Research on Decoupled Optimal Control of Straight-Line Driving Stability of Electric Vehicles Driven by Four-Wheel Hub Motors
Abstract
1. Introduction
- (1)
- Yaw stability
- (2)
- The slip rate is in a safe area
- (3)
- speed follows desired speed
2. Vehicle Stability Analysis in a Straight Line
3. Vehicle Modelling and Experimental Verification
3.1. Vehicle Model
3.2. Wheel Hub Motor Matching Calculation
4. CarSim Vehicle Model Straight-Line Driving Capability Validation
5. Decoupled Optimal Control of Straight-Line Driving Stability
Control System Architecture Design
6. Yaw Motion Controller Design
6.1. Expectation Model
6.2. Design of the Model Predictive Controller
6.3. Design of Acceleration Slip Controller
7. Decoupling of Underlying Control and Motion
7.1. Yaw Movement Bottom Control
7.2. Slip Rate Bottom Control
7.3. Decoupling Control
8. Optimal Distribution of the Generalized Drive Torque
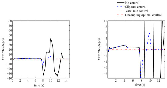
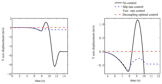
9. Simulation Analysis of Control Effects
9.1. High Adhesion Pavement Simulation Analysis
9.2. Low Adhesion Pavement Simulation Analysis
9.3. Simulation Analysis of Split Roads
10. Conclusions
- (1)
- Based on the stability analysis of hub motor driven electric vehicle in straight line driving, the cause of vehicle deviation is revealed.
- (2)
- Through the motor matching calculation, the carsim vehicle dynamics model is established, and simulation tests are carried out, which proves that the simulation accuracy of the model is sufficient to meet the verification requirements of the control strategy for straight-line driving conditions.
- (3)
- The control strategy of yaw motion and slip rate was formulated. Based on model predictive control and PID control, the combined controller of yaw rate and slip rate was developed and the control decoupling was realized. Based on the sliding mode control and the least quadratic programming of the tire utilization rate, the optimal distribution of the generalized driving torque is completed. The simulation verifies the correctness of the proposed optimal control method for driving torque decoupling, and also proves that the joint control of yaw motion and slip rate can greatly improve the straight-line driving stability of the hub motor-driven electric vehicle.
Author Contributions
Funding
Conflicts of Interest
References
- Hu, J.S.; Yin, D. Electric Vehicle Traction Control: A New MTTE Methodology. IEEE 2012, 18, 23–31. [Google Scholar] [CrossRef]
- Dadashnialehi, A.; Bab-Hadiashar, A.; Cao, Z. Intelligent Sensorless ABS for In-Wheel Electric Vehicles. IEEE Trans. Ind. Electron. 2014, 61, 1957–1969. [Google Scholar] [CrossRef]
- Wang, J.; Wang, Q.; Jin, L. Independent wheel torque control of 4WD electric vehicle for differential drive assisted steering. Mechatronics 2011, 21, 63–76. [Google Scholar] [CrossRef]
- Falkner, A.; Reinalter, W. Consistent vehicle model for determining the design envelope, ride comfort and component load. Veh. Syst. Dyn. 2006, 44, 468–478. [Google Scholar] [CrossRef]
- Chen, Q.; Liao, C.; Ouyang, A. Research and development of in-wheel motor driving technology for electric vehicles. Int. J. Electr. Hybrid Veh. 2016, 8, 242. [Google Scholar] [CrossRef]
- Fan, Y.; Zhang, L.; Cheng, M. Sensorless SVPWM-FADTC of a New Flux-Modulated Permanent-Magnet Wheel Motor Based on a Wide-Speed Sliding Mode Observer. IEEE Trans. Ind. Electron. 2015, 62, 3143–3151. [Google Scholar] [CrossRef]
