Abstract
The assessment of the impact of per unit length parameter errors on the determination of wave parameters, currents, and voltages at the end of the line has been presented in the paper. The impact on the above-mentioned values has been indicated. This paper presents an assessment of the impact of per unit parameter errors on the determination of both wave parameters, as well as currents and voltages at the end of a transmission line, although it is mainly focused on indicating which of the per unit parameters have the strongest impact on the above-mentioned values. For this purpose, elements of incremental sensitivity have been used.
1. Introduction
In order to determine currents and voltages in circuits with distributed parameters—transmission lines, the knowledge of the so-called wave parameters (the wave impedance and the propagation constant) is necessary. These parameters can be determined knowing the per unit parameters of the line, i.e., resistance, inductance, capacitance, and leakage given per unit of line length (usually 1 km). The determination of these quantities is often inaccurate, e.g., in an overhead line the value of capacitance and leakage depends on the weather conditions, and is usually specified in certain ranges. The study of sensitivity of wave parameters to errors in the determination of unit parameters was presented in the paper [1]. This task was performed based on the definition of the relative sensitivity of electrical circuits [2,3]. This paper presents an assessment of the impact of per unit parameter errors on the determination of both wave parameters, as well as currents and voltages at the end of a transmission line, although it is mainly focused on indicating which of the per unit parameters have the strongest impact on the above-mentioned values. For this purpose, elements of incremental sensitivity have been used [4].
2. Linear Circuits with Distributed Parameters
A transmission line is an electrical circuit with distributed parameters, supplied from a sinusoidal voltage source. The length of the electric circuit is comparable to the voltage wavelength λ [2]. The circuit is composed of elements R0, G0, L0, and C0, which determine the losses of active power related to heat generation and leakage, and as a result of accumulation of energy in magnetic and electric fields [5]. They are called the primary parameters of a transmission line [5]. In the case of circuits with distributed parameters in relation to the length of the line, the longitudinal parameters (resistance R0, inductance L0, and lateral parameters: capacitance C0, and leak conductivity G0 [6]) are described. Their values are specified as Ω/m, S/m, H/m, and F/m [7,8,9]. It is conventionally assumed that if l is greater than 0.1 λ, or the transmission of impulse signals with a short rise time, as is the case in high voltage cables of spark ignition engines [3,4,6,10], then such a line should be treated as a circuit with distributed parameters. This paper shall examine the properties of a homogeneous line, whose primary parameters are uniformly distributed along the line [7,9]. When analyzing an equivalent circuit of a line with distributed parameters, the following are considered:
- —
- voltage loss on the wire resistance distributed uniformly along the line;
- —
- voltage loss on the wire inductance distributed uniformly along the line;
- —
- leakage current through the insulation distributed uniformly along the line (for cable line: cable insulation, for overhead line: air insulation);
- —
- line capacitance distributed uniformly, where the plates of the capacitor are represented by two wires or a single wire and the earth.
A transmission line can be represented as a cascade connection of elementary sections of Δx length, in which the resistance, capacitor and coil are lumped elements. Instantaneous values of voltage u(x,t) and current i(x,t) at each point of the line are functions of two independent variables: distance and time. If the line parameters are distributed uniformly along the line, the transmission line is homogeneous. A line is linear if its parameters are not dependent on voltage or current at a given point in the line.
Figure 1 presents a model of a homogeneous two-wire transmission line with the length l. Terminals 1–1′, called line input terminals, are connected to the e(t) voltage source with internal impedance Z1. A receiver with impedance Z2 is connected to output terminals 2–2′.
Figure 1.
Model of a two-wire transmission line.
At any point on the line distant by x1 from the beginning of the line, the voltage is u(x1,t) and the current is i(x1,t), in which case for the input terminals x = 0, and for the output terminals x = l [3,10,11].
The unit resistance of a single-wire line can be determined using the formula:
where γ is the specific conductivity of the wire [m/Ω mm2], and S is the cross-section of the wire [mm2].
When a two-wire line is considered, the result needs to be multiplied by two.
The per unit inductance for a single wire with a length l = 1 m is expressed by the formula:
where a is the distance between the axes of the cables, R is the wire radius, and is the electric permittivity of the environment (for air assumed as H/m).
The per unit capacitance for a two-wire line with a length l = 1 m is expressed by the formula:
where is the electric permittivity of the environment—air.
