Power Hardware-in-the-Loop: Response of Power Components in Real-Time Grid Simulation Environment
Abstract
1. Introduction
2. Development of Hybrid Simulation Model
2.1. Equivalent Circuit Representation
2.2. Data Exchange
2.3. Co-Simulation Workflow
2.4. Offline Hybrid Simulation
3. PHIL Simulation
3.1. Description of PHIL Components
- Hardware under Test (HUT): It refers to the power component, the response and behavior of which is to be examined. In this experiment, the HUT is a switched-mode 30 kVA power amplifier operating in CC mode from Regatron AG®, Rorschach, Switzerland f type TopCon TC.ACS with a bandwidth of 5.0 kHz. This series from Regatron AG supports the operation of CC amplifiers in both “Feeding Mode” for positive power and “Regenerative Mode” for negative power [32]. This characteristic is quite helpful while performing PHIL studies for DER integration. As the HUT can serve dynamically as a load and also as a feed-in source based on the power set-points.
- Power Interface (PI): It enables to get the operating points of an electrical power system from the simulation environment and makes it available in the real world (for instance: voltage at the PCC). The power interface in this experiment is a switched-mode voltage source, a 50 kVA 4-Quadrant grid simulator from Regatron AG® also of type TopCon TC.ACS with a bandwidth of 5.0 kHz operating in voltage-controlled mode [32]. It operates as a grid simulator emulating the voltage at the PCC. The TC.ACS amplifiers have built-in protection features programmed to prompt circuit breakers in case of phase overcurrent and over voltage leading to electrical isolation of the device.
- Real-Time Simulator (RTS): The real-time simulator simulates the grid model in real-time and performs digital-to-analog (D/A) conversion of the reference signals and vice versa. It transmits the scaled down analog values from the simulation environment to the power interface and from the HUT (e.g., current) back to the simulation environment. For this experiment, a Speedgoat real-time target machine [34] is used as a RTS with the mathematical grid model developed in Simulink executed on its multi-core processors. The IO334 field-programmable gate array (FPGA) boards are used for analog-to-digital (A/D) and D/A conversion of the signals. The boards are interconnected with the target CPU through peripheral component interconnect (PCI) express connection.
3.2. PHIL Simulation Workflow
3.3. Startup and Execution
- The simulated LVDG modelled in Simulink platform is compiled in real-time by setting the simulation mode in Simulink to “external”. After the model is built on the Speedgoat RT target machine, the simulation is executed which produces a scaled-down Vref signal at the chosen PCC bus for the PI.
- The interface produces the amplified voltage at its terminals based on the set-points received by the RTS. The voltage limits and the reference root-mean square (rms) values must be cross checked before switching on the PI.
- After the voltage is successfully established, the scaled down Iref current command is sent to the RTS. The AC voltage at the power interface is then applied to the HUT by switching it on. In this manner, the external power connection between the PI and the HUT is established.
- The measurements (current and voltage) are logged externally by means of data measurement devices from DEWESOFT. Additionally, the current of the HUT is fed back to the simulation environment. The currents can be obtained directly from the out ports of the PI by establishing a connection from respective port of the amplifier to the RTS and ultimately extracting it from analog-in channels of the RTS in simulation environment.
- Finally, the injection of acquired external currents to the CC sources in the virtual grid model closes the PHIL loop.
