Next Article in Journal
Modeling and Optimization of Wind Turbines in Wind Farms for Solving Multi-Objective Reactive Power Dispatch Using a New Hybrid Scheme
Next Article in Special Issue
Numerical Analysis of GDI Flash Boiling Sprays Using Different Fuels
Previous Article in Journal
Liquid Hydrogen: A Review on Liquefaction, Storage, Transportation, and Safety
Previous Article in Special Issue
Computational Analysis of Premixed Syngas/Air Combustion in Micro-channels: Impacts of Flow Rate and Fuel Composition
 
 
Font Type:
Arial Georgia Verdana
Font Size:
Aa Aa Aa
Line Spacing:
Column Width:
Background:
Article

Deflagration Characteristics of N2-Diluted CH4-N2O Mixtures in the Course of the Incipient Stage of Flame Propagation

“Ilie Murgulescu” Institute of Physical Chemistry, Romanian Academy, 202 Spl. Independentei, 060021 Bucharest, Romania
*
Author to whom correspondence should be addressed.
Energies 2021, 14(18), 5918; https://doi.org/10.3390/en14185918
Submission received: 21 August 2021 / Revised: 11 September 2021 / Accepted: 15 September 2021 / Published: 17 September 2021
(This article belongs to the Special Issue Numerical Investigations of Combustion)

Abstract

In this study, experimental measurements in a spherical combustion bomb were performed in order to investigate the flame propagation in N2-diluted CH4-N2O mixtures with stoichiometric equivalence ratio, at several initial pressures (0.5–1.75 bar) and ambient initial temperatures. Methane was chosen as a test-fuel, since it is the main component of natural gas, a fuel often used as a substitute to gasoline in engines with internal combustion and industrial plants. The method approached in this study is based on a simple examination of the cubic law of pressure rise during the early (incipient) period of flame propagation. The incipient stage defined by a pressure rise equal or smaller than the initial pressure, was divided into short time intervals. The burnt mass fractions (obtained using three different Equations) and flame radii at various moments of the flame propagation in the course of the incipient stage were calculated. The cubic law coefficients and corresponding laminar burning velocities at considered time intervals were also reported.

1. Introduction

Nitrous oxide (N2O) is a naturally occurring gas, which has applications in different fields such as: pharmacologic agent to generate anesthesia; food additives; propellant in propulsion systems; refrigerant; additive for fuels. In small amounts, it is generated in nuclear waste storage tanks, along with methane, hydrogen and ammonia. The mixture of these gases can lead to a flammable gas mixture. In the unlikely event that an ignition source is present as this gas releases, an explosion can occur.
N2O is a two-phase compound existing both as a liquid and a gas. Nitrous oxide in liquid form is inert, but in a vapor form at high temperatures, it can decompose rapidly and energetically. Due to its exothermic decomposition in N2 and O2 (N2O → N2 + 1/2O2; ΔH = −82.1 kJ/mol), the combustion supported by nitrous oxide releases greatly the temperatures and explosion pressures compared to combustion occurring in the presence of air. Therefore, the explosions in fuel-N2O systems are more powerful, and consequently the unanticipated events are more devastating. This situation motivates researchers in the combustion field to conduct studies on hydrocarbon–nitrous oxide combustion to deliver valuable information on the fundamental chemical kinetics significant to the intricate oxidation systems where nitrogen oxide is involved.
Due to unexpected accidents caused by nitrous oxide [1,2], there are many experimental and computed studies on fuel combustion supported by N2O, especially regarding their flammability and propagation properties. Vandebroek et al. [3] conducted experiments in a closed spherical bomb at atmospheric pressure and at an initial temperature of 70 °C to determine the explosion characteristics and flammability limits of toluene-N2O in comparison with toluene–air mixtures. Powell et al. [4,5,6] used a flat flame burner and numerical modeling to study the laminar burning velocities of hydrogen-, methane-, propane- and propylene-N2O mixtures diluted with N2, at near-atmospheric pressure. Shebeko et al. [7,8,9] reported the flammability limits, minimum inert concentrations, peak explosion pressures, maximum rates of pressure rise and laminar burning velocities of hydrogen-, methane-, propane- and butane-N2O mixtures in the presence of N2, CO2 and several halogen derivatives by experiments in closed vessels, at standard conditions. Mével et al. [10] carried out experimental studies in a spherical bomb and kinetic modeling at ambient conditions to study the flame propagation in H2-N2O-Ar mixtures. Koshiba et al. [11,12,13] studied the explosion properties (explosion limits, peak explosion pressures, and time to peak explosion pressure) of mixtures of n-alkanes, diethyl ether, diethylamine and n-butyraldehyde with nitrous oxide and nitrogen in a cylindrical vessel, at room temperature and atmospheric pressure. Bane et al. [14] determined the flame velocities and combustion parameters (peak explosion pressure and severity factor) for the H2-N2O mixture diluted or not with N2 by experiments in a cylindrical bomb and numerical modeling, at different initial conditions (pressure, equivalence ratio, dilution level). Movileanu et al. [15] reported the explosion indices of N2-diluted ethylene-N2O mixtures in elongated vessels, at ambient temperatures and various initial pressures. Razus et al. [16,17] performed experiments in a spherical bomb and numerical modeling at room temperature and initial pressures different from ambient, to obtain the peak explosion pressures, maximum rates of pressure rise, deflagration indices and laminar burning velocities of methane-N2O flames in the presence of inert additives. Shen et al. [18] conducted a study on stoichiometric C2H4/N2O mixtures diluted with N2 or CO2 using a standard 20 L spherical bomb and sub-atmospheric initial pressures to assess the explosion mechanism and hazard. Li et al. [19] carried out an experimental study at standard conditions using cylindrical channels to investigate the flame propagation and thermal hazard of the premixed N2O/fuel mixtures, including NH3, C3H8 and C2H4. Wang et al. [20,21] performed experiments in a closed cylindrical vessel at atmospheric and sub-atmospheric pressures to investigate the explosion behaviors of hydrogen-, methane- and ethylene-N2O mixtures diluted with N2. Luo et al. [22] investigated the effects of the addition of ethane, ethylene, hydrogen and carbon monoxide on the flammability limits and limiting oxygen concentrations of methane under N2 dilution in a pipeline at atmospheric temperature and pressure. Mitu et al. [23] studied the laminar burning velocities of N2-diluted CH4-N2O flames by experiments in a spherical bomb, at various initial pressures and room temperature.
Despite the background described above, the research on CH4 explosions supported by N2O occurring in closed bombs (especially at initial pressures different from ambient) are still lacking, although the methane explosions have frequently been studied in the presence of other oxidants, such as O2 or air. Therefore, the present research pays attention to explosion propagation occurring in another kind of hazardous mixture, which is motivated not only by the safety concerns in technical applications in which these mixtures are involved, but also in the handling and storage of nuclear waste, where they are generated.
The present work is focused on the study of flame propagation in the course of the early (incipient) period of explosions inside a closed-bomb with central ignition using N2-diluted CH4-N2O mixtures. Methane was chosen as the test-fuel because it is the main component of natural gas, which is increasingly being used as a substitute to gasoline in engines with internal combustion and industrial plants [24]. On the other hand, the combustion of fuels in the presence of N2O can lead to greatly turbulent deflagrations and unstable flames, which can fast self-accelerate and may shift from a deflagration to a detonation regime. Although methane and nitrous oxide are some of the more noxious greenhouse gases [25], they can be used together to obtain a synthesis gas and other hydrocarbons [26], which can be further used to obtain various useful chemicals. Both methane and nitrous oxide present a highly explosive potential and in the event of a spark they can ignite and lead to devastating explosions. Therefore, it is desired to carry out studies in order to provide data regarding the explosion propagations in methane-nitrous oxide mixtures, at pressures different from ambient, trying to get closer to conditions encountered in practice.
The early stage of flame propagation gives us useful information regarding the flame initiation and increase, associated with pressure increase and unstable heat generation. Additionally, the pressure change in the course of this incipient period is useful for the design of venting devices, necessary for the mitigation of gaseous explosions which may occur accidentally in industrial installations or storage reservoirs. One of the conditions for a good work of vents is that the operating time of the suppression system must be lower than the induction period (the time required for the allowable pressure increase) [27]. In the incipient stage of flame development, the flame is smooth, has a negligible width and propagates in the absence of convection [28,29].
A detailed study of the early stage of flame development made it known that the pressure increase at the end of this period in the course of the combustion in a constant volume bomb can be linked with the time from initiation by means of a cubic law [28]. This law is plausible as long as the flame maintains its spherical aspect and its propagation is undisturbed. Moreover, it was empirically limited to a pressure variation less or equal to the initial pressure at which the experimental determination takes place [28,29]. Therefore, the examination of the incipient stage of flame development is necessary to find the most favorable duration of this stage of flame propagation. Shorter durations of the incipient period of explosion should be assessed in order to obtain valuable information regarding the flame propagation, mainly when near-limit flammable systems are considered or when non-spherical explosion cells are implied. It is known that the combustion in a non-spherical explosion vessel is not completed at the same time over the whole bomb area, but the early period of combustion is identical in any case [28].
Our approach is to carry out experiments in a small-closed bomb, using for ignition a punctiform source of energy. Measurements of pressure versus time are further used to determine the burnt mass fractions, flame radii and the cubic law constants of pressure increase. The last parameters were subsequently used to calculate the laminar burning velocities. The method approached in this research provides laminar burning velocities from a single experiment and is suitable for non-conventional mixtures such as those studied in the present research consisting of fuel-oxidizer (N2O) and diluent.
This study aims to provide new experimental results on these fundamental combustion characteristics and to find the optimum duration of the incipient stage. These new data will contribute to safety enhancement in industrial facilities that handle and store nitrous oxide, expanding at the same time the combustion database regarding the fuel-N2O flames. Additionally, to the lack of data referring to methane combustion in the presence of nitrous oxide, there is also a large discrepancy in the available reported results, no matter whether these data are obtained from experiments or from numerical modeling. Moreover, the study of hydrocarbon-nitrous oxide combustion can provide valuable information on the fundamental chemical kinetics relevant to complex oxidation systems involving nitrogen. Thus, it fully justifies the interest on a comprehensive study of their explosivity to help formulate answers related to three categories of problems: prediction, prevention and protection.

