Biomass Potential of the Marginal Land of the Polish Sudetes Mountain Range
Abstract
:1. Introduction
2. Materials and Methods
2.1. Pot Experiments
2.2. GIS-Based Estimation of Marginal Land
3. Results and Discussion
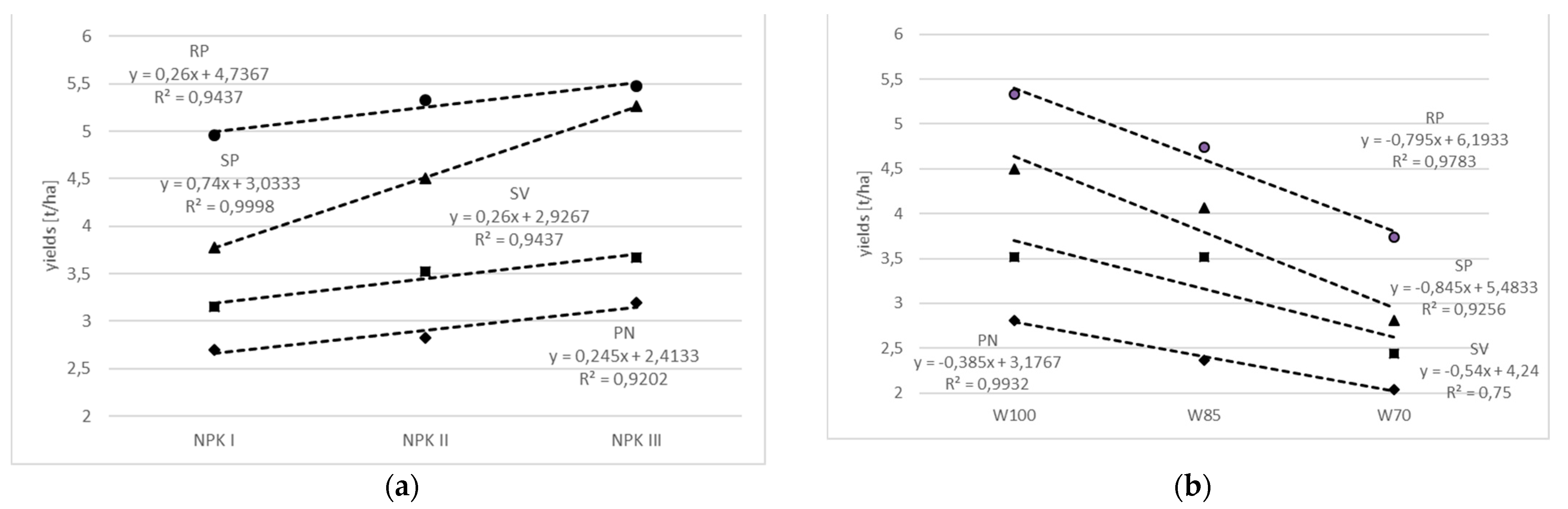
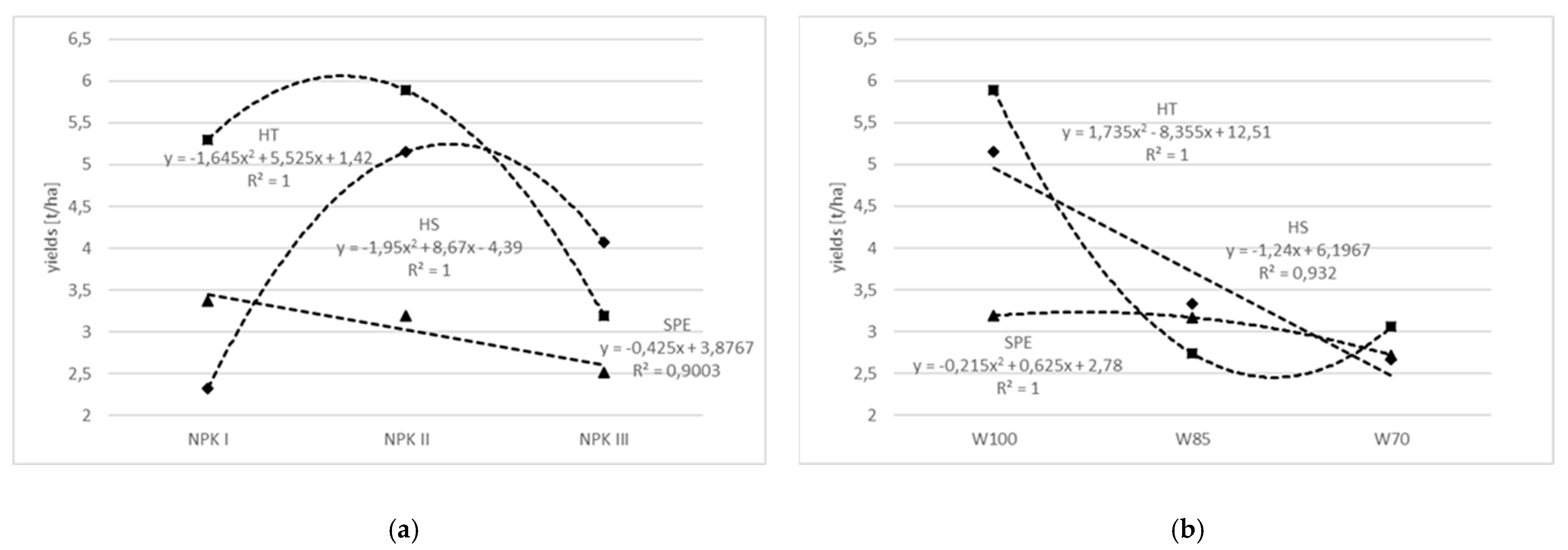
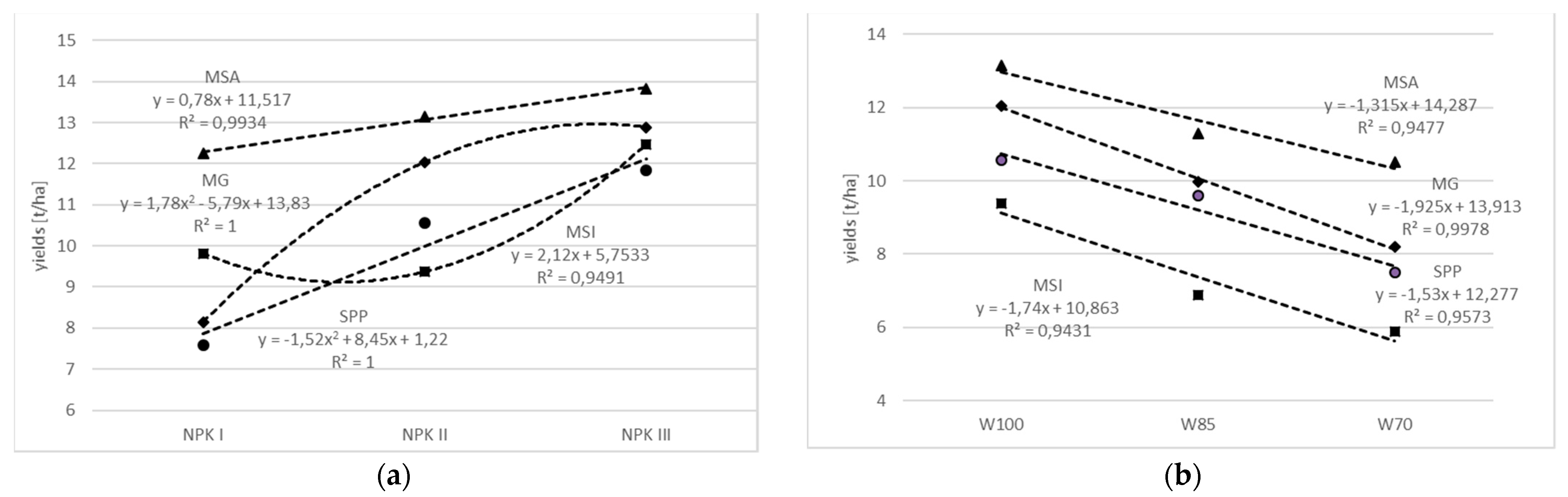
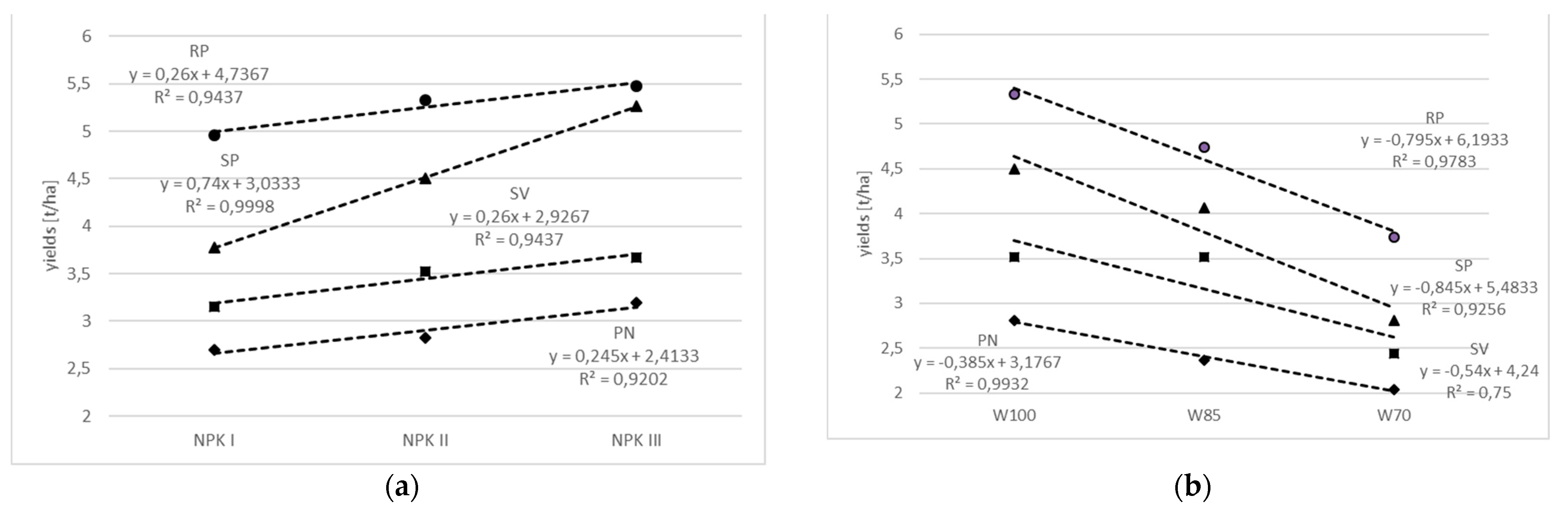
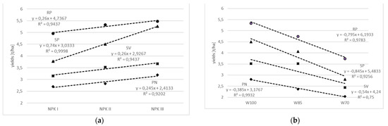
4. Results of Pot Tests on Trees and Shrubs
5. Results of Biomass Potential Studies Using GIS
6. Conclusions
Author Contributions
Funding
Institutional Review Board Statement
Informed Consent Statement
Data Availability Statement
Conflicts of Interest
References
- Strijker, D. Marginal lands in Europe-Causes of decline. Basic Appl. Ecol. 2005, 6, 99–106. [Google Scholar] [CrossRef]
- Skevas, T.; Swinton, S.M.; Hayden, N.J. What type of landowner would supply marginal land for energy crops? Biomass Bioenergy 2014, 67, 252–259. [Google Scholar] [CrossRef]
- Mellor, P.; Lord, R.A.; João, E.; Thomas, R.; Hursthouse, A. Identifying non-agricultural marginal lands as a route to sustainable bioenergy provision-a review and holistic definition. Renew. Sustain. Energy Rev. 2021, 135, 110220. [Google Scholar] [CrossRef]
- Shortall, O.K.; Anker, H.T.; Sandøe, P.; Gamborg, C. Room at the margins for energy-crops? A qualitative analysis of stakeholder views on the use of marginal land for biomass production in Denmark. Biomass Bioenergy 2019, 123, 51–58. [Google Scholar] [CrossRef]
- Glithero, N.J.; Wilson, P.; Ramsden, S.J. Optimal combinable and dedicated energy crop scenarios for marginal land. Appl. Energy 2015, 147, 82–91. [Google Scholar] [CrossRef]
- Shortall, O.K. “Marginal land” for energy crops: Exploring definitions and embedded assumptions. Energy Policy 2013, 62, 19–27. [Google Scholar] [CrossRef]
- Wójcik-Leń, J.; Sobolewska-Mikulska, K. Issues related to marginal lands with reference to selected agricultural problematic areas. J. Water L. Dev. 2017, 35, 265–273. [Google Scholar] [CrossRef]
- Ribeiro, B.E. Beyond commonplace biofuels: Social aspects of ethanol. Energy Policy 2013, 57, 355–362. [Google Scholar] [CrossRef]
- Fiorese, G.; Guariso, G. A GIS-based approach to evaluate biomass potential from energy crops at regional scale. Environ. Model. Softw. 2010, 25, 702–711. [Google Scholar] [CrossRef]
