Self-Oscillating Boost Converter of Wiegand Pulse Voltage for Self-Powered Modules
Abstract
:1. Introduction
2. Wiegand Sensor as a Voltage Source
2.1. Measurement of Pulse Voltage from the Wiegand Sensor
2.2. Pulse Voltage from the Wiegand Sensor Used as a Voltage Source in Simulation
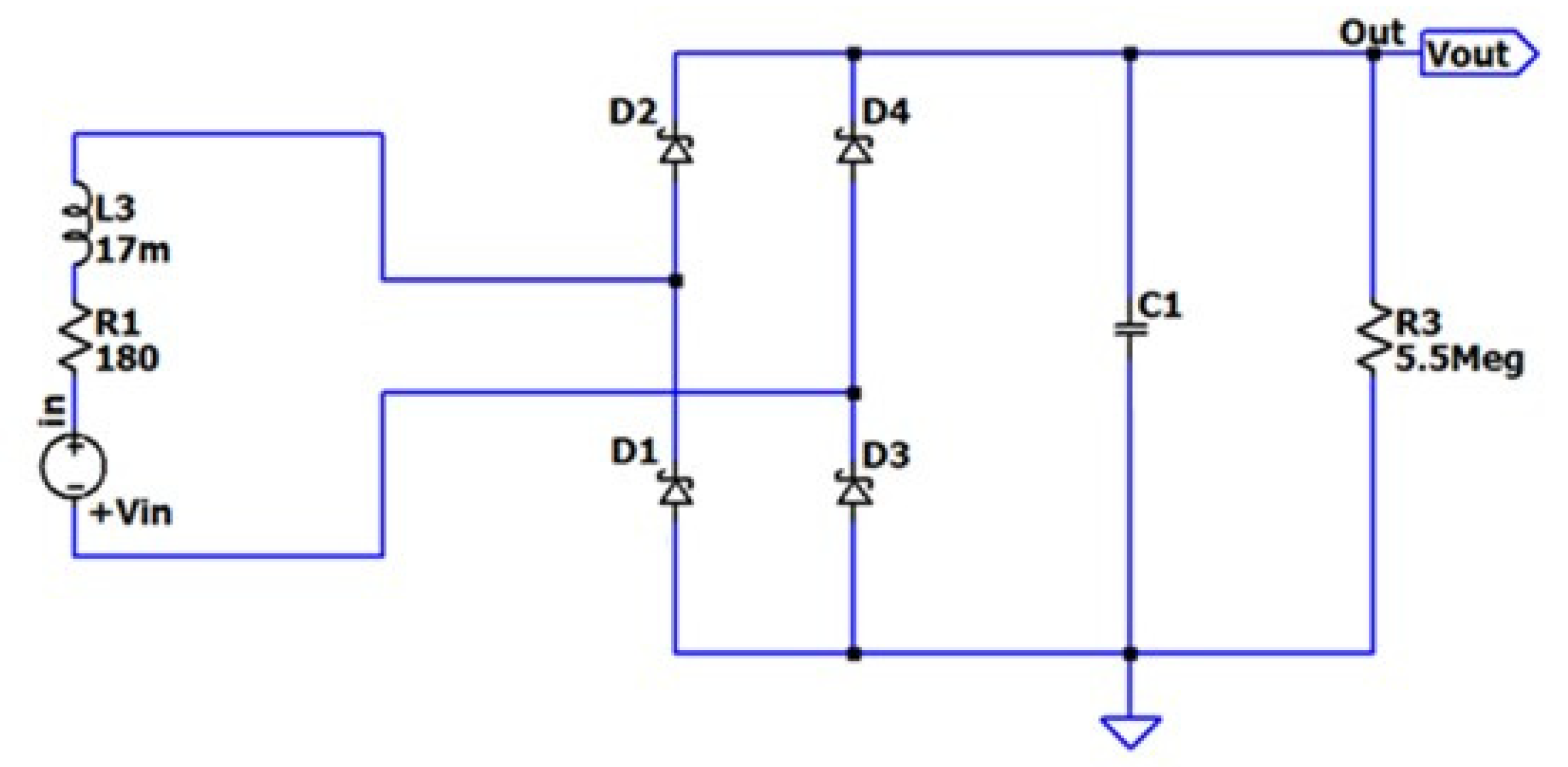
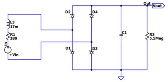
2.3. DC Conversion of Wiegand Pulse Voltage
3. Self-Oscillating Boost Converter Circuit
- ON state of MWhen the oscillating pulse voltage at VC1 exceeds the gate threshold voltage, Vth, of the FET, the FET is turned ON, and Vds drops to the ground level. This allows current IL to flow in L, where the energy is stored. The current flows through the diode, D, and supplies the output voltage, Vout.