2. Experimental Apparatus and Procedure

In this study, the method of unstable flame propagation inside a spherical closed bomb with central ignition was used to investigate the flame propagation in N2-diluted CH4-N2O mixtures.
The experimental set-up is schematically shown in the previous study [25]. Its main components are the combustion bomb, the ignition device, the pressure transducer coupled to an amplifier, the ionization gauges and the system for data acquisition. The experiments were conducted in a spherical bomb with an internal volume of 0.52 L and 5 cm radius, which was projected to withstand an internal pressure of 40 bar. The ignition was achieved by electric sparks produced between stainless-steel electrodes of 1 mm diameter and round tips, fixed at the center of the vessel. The ignition energies were maintained at a low value (1–5 mJ) to keep away from any turbulence that could appear due to an excessive energy input in the course of ignition.
CH4-N2O mixtures having initial temperature of 298 K, different initial pressures (0.5–1.75 bar) and stoichiometric equivalence ratio were used as test mixtures. For safety reasons, the CH4-N2O mixtures were diluted with N2 between 40 and 60 vol%. N2 was chosen as a diluent because it is inexpensive, widespread and is commonly used for explosions inhibition.
The stoichiometric mixture composition was chosen as a representative composition because it affords a complete fuel and oxidizer consumption and generally ensures diffusion stability of the fame front.
The test mixtures were prepared according to the partial pressure method, stored in a 10 L metallic reservoir and used 48 h later. Prior to every test, the experimental bomb was evacuated by means of a vacuum pump to a pressure under 1.0 mbar. The studied mixture is then introduced inside the bomb (at the desired initial pressure) and it is left to become quiescent. Once the mixture is ignited, the explosion evolution was collected by means of a piezoelectric pressure transducer (Kistler 601A, Kistler, Winterhur, Switzerland) coupled to a charge amplifier (Kistler 5001SN, Kistler, Winterhur, Switzerland). Two ionization gauges mounted in an equatorial place immersed at 0.3 cm from the wall were used to monitor the arrival time of the flame front. The signals from the charge amplifier and ionization gauge were recorded by a digital oscilloscope, usually at 104 signals/s. To shun the effect of the combustion products that may still be present in the bomb and to mitigate the heating of the mixture produced by an eventual heating of the bomb’s wall that may occur as a result of the flame propagation, the vessel was flushed with dry air after each test.
To minimize the operational errors, each experiment was repeated a minimum of three times to check the reproducibility and to ensure accurate results. Figure 1 compares the pressure histories measured in the experimental bomb for various N2 dilutions. In this figure, the different color symbols refer to three repeated measurements for each N2 dilution. The repeatability of the measurements led to satisfactory results, indicating that the mixtures have been accurately prepared. A strain gauge manometer (Edwards type EPS-10HM, Edwards Ltd., West Sussex, UK) was used to measure the initial pressures of the tested mixtures, p0. According to the information from the equipment manufacturer, the error of initial pressure measurement is less than 0.1%.
Methane (99.99%), N2O and N2 (both 99.999%) were provided by SIAD Italy and were used without any purification.
The uncertainties involved in the present study can be due to mixture preparation, data acquisition and data processing. The uncertainty due to the mixture preparation depends strongly on the accuracy of the pressure gauge manometer. In this study, very accurate pressure gauge manometers were used; therefore, the uncertainties due to the mixtures preparation can be neglected. The uncertainty in the course of one experiment can be attributed to the initial conditions: temperature and pressure. During all experiments, the initial temperature of the mixtures was considered the room temperature (298 K). However, an estimated error of ±2 K (about 0.7%) due to the temperature variation from one day to another can be considered a possible factor that may affect the overall precision of measurements. In addition to the errors that may be due to the initial temperature, other errors which may arise correspond to the accuracy of the pressure transducer and ignition sources. According to the piezoelectric pressure transducer manufacturer, the error given by this device is less or equal to 0.1%. Considering all of these possible sources of experimental errors, a total standard deviation of 3.5% was taking into account during this study. The errors due to data processing are generated by the accuracy of the equations used to calculate the unburnt mass fractions, flame radius and laminar burning velocity.

