.V.; Misyura, S.Y.; Terekhov, V.I. Effects of flow turbulence on film cooling efficiency. Int. J. Heat Mass Transf. 1995, 38, 2117–2125. [Google Scholar] [CrossRef]
- Leontiev, A.I.; Lebedev, V.P. (Eds.) Thermal Protection of Plasmatron Walls; Institute of Thermophysics: Novosibirsk, Russia, 1995; p. 336. (In Russian) [Google Scholar]
- Kutateladze, S.S.; Leontiev, A.I. Heat Transfer, Mass Transfer and Friction in Turbulent Boundary Layer; Hemisphere: New York, NY, USA, 1990. [Google Scholar]
- Dyban, E.P.; Epik, E.Y.; Yushina, L.E. Heat transfer on the surface of longitudinally streamlined bodies in the presence of closed separation and external flow turbulization. In Proceedings of the 10th International Heat Transfer Conference, Brighton, UK, 14–18 August 1994; Taylor and Francis: Abingdon, UK, 1994; Volume 3, pp. 25–30. [Google Scholar]
- Jaňour, Z.; Jonás, P. On the flow in a channel with a backward-facing step on one wall. Eng. Mech. 1994, 1, 313–320. [Google Scholar]
- Isomoto, K.; Honami, S. The effect of inlet turbulence intensity on the reattachment process over a backward-facing step. Trans. JSME 1988, B54, 51–58. [Google Scholar] [CrossRef][Green Version]
- Suzuki, Y.; Kiya, M. Effect of free-stream turbulence on separated-reattaching flows for different angles of separation. Bull. JSME 1985, 28, 1887–1892. [Google Scholar] [CrossRef]
- Terekhov, V.I.; Yarygina, N.I.; Zhdanov, R.F. Heat transfer in turbulent separated flows in the presence of high free-stream turbulence. Int. J. Heat Mass Transf. 2003, 46, 4535–4551. [Google Scholar] [CrossRef]
- Castro, I.P.; Haque, A. The structure of a shear layer bounding a separation region. Part 2. Effects of free-stream turbulence. J. Fluid Mech. 1988, 192, 577–595. [Google Scholar] [CrossRef]
- Kestin, J.; Wood, R.T. The influence of turbulence on mass transfer from cylinders. J. Heat Transf. 1971, 93, 321–326. [Google Scholar] [CrossRef]
- Szepessy, S. The effect of free stream turbulence on a circular cylinder for various aspect ratios. In Proceedings of the IUTAM Symposium “Bluff-Body Wakes, Dynamics and Instabilities”, Gottingen, Germany, 7–11 September 1992; pp. 96–100. [Google Scholar]
- Torii, S.; Yang, W.-J. Effects of the length scale of free-stream turbulence and cylinder size on local heat transfer in laminar separated flows. Exp. Heat Transf. 1993, 6, 175–187. [Google Scholar] [CrossRef]
- Maneev, A.P.; Terekhov, V.I. Specific features of heat transfer on the external surface of smoke stacks blown by wind. Therm. Eng. 2015, 62, 183–189. [Google Scholar] [CrossRef]
- Sanitjai, S.; Goldstein, R.J. Effect of free stream turbulence on local mass transfer from a circular cylinder. Int. J. Heat Mass Transf. 2001, 44, 2863–2875. [Google Scholar] [CrossRef]
- Thole, K.A.; Radomsky, R.W.; Kang, M.B.; Kohli, A. Elevated free stream turbulence effects on heat transfer for a gas turbine vane. Int. J. Heat Fluid Flow. 2002, 23, 137–147. [Google Scholar] [CrossRef]
- Zhukauskas, A.A.; Zhyugzhda, I. Heat Transfer of a Cylinder in a Cross Flow of a Liquid; Mokslas: Vilnius, Lithuania, 1979. (In Russian) [Google Scholar]
- Al-Asmi, K.; Castro, I.P. Vortex shedding in oscillatory flow: Effects of free-stream turbulence. In Proceedings of the IUTAM Symposium “Bluff-Body Wakes, Dynamics and Instabilities”, Gottingen, Germany, 7–11 September 1992; pp. 123–126. [Google Scholar]
- Terekhov, V.I.; Yarygina, N.I. Heat transfer in separated flows at high levels of free-stream turbulence. In Proceedings of the 14th International Heat Transfer Conference IHTC14, Washington, DC, USA, 8–13 August 2010; Volume 2, p. 22154. [Google Scholar]
- Kestin, J. The Effect of free-stream turbulence on heat transfer rates. Adv. Heat Transf. 1996, 3, 1–32. [Google Scholar]
- Schlichting, H.; Gersten, K. Boundary-Layer Theory, 8th ed.; Springer: Berlin/Heidelberg, Germany, 2000. [Google Scholar]
- Terekhov, V.I.; Yarygina, N.I.; Smulsky, Y.I. Turbulent separated flow behind a flat rib with different orientations relative to the flow. Ind. Heat Eng. 2006, 28, 21–26. [Google Scholar]