- Lu, L.; Tang, Y.; Xie, J.-S.; Yuan, Y.-L. The role of marginal agricultural land-based mulberry planting in biomass energy production. Renew. Energy 2009, 34, 1789–1794. [Google Scholar] [CrossRef]
- Diallo, B.; Li, M.; Tang, C.; Ameen, A.; Zhang, W.; Xie, G.H. Biomass yield, chemical composition and theoretical ethanol yield for different genotypes of energy sorghum cultivated on marginal land in China. Ind. Crops Prod. 2019, 137, 221–230. [Google Scholar] [CrossRef]
- Helliwell, R. Where did the marginal land go? Farmers perspectives on marginal land and its implications for adoption of dedicated energy crops. Energy Policy 2018, 117, 166–172. [Google Scholar] [CrossRef] [Green Version]
- Fernández, M.J.; Barro, R.; Pérez, J.; Ciria, P. Production and composition of biomass from short rotation coppice in marginal land: A 9-year study. Biomass Bioenergy 2020, 134, 105478. [Google Scholar] [CrossRef]
- Feng, Q.; Chaubey, I.; Engel, B.; Cibin, R.; Sudheer, K.P.; Volenec, J. Marginal land suitability for switchgrass, Miscanthus and hybrid poplar in the Upper Mississippi River Basin (UMRB). Environ. Model. Softw. 2017, 93, 356–365. [Google Scholar] [CrossRef] [Green Version]
- Zheng, C.; Iqbal, Y.; Labonte, N.; Sun, G.; Feng, H.; Yi, Z.; Xiao, L. Performance of switchgrass and Miscanthus genotypes on marginal land in the Yellow River Delta. Ind. Crops Prod. 2019, 141, 111773. [Google Scholar] [CrossRef]
- Wendimu, M.A. Jatropha potential on marginal land in Ethiopia: Reality or myth? Energy Sustain. Dev. 2016, 30, 14–20. [Google Scholar] [CrossRef] [Green Version]
- Schweier, J.; Becker, G. Economics of poplar short rotation coppice plantations on marginal land in Germany. Biomass Bioenergy 2013, 59, 494–502. [Google Scholar] [CrossRef]
- Nilsson, D.; Rosenqvist, H.; Bernesson, S. Profitability of the production of energy grasses on marginal agricultural land in Sweden. Biomass Bioenergy 2015, 83, 159–168. [Google Scholar] [CrossRef] [Green Version]
- Nunes, A.N.; de Almeida, A.C.; Coelho, C.O.A. Impacts of land use and cover type on runoff and soil erosion in a marginal area of Portugal. Appl. Geogr. 2011, 31, 687–699. [Google Scholar] [CrossRef]
- Feng, Q.; Chaubey, I.; Her, Y.G.; Cibin, R.; Engel, B.; Volenec, J.; Wang, X. Hydrologic and water quality impacts and biomass production potential on marginal land. Environ. Model. Softw. 2015, 72, 230–238. [Google Scholar] [CrossRef] [Green Version]