3. Data Evaluation

In the present research, the laminar burning velocities of N2-diluted CH4-N2O mixtures with stoichiometric composition were calculated using the assessment of pressure-time curves in the early period of flame propagation, assuming an isothermal compression of the unburned gas, as proposed by Razus et al. [29]:
S u = R ( k Δ p max ) 1 / 3 ( p 0 p max ) 2 3
Here, R represent the radius of the bomb; k represent the cubic law coefficient of pressure rise, characteristic to the incipient period of the combustion; Δpmax = pmaxp0 represent the maximum (peak) pressure rise.
Taking into account the initial moment of flame propagation in a closed bomb, Equation (1) can be used to calculate the laminar burning velocities of various mixtures. This Equation has the advantage that it allows us to obtain Su without the necessity of other additional assumptions on explosion evolution after initiation.
The cubic law coefficient of pressure rise, characteristic for the incipient period of combustion, was obtained for each measurement by means of a nonlinear regression [29]:
Δ p = a + k ( t b ) 3
In Equation (2), the coefficients a and b are used to correct the pressure and time, respectively. These corrections were made in order to eliminate any possible delays in the signal recording or in the signal shift of pressure transducer. In this study, for every experiment, the coefficients a and b were determined using a restricted number of points satisfying the following condition:
p 0 p 1.5 p 0
The flame radius at any instant (at pressure p), rb, of the combustion propagation was calculated using the following equation [30,31]:
r b = R [ 1 ( 1 n ) ( p 0 p ) 1 γ u ] 1 3 = R [ 1 ( 1 n ) π 1 γ u ] 1 3
Here, n represents the burnt mass fraction; p represents the pressure achieved at moment t; γu represent the adiabatic compression factor of the unburnt gas; π represents the relative pressure defined as p/p0.
rb is a characteristic property, which can be obtained from a continuous registering or from signals provided by some ionization gauges.
A limited range of the transient pressures into the interval Δpp0 was used in the flame radius calculation according to the works [32,33] in order to avoid the disturbing effects of the flame stretch and curvature on this parameter.
Over time, there were proposed a series of equations, which allow the calculation of the burnt mass fraction. Some of these are suitable for the incipient stage of flame propagation when the pressure and temperature of burned and unburned gas are quasi-constant [30,31].
In the present study, the burnt mass fraction was calculated using three different equations:
(I) the equation proposed by Manton et al. [31]:
n = ( p p 0 ) ( p e p 0 ) = ( π 1 ) ( π e 1 )
Here, πe = pe/p0; pe represent the final explosion pressure in the course of the isochoric combustion.
The equation proposed by Manton et al. [31] is as simple relationship which links the burnt mass fraction with pressure. It states that the fraction of burned gas is equal with the fraction of the total pressure rise. Equation (5) is suitable for small values of burnt mass fraction. This equation was validated by Chen et al. [34] by numerical simulation of propagation of spherical flames in a closed spherical bomb. They used H2, CH4 and C3H8-mixtures and obtained a good agreement between data obtained by this equation and data delivered by numerical simulation, which indicates the robustness of Equation (5).
(II) the equation proposed by Grumer et al. [35]:
n = ( p p 0 ) p 0 γ u ( E 0 1 ) = ( π 1 ) γ u ( E 0 1 )
where E0 is the expansion factor of gases in the course of the initial period of the flame propagation. In this study, the expansion coefficients were calculated as the ratio between the volume of burned gas (Vb) and volume of unburned gas (Vu):
E 0 = V b V u
The burned gas volumes were obtained from runs with the COSILAB 0-D package [36] in isobaric conditions.
The equation proposed by Grumer et al. [35] is a more accurate relation than the linear one proposed by Manton and co-workers. However, Equation (6) is valid only for a restricted region, defined as p < 1.1 p0 [35].
(III) the equation proposed by Oancea et al. [37]:
n = θ ( π π 1 1 γ u ) π e θ π 1 1 γ u
In Equation (8): θ = ( π e π ) 1 1 γ * ; γ * = ln π e ln ( π e θ 0 ) ; θ 0 = T f , V T f , p .
Tf,V represents the adiabatic flame temperature of isochoric combustion; Tf,p represents the adiabatic flame temperature of isobaric combustion. Their values were also obtained by running the COSILAB 0-D software (Rotexo-Softpredict-Cosilab GmbH & Co KG: Bad Zwischenhahn, Germany) [36].
The equation proposed by Oancea et al. [37] is a simple method for calculating the burnt mass fraction over an extended domain of conditions achieved in the course of the constant volume combustion, taking into account an adjusted adiabatic compression law of burnt gas. This equation requires the knowledge of the final explosion pressure and flame temperatures (at constant volume and constant pressure, respectively), parameters that can be easily obtained using thermodynamic data and adequate computer software. The utility and validity of the equation by Oancea et al. was tested by comparing the burnt gas radii obtained with this equation and measured data reported by other authors. Additionally, a good agreement was reported between the laminar burning velocities obtained with its help and data from the literature delivered using other methods [37,38].
Equations (5) and (6) can be applied to examine the early stage of the closed bomb explosions, while Equation (8) can also be applied for the later stages of the explosions. The only limitation of Equation (8) is that when the flame gets close to the vessel’s wall, an important quantity of the heat is lost and therefore it is necessary to take this into account.