- Terekhov, V.I.; Yarygina, N.I.; Smulsky, Y.I. Flow over a system of several ribs under conditions of high free-stream turbulence. Thermophys. Aeromech. 2006, 13, 335–341. [Google Scholar] [CrossRef]
- Shlyazhas, R.B. Turbulent Transfer of Momentum and Heat Transfer Trough a Boundary Layer behind an Obstacle. Ph.D. Thesis, Lithuanian Energy Institute, Kaunas, Lithuania, 1984; 20p. [Google Scholar]
- Terekhov, V.I.; Yarygina, N.I.; Zhdanov, R.F. Enhancing heat transfer in separated flow behind a rib or a back step at high level of free-stream turbulence. In Proceedings of the 3rd International Symposium on Heat Transfer Enhancement and Energy Conservation, Guangzhou, China, 12–15 January 2004; Volume 1, pp. 10–17. [Google Scholar]
- Ota, T.; Sugawara, Y. Turbulent heat transfer on the separated and reattached flow around an inclined downward step. In Proceedings of the 10th International Heat Transfer Conference, Brighton, UK, 14–18 August 1994; Taylor and Francis: Abingdon, UK, 1994; Volume 3, pp. 113–118. [Google Scholar]
- Terekhov, V.I.; Yarygina, N.I.; Dyachenko, A.Y. Turbulent heat transfer in a cross flow cavity with inclined sidewalls. In Proceedings of the 12th International Heat Transfer Conference, Grenoble, France, 18–20 August 2002; Elsevier: Amsterdam, The Netherlands, 2002; Volume 2, pp. 615–621. [Google Scholar]
- Anderson, A.M.; Gauthier, B.M.; Donnellan, K.F. Heat transfer from a dimpled surface with and without free-stream turbulence in a thermally developing flow. In Proceedings of the 12th International Heat Transfer Conference, Grenoble, France, 18–20 August 2002; Elsevier: Amsterdam, The Netherlands, 2002; Volume 1, pp. 375–381. [Google Scholar]
- Richardson, P.D. Heat and mass transfer in turbulent flows. Chem. Eng. Sci. 1963, 18, 149–155. [Google Scholar] [CrossRef]
- Terekhov, V.I.; Bogatko, T.V.; Dyachenko, A.Y.; Smulsky, Y.I.; Yarygina, N.I. Heat Transfer in Subsonic Separated Flows; NGTU: Novosibirsk, Russia, 2018. (In Russian) [Google Scholar]
- Chandrsuda, C.; Bradshaw, P. Turbulence structure of a reattaching mixing layer. J. Fluid Mech. 1981, 110, 171–194. [Google Scholar] [CrossRef]
- Ruderich, R.; Fernholz, H.H. An experimental investigation of a turbulent shear flow with separation, reverse flow, and reattachment. J. Fluid Mech. 1986, 163, 283–322. [Google Scholar] [CrossRef]
- Yang, J.T.; Tsai, B.B.; Tsai, G.L. Separated-reattaching flow over a back-step with uniform normal mass bleed. J. Fluids Eng. 1994, 116, 29–35. [Google Scholar] [CrossRef]
- Adams, E.W.; Johnston, J.P. Flow structure in the near-wall zone of turbulent separated flow. AIAA J. 1988, 26, 932–939. [Google Scholar] [CrossRef]
- Kiya, M.; Sasaki, K. Structure of a turbulent separation bubble. J. Fluid Mech. 1983, 137, 83–113. [Google Scholar] [CrossRef]
- Makiola, B.; Ruck, B. Experimental investigation of a single-sided backward-facing step flow with inclined step geometries. In Engineering Turbulence Modelling and Experiments; Rodi, W., Ganić, E.N., Eds.; Elsevier: New York, NY, USA, 1990; pp. 487–496. [Google Scholar]
- Eaton, J.K.; Johnston, J.P. A review of research on subsonic turbulent flow reattachment. AIAA J. 1981, 19, 1093–1100. [Google Scholar] [CrossRef]
- Baker, S. Regions of Recirculating Flow Associated with Two-Dimensional Steps. Ph.D. Thesis, University of Surrey, Guildford, UK, 1977. [Google Scholar]
- Nakamura, Y.; Ozono, S. The effects of turbulence on a separated and reattaching flow. J. Fluid Mech. 1987, 178, 477–490. [Google Scholar] [CrossRef]
- Cherry, N.J.; Hillier, R.; Latour, M.E.M.P. Unsteady measurements in a separated and reattaching flow. J. Fluid Mech. 1984, 144, 13–46. [Google Scholar] [CrossRef]
- Vlasov, E.V.; Ginevskii, A.S.; Karavosov, R.K.; Frankfurt, M.O. Near-wall pressure pulsations in the flow separation region behind two-dimensional obstacles. Trudy TsAGI 1982, 2137, 3–29. (In Russian) [Google Scholar]
- Driver, D.M.; Seegmiller, H.L.; Marvin, J. Time-dependent behavior of a reattaching shear layer. AIAA J. 1987, 25, 914–919. [Google Scholar] [CrossRef]
- Jovic, S. An Experimental Study of a Separated/Reattached Flow behind a Backward-Facing Step. ReH = 37,000; NASA Technical Memorandum; NASA: Washington, DC, USA, 1996; p. 110384.
