An Assessment of Heating Load Reduction by a Solar Air Heater in a Residential Passive Ventilation System
Abstract
:1. Introduction
2. Passive Ventilation System with a Solar Air Heater
2.1. Overview
2.2. Method for Predicting the Amount of Heat Collected by a Solar Air Heater
2.2.1. Calculation Method of Heat Collection Capacity
2.2.2. Identification of Heat Capacity for Heat Collection Calculation
3. Building Used for Verification
3.1. Building Overview
3.2. Measurement Items and Measurement Period
4. Verification of the Effectiveness of the Solar Air Heater
4.1. Solar Air Heater Performance
4.2. Effect of a Solar Air Heater on Ventilation Load Reduction
4.3. Comparison of Simulated and Measured Heat Collection Capacity
5. Conclusions
- (1)
- A simulation was constructed to predict the heat collection capacity considering the time variation. To obtain a part of the heat capacity of the surrounding components, the measured and calculated values were identified by the least-squares method, and a part of the heat capacity of the surrounding components was set to be 5057 J/K. As a result of verification of the measurements and calculations, high reproducibility was obtained. As a result of verification of the measured and calculated values, high reproducibility was obtained.
- (2)
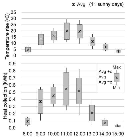
- Actual measurements were conducted in a real building: the maximum temperature increase effect of the solar air heater was about 30 °C, the maximum heat collection per hour for one solar air heater was 0.85 kWh, and the average heat collection at 11:00, when the most heat collection was obtained, was 0.55 kWh. The standard deviation was as large as 6.8 °C for temperature rise and 0.23 kWh for heat collection, showing the difference in the effect of sunlight. In January, when the solar altitude was low, solar radiation acquisition was not obtained before 9:00 a.m. and after 2:00 p.m. due to the influence of neighboring houses.
- (3)
- The maximum heat collection rate was more than 7 kWh/day in January to March. In terms of daily average heat collection, including days without sunshine, the lowest was 2.3 kWh/day in December and the highest was 3.2 kWh/day in March. An average of 2.1 kWh/day of heat collection was obtained during the heating period.
- (4)
- The heat collection efficiency of the solar air heater was about 58%.
- (5)
- The ventilation load reduction rate of the solar air heater was just over 15% from November to February, just under 25% in March, and about 30% to 40% in April, May, and October.
- (6)
- As a result of comparing the simulation results of the heat collection volume calculation with the actual measurement, it was confirmed that the simulation was highly reproducible.
Author Contributions
Funding
Conflicts of Interest
Nomenclature
| Heat collection capacity | W | |
| Equivalent heat capacity | J/K | |
| Heat capacity of air in panel | J/K | |
| Part of the heat capacity of surrounding components | J/K | |
| Air flow | m3/h | |
| U-value (front of panel) | W/(m2K) | |
| U-value (back of panel) | W/(m2K) | |
| Area (front of panel) | m2 | |
| Area (back of panel) | m2 | |
| Temperature (hollow layer in the device) | °C | |
| Temperature (outside air) | °C | |
| Amount of solar radiation transmitted into the panel | W/m2 | |
| Time | s |
References
- NBS. The Building Regulations 2010, Approved Document F1 Means of Ventilation (2010 Edition Incorporating 2010 and 2013 Amendments); Technical Report; NBS: Norwich, UK, 2015. [Google Scholar]
- EU. EN 16798-7: 2017. Energy Performance of Buildings-Ventilation for Buildings-Part 7: Calculation Methods for the Determination of Air Flow Rates in Buildings including Infiltration; EU: Maastricht, The Netherlands, 2017. [Google Scholar]
- Shaw, C.Y.; Kim, A.K. Performance of passive ventilation systems in a two-storey house. In Proceedings of the 5th AIVC Conference, Reno, NA, USA, 1–4 October 1984; 11.1–11.27 (Paper 11). Available online: https://www.aivc.org/sites/default/files/members_area/medias/pdf/Conf/1984/Shaw.pdf (accessed on 24 September 2015).