3.4. PHIL Simulation Scenarios
4. Results
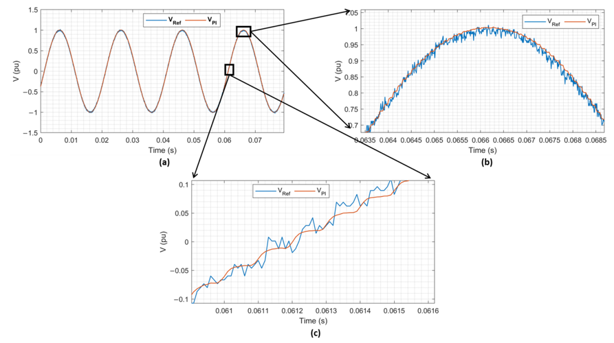
4.1. Scenario 1: Voltage Comparison–Open Circuit Test
4.1.1. Test Case: Voltage Step Response
4.2. Scenario 2: Closed Loop PHIL Simulation
4.3. Power Quadrants
4.4. Static Compensation
5. Discussion
5.1. Scenario 1
5.2. Scenario 2
6. Conclusions
Author Contributions
Funding
Institutional Review Board Statement
Informed Consent Statement
Data Availability Statement
Conflicts of Interest
Abbreviations
| Acronym | Name |
| CC amplifier | Current-Controlled amplifier |
| DER | Distributed Energy Resources |
| EMT | Electromagnetic Transient |
| FPGA | Field-Programmable Gate Array |
| HUT | Hardware under Test |
| ITM | Ideal Transformer Model |
| LV | Low Voltage |
| LVDG | Low Voltage Distribution Grid |
| PCC | Point of Common Coupling |
| PCI | Peripheral Component Interconnect |
| PHIL | Power Hardware-in-the-Loop |
| PI | Power Interface |
| PID Controller | Proportional Integral Derivative Controller |
| PLL | Phase-Locked Loop |
| RMS | Root-Mean Square |
| RT | Real-Time |
| RTS | Real-Time Simulator |
| VC amplifier | Voltage-Controlled amplifier |
Appendix A. MONA Low Voltage Distribution Grid Topology

| Line Code | Resistance (Ω/km) | Reactance (mH/km) | Capacitance (nF/km) | |||
|---|---|---|---|---|---|---|
| Positive Sequence (r1) | Zero Sequence (r0) | Positive Sequence (l1) | Zero Sequence (l0) | Positive Sequence (c1) | Zero Sequence (c0) | |
| NAYY 4 × 50 | 0.642 | 2.568 | 0.083 | 0.312 | 670 | 275.7 |
| NAYY 4 × 120 | 0.255 | 1.02 | 0.08 | 0.292 | 797.3 | 365.9 |
| NAYY 4 × 150 | 0.208 | 0.832 | 0.08 | 0.292 | 830 | 385.9 |
| NAYY 4 × 185 | 0.167 | 0.668 | 0.08 | 0.292 | 868.2 | 409.3 |
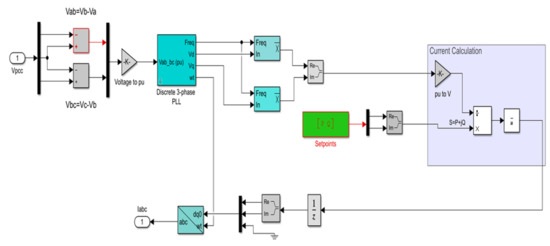
Appendix B. Simulink Model Blocks
Appendix B.1. Discrete 3-Phase PLL Block

Appendix B.2. Reference Current Evaluation Based on Power Setpoints and Vpcc

References
- CIGRE—International Council on Large Electric Systems; Working Group C6.24. Capacity of Distribution Feeders for Hosting DER; CIGRÉ: Paris, France, 2014; ISBN 978-85873-282-1. [Google Scholar]
- Kotsampopoulos, P.; Lagos, D.; Hatziargyriou, N.; Faruque, M.O.; Lauss, G.; Nzimako, O.; Forsyth, P.; Steurer, M.; Ponci, F.; Monti, A.; et al. A benchmark system for hardware-in-the-loop testing of distributed energy resources. IEEE Power Energy Technol. Syst. J. 2018, 5, 94–103. [Google Scholar] [CrossRef]
- Kotsampopoulos, P.C.; Lehfuss, F.; Lauss, G.F.; Bletterie, B.; Hatziargyriou, N.D. The limitations of digital simulation and the advantages of PHIL testing in studying distributed generation provision of ancillary services. IEEE Trans. Ind. Electron. 2015, 62, 5502–5515. [Google Scholar] [CrossRef]
- Ebe, F.; Idlbi, B.; Stakic, D.E.; Chen, S.; Kondzialka, C.; Casel, M.; Heilscher, G.; Seitl, C.; Bründlinger, R.; Strasser, T.I. Comparison of power hardware-in-the-loop approaches for the testing of smart grid controls. Energies 2018, 11, 3381. [Google Scholar] [CrossRef]
- Kotsampopoulos, P.C.; Kleftakis, V.A.; Hatziargyriou, N.D. Laboratory education of modern power systems using PHIL simulation. IEEE Trans. Power Syst. 2017, 32, 3992–4001. [Google Scholar] [CrossRef]
- Hoke, A.; Chakraborty, S.; Basso, T. A power hardware-in-the-loop framework for advanced grid-interactive inverter testing. In Proceedings of the 2015 IEEE Power Energy Society Innovative Smart Grid Technologies Conference (ISGT), Washington, DC, USA, 18–20 February 2015; pp. 1–5. [Google Scholar]