- OFF state of MWhen the oscillating pulse voltage at VC1 is below Vth, the FET is turned OFF. The energy stored in L during the FET is transmitted to the capacitor of the output, C2, through diode D.
4. Experimental Results and Discussion
4.1. Design of a Self-Oscillating Boost Converter for Wiegand Pulse
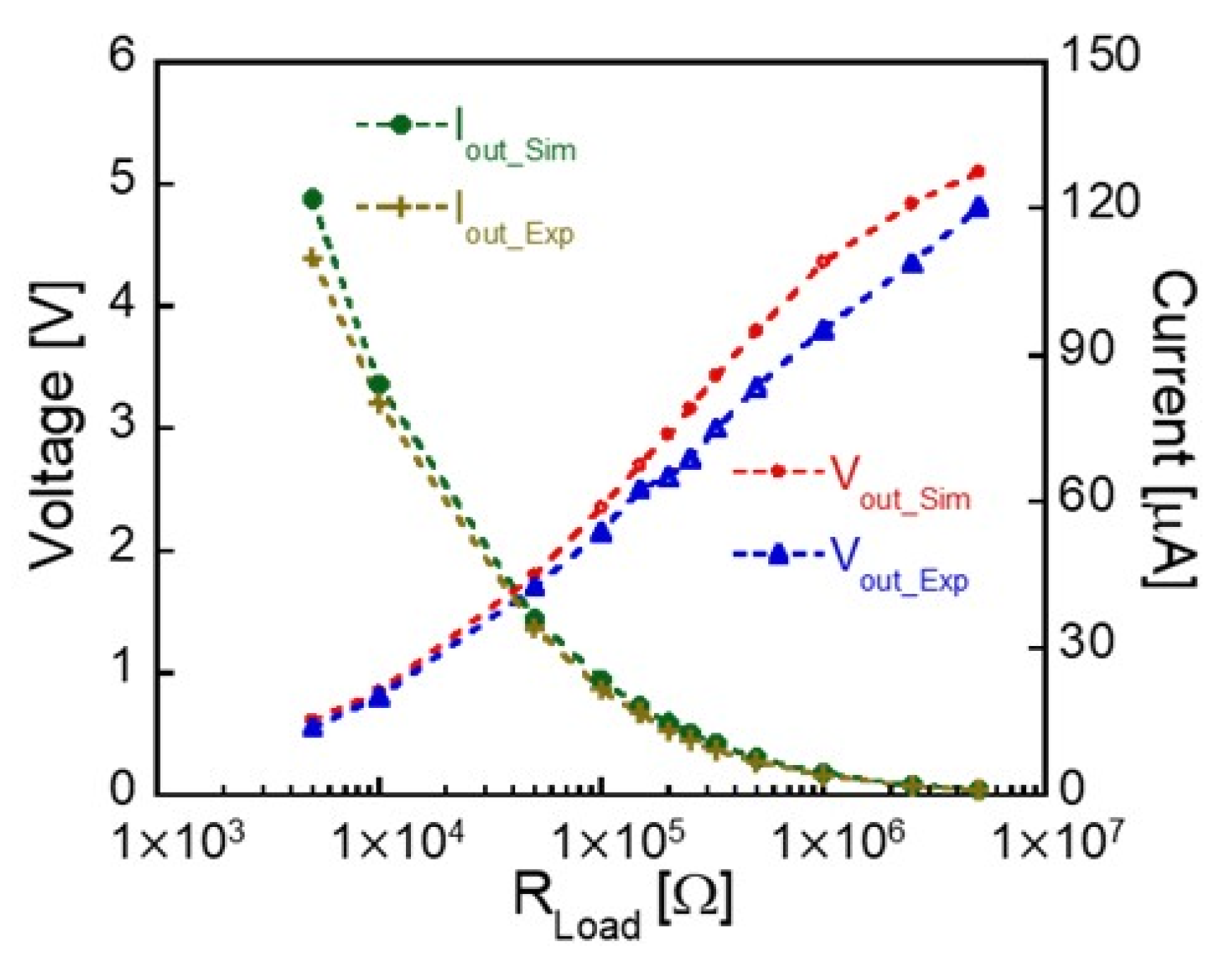
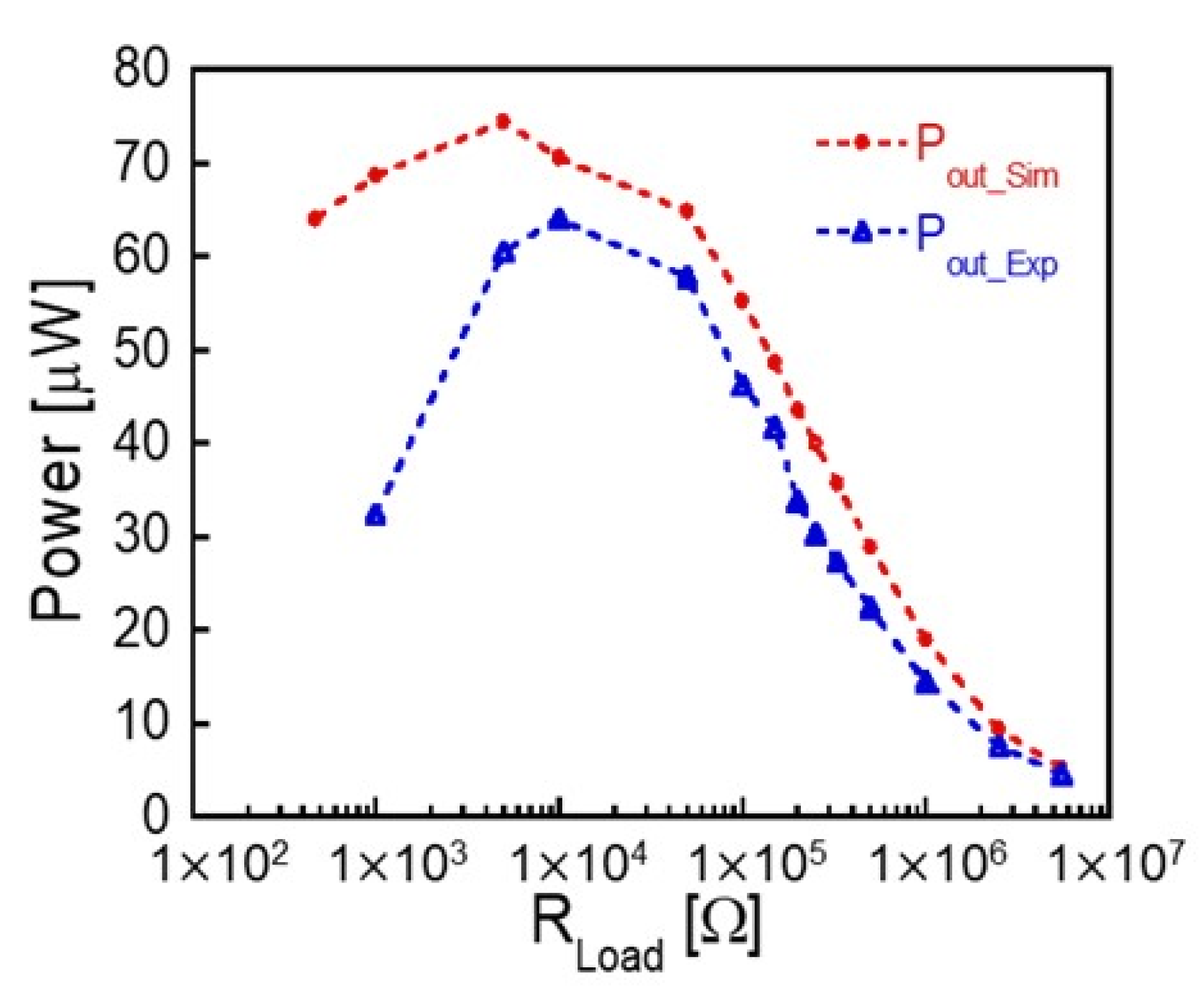
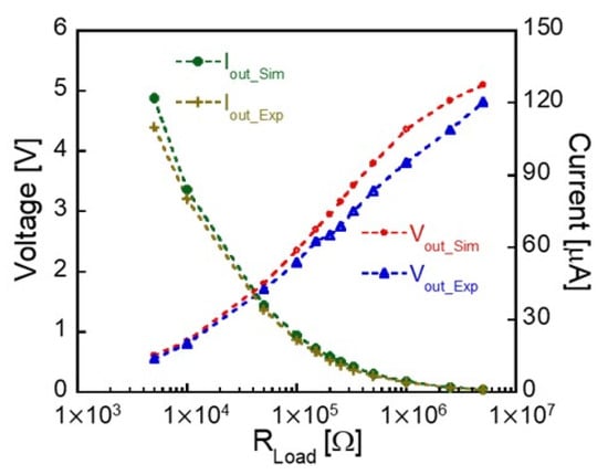
4.2. Experimental and Simulated Results of the Self-Oscillating Boost Converter
4.3. Application of the Wiegand Sensor as a Power Source
5. Conclusions
Author Contributions
Funding
Conflicts of Interest
References
- Dhananjay, S.; Gaurav, T.; Antonio, J. A survey of Internet-of-Things: Future vision, architecture, challenges and services. In Proceedings of the IEEE World Forum on Internet of Things, Seoul, Korea, 6–8 March 2014; pp. 287–292. [Google Scholar]
- Balakrishna, S.; Thirumaran, M.; Solanki, V.K. A framework for IoT sensor data acquisition and analysis. EAI Endorsed Trans. Internet Things 2018, 4, 1–13. [Google Scholar] [CrossRef]
- Citroni, R.; Di Paolo, F.; Livreri, P. Evaluation of an optical energy harvester for SHM application. Int. J. Electr. Comm. 2019, 111, 152918. [Google Scholar] [CrossRef]
- Sharpes, N.; Vučković, D.; Priya, S. Floor tile energy harvester for self-powered wireless occupancy sensing. Energy Harvest. Syst. 2016, 3, 43–60. [Google Scholar] [CrossRef]
