Method of Estimating Uncertainty as a Way to Evaluate Continuity Quality of Power Supply in Hospital Devices
Abstract
1. Introduction
2. State of the Art
- Availability (Dav)—a dimension that defines the possibility of energy being provided on demand, at a given time and by an authorized process. This dimension is directly related to energy security.
- Appropriate amount (Daa)—a dimension that determines how much energy is adequate to complete the task, and at the same time indicates that the amount is sufficient and that energy surplus could reduce the quality.
- Power supply reliability (Dpsr)—a dimension that determines that the reliability of the power system is at an appropriate level to perform a particular task.
- Power quality (Dpq)—a dimension that defines the supplied power quality.
- Assurance (Das)—a dimension that determines the assurance that energy will be provided to carry out the task.
- Responsiveness (Dres)—a dimension that determines requested energy availability by the system and whether the supply system will meet this demand.
- Security (Dse)—a dimension that determines adequate protection of the power supply systems against external factors.
- m—number of dimensions, quality components (equals 7 in accordance with the number of the abovementioned dimensions),
- D—a variable defining the influence of a given dimension (e.g., value in the range [0, 1]).
- Delivery to the recipient. Power transport systems are typically a wiring system based on electrical conductors.
- Distribution by the recipient. The power distribution system is typically the cabling network of the recipient building.
- Delivery to the device. Supplying power to the device is not only about cables, but also security and frequently about power adapters.
- Power-consuming device.
3. Description of the Model of Evaluating the Continuity Quality of Power Supply
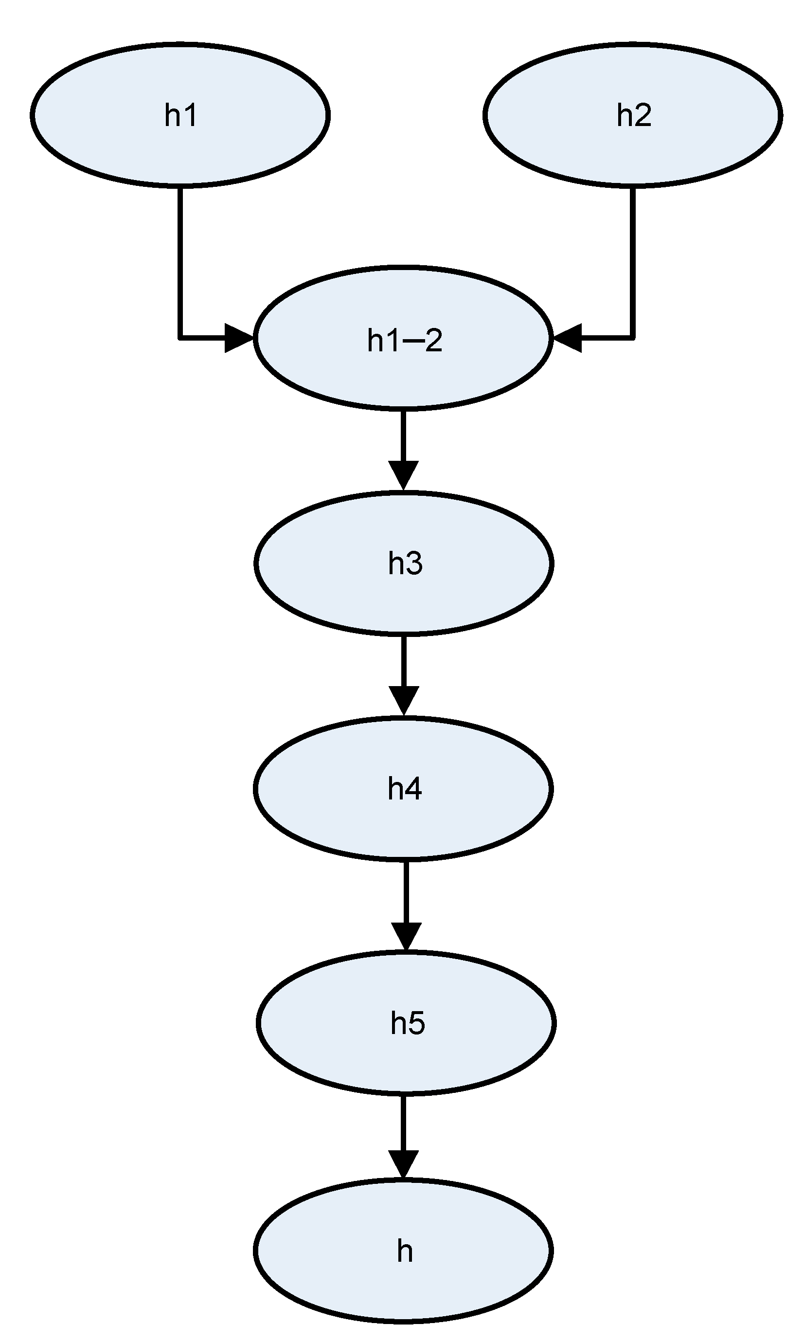
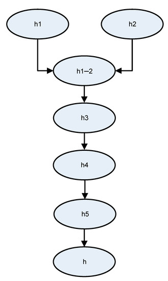
- Factors connected with the main source of supply. In this case, the source could be the power installation or a local power-generating unit. This group of factors will include power supply reliability [39,40], power availability (if sufficient power is provided) [41] and service error. Factors connected with the source of supply will influence the value of intermediate hypothesis h1.
