Tides and Tidal Currents—Guidelines for Site and Energy Resource Assessment
Abstract
:1. Introduction
- Geomorphology of the section for the optimum velocity range and bathymetry for position definition;
- The real flow field in terms of velocity intensity and frequency for each velocity over a date span;
- Planned energy output over the course of a year in order to test the installation strategy (i.e., one large or many smaller machines, depending on the previous data acquired);
- Seabed or shore, for the final design choices to mount the mooring fixtures;
- Limitations and availability of sites to be assessed for the host country’s environmental and economic effects.
2. Material and Method—Tides Genesis: Prediction Models
- New York’s East Channel, which ties Long Island Sound to New York Harbor;
- Any Intra Coastal Water Way parts (ICWW);
- The Canal of Chesapeake and Delaware, linking Chesapeake Bay and Delaware Bay;
- Between barrier islands that create various tidal conditions on opposite sides of the island.
- The times and heights of the tides are given by tide forecasts.
- The dates and speeds of maximum current and times of slack water are given by tidal current predictions.
Tidal Analysis and Prediction-Tidal Constituents
3. Tides Applications and Tidal Currents Genesis: Prediction Models
3.1. Basin with Barrage
- Ebb generation (Figure 6a)
- Flood generation (Figure 6b)

3.2. Model for Predicting Tidal Current Velocities
Enclosed Bay with Channel
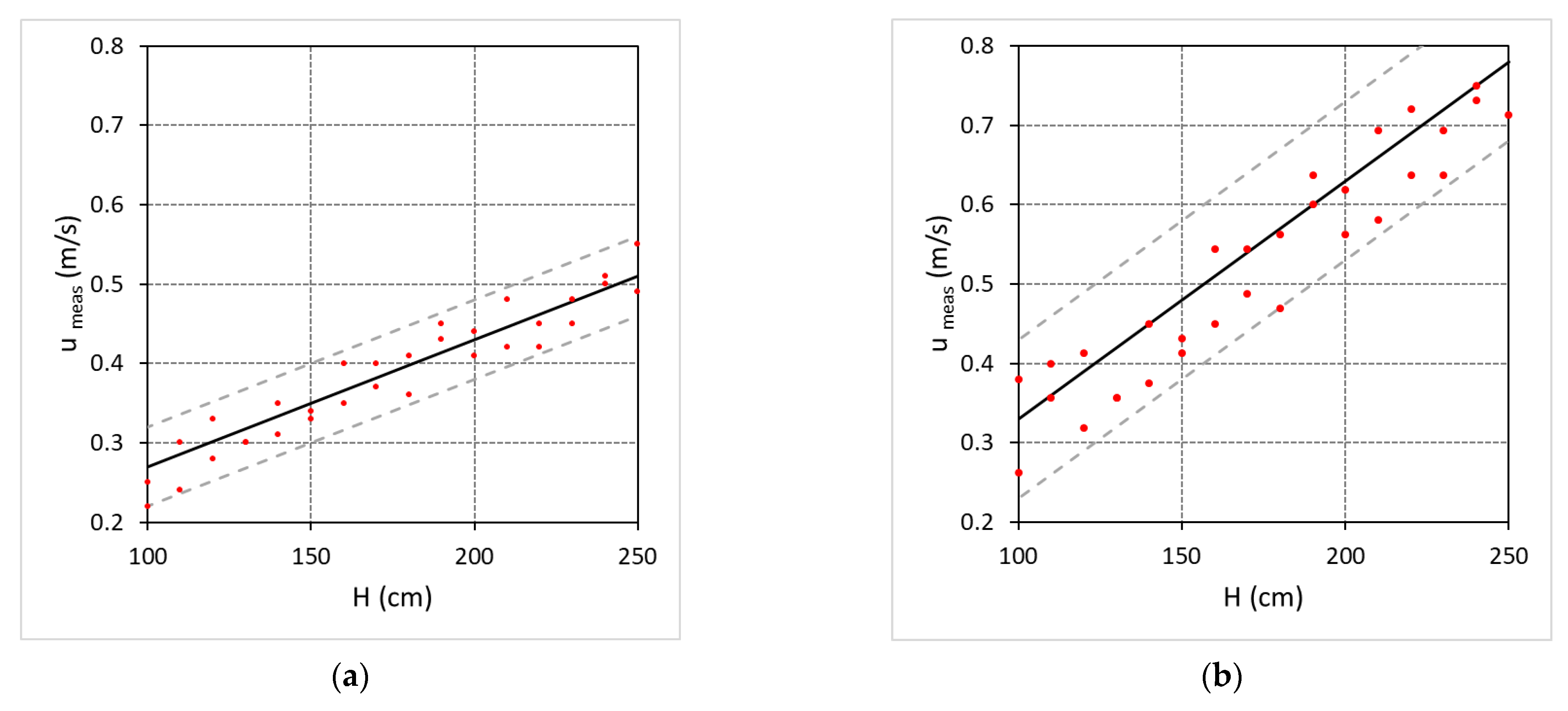
3.3. ADCP Measurements
3.4. Maximum Velocity and Tidal Range
Channels
3.5. The Easiest Case for Tidal Currents Velocity Estimation
3.5.1. 3D and 2D Methods—Navier–Stokes Equations
3.5.2. Influence of the Coastal Boundary Layer and Deepness of the Seabed on the Tidal Current Velocities
4. Conclusions
- Turbidity: As a result of smaller amounts of water being transferred between the basin and the sea, turbidity (the quantity of matter suspended in the water) decreases. This allows light from the sun to further reach the water, enhancing phytoplankton conditions. The modifications spread the food chain, causing the environment to change in general.