4. Results and Discussion

The method of unstable flame propagation in a spherical closed bomb with central ignition is generally acknowledged as being potentially both versatile and accurate. In this type of explosion bomb, a thin spherical flame front divides the inner gas mixtures in two zones: the burnt mixture zone and the unburnt mixture zone [39]. After ignition, the flame has a laminar propagation through the unburnt mixture until it reaches the bomb’s walls. The flame evolution during the explosion in a spherical bomb is schematically drawn in Figure 2. To model spherical flames, the following assumptions are considered: the unburned and burned gases are ideal gases; the ignition source is quasi-punctiform; the flame propagation is spherical during the whole explosion; the flame front thickness is negligible in comparison with the flame radius; the heat transferred between the flame front and the electrodes and the vessel’s wall, respectively, is also negligible.
A representative diagram of pressure variation into the experimental bomb during the explosion of stoichiometric CH4-N2O mixture diluted with 60% N2, at p0 = 1.50 bar and ambient initial temperature is presented in Figure 3, together with the transient signal of the ionization gauge (UIP) and the rate of pressure rise (dp/dt). In this diagram, the incipient (early) stage of the explosion defined by restriction Δp = p0 = 1.50 bar was also indicated. As can be seen, the incipient period of flame propagation is much smaller than the time necessary to achieve the maximum rate of pressure rise (in the present research, 53.7 ms) when the heat losses become significant.
Another representative diagram is given in Figure 4a for the stoichiometric CH4-N2O mixture diluted with various amounts of N2, at ambient initial temperature and initial pressure of 1.75 bar. Curves with a similar aspect were registered for all tested pressures.
The incipient stage of pressure–time variation during propagation of laminar flames in closed bombs gives important information regarding the formation and development of the flame core trigger off an electric spark. This stage takes place over a specific period of time t, whose duration can be divided into the shorter time intervals of 1/4 t, 1/2 t and 3/4 t. In this incipient stage, the flame preserves its spherical form, the heat losses do not affect its growth, and the temperature gradients in both burned and unburned gas are low and so they may not be considered. A magnified diagram representing the incipient period of the flame propagation in the course of explosions that take place in the studied systems is presented in Figure 4b. Here, several arrows delimitate the possible lengths of the incipient stage: t is the length of a period where Δp = p0; 3/4 t is the length of a period where Δp = 3/4p0 and so on.
Taking into account those presented above, the cubic law coefficients were obtained for corresponding shorter time intervals of 1/4 t, 1/2 t, 3/4 t and t by means of a nonlinear regression procedure of p(t) data, assuming the validity of Equation (2). The cubic law coefficients are influenced by initial temperature and pressure, fuel and diluent content.
In Figure 5, the variation of cubic law coefficients with the initial pressure, together with error bars for the stoichiometric CH4-N2O mixture diluted with 40% N2, at room temperature, are given. A linear increase in the cubic law coefficients was observed when the initial pressure increased. An increase in the cubic law coefficients with the initial pressure increase was already reported in [17,23]. Referring to the example in the Figure 5 and keeping the initial pressure constant (e.g., p0 = 1.00 bar), the values of the cubic law coefficients increase from the time interval 1/4 t to the time interval t.
As mentioned above, the cubic law coefficients depend not only on the initial pressure, but also on the diluent concentration. This dependence can be remarked also in Figure 6, where the data regarding the variation of the cubic law coefficients with the N2 concentration at ambient initial temperature and p0 = 0.50 bar are presented. The same comportment was observed for all the initial pressures considered in the present work.
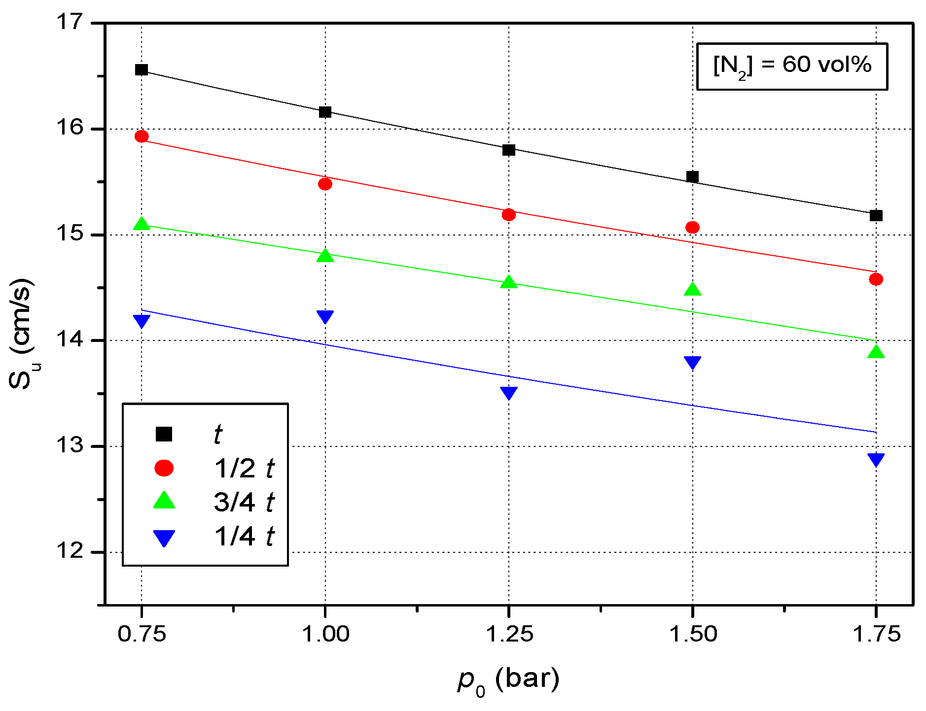
Representative values of the laminar burning velocities obtained using the cubic law coefficients are shown in Figure 7 and Figure 8. Similar plots were obtained at all initial conditions studied in this work.
In Figure 7, the laminar burning velocities of stoichiometric CH4-N2O mixtures diluted with 60% N2, at ambient initial temperature and various initial pressures, are presented. As expected, a diminution of the laminar burning velocities is observed when the initial pressure increases. The dependence of the laminar burning velocity on initial pressure is based on the unburned gas density variation accordingly with the thermal theory of flame propagation [40]. When the initial pressure rises, the density of the unburned gas increases, and therefore, a diminution of the laminar burning velocity occurs.
In Figure 8, the laminar burning velocities of CH4-N2O mixtures with stoichiometric composition diluted with various concentrations of N2, at p0 = 1.25 bar, and ambient initial temperatures are illustrated. As expected, the rise in the diluent concentration causes a diminution of the laminar burning velocity at all studied initial pressures. The influence of diluents on the laminar burning velocity can be attributed to their ability to modify the thermal properties of flammable mixtures by changing the heat capacity, and thus the flame temperature. Moreover, diluent addition leads to a decrease in the fuel content, and therefore of the heat released and the reaction rate. Therefore, diluent addition influences both the oxidation reaction kinetics and the thermal diffusivity of the reacting mixture, and thus the laminar burning velocity.
Lee et al. [41] conducted an experimental study on syngas mixtures diluted with N2, CO2 and steam, in order to examine the dilution effects on a gas turbine combustion performance. The results revealed that the dilution of syngas decreases NOx emissions and that the reduction of NOx emissions is related to the diluent’s heat capacity. Zhang et al. [42] examined the MILD (moderate or intense low-oxygen dilution) combustion in the presence of N2 and CO2 by experiments and numerical modeling. They used natural gas (CH4) and liquefied petroleum gas (LPG) as tested fuels and concluded that the CO2 has a dilution effect that is better than N2 due to its heat capacity, which is bigger than the heat capacity of N2. The dilution with CO2 conducted to lower adiabatic temperature rise, and thus to a good occurrence of MILD combustion compared with N2 dilution. In this case, the physical factor plays an important role compared to the chemical factor. On the other hand, Zhang et al. [42] found that the ignition delay time of methane diluted with CO2 is notably longer in comparison with the ignition delay time of methane diluted with N2, which makes easier the occurrence of MILD combustion. In this case, the chemical factor plays a major role compared with the physical factor. Later, Ceriello et al. [43] showed that the role of the internal exhaust gas recirculation is decisive in establishing the MILD regimes. They proposed a tabulated chemistry model and concluded that dilution with CO2 led to much more satisfactory results in comparison with dilution with N2 due to the lower reaction rates of CO2.
The laminar burning velocities at the end of the incipient period of explosion defined by Δp = p0 can be compared with the literature data reported by other groups of researchers. On the one hand, the present data are higher compared with reported laminar burning velocities obtained using other experimental methods or computation. For example, at 0.75 bar and ambient initial temperature, the value of the laminar burning velocity for stoichiometric CH4-N2O mixture diluted with 50 vol% N2 found in the present study is Su = 33.03 cm/s. In comparison, Powell et al. [4,5,6] obtained Su = 24.20 cm/s from experiments using a burner with a flat flame and Su = 21.50 cm/s from computation with an adjusted PPD mechanism. They used a stoichiometric CH4-N2O mixture diluted with 52 vol% N2 at 0.8 atm. These differences could be due to the fact that Powell et al. reports experimental data on the unstretched adiabatic flame velocity.
On the other hand, the results reported in this study are close to those reported by D’Olieslager and van Tiggelen [44] on stoichiometric CH4-N2O mixture diluted with 40 and 50 vol% N2, respectively. The experiments from [44] were performed using a Bunsen burner at p0 = 1 bar. For the mixture diluted with 40 vol% N2, D’Olieslager and van Tiggelen reported Su = 46.50 cm/s (Su = 47.58 cm/s in this study), while for the mixture diluted with 50 vol% N2, they reported Su = 30.10 cm/s (Su = 31.11 cm/s in this study). A summative table, which includes the comparison between present data and those from the literature is presented in Table 1.
For all the considered systems, the coefficients of cubic law k drop when shorter time durations of the incipient stage are evaluated. Therefore, a diminution of the laminar burning velocities Su was observed. This could be due to a large perturbation in pressure measurements right after initiation of the explosion. Thus, a statistical analysis of the results is necessary in order to establish the optimum length of the incipient period. In Table 2, the determination coefficients (r2) obtained at fitting the data using Equation (1), together with the value of the statistical factors (Fs), are given. The example given in Table 2 refers to the data achieved during one experimental measurement. In this example, the measurements were conducted at atmospheric pressure and temperature. Similar results were achieved for all tests performed under the same conditions realized in order to check the reproducibility of the results and also at initial pressures, different to the ambient ones considered in this research.
From Table 2, it can be concluded that the best values of the cubic law coefficients and thus of the laminar burning velocities are obtained when the condition Δp = p0 is fulfilled. The fact that a shorter duration of the incipient stage is not optimal is also observed from the scattering of the data obtained for short periods of the early stage (1/4 t, 1/2 t) studied in this research and presented in Figure 7. Therefore, these short time intervals of the incipient stage of the flame propagation do not bring an improvement in obtaining accurate values of the laminar burning velocities, an important parameter in the process of understanding a large range of flammable mixtures.
The assessment of pressure-time curves in the incipient stage of flame propagation allows the calculation of other explosion parameters, such as burnt mass fraction and flame radius.
In Table 3, the burnt mass fractions of stoichiometric CH4-N2O mixture diluted with 40 vol% N2 at atmospheric initial pressure and temperature obtained using Equations (5), (6) and (8) at different moments of the early stage, are presented. The same behavior was observed for all studied mixtures and initial pressures. Close values of the burnt mass fraction were obtained when Equations (6) and (8) were used. The Equation of Manton et al. [31] is an approximate linear relationship which relates the burnt mass fraction from the vessel to the fractional pressure rise. Although Equation (5) is often cited in the literature [34,45,46], Luijten et al. [47] showed that this linear relationship has obvious errors and proposed corrections to the burnt mass fraction considering different disturbing aspects. However, the error involved in this assumption is not large in the incipient stage of combustion, so that the Equation (5) can be used for small values of n, as already was mentioned in [48].
The values of the burnt mass fractions were further used to calculate the flame radii at different moments of the early stage of combustion considered in this work using Equation (4). The flame radii obtained using the mass fractions presented above in Table 3 are presented in Table 4.
Similar results were obtained at all initial pressures and diluent concentrations examined in this work. As can be seen, all three equations used to obtain the burnt mass fractions deliver close results of flame radius for all time lengths taken into account in this study. At constant initial pressures and diluent composition, the flame radius increases from 1/4 t to t, indicating that the flame front travels from the burnt to the unburnt zone.
In our previous study [32] on propane-air mixtures in a spherical and two cylindrical bombs, a dimensionless flame radius defined as b = r b R was considered. The study revealed that, for a particular burnt mass fraction in the course of the incipient period of the explosion, the dimensionless flame radius is by far higher than the relative pressure rise (p/p0). Indeed, this is also true in the present case for mixtures in which the oxidant is N2O. This can be seen from Table 5, where results obtained from a stoichiometric CH4-N2O mixture diluted with 60 vol% N2 at ambient initial temperature and p0 = 1.25 bar are given.
In all of the studied mixtures, the flame achieved a dimensionless radius ℜb = 0.55–0.56 at the end of an incipient period with the length 1/4 t and a dimensionless radius ℜb = 0.76–0.77 at the end of an incipient period with the length t. Therefore, it can be said that the flame curvature and stretch effect (significant when ℜb ≤ 0.10) should not affect the value of the laminar burning velocity. Thus, it shows that any length between 1/4 t and t is suitable for application in Equation (1). As discussed above, a rigorous selection of the optimum length of the incipient period can be due after inspection of the fit parameters achieved for regressions between the pressure rise Δp and time t. From this inspection results that the optimal duration of the incipient is reached when Δp = p0.
The burnt mass fraction and flame radius play an important role in the incipient detection of the explosion initiation, and therefore in obtaining accurate laminar burning velocities using the constant volume combustion method.
Using the flame radii and burnt mass fractions, the laminar burning velocities can be calculated from the transient pressure record in the closed bomb using the following equation, which includes both measurable and calculable parameters [31]:
S u = R 3 3 r b 2 ( 1 π ) 1 / γ u d n d t
The time derivative of the burned mass fraction, dn/dt, was analytically calculated at every moment, after detecting the best-fit Equation n(t) by a nonlinear least-square procedure.
A set of representative data regarding the stoichiometric CH4-N2O mixture diluted with 40 vol% N2, at atmospheric initial temperature and pressure obtained using the Equation (9), along with the laminar burning velocities obtained with the help of the cubic law coefficients, are given in Table 6.
Similar values of the laminar burning velocities were obtained by means of Equation (9) only when the burnt mass fraction is calculated using the linear Equation of Manton et al. [31]. In the case of burnt mass fractions obtained using the equations proposed by Grumer et al. [35] and Oancea et al. [37], lower values of the laminar burning velocities were obtained. Such behavior was observed for all initial pressures and diluent compositions studied here. This is also valid when comparing these values with those obtained by D’Olieslager and van Tiggelen [44] (e.g., Su = 46.50 cm/s for stoichiometric mixture diluted with 40 vol% N2).
The laminar burning velocity plays an important role in the combustion process. It contains fundamental information regarding the reactivity, diffusivity, and exothermicity of a combustible mixture. The accurate values of the laminar burning velocities are still needed as inputs for computation of turbulent flames and for validation of chemical kinetic mechanisms for conventional and alternative fuels. Moreover, the knowledge of the laminar burning velocity is needed for the design of new internal combustion engines where the initial combustion takes place as laminar combustion.