- Meehan, P.; Burke, B.; Doyle, D.; Barth, S.; Finnan, J. Exploring the potential of grass feedstock from marginal land in Ireland: Does marginal mean lower yield? Biomass Bioenergy 2017, 107, 361–369. [Google Scholar] [CrossRef]
- Malinowska, E.; Wiśniewska-Kadżajan, B.; Jankowski, K.; Sosnowski, J.; Wyrębek, H. Evaluation of the usefulness of biomass of different crops for energy. Sci. J. Univ. Nat. Sci. Hum. Siedlce 2014, 29, 49–61. [Google Scholar]
- Jezierska-Thöle, A.; Rudnicki, R.; Kluba, M. Development of energy crops cultivation for biomass production in Poland. Renew. Sustain. Energy Rev. 2016, 62, 534–545. [Google Scholar] [CrossRef]
- Cerazy-Waliszewska, J.; Jeżowski, S.; Łysakowski, P.; Waliszewska, B.; Zborowska, M.; Sobańska, K.; Ślusarkiewicz-Jarzina, A.; Białas, W.; Pniewski, T. Potential of bioethanol production from biomass of various Miscanthus genotypes cultivated in three-year plantations in west-central Poland. Ind. Crops Prod. 2019, 141, 111790. [Google Scholar] [CrossRef]
- Jankowski, K.J.; Sokólski, M.M.; Dubis, B.; Załuski, D.; Szempliński, W. Sweet sorghum-Biomass production and energy balance at different levels of agricultural inputs. A six-year field experiment in north-eastern Poland. Eur. J. Agron. 2020, 119, 126119. [Google Scholar] [CrossRef]
- Indarto, I.; Putra, B.T.W.; Mandala, M. Using Sentinel-2A to identify the change in dry marginal agricultural land occupation. J. Water Land Dev. 2020, 47, 89–95. [Google Scholar] [CrossRef]
- Zyadin, A.; Natarajan, K.; Latva-Käyrä, P.; Igliński, B.; Iglińska, A.; Trishkin, M.; Pelkonen, P.; Pappinen, A. Estimation of surplus biomass potential in southern and central Poland using GIS applications. Renew. Sustain. Energy Rev. 2018, 89, 204–215. [Google Scholar] [CrossRef]
- Stolarski, M.J.; Śnieg, M.; Krzyżaniak, M.; Tworkowski, J.; Szczukowski, S. Short rotation coppices, grasses and other herbaceous crops: Productivity and yield energy value versus 26 genotypes. Biomass Bioenergy 2018, 119, 109–120. [Google Scholar] [CrossRef]
- Toillon, J.; Dallé, E.; Bodineau, G.; Berthelot, A.; Bastien, J.C.; Brignolas, F.; Marron, N. Plasticity of yield and nitrogen removal in 56 Populus deltoides × P. nigra genotypes over two rotations of short-rotation coppice. For. Ecol. Manag. 2016, 375, 55–65. [Google Scholar] [CrossRef]
- Liu, Y.; Fang, Y.; An, S. How C:N:P stoichiometry in soils and plants responds to succession in Robinia pseudoacacia forests on the Loess Plateau, China. For. Ecol. Manag. 2020, 475, 118394. [Google Scholar] [CrossRef]