- Factors connected with a stand-by source of supply. In this case, the source could be the power installation or a local power-generating unit. This group of factors will include power supply reliability [39,40], power availability (if sufficient power is provided) [41] and service error. Factors connected with the source of supply will influence the value of intermediate hypothesis h2.
- Factors connected with power transmission. In this case, the factors include the adequacy of the applied media, their reliability (reliability structures [42,43,44,45,46]), construction error (human) and power loss. Factors connected with power transmission will influence the value of intermediate hypothesis h3.
- Other factors connected with fortuitous events. In this case, the factors include cataclysms. Factors connected with fortuitous events will influence the value of intermediate hypothesis h5.
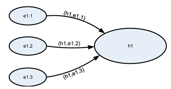
- h1—Main source of supply provides electrical power. On the basis of observation e1.
- h2—Stand-by source of supply provides power. On the basis of observation e2.
- h3—Systems of power transmission function correctly. On the basis of observation e3.
- h4—Efficiency of security systems is ensured. On the basis of observation e4.
- h5—No fortuitous event affects the supply of power. On the basis of observation e5.
- e1.1—Supply system functions correctly.
- e1.2—Failure of external supply system (1- Dpsr).
- e1.3—Lack of external power (1- Dse).
- e2.1—Stand-by power supply system functions correctly.
- e2.2—Failure of elements providing stand-by supply (1- Dpsr).
- e2.3—Power shortage from stand-by source (e.g., poorly designed supply network) (1- Daa).
- e3.1—Supply system functions correctly.
- e3.2—Damage to the elements providing supply (1- Dpsr).
- e3.3—Power shortage (e.g., poorly designed supply network; wrong wire intersection) (1- Dav).
- e4.1—security system functions correctly.
- e4.2—Inadequate security systems, which broke down (1- Dpsr).
- e4.3—Incompatible or poorly designed security system (1- Dse).
- e5.1—Supply system functions correctly.
- e5.2—Breakdown due to cataclysm (1- Dpsr).
- e5.3—Breakdown due to human error (1- Das).
4. Uncertainty Modeling
4.1. Certainty Factor of Hypothesis Modeling
- CF—certainty factor;
- MB—measure of belief;
- MD—measure of disbelief;
- P—probability;
- s—hypothesis based on some information from observation.