5. Conclusions

The present paper uses the transient pressure records in a small-closed spherical bomb in order to investigate the flame propagation in N2-diluted CH4-N2O mixtures with stoichiometric equivalence ratio, at various initial pressures (0.5–1.75 bar) and ambient initial temperature. In this respect, the flame radii, burnt mass fractions, cubic law coefficients and corresponding laminar burning velocities at various moments of the flame propagation in the incipient period of the flame propagation were analyzed and reported.
The burnt mass fractions achieved using three different equations reported in the literature led to similar results of the flame radius, but only the simple equation proposed by Manton et al. [31] conducted to a good agreement between the laminar burning velocities obtained in this study and data reported by other authors.
The cubic law coefficients and corresponding laminar burning velocities obtained in the preset research depend on the initial pressure and diluent concentration. Furthermore, the laminar burning velocities obtained in the present study using the cubic law coefficients were found to be far from those reported from experiments using a burner with a flat flame or from computation with an adjusted PPD mechanism, but close to those obtained from experiments performed using a Bunsen burner. Accurate values of the laminar burning velocities are necessary for computation of turbulent flames, validation of chemical kinetic mechanisms and design new internal combustion engines.
The incipient stage (whose duration was considered t and which was limited to Δp = p0) was divided into smaller time intervals of 3/4 t, 1/2 t and 1/4 t. This was done in order to establish the optimum duration of the incipient stage of flame propagation. After a rigorous inspection of the fit parameters achieved for regressions of Δp vs. t, the optimum duration of the early stage was set to be at Δp = p0. The incipient stage of flame propagation gives us useful information regarding the flame initiation and growth, while the pressure variation in the course of this stage is useful for the design of venting devices.