- Mleczek, M.; Rutkowski, P.; Rissmann, I.; Kaczmarek, Z.; Golinski, P.; Szentner, K.; Strazyńska, K.; Stachowiak, A. Biomass productivity and phytoremediation potential of Salix alba and Salix viminalis. Biomass Bioenergy 2010, 34, 1410–1418. [Google Scholar] [CrossRef]
- Chiaramonti, D.; Panoutsou, C. Policy measures for sustainable sunflower cropping in EU-MED marginal lands amended by biochar: Case study in Tuscany, Italy. Biomass Bioenergy 2019, 126, 199–210. [Google Scholar] [CrossRef]
- Gao, K.; Zhang, Z.; Zhu, T.; Coulter, J.A. The influence of flower removal on tuber yield and biomass characteristics of Helianthus tuberosus L. in a semi-arid area. Ind. Crop. Prod. 2020, 150, 112374. [Google Scholar] [CrossRef]
- Lisowski, A.; Klonowski, J.; Sypuła, M.; Chlebowski, J.; Kostyra, K.; Nowakowski, T.; Strużyk, A.; Świętochowski, A.; Dąbrowska, M.; Mieszkalski, L.; et al. Energy of feeding and chopping of biomass processing in the working units of forage harvester and energy balance of methane production from selected energy plants species. Biomass Bioenergy 2019, 128, 105301. [Google Scholar] [CrossRef]
- Brami, C.; Nathan Lowe, C.; Menasseri, S.; Jacquet, T.; Pérès, G. Multi-parameter assessment of soil quality under Miscanthus x giganteus crop at marginal sites in Île-de-France. Biomass Bioenergy 2020, 142, 105793. [Google Scholar] [CrossRef]
- FAO and IUSS Working Group WRB. World Reference Base for Soil Resources 2014 International Soil Classification System; FAO: Rome, Italy, 2015; ISBN 9789251083697. [Google Scholar]
- Bryan, B.A.; Ward, J.; Hobbs, T. An assessment of the economic and environmental potential of biomass production in an agricultural region. Land Use Policy 2008, 25, 533–549. [Google Scholar] [CrossRef]
- Jiang, D.; Wang, Q.; Ding, F.; Fu, J.; Hao, M. Potential marginal land resources of cassava worldwide: A data-driven analysis. Renew. Sustain. Energy Rev. 2019, 104, 167–173. [Google Scholar] [CrossRef]
- Sallustio, L.; Pettenella, D.; Merlini, P.; Romano, R.; Salvati, L.; Marchetti, M.; Corona, P. Assessing the economic marginality of agricultural lands in Italy to support land use planning. Land Use Policy 2018, 76, 526–534. [Google Scholar] [CrossRef]