- Liu, H.; Zhang, H. An improved DTC for in-wheel BLDC motors in micro all-electric vehicles. Automatika 2016, 57, 648–659. [Google Scholar] [CrossRef]
- Ying, F.; Li, Z.; Wei, M. The Improved Direct Torque Control of a New Self-Decelerating Permanent-Magnet In-Wheel Motor for Electric Vehicles. Vehicle Power & Propulsion Conference. In Proceedings of the 2013 IEEE Vehicle Power and Propulsion Conference (VPPC), Beijing, China, 15–18 October 2013; IEEE: Piscataway, NJ, USA, 2013. [Google Scholar]
- Djerioui, A.; Houari, A. Grey Wolf based control for speed ripple reduction at low speed operation of PMSM drives. ISA Trans. 2018, 74, 111–119. [Google Scholar] [CrossRef]
- Murata, S. Innovation by in-wheel-motor drive unit. Veh. Syst. Dyn. 2012, 50, 807. [Google Scholar] [CrossRef]
- Zhang, L. Decoupling control of roll stability of electric vehicle driven by in-wheel motor. Chin. J. Mech. Eng. 2017, 53, 94–104. [Google Scholar]
- Bai, Z.; Lu, Y.; Li, Y. Method of Improving Lateral Stability by Using Additional Yaw Moment of Semi-Trailer. Energies 2020, 13, 6317. [Google Scholar] [CrossRef]
- Haiying, M.; Chaopeng, L.; Fu, W.Z. Direct Yaw-Moment Control Based on Fuzzy Logic of Four Wheel Drive Vehicle under the Cross Wind. Energy Procedia 2017, 105, 2310–2316. [Google Scholar] [CrossRef]
- Wang, Z. Vehicle Stability Enhancement through Hierarchical Control for a Four-Wheel-Independently-Actuated Electric Vehicle. Energies 2017, 10, 947. [Google Scholar] [CrossRef]
- Wang, J.; Zheng, L.; Yan, W. Coordination Control of Differential Drive Assist Steering and Vehicle Stability Control for Four-Wheel-Independent-Drive EV. IEEE Trans. Veh. Technol. 2018, 67, 11453–11467. [Google Scholar] [CrossRef]
- Kirli, A.; Chen, Y.; Okwudire, C. Torque-Vectoring-Based Backup Steering Strategy for Steer-by-Wire Autonomous Vehicles with Vehicle Stability Control. IEEE Trans. Veh. Technol. 2019, 68, 7319–7328. [Google Scholar] [CrossRef]
- Balázs, N. Coordination of Lateral Vehicle Control Systems Using Learning-Based Strategies. Energies 2021, 14, 1291. [Google Scholar]
- Jalali, M.; Khosravani, S.; Khajepour, A.; Chen, S.K.; Litkouhi, B. Model predictive control of vehicle stability using coordinated active steering and differential brakes. Mechatronics 2017, 48, 30–41. [Google Scholar] [CrossRef]
- Feng, J. Research on Methods of Active Steering Control Based on Receding Horizon Control. Energies 2018, 11, 2243. [Google Scholar] [CrossRef]
- Mousavinejad, E.; Han, Q.L.; Yang, F.; Zhu, Y.; Vlacic, L. Integrated control of ground vehicles dynamics via advanced terminal sliding mode control. Veh. Syst. Dyn. 2017, 55, 268–294. [Google Scholar] [CrossRef]
- Bobier-Tiu, C.G. Vehicle control synthesis using phase portraits of planar dynamics. Veh. Syst. Dyn. 2019, 57, 1318–1337. [Google Scholar] [CrossRef]
- Huang, G. A BP-PID controller-based multi-model control system for lateral stability of distributed drive electric vehicle. J. Frankl. Inst. 2019, 356, 7290–7311. [Google Scholar] [CrossRef]
- Shuai, Z.; Zhang, H.; Wang, J. Combined AFS and DYC Control of Four-Wheel-Independent-Drive Electric Vehicles over CAN Network with Time-Varying Delays. IEEE Trans. Veh. Technol. 2014, 63, 591–602. [Google Scholar] [CrossRef]