Author Contributions

Conceptualization, V.G.; software, M.M.; validation, V.G., M.M. and C.M.; investigation, V.G. and M.M.; data curation, M.M.; formal analysis, V.G.; writing—original draft preparation, V.G.; writing—review and editing, V.G., M.M. and C.M.; visualization, V.G., M.M. and C.M. All authors have read and agreed to the published version of the manuscript.

Funding

This research received no external funding.

Acknowledgments

The present study was partially supported by the Romanian Academy under research project “Dynamics of fast oxidation and decomposition reactions in homogeneous systems” of Ilie Murgulescu Institute of Physical Chemistry.

Conflicts of Interest

The authors declare no conflict of interest.

References

  1. Hirano, T. Accidental explosions of semiconductor manufacturing gases in Japan. J. Phys. IV Fr. 2002, 12, 253–258. [Google Scholar] [CrossRef]
  2. Merrill, C. Nitrous Oxide Explosive Hazards; Technical Report; Air Force Research Laboratory: Edwards AFB, CA, USA, 2008. [Google Scholar]
  3. Vandebroek, L.; Van den Schoor, F.; Verplaetsen, F.; Berghmans, J.; Winter, H.; van’t Oost, E. Flammability limits and explosion characteristics of toluene–nitrous oxide mixtures. J. Hazard. Mater. 2005, 120, 57–65. [Google Scholar] [CrossRef]
  4. Powell, O.A.; Miller, J.E.; Dreyer, C.; Papas, P. Characterization of hydrocarbon/nitrous oxide propellant combinations. In Proceedings of the 46th AIAA Aerospace Sciences Meeting and Exhibit, Reno, NV, USA, 7–10 January 2008. [Google Scholar]
  5. Powell, O.A.; Papas, P.; Dreyer, C. Laminar burning velocities for hydrogen-, methane-, acetylene- and propane-nitrous oxide flames. Combust. Sci. Technol. 2009, 181, 917–936. [Google Scholar] [CrossRef]
  6. Powell, O.A.; Papas, P.; Dreyer, C.B. Hydrogen- and C1–C3 hydrocarbon-nitrous oxide kinetics in freely propagating and burner-stabilized flames, shock tubes, and flow reactors. Combust. Sci. Technol. 2010, 182, 252–283. [Google Scholar] [CrossRef]
  7. Shebeko, Y.; Korolchenko, A.; Ylin, A.; Malkin, V. Concentration limits for flame propagation in fuel-diluent-nitrous oxide mixtures. Fiz. Gorenyia Vzryva 1988, 24, 48–51. [Google Scholar]
  8. Shebeko, A.; Shebeko, Y.; Zuban, A.; Navzenya, V. An experimental investigation of an inertization effectiveness of fluorinated hydrocarbons in relation to premixed H2-N2O and CH4-N2O flames. J. Loss Prev. Process Ind. 2013, 26, 1639–1645. [Google Scholar] [CrossRef]
  9. Shebeko, A.; Shebeko, Y.; Zuban, A.; Navzenya, V. Influence on fluorocarbons flammability limits in the mixtures of H2-N2O and CH4-N2O. Russ. J. Phys. Chem. B 2014, 8, 65–70. [Google Scholar] [CrossRef]
  10. Mével, R.; Lafosse, F.; Chaumeix, N.; Dupré, G.; Paillard, C.E. Spherical expanding flames in H2-N2O-Ar mixtures: Flame speed measurements and kinetic modelling. Int. J. Hydrog. Energy 2009, 34, 9007–9018. [Google Scholar] [CrossRef]
  11. Koshiba, Y.; Takigawa, T.; Matsuoka, Y.; Ohtani, H. Explosion characteristics of flammable organic vapors in nitrous oxide atmosphere. J. Hazard. Mater. 2010, 183, 746–753. [Google Scholar] [CrossRef] [PubMed][Green Version]
  12. Koshiba, Y.; Nishida, T.; Morita, N.; Ohtani, H. Explosion behavior of n-alkane/nitrous oxide mixtures. Process. Saf. Environ. Prot. 2015, 98, 11–15. [Google Scholar] [CrossRef]
  13. Koshiba, Y.; Hasegawa, T.; Ohtani, H. Numerical and experimental study of the explosion pressures and flammability limits of lower alkenes in nitrous oxide atmosphere. Process Saf. Environ. Prot. 2018, 118, 59–67. [Google Scholar] [CrossRef]
  14. Bane, S.P.M.; Mevel, R.; Coronel, S.A.; Shepherd, J.E. Flame burning speeds and combustion characteristics of undiluted and nitrogen-diluted hydrogen-nitrous oxide mixtures. Int. J. Hydrog. Energy 2011, 36, 10107–10116. [Google Scholar] [CrossRef]
  15. Movileanu, C.; Mitu, M.; Razus, D.; Giurcan, V.; Oancea, D. Propagation indexes of C2H4-N2O-N2 deflagrations in elongated closed vessels. Rev. Roum. Chim. 2017, 62, 357–363. [Google Scholar]
  16. Razus, D.; Mitu, M.; Giurcan, V.; Oancea, D. Propagation indices of methane-nitrous oxide flames in the presence of inert additives. J. Loss Prev. Process Ind. 2017, 49, 418–426. [Google Scholar] [CrossRef]
  17. Razus, D.; Mitu, M.; Giurcan, V.; Movileanu, C.; Oancea, D. Methane-unconventional oxidant flames. Laminar burning velocities of nitrogen-diluted methane-N2O mixtures. Proc. Saf. Environ. Prot. 2018, 114, 240–250. [Google Scholar] [CrossRef]
  18. Shen, X.; Zhang, N.; Shi, X.; Cheng, X. Experimental studies on pressure dynamics of C2H4/N2O mixtures explosion with dilution. Appl. Therm. Eng. 2019, 147, 74–80. [Google Scholar] [CrossRef]
  19. Li, Y.; Jiang, R.; Li, Z.; Xu, S.; Pan, F.; Xie, L. Studies on the flame propagation characteristic and thermal hazard of the premixed N2O/fuel mixtures. Def. Technol. 2020, 16, 564–570. [Google Scholar] [CrossRef]
  20. Wang, L.Q.; Ma, H.H.; Shen, Z.W. Explosion characteristics of H2/N2O and CH4/N2O diluted with N2. Fuel 2020, 260, 116355. [Google Scholar] [CrossRef]
  21. Wang, L.Q.; Ma, H.H.; Shen, Z.W.; Pan, J. A comparative study of the explosion behaviors of H2 and C2H4 with air, N2O and O2. Fire Safe. J. 2021, 119, 103260. [Google Scholar] [CrossRef]
  22. Luo, Z.; Liang, H.; Wang, T.; Cheng, F.; Su, B.; Liu, L.; Liu, B. Evaluating the effect of multiple flammable gases on the flammability limit of CH4: Experimental study and theoretical calculation. Process Saf. Environ. Prot. 2021, 146, 369–376. [Google Scholar] [CrossRef]
  23. Mitu, M.; Giurcan, V.; Movileanu, C.; Razus, D.; Oancea, D. Propagation of CH4-N2O-N2 flames in a closed spherical vessel. Processes 2021, 9, 851. [Google Scholar] [CrossRef]
  24. Mehra, R.K.; Duan, H.; Juknelevičius, R.; Maa, F.; Li, J. Progress in hydrogen enriched compressed natural gas (HCNG) internal combustion engines–A comprehensive review. Renew. Sustain. Energy Rev. 2017, 80, 1458–1498. [Google Scholar] [CrossRef]
  25. Popoola, A.I.; Ponle, A.L.; Ogunsua, B.O.; Oluyamo, S.S. Design and implementation of an instrument for methane (CH4) and nitrous oxide (N2O) measurements. J. Sci. Technol. Res. 2019, 1, 92–104. [Google Scholar]
  26. Branco, J.B.; Ferreira, A.C.; Botelho do Rego, A.M.; Ferraria, A.M.; Almeida-Gasche, T. Conversion of methane over bimetallic copper and nickel actinide oxides (Th, U) using nitrous oxide as oxidant. ACS Catal. 2012, 2, 2482–2489. [Google Scholar] [CrossRef]
  27. Babkin, V.S.; Babushok, V.I. Initial stage of gas combustion in a closed volume. Combust. Explos. Shock Waves 1977, 13, 19–23. [Google Scholar] [CrossRef]
  28. Zabetakis, M. Flammability Characteristics of Combustible Gases and Vapors; BM-BULL-627; U.S. Bureau of Mines: Pittsburgh, PA, USA, 1964.
  29. Razus, D.; Movileanu, C.; Oancea, D. Burning velocity evaluation from pressure evolution during the early stage of closed-vessel explosions. J. Loss Prev. Process Ind. 2006, 19, 334–342. [Google Scholar] [CrossRef]
  30. Fiock, E.; Marvin, C. The measurement of flame speeds. Chem. Rev. 1937, 21, 367–387. [Google Scholar] [CrossRef]
  31. Manton, J.; Lewis, B.; von Elbe, G. Burning-velocity measurements in a spherical vessel with central ignition. Proc. Symp. Int. Combust. 1953, 4, 358–363. [Google Scholar] [CrossRef]
  32. Brinzea, V.; Mitu, M.; Movileanu, C.; Razus, D.; Oancea, D. Deflagration parameters of stoichiometric propane-air mixture during the initial stage of gaseous explosions in closed vessels. Rev. Chim. 2011, 62, 201–205. [Google Scholar]
  33. Razus, D.; Brinzea, V.; Mitu, M.; Movileanu, C.; Oancea, D. Burning velocity of propane-air mixtures from pressure-time records during explosions in a closed spherical vessel. Energy Fuels 2012, 26, 901–909. [Google Scholar] [CrossRef]
  34. Chen, Z.; Burke, M.P.; Ju, Y. Effects of compression and stretch on the determination of laminar flame speeds using propagating spherical flames. Combust. Theor. Model. 2009, 13, 343–364. [Google Scholar] [CrossRef]
  35. Grumer, J.; Cook, E.B.; Kubala, T.A. Considerations pertaining to spherical vessel combustion. Combust. Flame 1959, 3, 437–446. [Google Scholar] [CrossRef]