- Liu, T.T.; McConkey, B.G.; Ma, Z.Y.; Liu, Z.G.; Li, X.; Cheng, L.L. Strengths, weaknessness, opportunities and threats analysis of bioenergy production on Marginal Land. Energy Procedia 2011, 5, 2378–2386. [Google Scholar] [CrossRef] [Green Version]
- Cichorz, S.; Goska, M.; Litwiniec, A. Trawy wieloletnie z rodzaju Miscanthus-potencjalne źródło energii odnawialnej. Biul. Inst. Hod. i Aklim. Roślin 2014, 274, 133–151. [Google Scholar]
- Chmura, K.; Dmowski, Z.; Nowak, L. Rola czynnika wodnego w kształtowaniu plonu wybranych roślin polowych. Infrastrukt. I Ekol. Teren. Wiej. 2009, 9, 33–44. [Google Scholar]
- Czyżyk, F.; Stainhoff-Wrześniewska, A. Variety of evapotranspiration of certain cultivated plants in conditions of different fertilization. Water-Environ.-Rural. Areas 2017, 2017, 25–36. [Google Scholar]
- Bogawski, P.; Bednorz, E. Atmospheric conditions controlling extreme summertime evapotranspiration in Poland (central Europe). Nat. Hazards 2016, 81, 55–69. [Google Scholar] [CrossRef] [Green Version]
- Rzekanowski, C. Shaping of irrigation needs for fruit plants in poland. Infrastruct. Ecol. Rural. Areas 2009, 3, 19–27. [Google Scholar]
- Maziarek, A.; Krawczyk, A. Gleba Jako Środowisko Odżywcze Roślin; Opolski Ośrodek Doradztwa Rolniczego: Łosiów, Poland, 2015; ISBN 9788360304594. [Google Scholar]
- Nowak, W.; Józef Sowiński, A.J. Wpływ Częstotliwości Zbioru I Zróżnicowanego Nawożenia Azotem Na Plonowanie Wybranych Klonów Wierzby Krzewiastej (Salix viminalis L.). Fragm. Agron. 2011, 28, 55–62. [Google Scholar]
- Kalembasa, D.; Elżbieta Malinowska, M.S. Wpływ Nawożenia Na Plonowanie Wybranych Gatunków Wierzby Krzewiastej. Acta Agrophysica 2006, 8, 119–126. [Google Scholar]
- Blake, L.; Mercik, S.; Koerschens, M.; Moskal, S.; Poulton, P.R.; Goulding, K.W.T.; Weigel, A.; Powlson, D.S. Phosphorus content in soil, uptake by plants and balance in three European long-term field experiments. Nutr. Cycl. Agroecosystems 2000, 56, 263–275. [Google Scholar] [CrossRef]
- Kitczak, T.; Czyż, H. (Salix Viminals) to organic and mineral fertilization. Agric. Eng. 2014, 18, 4. [Google Scholar]
- Jurczuk, S.; Chrzanowski, S.; Jaszczyński, J. Plonowanie wierzby energetycznej w różnych warunkach glebowo-wodnych. Probl. Inżynierii Rol. 2010, 18, 113–121. [Google Scholar]
- Szczukowski, S.; Budny, J. Wierzba Krzewiasta–ro ś lina Energetyczna. Available online: https://www.bip.wfosigw.olsztyn.pl/res/serwisy/bip-wfosigwolsztyn/komunikaty/_016_003_001_64954.pdf (accessed on 26 October 2021).
