Optimal Integration of Renewable Sources and Latent Heat Storages for Residential Application †
Abstract
:1. Introduction
- (a)
- A tool for the assessment of a seamless technology integration, depending on the characteristics of the demand and the site/type of installation;
- (b)
- A technique for the optimal management of the system. Renewable energy sources will be integrated with proper storage units, such as batteries and latent thermal storage units, which allows for reducing the dimension required for the installation.
- (c)
- In more detail, two novelties are introduced in the treatment of multi energy systems for residential applications:
- (d)
- Analysing whether the benefits of electrical storage can be partly achieved by using only the thermal storage;
- (e)
- Investigating how much impact the primary energy cost of the micro cogeneration unit has on the system design process.
- -
- Section 2 contains, on one hand, the explanation of the adopted methodology and, on the other hand, the description of the case study preceded by the description of the European project.
- -
- Section 3 presents the results of the analyzed cases and a comparison between them;
- -
- Section 4 includes a discussion of optimization results;
- -
- Section 5 draws conclusions obtained from the study.
2. Materials and Methods
2.1. Methodology
2.1.1. Optimal Operations
- -
- Power flows (both electric and thermal) produced by each installed generation technology;
- -
- Power flows stored/released by thermal/electric storage.
2.1.2. Combined Design and Operation Optimization
- (a)
- The fluxes of heat/electricity produced/consumed by each production/conversion energy system, which are 9 (photovoltaic, wind turbine, gas heat-only boiler, micro combined heat and power unit, heat pump, electric storage, thermal storage, electricity sold by the system, electricity purchased by the system);
- (b)
- The capacities of technologies to be installed, which are 7 (photovoltaic, wind turbine, gas heat-only boiler, micro combined heat and power unit, heat pump, electric storage, thermal storage).
- Optimization variables related to operations, which, as previously discussed in Section 2.1.1, are equal to the coefficient to be evaluated times the number of time frames considered for the simulation.
- Optimization variables consist in the investment contributions of the multi-energy system components.
2.2. The RE-COGNITION Project and Case Study
2.2.1. The Project
2.2.2. Case Study