4.1.1. Basic Parallel Model
4.1.2. Basic Serial Model
5. Applying the Hybrid Method in Evaluating CQoPS Modeling
6. Simulation and Comparison of Results
7. Summary
Author Contributions
Funding
Institutional Review Board Statement
Informed Consent Statement
Data Availability Statement
Conflicts of Interest
References
- Baggini, A. (Ed.) Handbook of Power Quality; John Wiley & Sons: Hoboken, NJ, USA, 2008. [Google Scholar] [CrossRef]
- Billinton, R.; Allan, R.N. Reliability Evaluation of Power Systems; Plenum Press: New York, NY, USA, 1996. [Google Scholar]
- Rosinski, A.; Dabrowski, T. Modelling reliability of uninterruptible power supply units. Ekspolatacja Niezawodn. Maint. Reliab. 2013, 15, 409–413. [Google Scholar]
- Paś, J. Operation of Electronic Transportation Systems; Publishing House University of Technology and Humanities: Radom, Poland, 2015. [Google Scholar]
- Rosiński, A. Modelling the Maintenance Process of Transport Telematics Systems; Publishing House Warsaw University of Technology: Warsaw, Poland, 2015. [Google Scholar]
- Verma, A.K.; Ajit, A.; Karanki, D.R. Reliability and Safety Engineering; Springer: London, UK, 2010. [Google Scholar]
- Swartout, W.R. Rule-based expert systems: The MYCIN experiments of the stanford heuristic programming project. Artif. Intell. 1985, 26, 364–366. [Google Scholar] [CrossRef]
- Heckerman, D. The certainty-factor model. In Encyclopedia of Artificial Intelligence, 2nd ed.; Shapiro, S., Ed.; Wiley: New York, NY, USA, 1992; pp. 131–138. [Google Scholar]
- Dempster, A.P. Upper and lower probabilities inducted by a multi-valued mapping. Ann. Math. Stat. 1967, 38, 325–339. [Google Scholar]
- Shafer, G. A Mathematical Theory of Evidence; Princeton University Press: Princeton, NJ, USA, 1976. [Google Scholar]
- Pieczynski, W. Unsupervised Dempster-Shafer fusion of dependent sensors. In Proceedings of the 4th IEEE Southwest Symposium Image Analysis and Interpretation, Austin, TX, USA, 2–4 April 2000; pp. 247–251. [Google Scholar] [CrossRef]
- Weng, N.; Li, I.-H.; Vespa, L. Information quality model and optimization for 802.15.4-based wireless sensor networks. J. Netw. Comput. Appl. 2011, 34, 1773–1783. [Google Scholar] [CrossRef]
- Olaisen, J. Information quality factors and the cognitive authority of electronic information. In Information Quality: Definitions and Dimensions; Wormell, I., Ed.; Taylor Graham: Los Angeles, CA, USA, 1990; pp. 99–120. [Google Scholar]
- Zhu, H.; Madnick, S.E.; Lee, Y.W.; Wang, R.Y. Data and information quality research: Its evolution and future. In Computing Handbook: Information Systems and Information Technology, 3rd ed.; Topi, H., Tucker, A., Eds.; CRC: London, UK, 2014. [Google Scholar]
- Stawowy, M. Comparison of uncertainty models of impact of teleinformation devices reliability on information quality. In Safety and Reliability: Methodology and Applications—Proceedings of the European Safety and Reliability Conference ESREL 2014; Nowakowski, T., Młyńczak, M., Jodejko-Pietruczuk, A., Werbińska–Wojciechowska, S., Eds.; CRC Press/Balkema: London, UK, 2015; pp. 2329–2333. [Google Scholar]
- Stawowy, M.; Dziula, P. Comparison of uncertainty multilayer models of impact of teleinformation devices reliability on information quality. In Safety and Reliability of Complex Engineered Systems—Proceedings of the European Safety and Reliability Conference ESREL 2015; Podofillini, L., Sudret, B., Stojadinovic, B., Zio, E., Kröger, W., Eds.; CRC Press/Balkema: London, UK, 2015; pp. 2685–2691. [Google Scholar]