- Tani, I.; Iuchi, M.; Komoda, H. Experimental Investigation of Flow Separation Associated with a Step or Groove; Rept. 364; Aeronautical Research Institute, University of Tokyo: Tokyo, Japan, 1961. [Google Scholar]
- Kryukov, V.N. A Study of Turbulent Separation behind a Downward Step, Collection of Topical Scientific Papers, Some Problems on Heat and Mass Transfer between Flows and Surfaces; MAI: Moscow, Russia, 1986; pp. 24–28. (In Russian) [Google Scholar]
- Hillier, R.; Cherry, N.J. The effects of free-stream turbulence on separation bubbles. J. Wind Eng. Ind. Aerodyn. 1981, 8, 49–58. [Google Scholar] [CrossRef]
- Roshko, A.; Lau, J.C. Some Observations on Transition and Reattachment of Free Shear Layer in Incompressible Flow; Stanford University Press: Palo Alto, CA, USA, 1965; pp. 157–167. [Google Scholar]
- Smulsky, Y.I.; Terekhov, V.I.; Yarygina, N.I. Heat transfer in turbulent separated flow behind a rib on the surface of square channel at different orientation angles relative to flow direction. Int. J. Heat Mass Transf. 2012, 55, 726–733. [Google Scholar] [CrossRef]
- Ota, T.; Nishiyama, H.A. Correlation of maximum turbulent heat transfer coefficient in reattachment flow region. Int. J. Heat Mass Transf. 1987, 30, 1193–1200. [Google Scholar] [CrossRef]
- Leontiev, A.I.; Ivin, V.I.; Grekhov, L.V. Semi-empirical method of the estimation of heat transfer in the region of boundary layer deattachment. J. Eng. Phys. 1984, 47, 543–550. [Google Scholar]
- Sak, C.; Liu, R.; Ting, D.S.-K.; Rankin, G.W. The role of turbulence length scale and turbulence intensity on forced convection from a heated horizontal circular cylinder. Exp. Therm. Fluid Sci. 2007, 31, 279–289. [Google Scholar] [CrossRef]























Publisher’s Note: MDPI stays neutral with regard to jurisdictional claims in published maps and institutional affiliations. |
© 2021 by the author. Licensee MDPI, Basel, Switzerland. This article is an open access article distributed under the terms and conditions of the Creative Commons Attribution (CC BY) license (http://creativecommons.org/licenses/by/4.0/).
Share and Cite
Terekhov, V.I. Heat Transfer in Highly Turbulent Separated Flows: A Review. Energies 2021, 14, 1005. https://doi.org/10.3390/en14041005
Terekhov VI. Heat Transfer in Highly Turbulent Separated Flows: A Review. Energies. 2021; 14(4):1005. https://doi.org/10.3390/en14041005
Chicago/Turabian StyleTerekhov, Viktor I. 2021. "Heat Transfer in Highly Turbulent Separated Flows: A Review" Energies 14, no. 4: 1005. https://doi.org/10.3390/en14041005
APA StyleTerekhov, V. I. (2021). Heat Transfer in Highly Turbulent Separated Flows: A Review. Energies, 14(4), 1005. https://doi.org/10.3390/en14041005