A Highly Selective Novel Green Cation Exchange Membrane Doped with Ceramic Nanotubes Material for Direct Methanol Fuel Cells
Abstract
:1. Introduction
2. Materials and Methods
2.1. Synthesis
2.1.1. Synthesis of Phosphated Titanium Oxide Nanotube (PO4-TiO2)
2.1.2. Preparation of SPVA/PEO/ PO4TiO2 Membranes
2.2. Characterisation
3. Results
3.1. Characterisation of PO4-TiO2 Nanotube and Nanocomposite Membranes
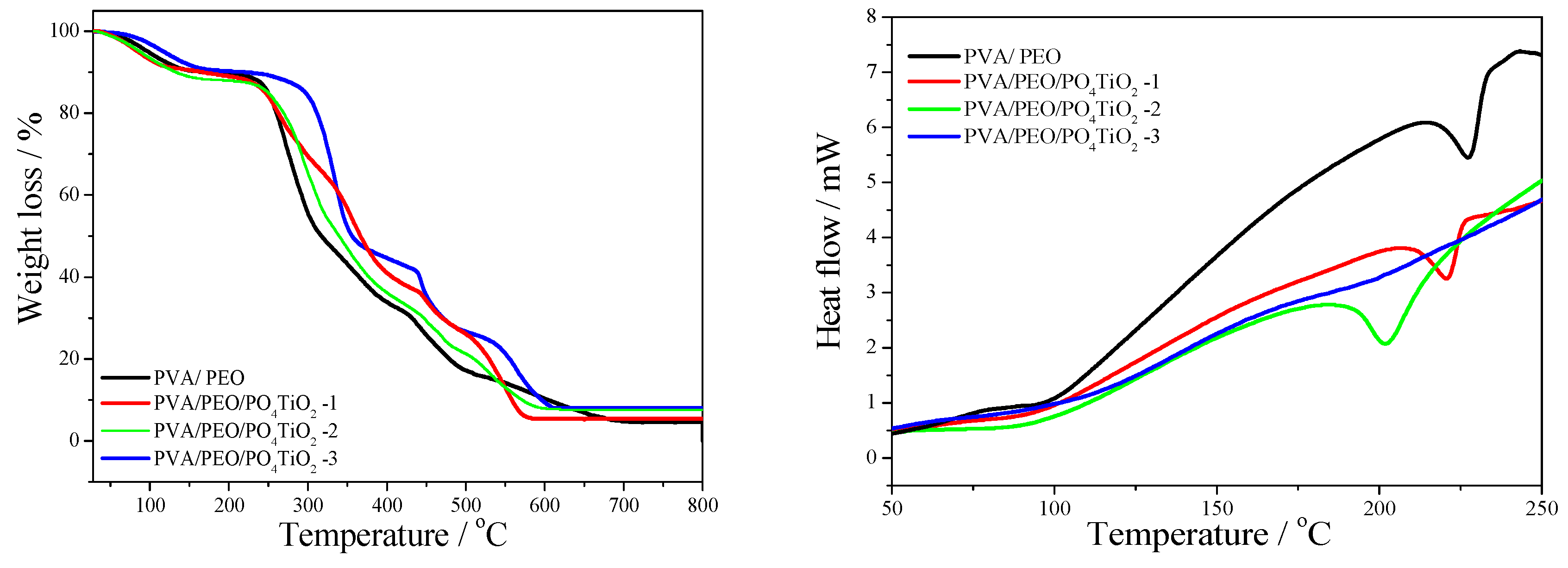
3.2. Mechanical and Thermal Properties
3.3. Oxidative Stability
3.4. Ionic Conductivity, IEC and Methanol Crossover
4. Conclusions
Author Contributions
Funding
Institutional Review Board Statement
Informed Consent Statement
Data Availability Statement
Acknowledgments
Conflicts of Interest
References
- Yuan, C.; Wang, Y. Synthesis and characterization of a crosslinked membrane based on sulfonated poly(aryl ether sulfone) and sulfonated polyvinyl alcohol applied in direct methanol fuel cells. J. Polym. Res. 2020, 27, 329. [Google Scholar] [CrossRef]
- Beydaghi, H.; Javanbakht, M.; Salarizadeh, P.; Bagheri, A.; Amoozadeh, A. Novel proton exchange membrane nanocompo-sites based on sulfonated tungsten trioxide for application in direct methanol fuel cells. Polymers 2017, 119, 253–262. [Google Scholar] [CrossRef]
- Zhiwei, W.; Hao, Z.; Qiang, C.; Sumei, Z.; Feng, Y.; Jian, K.; Jinyao, C.; Ya, C.; Ming, X. Preparation and characterization of PVA proton exchange membranes containing phosphonic acid groups for direct methanol fuel cell applications. J. Polym. Res. 2019, 26, 200. [Google Scholar] [CrossRef]
- Pandey, R.P.; Shukla, G.; Manohar, M.; Shahi, V.K. Graphene oxide based nanohybrid proton exchange membranes for fuel cell applications: An overview. Adv. Colloid Interface Sci. 2017, 240, 15–30. [Google Scholar] [CrossRef] [PubMed]
- Ye, Y.-S.; Rick, J.; Hwang, B.-J. Water Soluble Polymers as Proton Exchange Membranes for Fuel Cells. Polymers 2012, 4, 913–963. [Google Scholar] [CrossRef] [Green Version]
- Ma, J.; Choudhury, N.A.; Sahai, Y. A comprehensive review of direct borohydride fuel cells. Renew. Sustain. Energy Rev. 2010, 14, 183–199. [Google Scholar] [CrossRef]
- Merino-Jiménez, I.; León, C.P.; Shah, A.A.; Walsh, F.C. Developments in direct borohydride fuel cells and remaining chal-lenges. J. Power Sources 2012, 219, 339–357. [Google Scholar] [CrossRef]
- Gouda, M.H.; Elnouby, M.; Aziz, A.N.; Youssef, M.E.; Santos, D.M.F.; Elessawy, N.A. Green and Low-Cost Membrane Electrode Assembly for Proton Exchange Membrane Fuel Cells: Effect of Double-Layer Electrodes and Gas Diffusion Layer. Front. Mater. 2020, 6, 337. [Google Scholar] [CrossRef] [Green Version]