- CASE 1: a vertical axis wind turbine (VAWT), a photovoltaic system (PV), a biogas-fed micro combined heat and power unit (mCHP), an air heat pump (HP), a gas-fueled heat-only boiler, and a latent heat thermal storage (LHTS).
- CASE 2: a vertical axis wind turbine (VAWT), a photovoltaic system (PV), a biogas-fed micro combined heat and power unit (mCHP), an air heat pump (HP), a natural gas-fueled heat-only boiler and electric storage (BESS).
3. Results
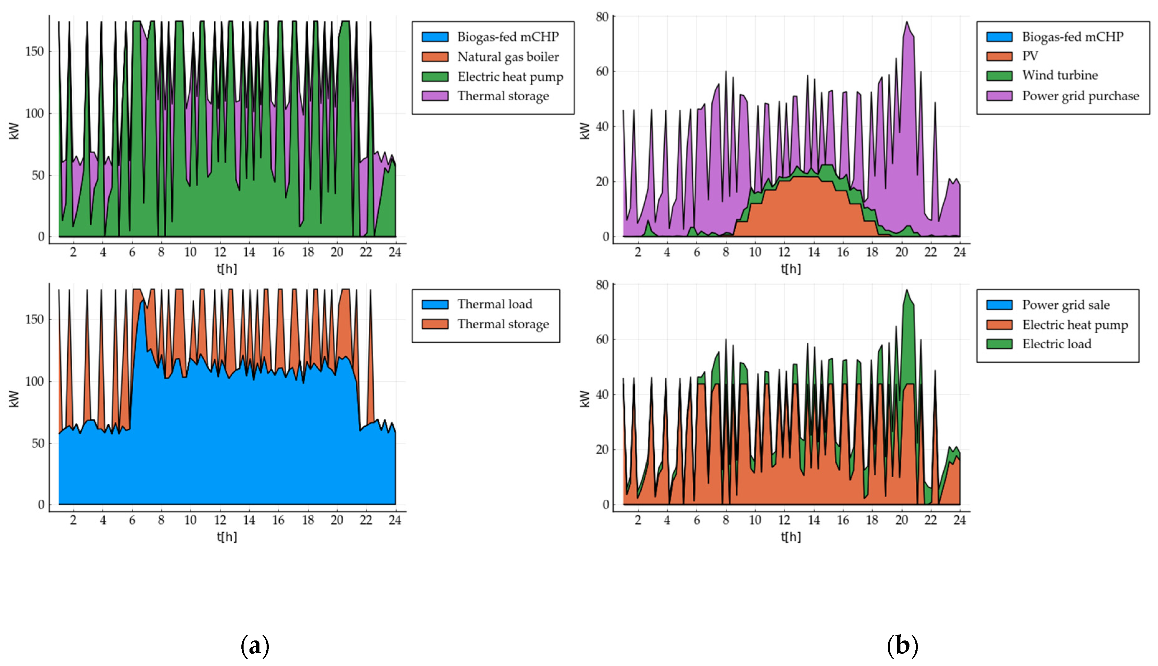
3.1. Operations Optimization
3.2. Combined Design and Operation Optimization
3.3. Impact of Biogas Cost on Optimization Results
3.4. Comparisons
- Benchmark Case (without storage);
- Operation Optimization Case 1 (with thermal storage);
- Operation Optimization Case 2 (with electric storage);
- Combined Design and Operation Optimization Case 1 (with thermal storage);
- Combined Design and Operation Optimization Case 2 (with electric storage) and a detail of the fraction covered by investment and operations.
- -
- Operating costs increase by 1.3% for Case 1 and 0.8% for Case 2
- -
- Investment costs decrease by 24% for Case 1 and 27% for Case 2
4. Discussion
5. Conclusions
Author Contributions
Funding
Conflicts of Interest
References
- Regulation (EU) 2018/1999 of the European Parliament and of the Council of 11 December 2018 on the Governance of the Energy Union and Climate Action, amending Regulations (EC) No 663/2009 and (EC) No 715/2009 of the European Parliament and of the Council, Directives 94/22/EC, 98/70/EC, 2009/31/EC, 2009/73/EC, 2010/31/EU, 2012/27/EU and 2013/30/EU of the European Parliament and of the Council, Council Directives 2009/119/EC and (EU) 2015/652 and Repealing Regulation (EU) No 525/2013 of the European Parliament and of the Council. Available online: https://eur-lex.europa.eu/legal-content/EN/TXT/?uri=uriserv%3AOJ.L_.2018.328.01.0001.01.ENG (accessed on 22 August 2021).
- IEA. Tracking Buildings 2020, IEA, Paris. Available online: https://www.iea.org/reports/tracking-buildings-2020 (accessed on 22 August 2021).
- Energy Efficient Buildings—European Commission. Available online: https://ec.europa.eu/energy/topics/energy-efficiency/energy-efficient-buildings_en (accessed on 22 August 2021).
- Directive 2010/31/EU of the European Parliament and of the Council of 19 May 2010 on the Energy Performance of Buildings (Recast). Available online: https://eur-lex.europa.eu/legal-content/EN/TXT/?uri=celex%3A32010L0031 (accessed on 22 August 2021).