  36. COSILAB; Version 3.0.3; Rotexo-Softpredict-Cosilab GmbH & Co KG: Bad Zwischenhahn, Germany, 2013.
  37. Oancea, D.; Razus, D.; Ionescu, N.I. Burning velocity determination by spherical bomb technique. I. A new model for burnt mass fraction. Rev. Roum. Chim. 1994, 39, 1187–1196. [Google Scholar]
  38. Razus, D.; Oancea, D.; Ionescu, N.I. Burning velocity determination by spherical bomb technique. II. Propylene-air mixtures of various compositions, pressures and temperatures. Rev. Roum. Chim. 2000, 45, 319–330. [Google Scholar]
  39. Nagy, J.; Conn, J.; Verakis, H. Explosion Development in a Spherical Vessel; US Bureau of Mines Report, No. 7279; U.S. Department of the Interior: Washington, WC, USA, 1969. Available online: https://ncsp.tamu.edu/reports/MSHA/sphericalvessel.pdf (accessed on 16 September 2021).
  40. Glassman, I.; Yetter, R. Combustion, 4th ed.; Elsevier: Amsterdam, The Netherlands; Boston, MA, USA; London, UK, 2008. [Google Scholar]
  41. Lee, M.C.; Seo, S.B.; Yoon, J.; Kim, M.; Yoon, Y. Experimental study on the effect of N2, CO2, and steam dilution on the combustion performance of H2 and CO synthetic gas in an industrial gas turbine. Fuel 2012, 102, 431–438. [Google Scholar] [CrossRef]
  42. Zhang, J.; Mi, J.; Li, P.; Wang, F.; Dally, B.B. Moderate or intense low-oxygen dilution combustion of methane diluted by CO2 and N2. Energy Fuels 2015, 29, 4576–4585. [Google Scholar] [CrossRef]
  43. Ceriello, G.; Sorrentino, G.; Cavaliere, A.; Sabia, P.; de Joannon, M.; Ragucci, R. The role of dilution level and canonical configuration in the modeling of MILD combustion systems with internal recirculation. Fuel 2020, 264, 116840. [Google Scholar] [CrossRef]
  44. D’Olieslager, J.; van Tiggelen, A. Kinetical study of hydrocarbon-nitrous oxide flames. Bull. Soc. Chim. Belg. 1964, 73, 135–153. [Google Scholar] [CrossRef]
  45. Dahoe, A.; Zevenbergen, J.; Lemkowitz, S.; Scarlett, B. Dust explosions in spherical vessels: The role of flame thickness in the validity of the ‘cube-root’ law. J. Loss Prev. Process Ind. 1996, 9, 33–44. [Google Scholar] [CrossRef]
  46. Faghih, M.; Chen, Z. The constant-volume propagating spherical flame method for laminar flame speed measurement. Sci. Bull. 2016, 61, 1296–1310. [Google Scholar] [CrossRef]
  47. Luijten, C.C.M.; Doosje, E.; de Goey, L.P.H. Accurate analytical models for fractional pressure rise in constant volume combustion. Int. J. Therm. Sci. 2009, 48, 1213–1222. [Google Scholar] [CrossRef]
  48. O’Donovan, K.H.; Rallis, C.J. A modified analysis for the determination of the burning velocity of a gas mixture in a spherical constant volume combustion vessel. Combust. Flame 1959, 3, 201–214. [Google Scholar] [CrossRef]
Figure 1. Experimental pressure-time history of the combustion process.
Figure 1. Experimental pressure-time history of the combustion process.
Energies 14 05918 g001
Figure 2. Flame front development in the spherical explosion bomb (equatorial view).
Figure 2. Flame front development in the spherical explosion bomb (equatorial view).
Energies 14 05918 g002
Figure 3. Pressure variation during the explosion in stoichiometric CH4-N2O-60% N2, at ambient initial temperature and p0 = 1.50 bar.
Figure 3. Pressure variation during the explosion in stoichiometric CH4-N2O-60% N2, at ambient initial temperature and p0 = 1.50 bar.
Energies 14 05918 g003
Figure 4. Pressure variation during the explosions in stoichiometric CH4-N2O mixtures diluted with N2, at p0 = 1.75 bar and ambient initial temperature. (a) the whole p(t) curve; (b) a magnified diagram representing the incipient period of the flame propagation.
Figure 4. Pressure variation during the explosions in stoichiometric CH4-N2O mixtures diluted with N2, at p0 = 1.75 bar and ambient initial temperature. (a) the whole p(t) curve; (b) a magnified diagram representing the incipient period of the flame propagation.
Energies 14 05918 g004
Figure 5. Variation of cubic law coefficients with initial pressure for stoichiometric CH4-N2O mixture diluted with 40% N2, at ambient initial temperature.
Figure 5. Variation of cubic law coefficients with initial pressure for stoichiometric CH4-N2O mixture diluted with 40% N2, at ambient initial temperature.
Energies 14 05918 g005
Figure 6. Variation of cubic law coefficients with diluent concentration for stoichiometric CH4-N2O mixtures, diluted with N2, at p0 = 1.75 bar and ambient initial temperature.
Figure 6. Variation of cubic law coefficients with diluent concentration for stoichiometric CH4-N2O mixtures, diluted with N2, at p0 = 1.75 bar and ambient initial temperature.
Energies 14 05918 g006
Figure 7. Variation of laminar burning velocities with initial pressure for stoichiometric CH4-N2O mixture, diluted with 60% N2, at room temperature.
Figure 7. Variation of laminar burning velocities with initial pressure for stoichiometric CH4-N2O mixture, diluted with 60% N2, at room temperature.
Energies 14 05918 g007
Figure 8. Variation of laminar burning velocities with diluent concentration for stoichiometric CH4-N2O mixtures diluted with N2, at p0 = 1.25 bar and ambient initial temperature.
Figure 8. Variation of laminar burning velocities with diluent concentration for stoichiometric CH4-N2O mixtures diluted with N2, at p0 = 1.25 bar and ambient initial temperature.
Energies 14 05918 g008
Table 1. Comparison between present data and data reported in the literature.
Table 1. Comparison between present data and data reported in the literature.
p0 (bar)(N2) (vol%)MethodSu (cm/s)Reference
0.7550Spherical expanding flames33.03Present data
0.8152Flat flame burner24.20[4,5,6]
0.8152Numerical modeling21.50[4,5,6]
1.0040Spherical expanding flames47.58Present data
1.0040Bunsen burner46.50[44]
1.0050Spherical expanding flames31.11Present data
1.0050Bunsen burner30.10[44]
Table 2. The determination coefficients (r2) and the value of the statistical factors (Fs).
Table 2. The determination coefficients (r2) and the value of the statistical factors (Fs).
Time Interval(N2) = 40 (vol%)(N2) = 50 (vol%)(N2) = 60 (vol%)
r2Fsr2Fsr2Fs
t0.998191590.997296480.998116931
3/4 t0.997121360.995172720.99889100
1/2 t0.99247480.98968430.99642722
1/4 t0.97311120.96215490.9838181
Table 3. The burnt mass fractions of stoichiometric CH4-N2O mixture diluted with 40 vol% N2, at atmospheric initial pressure and temperature.
Table 3. The burnt mass fractions of stoichiometric CH4-N2O mixture diluted with 40 vol% N2, at atmospheric initial pressure and temperature.
Duration of the Early Stagen
Equation Manton et al. [31]Equation Grumer et al. [35]Equation Oancea et al. [37]
t0.08460.07620.0792
3/4 t0.06080.05480.0564
1/2 t0.04250.03830.0391
1/4 t0.02030.01830.0184
Table 4. The flame radius of stoichiometric CH4-N2O mixture diluted with 40 vol% N2, at atmospheric initial pressure and temperature.
Table 4. The flame radius of stoichiometric CH4-N2O mixture diluted with 40 vol% N2, at atmospheric initial pressure and temperature.
Duration of the Early Stagerb
n from Manton et al. [31]n from Grumer et al. [35]n from Oancea et al. [37]
t3.8783.8653.870
3/4 t3.6373.6243.627
1/2 t3.3623.3503.352
1/4 t2.7842.7752.775
Table 5. Dimensionless flame radius and relative pressure of stoichiometric CH4-N2O mixture diluted with 60 vol% N2, at ambient initial temperature and p0 = 1.25 bar.
Table 5. Dimensionless flame radius and relative pressure of stoichiometric CH4-N2O mixture diluted with 60 vol% N2, at ambient initial temperature and p0 = 1.25 bar.
Duration of the Early Stagen from Grumer et al. [35]bπ
t3.8713.8563.859
3/4 t3.6533.6393.641
1/2 t3.3383.3253.326
1/4 t2.8102.8002.799
Table 6. Laminar burning velocities of CH4-N2O mixture with stoichiometric composition diluted with 40 vol% N2, at ambient initial temperature and pressure.
Table 6. Laminar burning velocities of CH4-N2O mixture with stoichiometric composition diluted with 40 vol% N2, at ambient initial temperature and pressure.
Calculation MethodSu (cm/s)
Using cubic law coefficient k47.58
Using n from Manton et al. [31]46.30
Using n from Grumer et al. [35]42.33
Using n from Oancea et al. [37]40.07
Publisher’s Note: MDPI stays neutral with regard to jurisdictional claims in published maps and institutional affiliations.