- Deur, J. A model-based traction control strategy non-reliant on wheel slip information. Veh. Syst. Dyn. 2011, 49, 1245–1265. [Google Scholar] [CrossRef]
- Yin, G. Optimal Slip Ratio Based Fuzzy Control of Acceleration Slip Regulation for Four-Wheel Independent Driving Electric Vehicles. Math. Problems Eng. 2013, 2013, 410864. [Google Scholar] [CrossRef]
- Zhang, J.; Shi, Z.; Yang, X. Robust adaptive control for continuous wheel slip rate tracking of vehicle with state observer. Meas. Control-Lond.-Inst. Meas. Control 2020, 53, 002029402092815. [Google Scholar] [CrossRef]
- Zhang, D. Control method of wheel slip rate based on fuzzy algorithm. J. Intell. Fuzzy Syst. 2020, 38, 7865–7874. [Google Scholar] [CrossRef]
- Pourseif, T.; Mohajeri, M. Design of robust control for a motor in electric vehicles. IET Electr. Syst. Transp. 2020, 10, 68–74. [Google Scholar] [CrossRef]
- Yu, Z. Automobile Theory, 5th ed.; China Machine Press: Beijing, China, 2009. [Google Scholar]
- Tanelli, M.; Ferrara, A. Wheel slip control of road vehicles via switched second order sliding modes. Int. J. Veh. Des. 2013, 62, 231–253. [Google Scholar] [CrossRef]
- Cairano, S.D.; Tseng, H.E.; Bernardini, D. Vehicle Yaw Stability Control by Coordinated Active Front Steering and Differential Braking in the Tire Sideslip Angles Domain. IEEE Trans. Control Syst. Technol. 2013, 21, 1236–1248. [Google Scholar] [CrossRef]
- Ogata, K. Modern Control Engineering; Electronic Industry Press: Beijing, China, 2010. [Google Scholar]
- Mahfouz, M.; Taiomour, A.; Ashry, M.M.; Elnashar, G. PID tuning approaches for quadrotors unmanned aerial vehicles. IOP Conf. Ser. Mater. Sci. Eng. 2021, 1172, 012040. [Google Scholar] [CrossRef]
- Xu, M.; Wang, X.; Li, W.; Fu, H.; Wang, S. Investigation of PID Control Model Performance in Off-Road Working Vehicle Motion Stability Control System. Elektron. Elektrotech. 2017, 23, 3–9. [Google Scholar] [CrossRef][Green Version]
- Sinlapakun, V.; Assawinchaichote, W. Optimized PID controller design for electric furnace temperature systems with Nelder Mead Algorithm. In Proceedings of the 2015 12th International Conference on Electrical Engineering/Electronics, Computer, Telecommunications and Information Technology (ECTI-CON), Hua Hin, Thailand, 24–27 June 2015; IEEE: Piscataway, NJ, USA, 2015. [Google Scholar]
- Jin, L.; Wang, Q.; Yue, W.; Song, C. Dynamics Simulation Model Based on Four-wheel Independent Drive Electric Vehicle. J. Syst. Simul. 2005, 12, 3053–3055. [Google Scholar]
- Ossama, M.; Masato, A. Simultaneous Optimal Distribution of Lateral and Longitudinal Tire Forces for the Model Following Control. J. Dyn. Syst. Meas. Control 2004, 126, 753–763. [Google Scholar]
- Guo, L. Cost-optimal energy management strategy for plug-in hybrid electric vehicles with variable horizon speed prediction and adaptive state-of-charge reference. Energy 2021, 232, 120933. [Google Scholar] [CrossRef]
- Makrygiorgou, J.J.; Alexandridis, A.T. Power Electronic Control Design for Stable EV Motor and Battery Operation during a Route. Energies 2019, 12, 1990. [Google Scholar] [CrossRef]
- Scokaert, P.O.; Mayne, D.Q. Min-max feedback model predictive control for constrained linear systems. IEEE Trans. Autom. Control 1998, 43, 1136–1142. [Google Scholar] [CrossRef]
- Chai, R.; Savvaris, A.; Tsourdos, A.; Chai, S.; Xia, Y. Trajectory Optimization of Space Maneuver Vehicle Using a Hybrid Optimal Control Solver. IEEE Trans. Cybern. 2017, 49, 467–480. [Google Scholar] [CrossRef]