- Mohy Eldin, M.S.; Hashem, A.E.; Tamer, T.M.; Omer, A.M.; Yossuf, M.E.; Sabet, M.M. Development of cross-linked chi-tosan/alginate polyelectrolyte proton exchanger membranes for fuel cell applications. Int. J. Electrochem. Sci. 2017, 12, 53840–53858. [Google Scholar]
- Tamer, T.M.; Omer, A.M.; Sabet, M.M.; Youssef, M.E.; Hashem, A.I.; Mohy Eldin, M.S. Development of polyelectrolyte sulfonated chitosan-alginate as an alternative methanol fuel cell membrane. Desalin. Water Treat. 2021, 227, 132–148. [Google Scholar] [CrossRef]
- Pourzare, K.; Mansourpanah, Y.; Farhadi, S. Advanced nanocomposite membranes for fuel cell applications: A comprehen-sive review. Biofuel Res. J. 2016, 12, 496–513. [Google Scholar] [CrossRef] [Green Version]
- Mohy Eldin, M.S.; Abd Elmageed, M.H.; Omer, A.M.; Tamer, T.M.; Yossuf, M.E.; Khalifa, R.E. Novel proton exchange mem-branes based on sulfonated cellulose acetate for fuel cell applications: Preparation and characterization. Int. J. Electrochem. Sci. 2016, 11, 10150–10171. [Google Scholar] [CrossRef]
- Mohy Eldin, M.S.; Omer, A.M.; Tamer, T.M.; Abd Elmageed, M.H.; Youssef, M.E.; Khalifa, R.E. Novel aminated cellulose acetate membranes for direct methanol fuel cells (DMFCs). Int. J. Electrochem. Sci. 2017, 12, 4301–4318. [Google Scholar] [CrossRef]
- Mohy Eldin, M.S.; Abd Elmageed, M.H.; Omer, A.M.; Tamer, T.M.; Yossuf, M.E.; Khalifa, R.E. Development of novel phosphorylated cellulose acetate polyelectrolyte membranes for direct methanol fuel cell application. Int. J. Electrochem. Sci. 2016, 11, 3467–3491. [Google Scholar] [CrossRef]
- Bakangura, E.; Wu, L.; Ge, L.; Yang, Z.; Xu, T. Mixed matrix proton exchange membranes for fuel cells: State of the art and perspectives. Prog. Polym. Sci. 2016, 57, 103–152. [Google Scholar] [CrossRef]
- Wei, Q.; Zhang, Y.; Wang, Y.; Chai, W.; Yang, M. Measurement and modeling of the effect of composition ratios on the properties of poly(vinyl alcohol)/poly(vinyl pyrrolidone) membranes. Mater. Des. 2016, 103, 249–258. [Google Scholar] [CrossRef]
- Maarouf, S.; Tazi, B.; Guenoun, F. Preparation and characterization of new composite membranes containing polyvinylpyrrolidone, polyvinyl alcohol, sulfosuccinic acid, silicotungstic acid and silica for direct methanol fuel cell applications. J. Mater. Environ. Sci. 2017, 8, 2870–2876. [Google Scholar]
- Pintauro, P. Perspectives on Membranes and Separators for Electrochemical Energy Conversion and Storage Devices. Polym. Rev. 2015, 55, 201–217. [Google Scholar] [CrossRef]