3. Transmission Line Wave and Output Parameters
The term wave parameters of a transmission line most commonly refers to: wave impedance expressed by the Equations (6) and (7):
where R0 is the per unit length resistance, G0 is the per unit length inductance, L0 is the per unit length capacitance, and C0 is the per unit length leakage.
The propagation constant:
Knowledge of these parameters allows for the determination of the input impedance:
where Z2 is the line load impedance, and l is the line length.
Then, for a known voltage U1 at the beginning of the line, the current I1 at the beginning of the line can be determined:
and then, voltage U2 and current I2 at the end of the line:
The sensitivity of wave parameters as well as the output parameters of a transmission line can be traced by changing the per unit length parameters of this line [12,13,14].
4. Numerical Experiments
Numerical experiments were carried out for a 200 kHz frequency, for an overhead line with following per unit length parameters:
with an impedance load Z2 = 100 Ω
R0 = 0.68 Ω/km; G0 = 50 µS/km;
L0 = 0.128 mH/km; C0 = 0.01 µF/km;
In order to indicate which of the per unit length parameters have the strongest impact on the values characterizing the transmission line, multiple calculations were carried out, each time substituting a different changed value of a per unit length parameter. These changes consisted in increasing and decreasing the value by 1%. The obtained results—percentage changes—are presented in the form of Table 1, Table 2, Table 3, Table 4, Table 5, Table 6, Table 7, Table 8, Table 9, Table 10 and Table 11.
Table 1.
Changes to the wave impedance modulus.
Table 2.
Changes to damping constant.
Table 3.
Changes to phase constant.
Table 4.
Changes to the real part of the input resistance.
Table 5.
Changes to the imaginary part of the input resistance.
Table 6.
Changes to the I1 current modulus.
Table 7.
Changes to the argument of the current I1.
Table 8.
Changes to the U2 voltage modulus.
Table 9.
Changes to the argument of the voltage U2.
Table 10.
Changes to the I2 current modulus.
Table 11.
Changes to the argument of the current I2.
The highest and lowest values of the modulus are highlighted by bold font in the tables. On the basis of the analysis of the above tables, it can be stated that the biggest influence on the damping factor is the change of R0, and on the phase factor the change of C0. C0 also has the greatest impact on the modulus, and the argument of both the output voltage and current [15,16,17,18,19].
In order to evaluate how the values of wave and output parameters change when per unit length parameters are changed, a proprietary program has been written in the MATLAB environment. It allows for the acquisition of graphs of wave and output parameters values for a given frequency, load, input parameters, and variability of individual per unit length parameters (e.g., ±20%) at any value of supply voltage U1 and load Z2. The presented graphs were created for U1 = 100 V, Z2 = 100 Ω. Thus, with a change of per unit length resistance within ±20%, the damping factor α linearly increases from−10% to +10%, regardless of frequency (Figure 2a, Figure 3a and Figure 4a), while the phase factor β reaches a minimum around −5% and then increases, but these changes are very minor, approximately 10−5% for f = 100 kHz (Figure 2b), 10−6% for f = 500 kHz (Figure 3b), and 10−7% for f = 1 MHz (Figure 4b). As far as the wave impedance modulus and argument are concerned, they increase almost linearly, with the exception that the modulus changes for low frequencies are around 10−3% (Figure 2c) and for large ones, around 10−5% (Figure 3c and Figure 4c), whereas the argument changes are large, i.e., ±300% (Figure 2d, Figure 3d and Figure 4d).
Figure 2.
Changes of wave parameters depending on R0 at f = 100 kHz; (a) damping factor α, (b) phase factor β, (c) wave impedance modulus, and (d) wave impedance argument.
Figure 3.
Changes of wave parameters depending on R0 at f = 500 kHz; (a) damping factor α, (b) phase factor β, (c) wave impedance modulus, and (d) wave impedance argument.
Figure 4.
Changes of wave parameters depending on R0 at f = 1 MHz; (a) damping factor α, (b) phase factor β, (c) wave impedance modulus, and (d) wave impedance argument.