- Morimura, H.; Oshima, S.; Matsunaga, K.; Shimamura, T.; Harada, M. Ultra-low-power circuit techniques for mm-size wireless sensor nodes with energy harvesting. IEICE Electron Express 2014, 11, 1–12. [Google Scholar] [CrossRef] [Green Version]
- Wiegand, J.R.; Velinsky, M. Bistable Magnetic Device. U.S. Patent 3820090, 25 April 1972. [Google Scholar]
- Dlugos, D.J.; Small, D.; Siefer, D.A. Wiegand Effect Energy Generator. U.S. Patent 6191687, 24 September 1998. [Google Scholar]
- Takahashi, K.; Takebuchi, A.; Yamada, T.; Takemura, Y. Power supply for medical implants by Wiegand pulse generated from a magnetic wire. J. Mag. Soc. Jpn. 2018, 42, 49–54. [Google Scholar] [CrossRef] [Green Version]
- Takemura, Y.; Fujinaga, N.; Takebuchi, A.; Yamada, T. Battery-less Hall sensor operated by energy harvesting from a single Wiegand pulse. IEEE Trans. Magn. 2017, 53, 4002706. [Google Scholar] [CrossRef] [Green Version]
- Erickson, R.W.; Maksimovic, D. Fundamentals of Power Electronics; Springer: Boston, MA, USA, 1997. [Google Scholar]
- Liu, K.H.; Lee, F. Zero-voltage switching technique in DC/DC converters. IEEE Trans. Power Electron. 1990, 5, 293–304. [Google Scholar] [CrossRef]
- Saggini, S.; Ongaro, F.; Corradini, L.; Affanni, A. Low-power energy harvesting solutions for Wiegand transducers. IEEE J. Emerg. Sel. Top. Power Electron. 2015, 3, 766–779. [Google Scholar] [CrossRef]