- Gouda, M.H.; Elessawy, N.A.; Santos, D.M.F. Synthesis and Characterization of Novel Green Hybrid Nanocomposites for Application as Proton Exchange Membranes in Direct Borohydride Fuel Cells. Energies 2020, 13, 1180. [Google Scholar] [CrossRef] [Green Version]
- Gouda, M.H.; Gouveia, W.; El Essawy, N.A.; Šljukić, B.; Nassr, A.A.; Santos, D.M.F. Simple design of PVA-based blend doped with SO4(PO4)-functionalised TiO2 as an effective membrane for direct borohydride fuel cells. Int. J. Hydrog. Energy 2020, 45, 15226–15238. [Google Scholar] [CrossRef]
- Gouda, M.H.; Gouveia, W.; Afonso, M.L.; Šljukić, B.; Elessawy, N.A.; Santos, D.M.F. Novel ternary polymer blend membranes doped with SO4/PO4-TiO2 for low temperature fuel cells; Paper No. ICCPE 106. In Proceedings of the 5th World Congress on Mechanical, Chemical, and Material Engineering (MCM’19), Lisbon, Portugal, 15–17 August 2019. [Google Scholar] [CrossRef]
- Abu-Saied, M.A.; Soliman, E.A.; Abualnaj, K.M.; El Desouky, E. Highly Conductive Polyelectrolyte Membranes Polyvinyl Alcohol)/Poly (2-Acrylamido-2-Methyl Propane Sulfonic Acid) (PVA/PAMPS) for Fuel Cell Application. Polymers 2021, 13, 2638. [Google Scholar] [CrossRef]
- Eldin, M.S.M.; Abu-Saied, M.A.; Elzatahry, A.A.; El-Khatib, K.M.; Hassan, E.A.; El-Sabbah, M.M. Novel acid-base poly vinyl chloride-doped ortho-phosphoric acid membranes for fuel cell applications. Int. J. Electrochem. Sci. 2011, 6, 5417–5429. [Google Scholar]
- Eldin, M.S.M.; Elzatahry, A.A.; El-Khatib, K.M.; Hassan, E.A.; El-Sabbah, M.M.; Abu-Saied, M.A. Novel grafted nafion membranes for proton-exchange membrane fuel cell applications. J. Appl. Polym. Sci. 2011, 119, 120–133. [Google Scholar] [CrossRef]
- Rochliadi, A.; Bundjali, B.; Arcana, I.M. Polymer electrolyte membranes prepared by blending of poly(vinyl alcohol)-poly(ethylene oxide) for lithium battery application. In Proceedings of the Joint International Conference on Electric Vehicular Technology and Industrial, Mechanical, Electrical and Chemical Engineering (ICEVT & IMECE), Surakarta, Indonesia, 4–5 November 2015; pp. 370–373. [Google Scholar]
- Gouda, M.H.; Gouveia, W.; Afonso, M.L.; Šljukić, B.; El Essawy, N.A.; Nassr, A.A.; Santos, D.M.F. Poly(vinyl alcohol)-based crosslinked ternary polymer blend doped with sulfonated graphene oxide as a sustainable composite membrane for direct borohydride fuel cells. J. Power Sources 2019, 432, 92–101. [Google Scholar] [CrossRef]
- Khalifa, R.E.; Omer, A.M.; Abd Elmageed, M.H.; Mohy Eldin, M.S. Titanium Dioxide/Phosphorous-Functionalized Cellulose Acetate Nanocomposite Membranes for DMFC Applications: Enhancing Properties and Performance. ACS Omega 2021, 6, 17194–17202. [Google Scholar] [CrossRef] [PubMed]