Changes to the damping factor alpha when changing parameter L0 are non−linear, and vary from 1% to 0.2%, regardless of frequency (Figure 5a, Figure 6a and Figure 7a). The factor β rises almost linearly from −10% to 10%, regardless of frequency (Figure 5b, Figure 6b and Figure 7b). The impedance modulus rises almost linearly in the range of −10% to 10% for all tested frequencies (Figure 5c, Figure 6c and Figure 7c). The argument changes linearly in the range from approximately 200% to −400%, with minor changes for individual frequencies (Figure 5d, Figure 6d and Figure 7d).
Figure 5.
Changes of wave parameters depending on L0 at f = 100 kHz; (a) damping factor α, (b) phase factor β, (c) wave impedance modulus, and (d) wave impedance argument.
Figure 6.
Changes of wave parameters depending on L0 at f = 500 kHz; (a) damping factor α, (b) phase factor β, (c) wave impedance modulus, and (d) wave impedance argument.
Figure 7.
Changes of wave parameters depending on L0 at f = 1 MHz; (a) damping factor α, (b) phase factor β, (c) wave impedance modulus, and (d) wave impedance argument.
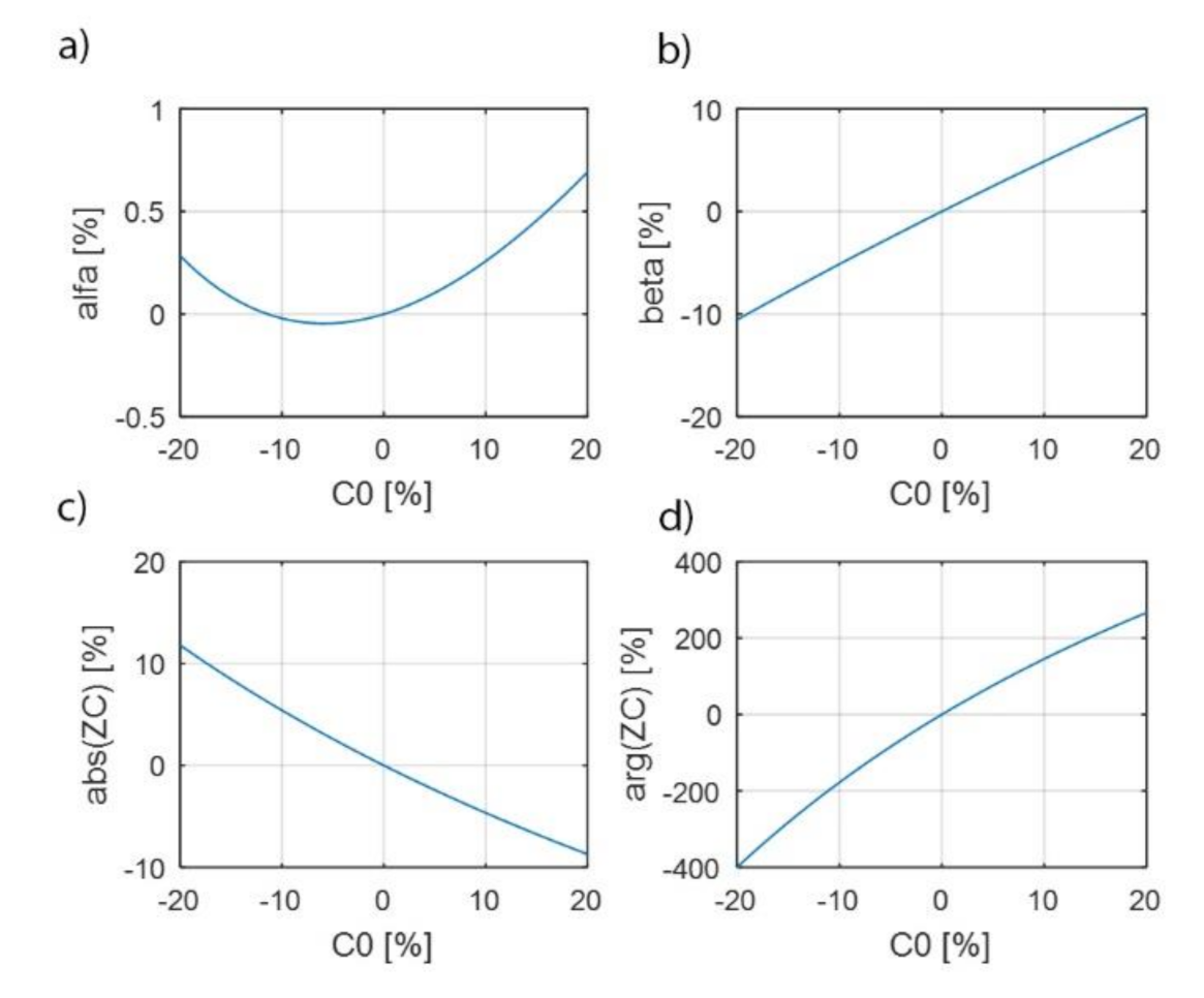
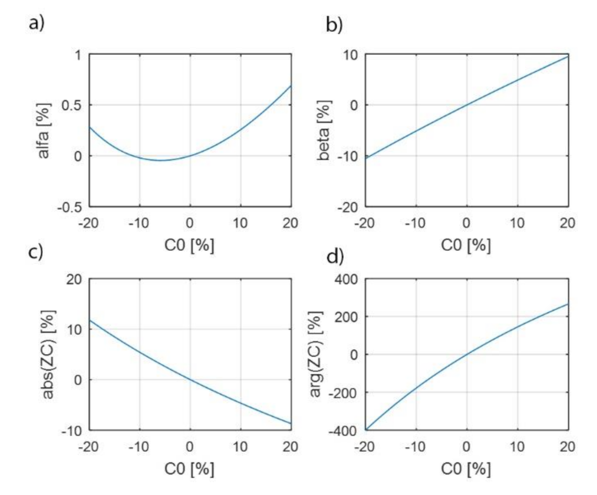
Changes to the damping factor alpha when changing parameter C0 are non−linear, and vary from 0.25% to 1.4%, regardless of frequency (Figure 8a, Figure 9a and Figure 10a). The factor β rises almost linearly from −10% to 10%, regardless of frequency (Figure 8b, Figure 9b and Figure 10b). The impedance modulus rises almost linearly in the range of 12% to −8% for all tested frequencies (Figure 8c, Figure 9c and Figure 10c). The argument changes linearly in the range from approximately −400% to 280%, with minor changes for individual frequencies (Figure 8d, Figure 9d and Figure 10d).
Figure 8.
Changes of wave parameters depending on C0 at f = 100 kHz; (a) damping factor α, (b) phase factor β, (c) wave impedance modulus, and (d) wave impedance argument.
Figure 9.