- Stawowy, M.; Perlicki, K.; Sumiła, M.; Čepin, M.; Briš, R. Comparison of uncertainty multilevel models to ensure ITS Services. In Safety and Reliability—Theory and Applications; CRC Press: Boca Raton, FL, USA, 2017; Volume 382, pp. 2647–2652. [Google Scholar] [CrossRef]
- Siergiejczyk, M.; Stawowy, M.; Walls, L.; Revie, M.; Bedford, T. Modelling of uncertainty for continuity quality of power supply. In Proceedings of the Risk, Reliability and Safety: Innovating Theory and Practice; Walls, L., Revie, M., Bedford, T., Eds.; CRC Press/Balkema: London, UK, 2017; pp. 667–671. [Google Scholar]
- Losurdo, F.; Dileo, I.; Siergiejczyk, M.; Krzykowska, K.; Krzykowski, M. Innovation in the ICT Infrastructure as a Key Factor in Enhancing Road Safety: A Multi-Sectoral Approach. In Proceedings of the 25th International Conference on Systems Engineering ICSEng 2017, Las Vegas, NV, USA, 22–24 August 2017; IEEE Computer Society Conference Publishing Services (CPS): Washington, DC, USA, 2017; pp. 157–162. [Google Scholar]
- Jacyna, M.; Żak, J.; Gołębiowski, P. The EMITRANSYS model and the possibilities of its application for the analysis of the development of sustainable transport systems. Combust. Engines 2019, 179, 243–248. [Google Scholar]
- Tomczuk, P.; Chrzanowicz, M.; Jaskowski, P. Procedure for measuring the luminance of roadway billboards and preliminary results. LEUKOS 2020, 1–19. [Google Scholar] [CrossRef]
- Zwolińska, B.; Tubis, A.A.; Chamier-Gliszczyński, N.; Kostrzewski, M. Personalization of the MES System to the Needs of Highly Variable Production. Sensors 2020, 20, 6484. [Google Scholar] [CrossRef]
- Konč, M.; Doleček, R.; Černý, O.; Dobeš, I. The effects of faults at the distribution systems on the traction power supply systems. In Proceedings of the 2016 26th International Conference Radioelektronika (RADIOELEKTRONIKA), Kosice, Slovakia, 19–20 April 2016; pp. 95–99. [Google Scholar]
- Popel’, O.S.; Tarasenko, A.B. Hybrid electric energy storages: Their specific features and application (review). Therm. Eng. 2018, 65, 266–281. [Google Scholar] [CrossRef]
- Stasiuk, O.I.; Grishchuk, R.V.; Goncharova, L.L. Mathematical differential models and methods for assessing the cybersecurity of intelligent computer networks for control of technological processes of railway power supply. Cybern. Syst. Anal. 2018, 54, 671–677. [Google Scholar] [CrossRef]
- Tranchita, C.; Hadjsaid, N.; Viziteu, M.; Rozel, B.; Caire, R. ICT and Powers Systems: An Integrated Approach. In Computational Biology; Springer Science and Business Media LLC: Berlin, Germany, 2009; pp. 71–109. [Google Scholar]
- Paś, J.; Klimczak, T. Selected issues of the reliability and operational assessment of a fire alarm system. Ekspolatacja i Niezawodn.—Maint. Reliab. 2019, 21, 553–561. [Google Scholar] [CrossRef]
- Paś, J.; Siergiejczyk, M. Interference impact on the electronic safety system with a parallel structure. Diagnostyka 2016, 17, 49–55. [Google Scholar]
- Pas, J.; Rosinski, A.; Chrzan, M.; Bialek, K. Reliability-operational analysis of the LED lighting module including electromagnetic interference. IEEE Trans. Electromagn. Compat. 2020, 62, 2747–2758. [Google Scholar] [CrossRef]
- Massachusetts Institute of Technology Information Quality (MITIQ) Program. Available online: http://mitiq.mit.edu (accessed on 2 May 2020).