Share and Cite

MDPI and ACS Style

Mitu, M.; Movileanu, C.; Giurcan, V. Deflagration Characteristics of N2-Diluted CH4-N2O Mixtures in the Course of the Incipient Stage of Flame Propagation. Energies 2021, 14, 5918. https://doi.org/10.3390/en14185918

AMA Style

Mitu M, Movileanu C, Giurcan V. Deflagration Characteristics of N2-Diluted CH4-N2O Mixtures in the Course of the Incipient Stage of Flame Propagation. Energies. 2021; 14(18):5918. https://doi.org/10.3390/en14185918

Chicago/Turabian Style

Mitu, Maria, Codina Movileanu, and Venera Giurcan. 2021. "Deflagration Characteristics of N2-Diluted CH4-N2O Mixtures in the Course of the Incipient Stage of Flame Propagation" Energies 14, no. 18: 5918. https://doi.org/10.3390/en14185918

APA Style

Mitu, M., Movileanu, C., & Giurcan, V. (2021). Deflagration Characteristics of N2-Diluted CH4-N2O Mixtures in the Course of the Incipient Stage of Flame Propagation. Energies, 14(18), 5918. https://doi.org/10.3390/en14185918

Note that from the first issue of 2016, this journal uses article numbers instead of page numbers. See further details here.

Article Metrics

Back to TopTop