- Dall’Anese, E.; Mancarella, P.; Monti, A. Unlocking Flexibility: Integrated Optimization and Control of Multienergy Systems. IEEE Power Energy Mag. 2017, 15, 43–52. [Google Scholar] [CrossRef]
- Zepter, J.M.; Luth, A.; del Granado, P.C.; Egging, R. Prosumer integration in wholesale electricity markets: Synergies of peer-to-peer trade and residential storage. Energy Build. 2019, 184, 163–176. [Google Scholar] [CrossRef]
- Sibilio, S.; Rosato, A. Energy technologies for building supply systems: MCHP. In Energy Performance of Buildings; Springer: Cham, Switzerland, 2016; pp. 291–318. ISBN 978-3-319-20831-2. [Google Scholar]
- Onovwiona, H.I.; Ugursal, V.I. Residential cogeneration systems: Review of the current technology. Renew. Sustain. Energy Rev. 2006, 10, 389–431. [Google Scholar] [CrossRef]
- Lin, H.; Yang, C.; Xu, X. A new optimization model of CCHP system based on genetic algorithm. Sustain. Cities Soc. 2020, 52, 101811. [Google Scholar] [CrossRef]
- Dorer, V.; Weber, A. Energy and CO2 emissions performance assessment of residential micro-cogeneration systems with dynamic whole-building simulation programs. Energy Convers. Manag. 2009, 50, 648–657. [Google Scholar] [CrossRef]
- Arcuri, P.; Beraldi, P.; Florio, G.; Fragiacomo, P. Optimal design of a small size trigeneration plant in civil users: A MINLP (Mixed Integer Non Linear Programming Model). Energy 2015, 80, 628–641. [Google Scholar] [CrossRef]
- Martinez, S.; Michaux, G.; Salagnac, P.; Bouvier, J.L. Micro-combined heat and power systems (micro-CHP) based on renewable energy sources. Energy Convers. Manag. 2017, 154, 262–285. [Google Scholar] [CrossRef]
- Liu, J.; Chen, X.; Yang, H.; Li, Y. Energy storage and management system design optimization for a photovoltaic integrated low-energy building. Energy 2020, 190, 116424. [Google Scholar] [CrossRef]
- Parra, D.; Norman, S.A.; Walker, G.S.; Gillott, M. Optimum community energy storage for renewable energy and demand load management. Appl. Energy 2017, 200, 358–369. [Google Scholar] [CrossRef]
- Rahimzadeh, A.; Christiaanse, T.V.; Evins, R. Optimal storage systems for residential energy systems in British Columbia. Sustain. Energy Technol. Assess. 2021, 45, 101108. [Google Scholar] [CrossRef]
- Haeseldonckx, D.; Peeters, L.; Helsen, L.; D’haeseleer, W. The impact of thermal storage on the operational behaviour of residential CHP facilities and the overall CO2 emissions. Renew. Sustain. Energy Rev. 2007, 11, 1227–1243. [Google Scholar] [CrossRef]
- Barbieri, E.S.; Melino, F.; Morini, M. Influence of the thermal energy storage on the profitability of micro-CHP systems for residential building applications. Appl. Energy 2012, 97, 714–722. [Google Scholar] [CrossRef]
- Sun, Y.; Wang, S.; Xiao, F.; Gao, D. Peak load shifting control using different cold thermal energy storage facilities in commercial buildings: A review. Energy Convers. Manag. 2013, 71, 101–114. [Google Scholar] [CrossRef]
- Comodi, G.; Giantomassi, A.; Severini, M.; Squartini, S.; Ferracuti, F.; Fonti, A.; Cesarini, D.N.; Morodo, M.; Polonara, F. Multi-apartment residential microgrid with electrical and thermal storage devices: Experimental analysis and simulation of energy management strategies. Appl. Energy 2015, 137, 854–866. [Google Scholar] [CrossRef]
- Lu, Y.; Wang, S.; Zhao, Y.; Yan, C. Renewable energy system optimization of low/zero energy buildings using single-objective and multi-objective optimization methods. Energy Build. 2015, 89, 61–75. [Google Scholar] [CrossRef]
- Fong, K.F.; Lee, C.K. Investigation on hybrid system design of renewable cooling for office building in hot and humid climate. Energy Build. 2014, 75, 1–9. [Google Scholar] [CrossRef]
- Moghaddam, I.M.; Saniei, M.; Mashhour, E. A comprehensive model for self-scheduling an energy hub to supply cooling, heating and electrical demands of a building. Energy 2016, 94, 157–170. [Google Scholar] [CrossRef]
- Brahman, F.; Honarmand, M.; Jadid, S. Optimal electrical and thermal energy management of a residential energy hub, integrating demand response and energy storage system. Energy Build. 2015, 90, 65–75. [Google Scholar] [CrossRef]
- Colangero, A.; Elisa, G.; Lanzini, A.; Mancò, G.; Verda, V. Compact Model of Latent Heat Thermal Storage for its Integration in Multi Energy Systems. Appl. Sci. 2020, 10, 8970. [Google Scholar] [CrossRef]
- European Project RECOGNITION. Available online: https://re-cognition-project.eu/ (accessed on 22 August 2021).