Changes of wave parameters depending on C0 at f = 500 kHz; (a) damping factor α, (b) phase factor β, (c) wave impedance modulus, and (d) wave impedance argument.
Figure 10.
Changes of wave parameters depending on C0 at f = 1 MHz; (a) damping factor α, (b) phase factor β, (c) wave impedance modulus, and (d) wave impedance argument.
Changes to the damping factor alpha when changing the G0 parameter are non−linear, and vary from 1% to 0.2% regardless of frequency (Figure 11a, Figure 12a and Figure 13a). The factor β rises almost linearly from −10% to 10%, regardless of frequency (Figure 11b, Figure 12b and Figure 13b). The impedance modulus rises almost linearly in the range of −10% to 10% for all tested frequencies (Figure 11c, Figure 12c and Figure 13c). The argument changes linearly in the range from approximately 40% to −200% with minor changes for individual frequencies (Figure 11d, Figure 12d and Figure 13d).
Figure 11.
Changes of wave parameters depending on G0 at f = 100 kHz; (a) damping factor α, (b) phase factor β, (c) wave impedance modulus, and (d) wave impedance argument.
Figure 12.
Changes of wave parameters depending on G0 at f = 500 kHz; (a) damping factor α, (b) phase factor β, (c) wave impedance modulus, and (d) wave impedance argument.
Figure 13.
Changes of wave parameters depending on G0 at f = 1 MHz; (a) damping factor α, (b) phase factor β, (c) wave impedance modulus, and (d) wave impedance argument.
Changes to the U2 voltage modulus occur when the R0 parameter is changed linearly, and vary from 0.4% to −0.4%, depending on the frequency. The higher the frequency, the smaller the change (Figure 14a, Figure 15a and Figure 16a). The U2 argument increases almost linearly from −2% to 2%, depending on the frequency (Figure 14b, Figure 15b and Figure 16b). The I2 Modulus changes linearly from 0.4% to −0.4% for lower frequencies, and 0.04% to −0.04% for higher tested frequencies (Figure 14c, Figure 15c and Figure 16c). The I2 argument rises linearly from −2.1% to 2.1% for 500 kHz, and −0.13% to 0.13% for 1 MHz (Figure 14d, Figure 15d and Figure 16d).