- Salinity: The average salinity within the basin decreases as a result of less water exchange with the sea, also affecting the ecosystem. “Tidal Lagoons” do not suffer from this problem.
- Sediment movements: Estuaries also have high volumes of sediments, from the rivers to the sea, that move through them. Sediment deposition within the barrage may result from the introduction of a barrage into an estuary, affecting the environment and also the activity of the barrage.
Author Contributions
Funding
Institutional Review Board Statement
Informed Consent Statement
Data Availability Statement
Conflicts of Interest
References
- Majidi Nezhad, M.; Groppi, D.; Rosa, F.; Piras, G.; Cumo, F.; Garcia, D.A. Nearshore wave energy converters comparison and Mediterranean small island grid integration. Sustain. Energy Technol. Assess. 2018, 30, 68–76. [Google Scholar] [CrossRef]
- Lindgaard Christensen, J.; Hain, D.S. Knowing where to go: The knowledge foundation for investments in renewable energy. Energy Res. Soc. Sci. 2017, 25, 124–133. [Google Scholar] [CrossRef] [Green Version]
- Gunn, K.; Stock-Williams, C. Quantifying the global wave power resource. Renew. Energy 2012, 44, 296–304. [Google Scholar] [CrossRef]
- Zainol, M.Z.; Ismail, N.; Zainol, A.; Abu, A.; Dahlan, W. A review on the status of tidal energy technology worldwide. Sci. Int. 2017, 29, 659–667. [Google Scholar]
- Barbarelli, S.; Florio, G.; Amelio, M.; Scornaienchi, N.M. Preliminary performance assessment of a novel on-shore system recovering energy from tidal currents. Appl. Energy 2018, 224, 717–730. [Google Scholar] [CrossRef]
- Xia, J.; Falconer, R.A.; Lin, B.; Tan, G. Estimation of annual energy output from a tidal barrage using two different methods. Appl. Energy 2012, 93, 327–336. [Google Scholar] [CrossRef]
- Garrett, C.; Cummins, P. The power potential of tidal currents in channels. Proc. R. Soc. A Math. Phys. Eng. Sci. 2005, 461, 2563–2572. [Google Scholar] [CrossRef]
- Barbarelli, M.S.; Amelio, G.; Florio, N.; Scornaienchi, M. Procedure Selecting Pumps Running as Turbines in Micro Hydro Plants. Energy Procedia 2017, 126, 549–556. [Google Scholar] [CrossRef]
- Majidi Nezhad, M.; Heydari, A.; Groppi, D.; Cumo, F.; Astiaso Garcia, D. Wind source potential assessment using Sentinel 1 satellite and a new forecasting model based on machine learning: A case study Sardinia islands. Renew. Energy 2020, 155, 212–224. [Google Scholar] [CrossRef]
- Bryden, I.G.; Couch, S.J.; Owen, A.; Melville, G. Tidal current resource assessment. Proc. Inst. Mech. Eng. Part A J. Power Energy 2007, 221, 125–135. [Google Scholar] [CrossRef] [Green Version]
- Blunden, L.S.; Bahaj, A.S. Tidal energy resource assessment for tidal stream generators. Proc. Inst. Mech. Eng. Part A J. Power Energy 2007, 221, 137–146. [Google Scholar] [CrossRef]
- Lewis, M.; Neill, S.P.; Robins, P.; Hashemi, M.R.; Ward, S. Characteristics of the velocity profile at tidal-stream energy sites. Renew. Energy 2017, 114, 258–272. [Google Scholar] [CrossRef]
- Ramos, V.; Iglesias, G. Performance assessment of Tidal Stream Turbines: A parametric approach. Energy Convers. Manag. 2013, 69, 49–57. [Google Scholar] [CrossRef]
- Guillou, N.; Thiebot, J. The impact of seabed rock roughness on tidal stream power extraction. Energy 2016, 112, 762–773. [Google Scholar] [CrossRef]
- Van Rijn, L.C. Unified View of Sediment Transport by Currents and Waves.I: Initiation of Motion, Bed Roughness, and Bed-Load Transport. J. Hydraul. Eng. 2007, 133, 649–667. [Google Scholar] [CrossRef] [Green Version]