- Fisher, C.; Lauria, E.; Chengalur-Smith, S.; Wang, R. Introduction to Information Quality; Authorhouse: Bloomington, IN, USA, 2011. [Google Scholar]
- Stawowy, M. Method of Multilayer Modeling of Uncertainty in Estimating the Information Quality of ICT Systems in Transport; Publishing House Warsaw University of Technology: Warsaw, Poland, 2019. [Google Scholar]
- Kim, M.; Parkt, S.; Choi, J.K.; Lee, J. Energy independence of energy trading system in microgrid. In Proceedings of the 2017 IEEE Innovative Smart Grid Technologies—Asia (ISGT-Asia), Auckland, New Zealand, 4–7 December 2017; pp. 1–4. [Google Scholar]
- Carli, R.; Dotoli, M.; Jantzen, J.; Kristensen, M.; Ben Othman, S. Energy scheduling of a smart microgrid with shared photovoltaic panels and storage: The case of the Ballen marina in Samsø. Energy 2020, 198, 117188. [Google Scholar] [CrossRef]
- Krepl, V.; Shaheen, H.I.; Fandi, G.; Smutka, L.; Muller, Z.; Tlustý, J.; Husein, T.; Ghanem, S. The Role of renewable energies in the sustainable development of post-crisis electrical power sectors reconstruction. Energies 2020, 13, 6326. [Google Scholar] [CrossRef]
- Duer, S. Assessment of the operation process of wind power plant’s equipment with the use of an artificial neural network. Energies 2020, 13, 2437. [Google Scholar] [CrossRef]
- Hosseini, S.M.; Carli, R.; Dotoli, M. Robust optimal energy management of a residential microgrid under uncertainties on demand and renewable power generation. IEEE Trans. Autom. Sci. Eng. 2020, 1–20. [Google Scholar] [CrossRef]
- Park, S.; Salkuti, S.R. Optimal energy management of railroad electrical systems with renewable energy and energy storage systems. Sustainability 2019, 11, 6293. [Google Scholar] [CrossRef]
- Rosiński, A. Reliability-exploitation analysis of power supply in transport telematics system. In Safety and Reliability: Methodology and Applications—Proceedings of the European Safety and Reliability Conference ESREL 2014; Nowakowski, T., Młyńczak, M., Jodejko-Pietruczuk, A., Werbińska–Wojciechowska, S., Eds.; CRC Press/Balkema: London, UK, 2015; pp. 343–347. [Google Scholar]
- Antomarioni, S.; Bellinello, M.M.; Bevilacqua, M.; Ciarapica, F.E.; Da Silva, R.F.; De Souza, G.F.M. A data-driven approach to extend failure analysis: A framework development and a case study on a hydroelectric power plant. Energies 2020, 13, 6400. [Google Scholar] [CrossRef]
- Tesařová, M. Power Quality and Quality of Supply. In Intensive Programme “Renewable Energy Sources”; University of West Bohemia: Železná Ruda-Špičák, Czech Republic, 2011. [Google Scholar]
- Rychlicki, M.; Kasprzyk, Z.; Rosiński, A. Analysis of accuracy and reliability of different types of GPS receivers. Sensors 2020, 20, 6498. [Google Scholar] [CrossRef]
- Bednarek, M.; Dąbrowski, T.; Olchowik, W. Selected practical aspects of communication diagnosis in the industrial network. J. Konbin 2019, 49, 383–404. [Google Scholar] [CrossRef]
- Michalski, A.; Watral, Z.; Jakubowski, J. Energy harvesting—A real possibility of alternative power supply to wireless sensor networks. In Selected Aspects of the Use of "Energy Harvesting" Technology in Supplying Wireless Sensor Networks; Military Academy of Technology: Warsaw, Poland, 2017; pp. 39–88. [Google Scholar]
- Kozłowski, E.; Borucka, A.; Świderski, A. Application of the logistic regression for determining transition probability matrix of operating states in the transport systems. Ekspolatacja Niezawodn. Maint. Reliab. 2020, 22, 192–200. [Google Scholar] [CrossRef]
- Kornaszewski, M. Modelling of exploitation process of the railway traffic control device. WUT J. Transp. Eng. 2019, 124, 53–63. [Google Scholar] [CrossRef]