Figure 14.
Changes of wave parameters depending on R0 at f = 100 kHz; (a) U2 voltage modulus, (b) U2 argument, (c) I2 modulus, (d) I2 argument.
Figure 15.
Changes of wave parameters depending on R0 at f = 500 kHz; (a) U2 voltage modulus, (b) U2 argument, (c) I2 modulus, (d) I2 argument.
Figure 16.
Changes of wave parameters depending on R0 at f = 1 MHz; (a) U2 voltage modulus, (b) U2 argument, (c) I2 modulus, (d) I2 argument.
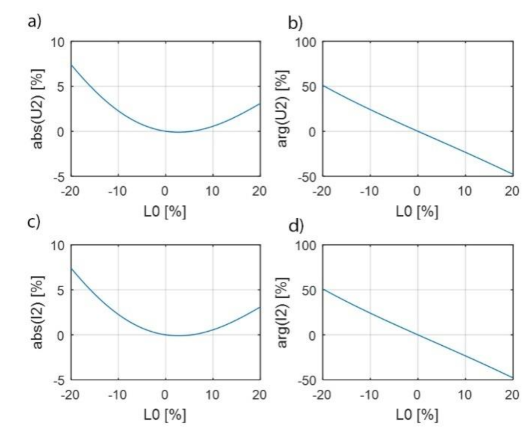
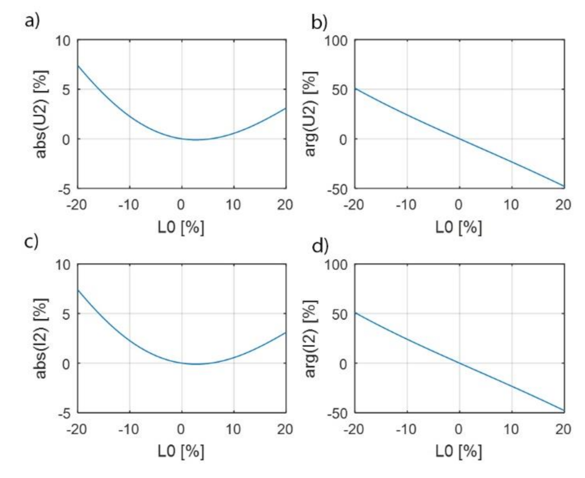
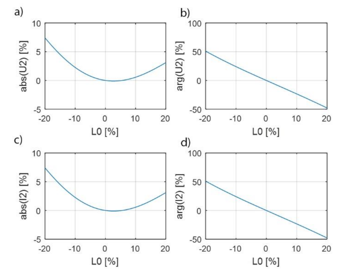
Changes of U2 voltage modulus occur when L0 parameter is changed parabolically, and change from 7.5% to −3%, regardless of frequency. (Figure 17a, Figure 18a and Figure 19a). The U2 argument falls almost linearly from 50% to −50%, independently of the frequency (Figure 17b, Figure 18b and Figure 19b). The I2 modulus changes parabolically in the range of 7.5% to 4%, with slight differences depending on the frequency (Figure 17c, Figure 18c and Figure 19c). The I2 argument falls linearly in the range from 50% to −50%, independently of the frequency (Figure 17d, Figure 18d and Figure 19d).
Figure 17.
Changes of wave parameters depending on L0 at f = 100 kHz; (a) U2 voltage modulus, (b) U2 argument, (c) I2 modulus, (d) I2 argument.
Figure 18.
Changes of wave parameters depending on L0 at f = 500 kHz; (a) U2 voltage modulus, (b) U2 argument, (c) I2 modulus, (d) I2 argument.
Figure 19.
Changes of wave parameters depending on L0 at f = 1 MHz; (a) U2 voltage modulus, (b) U2 argument, (c) I2 modulus, (d) I2 argument.