- Juliszewski, T.; Baran, D.; Maszyn, K.E. Na przyrosty wierzby energetycznej. Inżynieria Rol. 2006, 10, 225–232. [Google Scholar]
- Geiger, D.B. Phloem Loading and Associated Processes. In Phloem Transport; Aronoff, S., Dainty, J., Gorham, P.R., Srivastava, L.M., Swanson, C.A., Eds.; NATO Advanced Study Institutes Series (Series A: Life Sciences); Springer: Boston, MA, USA, 1975; Volume 4. [Google Scholar] [CrossRef]
- Kowalczyk-Juśko, A. Biometryczne i energetyczne parametry spartiny preriowej (Spartina pectinata Link.) w trzech pierwszych latach wegetacji. Probl. Inżynierii Rol. 2013, 2013, 69–78. [Google Scholar]
- Pochodzenia, S.E.; Ii, C.Z.; Jako, B.; Stałe, P.; Dowy, A.P.Ą.; Warmi, U. Surowce energetyczne pochodzenia rolniczego cz. ii. biomasa jako paliwo stałe. Acta Sci. Pol. Agric. 2004, 3, 15–26. [Google Scholar]
- Dubis, B.; Jankowski, K.J.; Załuski, D.; Bórawski, P.; Szempliński, W. Biomass production and energy balance of Miscanthus over a period of 11 years: A case study in a large-scale farm in Poland. GCB Bioenergy 2019, 11, 1187–1201. [Google Scholar] [CrossRef] [Green Version]
- Gauder, M.; Graeff-Hönninger, S.; Lewandowski, I.; Claupein, W. Long-term yield and performance of 15 different Miscanthus genotypes in southwest Germany. Ann. Appl. Biol. 2012, 160, 126–136. [Google Scholar] [CrossRef]
- Jeżowski, S. Miskant chiński (Miscanthus sinensis (Thunb.) Andersson)-Źródło odnawialnych i ekologicznych surowców dla polski. Zesz. Probl. Postępów Nauk. Rol. 1999, 486, 156–166. [Google Scholar]
- Borkowska, H.; Molas, R. Yield comparison of four lignocellulosic perennial energy crop species. Biomass Bioenergy 2013, 51, 145–453. [Google Scholar] [CrossRef]
- Dubis, B.; Bułkowska, K.; Lewandowska, M.; Szempliński, W.; Jankowski, K.J.; Idźkowski, J.; Kordala, N.; Szymańska, K. Effect of different nitrogen fertilizer treatments on the conversion of Miscanthus × giganteus to ethanol. Bioresour. Technol. 2017, 243, 731–737. [Google Scholar] [CrossRef] [PubMed]
- Jankowski, K.J.; Dubis, B.; Budzyński, W.S.; Bórawski, P.; Bułkowska, K. Energy efficiency of crops grown for biogas production in a large-scale farm in Poland. Energy 2016, 109, 277–286. [Google Scholar] [CrossRef]
- Kołodziej, B.; Antonowicz, J.; Sugier, D. Miscanthus× giganteus as a biomass feedstock grown on municipal sewage sludge. Uprawa i Prod. Przem. 2016, 81, 69–77. [Google Scholar] [CrossRef]
- Matyka, M.; Kuś, J. Influence of soil quality for yielding and biometric features of Miscanthus x Giganteus. Polish J. Environ. Stud. 2016, 25, 213–219. [Google Scholar] [CrossRef]
- Kotecki, A. Uprawa Miskanta Olbrzymiego: Energetyczne i Pozaenergetyczne Możliwości Wykorzystania Słomy; Wydawnictwo Uniwersytetu Przyrodniczego we Wrocławiu: Wrocław, Poland, 2010; ISBN 978-83-60574-96-6. [Google Scholar]
- Werner, C.; Haas, E.; Grote, R.; Gauder, M.; Graeff-Hönninger, S.; Claupein, W.; Butterbach-Bahl, K. Biomass production potential from Populus short rotation systems in Romania. GCB Bioenergy 2012, 4, 642–653. [Google Scholar] [CrossRef]