- Baeye, M.; Fettweis, M.; Voulgaris, G.; Van Lancker, V. Sediment mobility in response to tidal and wind-driven flows along the Belgian inner shelf, southern North Sea. Ocean Dyn. 2011, 61, 611–622. [Google Scholar] [CrossRef]
- Christiansen, C.; Vølund, G.; Lund-Hansen, L.C.; Bartholdy, J. Wind influence on tidal flat sediment dynamics: Field investigations in the Ho Bugt, Danish Wadden Sea. Mar. Geol. 2006, 235, 75–86. [Google Scholar] [CrossRef]
- Barbarelli, S.; Florio, G.; Lo Zupone, G.; Scornaienchi, N.M. First techno-economic evaluation of array configuration of self-balancing tidal kinetic turbines. Renew. Energy 2018, 129, 183–200. [Google Scholar] [CrossRef]
- Uihlein, A.; Magagna, D. Wave and tidal current energy–A review of the current state of research beyond technology. Renew. Sustain. Energy Rev. 2016, 58, 1070–1081. [Google Scholar] [CrossRef]
- O’Rourke, F.; Boyle, F.; Reynolds, A. Tidal current energy resource assessment in Ireland: Current status and future update. Renew. Sustain. Energy Rev. 2010, 14, 3206–3212. [Google Scholar] [CrossRef] [Green Version]
- Astiaso Garcia, D.; Amori, M.; Giovanardi, F.; Piras, G.; Groppi, D.; Cumo, F.; de Santoli, L. An identification and a prioritisation of geographic and temporal data gaps of Mediterranean marine databases. Sci. Total. Environ. 2019, 668, 531–546. [Google Scholar] [CrossRef]
- Owen, A.; Trevor, M.L. Tidal current energy: Origins and challenges. In Future Energy; Elsevier: Oxford, UK, 2008; pp. 111–128. [Google Scholar]
- Mazumder, R.; Arima, M. Tidal rhythmites and their implications. Earth-Sci. Rev. 2005, 69, 79–95. [Google Scholar] [CrossRef]
- Clark, R.H. Elements of Tidal-Electric Engineering; John Wiley and Sons: Hoboken, NJ, USA, 2007. [Google Scholar]
- Clarke, J.; Connor, G.; Grant, A.; Johnstone, C. Regulating the output characteristics of tidal current power stations to facilitate better base load matching over the lunar cycle. Renew. Energy 2006, 31, 173–180. [Google Scholar] [CrossRef]
- Boyle, G. Renewable Energy Power for a Sustainable Future, 2nd ed.; Oxford University Press: Berlin, Germany, 2004. [Google Scholar]
- Internet Source. Available online: https://en.wikipedia.org/wiki/Theory_of_tides (accessed on 22 June 2021).
- Bonn, J.D. Secrets of the Tides. In Tide and Tidal Current Analysis and Applications, Storm Surges and Sea Level Trend; Woodhead Publishing: Sawston, UK, 2004. [Google Scholar]
- TPXO Global Tidal Models. Available online: https://www.tpxo.net/global (accessed on 22 June 2021).
- Etemadi, A.; Emami, Y.; Afshar, O.A.; Emdadi, A. Electricity Generation by the Tidal Barrages. Energy Procedia 2011, 12, 928–935. [Google Scholar] [CrossRef] [Green Version]
- Lalander, E.; Thomassen, P.; Leijon, M. Evaluation of a Model for Predicting the Tidal Velocity in Fjord Entrances. Energies 2013, 6, 2031–2051. [Google Scholar] [CrossRef] [Green Version]
- Goh, H.; Lai, S.; Jameel, M.; The, H. Potential of coastal headlands for tidal energy extraction and the resulting environmental effects along Negeri Sembilan coastlines: A numerical simulation study. Energy 2020, 192, 116656. [Google Scholar] [CrossRef]
- The Thethis Project. Available online: https://thetisproject.org/ (accessed on 22 June 2021).
- The Firedrake Project. Available online: https://www.firedrakeproject.org (accessed on 22 June 2021).