Changes of the U2 voltage modulus occur when parameter C0 is changed non−linearly, and change from −14% to 8% independently of frequency. (Figure 20a, Figure 21a and Figure 22a). The U2 argument falls almost linearly from 50% to −50%, independently of frequency (Figure 20b, Figure 21b and Figure 22b). The I2 modulus changes from −14% to 8%, independently of the frequency (Figure 20c, Figure 21c and Figure 22c). The I2 argument decreases linearly in the range from 50% to −50%, independently of the frequency (Figure 20d, Figure 21d and Figure 22d).
Figure 20.
Changes of wave parameters depending on C0 at f = 100 kHz; (a) U2 voltage modulus, (b) U2 argument, (c) I2 modulus, (d) I2 argument.
Figure 21.
Changes of wave parameters depending on L0 at f = 500 kHz; (a) U2 voltage modulus, (b) U2 argument, (c) I2 modulus, (d) I2 argument.
Figure 22.
Changes of wave parameters depending on L0 at f = 1 MHz; (a) U2 voltage modulus, (b) U2 argument, (c) I2 modulus, (d) I2 argument.
Changes of the U2 voltage modulus occur when the G0 parameter is changed almost linearly, and change from 0.09% to −0.09% for 500 kHz, and 0.04% to −0.04% for 1 MHz (Figure 23a and Figure 24a). The U2 argument decreases almost linearly from 0.02% to −0.02% at 500 kHz, and 0.01% to −0.01% at 1 MHz (Figure 23b and Figure 24b). The I2 modulus runs almost linearly, and changes from 0.09% to −0.09% for 500 kHz, and 0.04% to −0.04% for 1 MHz (Figure 23c and Figure 24c). The I2 argument falls almost linearly from 0.02% to −0.02% at 500 kHz, and 0.01% to −0.01% at 1 MHz (Figure 23d and Figure 24d).
Figure 23.
Changes of wave parameters depending on G0 at f = 500 kHz; (a) U2 voltage modulus, (b) U2 argument, (c) I2 modulus, (d) I2 argument.
Figure 24.
Changes of wave parameters depending on G0 at f = 1 MHz; (a) U2 voltage modulus, (b) U2 argument, (c) I2 modulus, (d) I2 argument.
5. Conclusions
The paper presents the evaluation of the impact of per unit parameter errors on the determination of wave parameters, as well as currents and voltages at the end of the line. On the basis of numerical calculations, it was found that errors in the determination of per unit inductance have the greatest influence on the value of the part of the input resistance and on I1 current argument. However, the change of per unit resistance and leakage have the smallest effect on the value of the phase constant. It can also be seen that increasing per unit length parameters by 1% does not always result in an increase of output parameters.
A thorough analysis of the above diagrams may be used to construct optimal high voltage cables used in the ignition systems of spark−ignition engines, where the most important parameter is the U2 voltage modulus [3,4,10,20].
Author Contributions
Conceptualization, S.R. and M.W.; methodology, A.Z.; software, M.W.; validation, S.R., A.R. and D.M.; formal analysis, S.R.; investigation, A.Z.; resources, M.W.; data curation, S.R.; writing—original draft preparation, M.W.; writing—review and editing, S.R.; visualization, D.M.; supervision, A.R.; project administration, A.R.; funding acquisition, S.R. All authors have read and agreed to the published version of the manuscript.
Funding
This research received no external.
Data Availability Statement
Not applicable.
Conflicts of Interest
The authors declare no conflict of interest.