- Abu-Saied, M.A.; Elzatahry, A.A.; El-Khatib, K.M.; Hassan, E.A.; El-Sabbah, M.M.; Drioli, E.; Mohy Eldin, M.S. Preparation and characterization of novel grafted cellophane-phosphoric acid-doped membranes for proton exchange membrane fuel-cell applications. J. Appl. Polym. Sci. 2012, 123, 3710–3724. [Google Scholar] [CrossRef]
- Gouda, M.H.; Konsowa, A.H.; Farag, H.A.; Elessawy, N.A.; Tamer, T.M.; Mohy Eldin, M.S. Novel nanocomposite membranes based on cross-linked eco-friendly polymers doped with sulfated titania nanotubes for direct methanol fuel cell application. Nanomater. Nanotechnol. 2020, 10, 1847980420964368. [Google Scholar] [CrossRef]
- Sedesheva, Y.S.; Ivanov, V.S.; Wozniak, A.I.; Yegorov, A.S. Proton-exchange membranes based on sulfonated polymers. Orient. J. Chem. 2016, 32, 2283–2296. [Google Scholar] [CrossRef]
- Awang, N.; Ismail, A.F.; Jaafar, J.; Matsuura, T.; Junoh, H.; Othman, M.H.D.; Rahman, M.A. Functionalization of polymeric materials as a high-performance membrane for direct methanol fuel cell: A review. React. Funct. Polym. 2015, 86, 248–258. [Google Scholar] [CrossRef]
- Mohy Eldin, M.S.; Farag, H.A.; Tamer, T.M.; Konsowa, A.H.; Gouda, M.H. Development of novel iota carrageenan-g-polyvinyl alcohol polyelectrolyte membranes for direct methanol fuel cell application. Polym. Bull. 2020, 779, 4895–4916. [Google Scholar] [CrossRef]
- Benito, H.E.; Sánchez, T.; Alamilla, R.G.; Enríquez, J.M.; Robles, G.S.; Delgado, F.P. Synthesis and physicochemical characterization of titanium oxide and sulfated titanium oxide obtained by thermal hydrolysis of titanium tetrachloride. Braz. J. Chem. Eng. 2014, 31, 737–745. [Google Scholar] [CrossRef]
- Lu, M.; Wang, F.; Liao, Q.; Chen, K.; Qin, J.; Pan, S. FTIR spectra and thermal properties of TiO2-doped iron phosphate glasses. J. Mol. Struct. 2015, 1081, 187–192. [Google Scholar] [CrossRef]
- Goswami, P.; Ganguli, J. Synthesis characterization and photocatalytic reactions of phosphate mesoporous titania. Bull. Mater. Sci. 2012, 35, 889–896. [Google Scholar] [CrossRef]
- Pucic, I.; Jurkin, T. FTIR assessment of poly(ethylene oxide) irradiated in solid state, melt and aqeuous solution. Radiat. Phys. Chem. 2012, 81, 1426–1429. [Google Scholar] [CrossRef]
- Yu, X.; Qiang, L. Preparation for graphite materials and study on electrochemical degradation of phenol by graphite cathodes. Adv. Mater. Phys. Chem. 2012, 2, 63–68. [Google Scholar] [CrossRef] [Green Version]