- Energy Performance of Buildings—Energy Needs for Heating and Cooling, Internal Temperatures and Sensible and Latent Heat Loads—Part 1: Calculation Procedures; UNI EN ISO 52016-1:2018; Italian National Unification: Italy, 2018; Available online: https://infostore.saiglobal.com/en-us/Standards/UNI-EN-ISO-52016-1-2018-1099048_SAIG_UNI_UNI_2556476/ (accessed on 22 August 2021).
- Gustafsson, M.; Dipasquale, C.; Poppi, S.; Bellini, A.; Fedrizzi, R.; Bales, C.; Holmberg, S. Economic and environmental analysis of energy renovation packages for European office buildings. Energy Build. 2017, 148, 155–165. [Google Scholar] [CrossRef]
- Small Wind World Annual Report 2016; WWEA-World Wind Energy Association: Bonn, Germany, 2016; Available online: https://distributedwind.org/wp-content/uploads/2016/03/2016-Small-Wind-World-Report.pdf (accessed on 22 August 2021).
- Installation & Maintenance Manual-Eoltec Scirocco E 5.6–6. Available online: https://s1.solacity.com/docs/Scirocco%20Manual.pdf (accessed on 22 August 2021).
- Coelho, S.T.; Velázquez, S.M.S.G.; Martins, O.S.; de Abreu, F.C. Biogas from Sewage Treatment used to Electric Energy Generation, by a 30 kW (ISO) Microturbine. In Proceedings of the World Bioenergy Conference & Exhibition, Jönköping, Sweden, 30 May–1 June 2006. [Google Scholar]
- do Nascimento, A.R.; de Oliveira Rodrigues, L.; dos Santos, E.C.; Gomes, E.E.B.; Dias, F.L.G.; Velásques, E.I.G.; Carrillo, R.A.M. Micro Gas Turbine Engine: A Review. In Progress in Gas Turbine Performance; InTech, 2013; Available online: https://www.intechopen.com/chapters/45114 (accessed on 22 August 2021).
- IEA-ETSAP and IRENA, Technology-Policy Brief E17. Available online: http://www.inship.eu/docs/TES%201%20IRENA-ETSAP%20Tech%20Brief%20E17%20Thermal%20Energy%20Storage.pdf (accessed on 22 August 2021).
- Zekeri, B.; Syri, S. Electrical energy storage systems: A comparative life cycle cost analysis. Renew. Sustain. Energy Rev. 2015, 42, 569–596. [Google Scholar] [CrossRef]
- IRENA. Biogas for Road Vehicles: Technology Brief, International Renewable Energy Agency, Abu Dhabi. 2018. Available online: https://www.irena.org/-/media/Files/IRENA/Agency/Publication/2017/Mar/IRENA_Biogas_for_Road_Vehicles_2017.pdf (accessed on 22 August 2021).

