- Moulogianni, C.; Bournaris, T. Biomass production from crops residues: Ranking of agro-energy regions. Energies 2017, 10, 1061. [Google Scholar] [CrossRef] [Green Version]
- Moulogianni, C.; Banias, G.; Bournaris, T.; Kotsopoulos, T. Potentials of biomass production in the region of Central Macedonia in Northern Greece, International Journal of Sustainable Agricultural Management and Informatics. Int. J. Sustain. Agric. Manag. Inform. 2017, 3, 258–270. [Google Scholar]






| Type Plant | Plant Species | Symbol | NPKI | W 100 | W 85 | W 70 |
|---|---|---|---|---|---|---|
| N:P:K kg/ha | dm3/pot/year | |||||
| Woody plants | Populus nigra | PN | NPK I 45:15:30 | 540 | 485 | 414 |
| Salix purpurea | SP | 537 | 484 | 418 | ||
| Salix viminalis | SV | 519 | 461 | 406 | ||
| Robinia pseudoacacia | RP | NPK II 90:30:60 | 555 | 493 | 423 | |
| Grasses plants | Spartina pactinata | SPP | 513 | 461 | 399 | |
| Miscanthus sacchariflorus | MSA | 516 | 465 | 406 | ||
| Miscanthus giganteus | MG | 520 | 466 | 400 | ||
| Miscanthus sinensis | MSI | NPK III 135:45:90 | 512 | 459 | 406 | |
| Perennial plants | Helianthus salicifolius | HS | 527 | 456 | 411 | |
| Silphium perfoliatum | SPE | 558 | 506 | 440 | ||
| Helianthus tuberosus | HT | 632 | 538 | 502 | ||
| Plant Species | Dry Mass of the Sample (t/ha) | |||||
|---|---|---|---|---|---|---|
| NPK I | NPK II | NPK III | W 100 | W 85 | W 70 | |
| PN | 2.70 ± 0.46 | 2.82 ± 0.05 | 3.19 ± 0.26 | 2.81 ± 0.05 | 2.37 ± 0.23 | 2.04 ± 0.36 |
| SP | 3.78 ± 0.24 | 4.50 ± 0.32 | 5.26 ± 0.23 | 4.50 ± 0.32 | 4.07 ± 0.34 | 2.81 ± 0.10 |
| SV | 3.15 ± 0.18 | 3.52 ± 0.21 | 3.67 ± 0.18 | 3.52 ± 0.47 | 3.26 ± 0.47 | 2.44 ± 0.16 |
| RP | 4.96 ± 1.42 | 5.33 ± 0.64 | 5.48 ± 0.64 | 5.33 ± 0.64 | 4.74 ± 0.95 | 3.74 ± 0.21 |
| Plant Species | Dry Mass of the Sample (t/ha) | |||||
|---|---|---|---|---|---|---|
| NPK I | NPK II | NPK III | W 100 | W 85 | W 70 | |
| HS | 2.33 ± 0.27 | 5.15 ± 0.93 | 4.07 ± 0.14 | 5.15 ± 0.93 | 3.33 ± 0.33 | 2.67 ± 0.09 |
| SPE | 3.37 ± 0.14 | 3.19 ± 0.60 | 2.52 ± 0.23 | 3.19 ± 0.60 | 3.17 ± 0.14 | 2.72 ± 0.05 |
| HT | 5.30 ± 0.23 | 5.89 ± 0.24 | 3.19 ± 0.42 | 5.89 ± 0.24 | 2.74 ± 0.52 | 3.06 ± 0.23 |
| Plant Species | Dry Mass of the Sample (t/ha) | |||||
|---|---|---|---|---|---|---|
| NPK I | NPK II | NPK III | W 100 | W 85 | W 70 | |
| SPP | 8.15 ± 0.37 | 12.04 ± 0.76 | 12.89 ± 0.68 | 12.04 ± 0.76 | 9.96 ± 1.17 | 8.19 ± 0.37 |
| MSA | 12.26 ± 0.37 | 13.15 ± 0.29 | 13.82 ± 1.22 | 13.15 ± 0.29 | 11.30 ± 0.38 | 10.52 ± 1.05 |
| MG | 9.82 ± 0.55 | 9.37 ± 0.92 | 12.48 ± 1.53 | 9.37 ± 0.92 | 6.89 ± 0.73 | 5.89 ± 0.64 |
| MSI | 7.59 ± 1.06 | 10.56 ± 0.18 | 11.83 ± 0.14 | 10.56 ± 0.18 | 9.59 ± 0.34 | 7.50 ± 0.05 |
| SPP | MSA | MG | MSI | ||||||
|---|---|---|---|---|---|---|---|---|---|
| NPK I | |||||||||
| PN | −26.4% | −6.3% | 2.5% | −22.6% | |||||
| SP | −27.4% | −9.4% | −2.6% | −24.2% | |||||
| SV | −26.9% | −7.6% | 0.2% | −23.3% | SPP | MSA | MG | MSI | |