- Venkatesan, P.; Dharmalingam, S. Effect of cation transport of SPEEK-Rutile TiO2 electrolyte on microbial fuel cell performance. J. Membr. Sci. 2015, 492, 518–527. [Google Scholar] [CrossRef]
- Ngai, K.S.; Ramesh, S.; Ramesh, K.; Juan, J.C. A review of polymer electrolytes: Fundamental, approaches and applications. Ionics 2016, 22, 1259–1279. [Google Scholar] [CrossRef]
- Kowsari, E.; Zare, A.; Ansari, V. Phosphoric acid-doped ionic liquid-functionalized graphene oxide/sulfonated polyimide composites as proton exchange membrane. Int. J. Hydrog. Energy 2015, 40, 13964–13978. [Google Scholar] [CrossRef]
- Bayer, T.; Cunning, B.V.; Selyanchyn, R.; Daio, T.; Nishihara, M.; Fujikawa, S.; Sasaki, K.; Lyth, S.M. Alkaline anion exchange membranes based on KOH-treated multilayer graphene oxide. J. Membr. Sci. 2016, 508, 51–61. [Google Scholar] [CrossRef] [Green Version]
- Pandey, R.; Shahi, V. Sulphonated imidized graphene oxide (SIGO) based polymer electrolyte membrane for improved water retention, stability and proton conductivity. J. Power Sources 2015, 299, 104–113. [Google Scholar] [CrossRef]
- Deshmukh, K.; Ahamed, M.B.; Sadasivuni, K.K.; Ponnamma, D.; Deshmukh, R.R.; Pasha, S.K.K.; AlMaadeed, M.A.; Chidambaram, K. Graphene oxide reinforced polyvinyl alcohol/polyethylene glycol blend composites as high-performance dielectric material. J. Polym. Res. 2016, 23, 159. [Google Scholar] [CrossRef]
- Shirdast, A.; Sharif, A.; Abdollahi, M. Effect of the incorporation of sulfonated chitosan/sulfonated graphene oxide on the proton conductivity of chitosan membranes. J. Power Sources 2016, 306, 541–551. [Google Scholar] [CrossRef]
- Beydaghi, H.; Javanbakht, M.; Kowsari, E. Synthesis and Characterization of Poly(vinyl alcohol)/Sulfonated Graphene Oxide Nanocomposite Membranes for Use in Proton Exchange Membrane Fuel Cells (PEMFCs). Ind. Eng. Chem. Res. 2014, 53, 16621–16632. [Google Scholar] [CrossRef]
- Cheng, T.; Feng, M.; Huang, Y.; Liu, X. SGO/SPEN-based highly selective polymer electrolyte membranes for direct methanol fuel cells. Ionics 2017, 23, 2143–2152. [Google Scholar] [CrossRef]
- Luo, T.; Xu, H.; Li, Z.; Gao, S.; Fang, Z.; Zhang, Z.; Wang, F.; Ma, B.; Zhu, C. Novel proton conducting membranes based on copolymers containing hydroxylated poly(ether ether ketone) and sulfonated polystyrenes. J. Appl. Polym. Sci. 2017, 134, 45205. [Google Scholar] [CrossRef]
- Yuan, C.; Wang, Y. The preparation of novel sulfonated poly(aryl ether ketone sulfone)/TiO2 composite membranes with low methanol permeability for direct methanol fuel cells. High Perform. Polym. 2021, 33, 326–337. [Google Scholar] [CrossRef]