- Fukushima, A.; Enai, M.; Miyaura, M.; Honma, Y. Application of passive ventilation system with crawl space heating to the practical house. J. Archit. Plan. Environ. Eng. 2000, 532, 51–56. (In Japanese) [Google Scholar] [CrossRef]
- Southall, R.G. An assessment of the potential of supply-side ventilation demand control to regulate natural ventilation flow patterns and reduce domestic space heating consumption. Energy Build. 2018, 168, 201–214. [Google Scholar] [CrossRef]
- Turner, W.J.N.; Walker, I.S. Using a ventilation controller to optimise residential passive ventilation for energy and indoor air quality. Build. Environ. 2013, 70, 20–30. [Google Scholar] [CrossRef]
- Jreijiry, D.; Husaunndee, A.; Inard, C. Numerical study of a hybrid ventilation system for single family houses. Sol. Energy 2007, 81, 227–239. [Google Scholar] [CrossRef]
- Pottler, K.; Sippel, C.M.; Beck, A.; Fricke, J. Optimized finned absorber geometries for solar air heating collectors. Sol. Energy 1999, 67, 35–52. [Google Scholar] [CrossRef]
- Singh, A.P.; Kumar, A.; Singh, O.P. Natural convection solar air heater: Bell-mouth integrated converging channel for high flow applications. Build. Environ. 2021, 187, 107367. [Google Scholar] [CrossRef]
- Zhao, Y.; Meng, T.; Jing, C.; Hu, J.; Qian, S. Experimental and numerical investigation on thermal performance of PV-driven aluminium honeycomb solar air collector. Sol. Energy 2020, 204, 294–306. [Google Scholar] [CrossRef]
- Hosseini, S.S.; Ramiar, A.; Ranjbar, A.A. The effect of fins shadow on natural convection solar air heater. Int. J. Therm. Sci. 2019, 142, 280–294. [Google Scholar] [CrossRef]
- Rodonò, G.; Volpes, R. Heat transfer calculation in a free convection air solar collector. Energy Build. 1998, 27, 21–27. [Google Scholar] [CrossRef]
- Zhai, X.Q.; Dai, Y.J.; Wang, R.Z. Experimental investigation on air heating and natural ventilation of a solar air collector. Energy Build. 2005, 37, 373–381. [Google Scholar] [CrossRef]
- Ho, K.T.K.; Loveday, D.L. Covered profiled steel cladding as an air heating solar collector: Laboratory testing, modelling and validation. Energy Build. 1997, 26, 293–301. [Google Scholar] [CrossRef]
- Dissa, A.O.; Ouoba, S.; Bathiebo, D.; Koulidiati, J. A study of a solar air collector with a mixed “porous” and “non-porous” composite absorber. Sol. Energy 2016, 129, 156–174. [Google Scholar] [CrossRef]
- Wang, Y.; Boulic, M.; Phipps, R.; Plagmann, M.; Cunningham, C. Experimental Performance of a Solar Air Collector with a Perforated Back Plate in New Zealand. Energies 2020, 13, 1415. [Google Scholar] [CrossRef] [Green Version]
- Budea, S. Solar Air Collectors for Space Heating and Ventilation Applications-Performance and Case Studies under Romanian Climatic Conditions. Energies 2014, 7, 3781–3792. [Google Scholar] [CrossRef]
- Khedari, J.; Hirunlabh, J.; Bunnag, T. Experimental study of a roof solar collector towards the natural ventilation of new houses. Energy Build. 1997, 26, 159–164. [Google Scholar] [CrossRef]
- Yu, Z.; Ji, J.; Sun, W.; Wang, W.; Li, G.; Cai, J.; Chen, H. Experiment and prediction of hybrid solar air heating system applied on a solar demonstration building. Energy Build. 2014, 78, 59–65. [Google Scholar] [CrossRef]