- Ustun, T.S.; Sugahara, S.; Suzuki, M.; Hashimoto, J.; Otani, K. Power hardware in-the-loop testing to analyze fault behavior of smart inverters in distribution networks. Sustainability 2020, 12, 9365. [Google Scholar] [CrossRef]
- Brandl, R. Operational range of several interface algorithms for different power hardware-in-the-loop setups. Energies 2017, 10, 1946. [Google Scholar] [CrossRef]
- Lehfuß, F.; Lauss, G.F. Power hardware-in-the-loop simulations for distributed generation. In Proceedings of the 21st International Conference on Electricity Distribution, Frankfurt, Germany, 6–9 June 2011; p. 4. [Google Scholar]
- Dargahi, M.; Ghosh, A.; Ledwich, G.; Zare, F. Studies in Power Hardware in the Loop (PHIL) simulation using Real-Time Digital Simulator (RTDS). In Proceedings of the 2012 IEEE International Conference on Power Electronics, Drives and Energy Systems (PEDES), Bengaluru, India, 16–19 December 2012. [Google Scholar]
- Riccobono, A.; Liegmann, E.; Pau, M.; Ponci, F.; Monti, A. Online parametric identification of power impedances to improve stability and accuracy of power hardware-in-the-loop simulations. IEEE Trans. Instrum. Meas. 2017, 66, 2247–2257. [Google Scholar] [CrossRef]
- Zhang, Z.; Fickert, L. Power Hardware-Inthe-Loop Testing for the Inverter-Based Distributed Power Source Dip. In Proceedings of the Symposium Energieinnovation, Graz, Austria, 10–12 February 2016. [Google Scholar]
- Ainsworth, N.; Hariri, A.; Prabakar, K.; Pratt, A.; Baggu, M. Modeling and compensation design for a power hardware-in-the-loop simulation of an AC distribution system. In Proceedings of the 2016 North American Power Symposium (NAPS), Denver, CO, USA, 18–20 September 2016; pp. 1–6. [Google Scholar]
- Lauss, G.F.; Faruque, M.O.; Schoder, K.; Dufour, C.; Viehweider, A.; Langston, J. Characteristics and design of power hardware-in-the-loop simulations for electrical power systems. IEEE Trans. Ind. Electron. 2016, 63, 406–417. [Google Scholar] [CrossRef]
- Ren, W.; Steurer, M.; Baldwin, T.L. Improve the stability and the accuracy of power hardware-in-the-loop simulation by selecting appropriate interface algorithms. IEEE Trans. Ind. Appl. 2008, 44, 1286–1294. [Google Scholar] [CrossRef]
- Wang, J.; Lundstrom, B.; Mendoza, I.; Pratt, A. Systematic characterization of power hardware-in-the-loop evaluation platform stability. In Proceedings of the 2019 IEEE Energy Conversion Congress and Exposition (ECCE), IEEE, Baltimore, MD, USA, 29 September–3 October 2019; pp. 1068–1075. [Google Scholar]
- Tremblay, O.; Fortin-Blanchette, H.; Gagnon, R.; Brissette, Y. Contribution to stability analysis of power hardware-in-the-loop simulators. IET Gener. Transm. Distrib. 2017, 11, 3073–3079. [Google Scholar] [CrossRef]
- Zha, X.; Yin, C.; Sun, J.; Huang, M.; Li, Q. Improving the stability and accuracy of power hardware-in-the-loop simulation using virtual impedance method. Energies 2016, 9, 974. [Google Scholar] [CrossRef]
- Faruque, M.D.O.; Strasser, T.; Lauss, G.; Jalili-Marandi, V.; Forsyth, P.; Dufour, C.; Dinavahi, V.; Monti, A.; Kotsampopoulos, P.; Martinez, J.A.; et al. Real-Time simulation technologies for power systems design, testing, and analysis. IEEE Power Energy Technol. Syst. J. 2015, 2, 63–73. [Google Scholar] [CrossRef]
- Hooshyar, H.; Mahmood, F.; Vanfretti, L.; Baudette, M. Specification, Implementation, and hardware-in-the-loop real-time simulation of an active distribution grid. Sustain. Energy Grids Netw. 2015, 3, 36–51. [Google Scholar] [CrossRef]