- The Delft3D Software. Available online: https://oss.deltares.nl/web/delft3d (accessed on 22 June 2021).
- The Telemac Software. Available online: https://opentelemac.org (accessed on 22 June 2021).
- The POM Software. Available online: http://www.ccpo.odu.edu/POMWEB/ (accessed on 22 June 2021).
- The Mike21 Software. Available online: https://www.mikepoweredbydhi.com/products/mike-21-3 (accessed on 22 June 2021).
- Carbon Trust, Black & Veatch, and Npower. In UK Tidal Current Resource and Economics Study; Liphook, UK, 2011; Available online: https://prod-drupal-files.storage.googleapis.com/documents/resource/public/Accelerating%20Marine%20Energy%20-%20TIDAL%20Appendix%20C%20-%20Hydrodynamic%20methodology%20update.pdf (accessed on 22 June 2021).
- Rahman, A.; Venugopal, V. Inter-Comparison of 3D Tidal Flow Models Applied to Orkney Islands and Pentland Firth. In Proceedings of the 11th European Wave and Tidal Energy Conference (EWTEC 2015), Nantes, France, 6–11 September 2015. [Google Scholar]
- Sanchez, M.; Carballo, R.; Ramos, V.; Iglesias, G. Energy production from tidal currents in an estuary: A comparative study of floating and bottom-fixed turbines. Energy 2014, 77, 802–811. [Google Scholar] [CrossRef]
- Byun, D.; Cho, Y. Double peak-flood current asymmetry in a shallow-water-constituent dominated embayment with a macro-tidal flat. Geophys. Res. Lett. 2006, 33, L16613. [Google Scholar] [CrossRef]
- Nastasi, B.; De Santoli, L.; Albo, A.; Bruschi, D.; Lo Basso, G. RES (Renewable Energy Sources) availability assessments for Ecofuels production at local scale: Carbon avoidance costs associated to a hybrid biomass/H2NG-based energy scenario. Energy Proc. 2014, 81, 1069–1076. [Google Scholar] [CrossRef] [Green Version]
- Kärnä, T.; Kramer, S.C.; Mitchell, L.; Ham, D.A.; Piggott, M.D.; Baptista, A.M. Thetis coastal ocean model: Discontinuous Galerkin discretization for the three-dimensional hydrostatic equations. Geosci. Model Dev. 2018, 11, 4359–4382. [Google Scholar] [CrossRef] [Green Version]













| Symbol | Name | Period (hrs) | Strength (M2 = 1.0) |
|---|---|---|---|
| M2 | Principal lunar | 12.42 | 1.0000 |
| S2 | Principal solar | 12.00 | 0.4652 |
| N2 | Larger lunar elliptic | 12.66 | 0.1915 |
| K2 | Luni-solar declinational | 11.97 | 0.0402 |
| K1 | Luni-solar declinational | 23.93 | 0.1852 |
| O1 | Larger lunar declinational | 25.82 | 0.4151 |
| P1 | Larger solar declinational | 24.07 | 0.1932 |
| Variable | Description | Value |
|---|---|---|
| ρ | Density | 1025 kg/m3 |
| L | Length of Skarpsundet | 1500 m |
| Ac | Cross-sectional area | 13,500 m2 |
| W | Average width of channel | 700 m |
| Hc | Average depth of Skarpsundet | 15 m |
| Abay | Fjord Area | 3.8 × 107 m2 |
Publisher’s Note: MDPI stays neutral with regard to jurisdictional claims in published maps and institutional affiliations. |
© 2021 by the authors. Licensee MDPI, Basel, Switzerland. This article is an open access article distributed under the terms and conditions of the Creative Commons Attribution (CC BY) license (https://creativecommons.org/licenses/by/4.0/).
Share and Cite
Barbarelli, S.; Nastasi, B. Tides and Tidal Currents—Guidelines for Site and Energy Resource Assessment. Energies 2021, 14, 6123. https://doi.org/10.3390/en14196123
Barbarelli S, Nastasi B. Tides and Tidal Currents—Guidelines for Site and Energy Resource Assessment. Energies. 2021; 14(19):6123. https://doi.org/10.3390/en14196123
Chicago/Turabian StyleBarbarelli, Silvio, and Benedetto Nastasi. 2021. "Tides and Tidal Currents—Guidelines for Site and Energy Resource Assessment" Energies 14, no. 19: 6123. https://doi.org/10.3390/en14196123
APA StyleBarbarelli, S., & Nastasi, B. (2021). Tides and Tidal Currents—Guidelines for Site and Energy Resource Assessment. Energies, 14(19), 6123. https://doi.org/10.3390/en14196123