- Li, X.; Zheng, S.; Tian, G.; Zhang, L.; Yao, W. A new energy saving ventilation system assisted by transpired solar air collectors for primary and secondary school classrooms in winter. Build. Environ. 2020, 177, 106895. [Google Scholar] [CrossRef]











| Parameter | Value | Unit |
|---|---|---|
| Dimension | 1974 × 704 × 55 | mm |
| Weight | 14 | kg |
| Air flow | 60~110 | m3/h |
| Ventilator–power consumption | 3.7 | W |
| Solar cell–power generation | 12 | W |
| Air outlet on collector | 125 | mm |
| Maximum heat collection capacity | 1000 | W |
| Rise in temperature compared to outside temperature | 30 | °C |
| Item | Detail |
|---|---|
| Date | 16 Febuary 2011 |
| Location | Nerima-ku, Tokyo |
| Installation azimuth | Due south |
| Solar radiation | Pyrheliometer PCM-01 (Made by Prede) |
| Temperature | T type thermocouple |
| Measurement interval | 1 s |
| Item | Detail |
|---|---|
| Location | Sapporo City, Hokkaido |
| Completion | June 2015 |
| Family members | Adult: 2 people, Child: 2 people |
| Total floor area | 125.87 (m2) 1st floor: 65.42 (m2), 2nd floor: 60.45 (m2) |
| Building volume | 352.76 (m3) |
| Q value | 0.79 (W/(m2K)) * Air change rate: 0.4 (times/h) |
| C value | 0.3 (cm2/m2) * Equivalent leakage area |
| U value | Ceiling: 0.08 (W/(m2K)) Exterior wall: 0.12 (W/(m2K)) Window: 0.91 (W/(m2K)) |
| Measurement Item | Avg | SD | Unit |
|---|---|---|---|
| Outside air temperature | 4.1 | 7.1 | °C |
| Indoor temperature | 21.5 | 1.4 | °C |
| Indoor relative humidity | 50.3 | 4.7 | % |
| Indoor CO2 concentration | 743 | 192 | ppm |
Publisher’s Note: MDPI stays neutral with regard to jurisdictional claims in published maps and institutional affiliations. |
© 2021 by the authors. Licensee MDPI, Basel, Switzerland. This article is an open access article distributed under the terms and conditions of the Creative Commons Attribution (CC BY) license (https://creativecommons.org/licenses/by/4.0/).
Share and Cite
Matsunaga, J.; Kikuta, K.; Hirakawa, H.; Mizuno, K.; Tajima, M.; Hayashi, M.; Fukushima, A. An Assessment of Heating Load Reduction by a Solar Air Heater in a Residential Passive Ventilation System. Energies 2021, 14, 7651. https://doi.org/10.3390/en14227651
Matsunaga J, Kikuta K, Hirakawa H, Mizuno K, Tajima M, Hayashi M, Fukushima A. An Assessment of Heating Load Reduction by a Solar Air Heater in a Residential Passive Ventilation System. Energies. 2021; 14(22):7651. https://doi.org/10.3390/en14227651
Chicago/Turabian StyleMatsunaga, Junichiro, Koki Kikuta, Hideki Hirakawa, Keita Mizuno, Masaki Tajima, Motoya Hayashi, and Akira Fukushima. 2021. "An Assessment of Heating Load Reduction by a Solar Air Heater in a Residential Passive Ventilation System" Energies 14, no. 22: 7651. https://doi.org/10.3390/en14227651
APA StyleMatsunaga, J., Kikuta, K., Hirakawa, H., Mizuno, K., Tajima, M., Hayashi, M., & Fukushima, A. (2021). An Assessment of Heating Load Reduction by a Solar Air Heater in a Residential Passive Ventilation System. Energies, 14(22), 7651. https://doi.org/10.3390/en14227651