- Plumier, F. Co-Simulation of Electromagnetic Transients and Phasor Models of Electric Power Systems. Ph.D. Thesis, Universitè de Liège, Liège, Belgium, 2015. [Google Scholar]
- Plumier, F.; Aristidou, P.; Geuzaine, C.; Cutsem, T.V. Co-Simulation of electromagnetic transients and phasor models: A relaxation approach. IEEE Trans. Power Deliv. 2016, 31, 2360–2369. [Google Scholar] [CrossRef]
- Van der Meer, A.A.; Gibescu, M.; van der Meijden, M.A.M.M.; Kling, W.L.; Ferreira, J.A. Advanced hybrid transient stability and EMT simulation for VSC-HVDC systems. IEEE Trans. Power Deliv. 2015, 30, 1057–1066. [Google Scholar] [CrossRef]
- Shu, D.; Xie, X.; Jiang, Q.; Huang, Q.; Zhang, C. A novel interfacing technique for distributed hybrid simulations combining emt and transient stability models. IEEE Trans. Power Deliv. 2017, 33, 130–140. [Google Scholar] [CrossRef]
- Sultan, M.; Reeve, J.; Adapa, R. Combined transient and dynamic analysis of HVDC and FACTS systems. IEEE Trans. Power Deliv. 1998, 13, 1271–1277. [Google Scholar] [CrossRef]
- The MathWorks, Inc. MATLAB & Simulink; The MathWorks, Inc.: Natick, MA, USA, 2019. [Google Scholar]
- Jalili-Marandi, V.; Dinavahi, V.; Strunz, K.; Martinez, J.A.; Ramirez, A. Interfacing techniques for transient stability and electromagnetic transient programs IEEE task force on interfacing techniques for simulation tools. IEEE Trans. Power Deliv. 2009, 24, 2385–2395. [Google Scholar] [CrossRef]
- Fang, T.; Chengyan, Y.; Zhongxi, W.; Xiaoxin, Z. Realization of Electromechanical transient and electromagnetic transient real time hybrid simulation in power system. In Proceedings of the 2005 IEEE/PES Transmission & Distribution Conference & Exposition: Asia and Pacific, Dalian, China, 18 August 2005. [Google Scholar] [CrossRef]
- Zhang, B.; Nie, S.; Jin, Z. Electromagnetic transient-transient stability analysis hybrid real-time simulation method of variable area of interest. Energies 2018, 11, 2620. [Google Scholar] [CrossRef]
- FfE Stellt Rechenfähige Basisnetztopologien Aus Projekt MONA 2030 Zur Verfügung—Forschungsstelle Für Energiewirtschaft e.V. Available online: https://www.ffe.de/themen-und-methoden/speicher-und-netze/752-ffe-stellt-rechenfaehige-basisnetztopologien-aus-projekt-mona-2030-zur-verfuegung (accessed on 2 December 2020).
- Impedance Measurement—Measure Impedance of Circuit as Function of Frequency—Simulink—MathWorks Switzerland. Available online: https://ch.mathworks.com/help/physmod/sps/powersys/ref/impedancemeasurement.html (accessed on 2 December 2020).
- REGATRON AG. Device Manual; TC.ACS Full 4-Quadrant Grid Simulator. Available online: https://www.regatron.com/service/download/manuals/tc.acs-series-manual.pdf (accessed on 30 November 2020).
- Seitl, C.; Kathan, J.; Lauss, G.; Lehfuß, F. Power hardware-in-the-loop implementation and verification of a real time capable battery model. In Proceedings of the 2014 IEEE 23rd International Symposium on Industrial Electronics (ISIE), Istanbul, Turkey, 1–4 June 2014; pp. 2285–2290. [Google Scholar]
- Simulink Real-Time-Target Performance Computer. Speedgoat. Available online: https://www.speedgoat.com/products-services/real-time-target-machines/performance (accessed on 4 December 2020).
- SIRIUS®. Powerful USB and EtherCAT DAQ System. Dewesoft. Available online: https://dewesoft.com/products/daq-systems/sirius (accessed on 15 December 2020).