References
- Różowicz, S. Use of the mathematical model of the ignition system to analyze the spark discharge, including the destruction of spark plug electrodes. Open Phys. 2018, 16, 57–62. [Google Scholar] [CrossRef] [Green Version]
- Kukiełka, A. Sensitivity Analysis and Sensitivity Invariants of Similar Circuits Containing Active Multipolar. Ph.D. Thesis, Politechnika Śląska, Wydział Automatyki, Elektroniki i Informatyki, Gliwice, Poland, 2002. (In Polish). [Google Scholar]
- Różowicz, S. Voltage modelling in ignition coil using magnetic coupling of fractional order. Arch. Electr. Eng. 2019, 168, 227–235. [Google Scholar]
- Włodarczyk, M.; Zawadzki, A. Connecting a capacitor to direct voltage in aspect of fractional degree derivatives. Przegląd Elektrotechniczny (Electr. Rev.) 2009, 85, 120–122. [Google Scholar]
- Walczak, J.; Pasko, M.; Adrikowski, T. Selected Issues of the Theory of Electrical Circuits; WPŚl: Gliwice, Poland, 2017. (In Polish) [Google Scholar]
- Kwiatkowski, B.; Bartman, J.; Mazur, D. The quality of data and the accuracy of energy generation forecast by artificial neural networks. Int. J. Electr. Comput. Eng. 2020, 10, 3957. [Google Scholar] [CrossRef]
- Nitha, S.U.; Soumya, A.M. Transmission line characteristics. IOSR J. Electron. Commun. Eng. 2016, 3, 67–77. [Google Scholar]
- Różowicz, S.; Zawadzki, A. Experimental verification of signal propagation in automotive ignition cables modelled with distributed parameter circuit. Arch. Electr. Eng. 2019, 68, 667–675. [Google Scholar]
- Włodarczyk, M.; Szczepaniak, J. Symmetrical T−network with fractional order elements. In Proceedings of the 2016 IEEE 16th International Conference on Enviroment and Electrical Engineering (EEEIC), Florence, Italy, 7–10 June 2016; pp. 1–5. [Google Scholar]
- Udaratin, A.; Alyunov, A.; Krutikov, A.; Mukhametova, L.R.; Zaripov, O.O.; Bochkarev, I.V. Efficiency study of the reactive shunt compensation device in power lines. In Proceedings of the International Scientific and Technical Conference Smart Energy Systems 2019 (SES−2019), Copenhagen, Denmark, 10–11 September 2019; Volume 124. [Google Scholar] [CrossRef] [Green Version]
- Suhail, M.H.; Fuad, M.M. Studying the characteristics impedance of coaxial transmission line using X−band. Int. J. Eng. Tech. Res. 2014, 2, 19–24. [Google Scholar]
- Mazur, D.; Paszkiewicz, A.; Bolanowski, M.; Budzik, G.; Oleksy, M. Analysis of possible SDN use in the rapid prototyping processas part of the Industry 4.0. Bull. Pol. Acad. Sciences. Tech. Sci. 2019, 67. [Google Scholar] [CrossRef]
- Włodarczyk, M.; Szczepaniak, J. The impact of unit parameter errors on the values of wave parameters in a long line. In Proceedings of the Conference SPETO 2018, Ustroń, Poland, 16−19 May 2018; pp. 47–48. (In Polish). [Google Scholar]
- Berger, J.; Maier, A. Fehlerortung auf AbzweigleitungenvermaschterMittels—Pannungsnetze. Elektrizitatswirtschaft 1999, 95, 1246–1252. [Google Scholar]
- Różowicz, S.; Włodarczyk, M.; Zawadzki, A. Wave parameters of symmetrical two−port networks containing elements of fractional order. In Proceedings of the 17th International Conference Computational Problems of Electrical Engineering (CPEE), Sandomierz, Poland, 14–17 September 2016. [Google Scholar]
- Różowicz, S.; Tofil, S. The influence of impurities on the operation of selected fuel ignition systems in combustion engines. Arch. Electr. Eng. 2016, 65, 349–360. [Google Scholar] [CrossRef] [Green Version]
- Różowicz, S. The effect of different ignition cables on spark plug durability. Przgląd Elektrotechniczny (Electr. Rev.) 2018, 94, 191–195. [Google Scholar] [CrossRef] [Green Version]
- Zawadzki, A.; Różowicz, S. Application of input−state of the system transformation for linearization of selected electrical circuits. J. Electr. Eng. 2016, 67, 199–205. [Google Scholar] [CrossRef] [Green Version]
- Zawadzki, A.; Różowicz, S. Application of input—State of the system transformation for linearization of some nonlinear generators. Int. J. Control. Autom. Syst. 2015, 13, 1–8. [Google Scholar] [CrossRef]
- Szcześniak, A.; Myczuda, Z. A method of charge accumulation in the logarithmic analog−to−digital converter with a successive approximation. Przegląd Elektrotechniczny 2010, 86, 336–340. [Google Scholar]
Publisher’s Note: MDPI stays neutral with regard to jurisdictional claims in published maps and institutional affiliations. |
© 2021 by the authors. Licensee MDPI, Basel, Switzerland. This article is an open access article distributed under the terms and conditions of the Creative Commons Attribution (CC BY) license (https://creativecommons.org/licenses/by/4.0/).