- Klimczak, T.; Paś, J. Basics of Exploitation of Fire Alarm Systems in Transport Facilities; Military University of Technology: Warsaw, Poland, 2020. [Google Scholar]
- Buchholz, B.M.; Styczynski, Z. Smart Grids—Fundamentals and Technologies in Electricity Networks; Springer: Heidelberg, Germany, 2014. [Google Scholar]
- Corsi, S. Voltage Control and Protection in Electrical Power Systems: From System Components to Wide-Area Control; Springer: New York, NY, USA, 2015. [Google Scholar]
- Soliman, S.A.; Mantawy, A.H. Modern Optimization Techniques with Applications in Electric Power Systems; Springer: London, UK, 2012. [Google Scholar]
- Sumper, A.; Baggini, A. Electrical Energy Efficiency: Technologies and Applications; John Wiley & Sons: Hoboken, NJ, USA, 2012. [Google Scholar] [CrossRef]
- Wang, L. (Ed.) Modeling and Control of Sustainable Power Systems; Springer: London, UK, 2012. [Google Scholar]
- Wiatr, J.; Miegoń, M. UPS Power Supplies and Accumulator Batteries in Emergency Power Systems; MEDIUM Publishing House: Warsaw, Poland, 2008. [Google Scholar]
- Suproniuk, M.; Skibko, Z.; Stachno, A. Diagnostics of some parameters of electricity generated in wind farms. Przegląd Elektrotechniczny 2019, 95, 105–108. [Google Scholar] [CrossRef]
- Suproniuk, M.; Paś, J. Analysis of electrical energy consumption on the example of a selected building. Biuletyn WAT 2019, LXVIII, 165–174. [Google Scholar] [CrossRef]
- Suproniuk, M.; Paś, J. Analysis of electrical energy consumption in a public utility buildings. Przegląd Elektrotechniczny 2019, 95, 97–100. [Google Scholar] [CrossRef]
- Rosiński, A.; Paś, J.; Łukasiak, J.; Szulim, M. Exploitation of electronic systems in building objects exposed to impact of strong electromagnetic pulses. In Proceedings of the 29th European Safety and Reliability Conference (ESREL), Hannover, Germany, 22–26 September 2019; Beer, M., Zio, E., Eds.; Research Publishing Services: Singapore, 2019; pp. 3320–3325. [Google Scholar] [CrossRef]
- Paś, J.; Buchla, S. Exploitation of electronic devices—Selected issues. J. KONBiN 2019, 49, 125–142. [Google Scholar] [CrossRef]












| Observation | Value |
|---|---|
| e1.1 | 0.98 |
| e1.2 | −0.1 |
| e1.3 | −0.02 |
| Observation | Value |
|---|---|
| e2.1 | 0.99 |
| e2.2 | −0.08 |
| e2.3 | −0.03 |
| Observation | Value |
|---|---|
| e3.1 | 0.998 |
| e3.2 | −0.05 |
| e3.3 | −0.0005 |
| Observation | Value |
|---|---|
| e4.1 | 0.985 |
| e4.2 | −0.03 |
| e4.3 | −0.01 |
Publisher’s Note: MDPI stays neutral with regard to jurisdictional claims in published maps and institutional affiliations. |
© 2021 by the authors. Licensee MDPI, Basel, Switzerland. This article is an open access article distributed under the terms and conditions of the Creative Commons Attribution (CC BY) license (http://creativecommons.org/licenses/by/4.0/).
Share and Cite
Stawowy, M.; Rosiński, A.; Paś, J.; Klimczak, T. Method of Estimating Uncertainty as a Way to Evaluate Continuity Quality of Power Supply in Hospital Devices. Energies 2021, 14, 486. https://doi.org/10.3390/en14020486
Stawowy M, Rosiński A, Paś J, Klimczak T. Method of Estimating Uncertainty as a Way to Evaluate Continuity Quality of Power Supply in Hospital Devices. Energies. 2021; 14(2):486. https://doi.org/10.3390/en14020486
Chicago/Turabian StyleStawowy, Marek, Adam Rosiński, Jacek Paś, and Tomasz Klimczak. 2021. "Method of Estimating Uncertainty as a Way to Evaluate Continuity Quality of Power Supply in Hospital Devices" Energies 14, no. 2: 486. https://doi.org/10.3390/en14020486
APA StyleStawowy, M., Rosiński, A., Paś, J., & Klimczak, T. (2021). Method of Estimating Uncertainty as a Way to Evaluate Continuity Quality of Power Supply in Hospital Devices. Energies, 14(2), 486. https://doi.org/10.3390/en14020486