- Zhong, G.; Kobayashi, Y.; Emaru, T. Optimal control of the dynamic stability for robotic vehicles in rough terrain. Nonlinear Dyn. 2013, 73, 981–992. [Google Scholar] [CrossRef]
- Guo, G.; Li, P.; Hao, L.Y. A New Quadratic Spacing Policy and Adaptive Fault-Tolerant Platooning With Actuator Saturation. IEEE Trans. Intell. Transp. Syst. 2020, 99, 1–13. [Google Scholar] [CrossRef]
- Zhang, Y.; Chen, D.; Guo, D. On exponential convergence of nonlinear gradient dynamics system with application to square root finding. Nonlinear Dyn. 2015, 79, 983–1003. [Google Scholar] [CrossRef]
- Wang, G.; Liu, Y.; Li, S. New Integrated Vehicle Stability Control of Active Front Steering and Electronic Stability Control Considering Tire Force Reserve Capability. IEEE Trans. Veh. Technol. 2021, 70, 2181–2195. [Google Scholar] [CrossRef]
- Yang, C. An efficient vehicle-following predictive energy management strategy for PHEV based on improved sequential quadratic programming algorithm. Energy 2021, 219, 119595. [Google Scholar] [CrossRef]

























| Symbol | Physical Meaning |
|---|---|
| Longitudinal driving force | |
| Lateral driving force | |
| Vertical force | |
| Yaw rate | |
| Slip angle | |
| Longitudinal speed | |
| Slip rate | |
| Wheel speed | |
| Driving torque | |
| Front axle vertical load proportion | |
| Rear axle vertical load specific gravity | |
| Front left (), front right (), rear left (), rear right () |
| Parameter | Value | Unit | Physical Meaning |
|---|---|---|---|
| Total mass of vehicle | |||
| Gravitational acceleration | |||
| Yaw inertia | |||
| Distance from front axle to COG | |||
| Distance from rear axle to COG | |||
| Half length of front axle | |||
| Half length of rear axle | |||
| Wheel radius |
| Parameter | Value | Unit | Physical Meaning |
|---|---|---|---|
| 14 | kw | Power rating | |
| 28 | kw | Peak power | |
| 800 | rpm | Rated speed | |
| 1600 | rpm | Peak speed | |
| 145 | Rated torque | ||
| 290 | Peak torque |
Publisher’s Note: MDPI stays neutral with regard to jurisdictional claims in published maps and institutional affiliations. |
© 2021 by the authors. Licensee MDPI, Basel, Switzerland. This article is an open access article distributed under the terms and conditions of the Creative Commons Attribution (CC BY) license (https://creativecommons.org/licenses/by/4.0/).
Share and Cite
Yang, S.; Feng, J.; Song, B. Research on Decoupled Optimal Control of Straight-Line Driving Stability of Electric Vehicles Driven by Four-Wheel Hub Motors. Energies 2021, 14, 5766. https://doi.org/10.3390/en14185766
Yang S, Feng J, Song B. Research on Decoupled Optimal Control of Straight-Line Driving Stability of Electric Vehicles Driven by Four-Wheel Hub Motors. Energies. 2021; 14(18):5766. https://doi.org/10.3390/en14185766
Chicago/Turabian StyleYang, Songlin, Jingan Feng, and Bao Song. 2021. "Research on Decoupled Optimal Control of Straight-Line Driving Stability of Electric Vehicles Driven by Four-Wheel Hub Motors" Energies 14, no. 18: 5766. https://doi.org/10.3390/en14185766
APA StyleYang, S., Feng, J., & Song, B. (2021). Research on Decoupled Optimal Control of Straight-Line Driving Stability of Electric Vehicles Driven by Four-Wheel Hub Motors. Energies, 14(18), 5766. https://doi.org/10.3390/en14185766