| RP | −23.8% | −6.8% | 0.2% | −20.4% | NPK II W 85 | ||||
| HS | −39.7% | −21.6% | −18.1% | −37.6% | −17.0% | −14.4% | −23.8% | −10.8% | |
| SPE | −23.5% | −4.1% | 5.0% | −19.5% | −15.0% | −12.8% | −20.5% | −9.3% | |
| HT | −24.3% | −7.9% | −1.4% | −21.1% | −13.0% | −10.8% | −18.5% | −6.7% | |
| NPK II W 100 [tone of dry biomass] | −15.2% | −13.1% | −20.4% | −9.9% | |||||
| PN | 254,684 | 273,217 | 210,106 | 229,974 | −23.2% | −20.6% | −29.9% | −18.5% | |
| SP | 286,655 | 305,187 | 242,077 | 261,945 | −13.4% | −11.2% | −19.2% | −7.0% | |
| SV | 268,005 | 286,538 | 223,427 | 243,295 | −30.2% | −27.4% | −37.7% | −26.4% | |
| RP | 302,450 | 320,982 | 257,871 | 277,740 | NPK II W 70 | ||||
| HS | 299,024 | 317,557 | 254,446 | 274,314 | −31.1% | −21.5% | −34.7% | −28.7% | |
| SPE | 261,726 | 280,258 | 217,147 | 237,015 | −33.6% | −24.9% | −37.3% | −31.8% | |
| HT | 313,107 | 331,639 | 268,528 | 288,396 | −31.7% | −22.5% | −35.2% | −29.4% | |
| NPK III | −31.3% | −23.1% | −34.3% | −29.3% | |||||
| PN | 8.3% | 6.7% | 28.1% | 12.3% | −37.3% | −28.7% | −41.4% | −35.8% | |
| SP | 10.0% | 8.4% | 27.4% | 13.6% | −28.0% | −18.9% | −30.9% | −25.3% | |
| SV | 6.4% | 4.9% | 24.5% | 9.9% | −37.7% | −29.5% | −41.7% | −36.4% | |
| RP | 5.6% | 4.4% | 21.2% | 8.7% | |||||
| HS | −2.1% | −2.9% | 12.3% | 0.2% | |||||
| SPE | 0.6% | −0.6% | 18.0% | 3.6% | |||||
| HT | −11.9% | −12.1% | 0.2% | −10.5% | |||||
Publisher’s Note: MDPI stays neutral with regard to jurisdictional claims in published maps and institutional affiliations. |
© 2021 by the authors. Licensee MDPI, Basel, Switzerland. This article is an open access article distributed under the terms and conditions of the Creative Commons Attribution (CC BY) license (https://creativecommons.org/licenses/by/4.0/).
Share and Cite
Helis, M.; Strzelczyk, M.; Golimowski, W.; Steinhoff-Wrześniewska, A.; Paszkiewicz-Jasińska, A.; Hawrot-Paw, M.; Koniuszy, A.; Hryniewicz, M. Biomass Potential of the Marginal Land of the Polish Sudetes Mountain Range. Energies 2021, 14, 7156. https://doi.org/10.3390/en14217156
Helis M, Strzelczyk M, Golimowski W, Steinhoff-Wrześniewska A, Paszkiewicz-Jasińska A, Hawrot-Paw M, Koniuszy A, Hryniewicz M. Biomass Potential of the Marginal Land of the Polish Sudetes Mountain Range. Energies. 2021; 14(21):7156. https://doi.org/10.3390/en14217156
Chicago/Turabian StyleHelis, Marek, Maria Strzelczyk, Wojciech Golimowski, Aleksandra Steinhoff-Wrześniewska, Anna Paszkiewicz-Jasińska, Małgorzata Hawrot-Paw, Adam Koniuszy, and Marek Hryniewicz. 2021. "Biomass Potential of the Marginal Land of the Polish Sudetes Mountain Range" Energies 14, no. 21: 7156. https://doi.org/10.3390/en14217156
APA StyleHelis, M., Strzelczyk, M., Golimowski, W., Steinhoff-Wrześniewska, A., Paszkiewicz-Jasińska, A., Hawrot-Paw, M., Koniuszy, A., & Hryniewicz, M. (2021). Biomass Potential of the Marginal Land of the Polish Sudetes Mountain Range. Energies, 14(21), 7156. https://doi.org/10.3390/en14217156