| Technology | Acronym | Description |
|---|---|---|
| VERTICAL AXIS WIND TURBINE | VAWT | The technology is developed with a new aerodynamic design with the aim of guaranteeing high efficiency (typical of variable geometry when high wind velocity is reached) also in urban applications. This performance is reached using a passive system to dampen vibration suppression. The wind turbine is specifically design for the installation on the rooftop and in the ground (i.e., courtyards, garden) in order to guarantee safety for the building occupants. |
| BUILDING INTEGRATED PHOTOVOLTAIC | BIPV | The innovative photovoltaic modules are designed to reduce the impact of the installation on buildings (especially already existing) and to guarantee an aesthetic appeal of the generation system. The technology and the approached adopted for the module coloration are such for keeping low the specific cost of the technology |
| MICRO COMBINED HEAT AND POWER SYSTEM FED BY BIOGAS | mCHP | The technology requires a deep study for making mCHP suitable for a fuel characterized by a lower energy content per unit mass (and volume). Furthermore, changes in the design should be performed to allow stable combustion (and flexible). |
| LATENT HEAT THERMAL STORAGE | LHTS | The latent heat storage consists in a tank filled with phase change material that absorbs heat through its melting and release heat through the solidification phase. This guarantee high energy density and therefore low space required for the installation. The main problem of the technology consists in the low thermal conductivity that makes the power available poor. The technology developed within the project is characterized by the adoption of fins that are properly designed such as they are tailored for the specific application, for enhancing the heat exchange between the material changing phase and the heat transfer fluid. |
| Technology | Acronym | Power | Other Characteristics |
|---|---|---|---|
| VERTICAL AXIS WIND TURBINE | VAWT | The turbine has a nominal power of 6 kW (reached with wind speed larger than 10 m/s). | |
| BUILDING INTEGRATED PHOTOVOLTAIC | BIPV | The photovoltaic installation considered has an overall nominal power of 24.2 kW. | The surface of the system is about 130 m2 (with 78 modules with a nominal power of 310 W each). |
| MICRO COMBINED HEAT AND POWER SYSTEM FED BY BIOGAS | mCHP | This is biogas microturbine for heat and power generation characterized by an electric nominal power of 20 kW | |
| NATURAL GAS BOILER | BOILER | This is a typical condensing gas boiler for space heating production. The nominal thermal power is 170 kW | |
| AIR HEAT PUMP | HP | The air heat pump has a nominal thermal power of about 180 kW. | |
| LATENT HEAT THERMAL STORAGE | LHTS | The total storable thermal energy is 70 kWh. | The latent heat storage is filled with paraffin wax. |
| ELECTRIC STORAGE | BESS | The total storable energy is 26 kWh | Lithium-ion battery |
| Technology | Details | Cost and Ref. | Lifetime and Ref. | ||
|---|---|---|---|---|---|
| Photovoltaics | - | 2280 (€/kW) | [27] | 20 | [27] |
| Wind Turbine | Small scale | 6424 (€/kW) | [28] | 25 | [29] |
| mCHP | Biogas microturbine | 1950 (€/kW) | [30] | 10 | [31] |
| Heat Pump | Traditional air heat pump | 720 (€/kW) | [27] | 15 | [27] |
| Natural Gas Boiler | Condensing boiler | 180 (€/kW) | [27] | 12 | [27] |
| Latent Heat Thermal Storage | Paraffin wax Phase Change Material (PCM) | 50 (€/kWh) | [32] | 30 | [32] |
| Electric Storage | Li-ion | 546 (€/kWh) | [33] | 10 | [33] |
Publisher’s Note: MDPI stays neutral with regard to jurisdictional claims in published maps and institutional affiliations. |
© 2021 by the authors. Licensee MDPI, Basel, Switzerland. This article is an open access article distributed under the terms and conditions of the Creative Commons Attribution (CC BY) license (https://creativecommons.org/licenses/by/4.0/).
Share and Cite
Mancò, G.; Guelpa, E.; Verda, V. Optimal Integration of Renewable Sources and Latent Heat Storages for Residential Application. Energies 2021, 14, 5528. https://doi.org/10.3390/en14175528
Mancò G, Guelpa E, Verda V. Optimal Integration of Renewable Sources and Latent Heat Storages for Residential Application. Energies. 2021; 14(17):5528. https://doi.org/10.3390/en14175528
Chicago/Turabian StyleMancò, Giulia, Elisa Guelpa, and Vittorio Verda. 2021. "Optimal Integration of Renewable Sources and Latent Heat Storages for Residential Application" Energies 14, no. 17: 5528. https://doi.org/10.3390/en14175528
APA StyleMancò, G., Guelpa, E., & Verda, V. (2021). Optimal Integration of Renewable Sources and Latent Heat Storages for Residential Application. Energies, 14(17), 5528. https://doi.org/10.3390/en14175528