- Ibarra, L.; Rosales, A.; Ponce, P.; Molina, A.; Ayyanar, R. Overview of real-time simulation as a supporting effort to smart-grid attainment. Energies 2017, 10, 817. [Google Scholar] [CrossRef]
- García-Martínez, E.; Sanz, J.F.; Muñoz-Cruzado, J.; Perié, J.M. A review of PHIL testing for smart Grids—Selection guide, classification and online database analysis. Electronics 2020, 9, 382. [Google Scholar] [CrossRef]
- Schoder, K. Modeling and characterizing a power hardware-in-the-loop amplifier. In Proceedings of the 3rd Annual International Workshop on Grid Simulator Testing, The Center for Advanced Power Systems, Tallahassee, FL, USA, 5–6 November 2015. [Google Scholar]
- Mahdi, D.K. Stability Analysis and Implementation of Power-Hardware-in-the-Loop for Power System Testing. Ph.D. Thesis, Queensland University of Technology, Queensland, Australia, 12 March 2015. [Google Scholar]
- Guillo-Sansano, E.; Roscoe, A.; Jones, C.; Burt, G.M. A new control method for the power interface in power hardware-in-the-loop simulation to compensate for the time delay. In Proceedings of the 2014 49th International Universities Power Engineering Conference (UPEC), Cluj-Napoca, Romania, 2–5 September 2014; pp. 1–5. [Google Scholar]
- Sansano, E.G.; Roscoe, A.J.; Burt, G.M. (Eds.) Harmonic-by-Harmonic time delay compensation method for PHIL simulation of low impedance power systems. In Proceedings of the 2015 International Symposium on Smart Electric Distribution Systems and Technologies (EDST), Vienna, Austria, 8–11 September 2015; Institute of Electrical and Electronics Engineers (IEEE): Vienna, Austria, 2015. [Google Scholar]















| Scheme | Load | Network Partition Point | Phasor/Discrete Sample-Time |
|---|---|---|---|
| Constant Active Power | TP Resistive Load (0.5 kW) | Bus 2 | 100 ms/100 µs |
| Dynamic Load–Step Response | TP Resistive Load (2.5 to 5 kW) |
| Simulator | Software Interface | Applications |
|---|---|---|
| Opal-RT | RTLAB, Simulink, MATLAB, Labview and HYPERSIM | Power electronics, control systems, HIL, Power systems like smart grid. |
| RTDS | RSCAD, MATLAB and Simulink | |
| Speedgoat Real-Time Target Machine | Simulink, MATLAB | |
| National Instruments (NI) Hardware | Labview | |
| Typhoon | Typhoon HIL Control Center, MATLAB, and Simulink | Power electronics, control systems, HIL, Microgrids. |
| dSPACE | MATLAB and Simulink | Power electronics, real-time control, rapid prototyping, power systems like smart grid. |
Publisher’s Note: MDPI stays neutral with regard to jurisdictional claims in published maps and institutional affiliations. |
© 2021 by the authors. Licensee MDPI, Basel, Switzerland. This article is an open access article distributed under the terms and conditions of the Creative Commons Attribution (CC BY) license (http://creativecommons.org/licenses/by/4.0/).
Share and Cite
Muhammad, M.; Behrends, H.; Geißendörfer, S.; Maydell, K.v.; Agert, C. Power Hardware-in-the-Loop: Response of Power Components in Real-Time Grid Simulation Environment. Energies 2021, 14, 593. https://doi.org/10.3390/en14030593
Muhammad M, Behrends H, Geißendörfer S, Maydell Kv, Agert C. Power Hardware-in-the-Loop: Response of Power Components in Real-Time Grid Simulation Environment. Energies. 2021; 14(3):593. https://doi.org/10.3390/en14030593
Chicago/Turabian StyleMuhammad, Moiz, Holger Behrends, Stefan Geißendörfer, Karsten von Maydell, and Carsten Agert. 2021. "Power Hardware-in-the-Loop: Response of Power Components in Real-Time Grid Simulation Environment" Energies 14, no. 3: 593. https://doi.org/10.3390/en14030593
APA StyleMuhammad, M., Behrends, H., Geißendörfer, S., Maydell, K. v., & Agert, C. (2021). Power Hardware-in-the-Loop: Response of Power Components in Real-Time Grid Simulation Environment. Energies, 14(3), 593. https://doi.org/10.3390/en14030593