- Yang, C.C.; Chien, W.C.; Li, Y.J. Direct methanol fuel cell based on poly(vinyl alcohol)/titanium oxide nanotubes/poly(styrene sulfonic acid) (PVA/nt-TiO2/PSSA) composite polymer membrane. J. Power Sources 2010, 195, 3407–3415. [Google Scholar] [CrossRef]
- Ahmad, H.; Kamarudin, S.K.; Hasran, U.A.; Daud, W.R.W. A novel hybrid Nafion-PBI-ZP membrane for direct methanol fuel cells. Int. J. Hydrog. Energy 2011, 36, 14668–14677. [Google Scholar] [CrossRef]






| Membrane | Thickness (µm) | WU (%) | SR (%) | Contact Angle (°) | Tensile Strength (MPa) | Oxidative Stability (RW, %) * |
|---|---|---|---|---|---|---|
| SPVA/PEO | 130 | 95 | 90 | 65.36 | 15.5 | 90 |
| SPVA/PEO/PO4TiO2-1 | 150 | 40 | 42 | 67.23 | 24.9 | 94 |
| SPVA/PEO/PO4TiO2-2 | 175 | 22 | 13 | 70.36 | 32.5 | 98 |
| SPVA/PEO/PO4TiO2-3 | 184 | 16 | 10 | 72.30 | 40.3 | 99 |
| Nafion 117 | 170 | 9.5 | 13 | 102 | 25 | 92 |
| Membrane | IEC (meq g−1) | Ionic Conductivity (mS cm−1) | Methaanol Permeability (10−7 cm2 s−1) | Selectivity (105 S cm−3 s) |
|---|---|---|---|---|
| SPVA/PEO | 0.20 | 12 | 4.5 | 0.26 |
| SPVA/PEO/PO4TiO2-1 | 0.35 | 17.7 | 2.10 | 0.84 |
| SPVA/PEO/PO4TiO2-2 | 0.45 | 20.5 | 1.51 | 1.35 |
| SPVA/PEO/PO4TiO2-3 | 0.60 | 28 | 0.42 | 6.66 |
| Nafion 117 | 0.89 | 34.0 | 14.1 | 0.24 |
Publisher’s Note: MDPI stays neutral with regard to jurisdictional claims in published maps and institutional affiliations. |
© 2021 by the authors. Licensee MDPI, Basel, Switzerland. This article is an open access article distributed under the terms and conditions of the Creative Commons Attribution (CC BY) license (https://creativecommons.org/licenses/by/4.0/).
Share and Cite
Gouda, M.H.; Tamer, T.M.; Mohy Eldin, M.S. A Highly Selective Novel Green Cation Exchange Membrane Doped with Ceramic Nanotubes Material for Direct Methanol Fuel Cells. Energies 2021, 14, 5664. https://doi.org/10.3390/en14185664
Gouda MH, Tamer TM, Mohy Eldin MS. A Highly Selective Novel Green Cation Exchange Membrane Doped with Ceramic Nanotubes Material for Direct Methanol Fuel Cells. Energies. 2021; 14(18):5664. https://doi.org/10.3390/en14185664
Chicago/Turabian StyleGouda, Marwa H., Tamer M. Tamer, and Mohamed S. Mohy Eldin. 2021. "A Highly Selective Novel Green Cation Exchange Membrane Doped with Ceramic Nanotubes Material for Direct Methanol Fuel Cells" Energies 14, no. 18: 5664. https://doi.org/10.3390/en14185664
APA StyleGouda, M. H., Tamer, T. M., & Mohy Eldin, M. S. (2021). A Highly Selective Novel Green Cation Exchange Membrane Doped with Ceramic Nanotubes Material for Direct Methanol Fuel Cells. Energies, 14(18), 5664. https://doi.org/10.3390/en14185664