- Yang, C.; Sakai, T.; Yamada, T.; Song, Z.; Takemura, Y. Improvement of pulse voltage generated by Wiegand sensor through magnetic-flux guidance. Sensors 2020, 20, 1408. [Google Scholar] [CrossRef] [Green Version]
- Chang, C.-C.; Chang, J.-Y. Novel Wiegand-effect based energy harvesting device for linear magnetic positioning system. Microsyst. Technol. 2020, 26, 3421. [Google Scholar] [CrossRef]
- Tanaka, H.; Takemura, Y.; Abe, S.; Kohno, S.; Nakamura, H. Constant velocity of domain wall propagation independent of applied field strength in Vicalloy wire. IEEE Trans. Magn. 2007, 43, 2397–2399. [Google Scholar] [CrossRef]
- Sun, X.; Yamada, T.; Takemura, Y. Output characteristics and circuit modeling of Wiegand sensor. Sensors 2019, 19, 2991. [Google Scholar] [CrossRef] [Green Version]
- Newell, D.; Duffy, M. Review of power conversion and energy management for low-power, low-voltage energy harvesting powered wireless sensors. IEEE Trans. Power Electron. 2019, 34, 9794–9805. [Google Scholar] [CrossRef]
- R1801K. Available online: https://www.mouser.co.uk/datasheet/2/792/r1801k001a_eev-1917814.pdf (accessed on 6 May 2021).
- Drew, J. Powering a Dust Mote from a Piezoelectric Transducer. Available online: https://www.analog.com/jp/technical-articles/powering-a-dust-mote-from-a-piezoelectric-transducer.html (accessed on 6 May 2021).



















| Component | Value/Type (Model Name) |
|---|---|
| Capacitance: C1 | 20 nF |
| Capacitance: C2 | 60 nF |
| Inductance: L1 | 4.5 mH |
| Resistance: R4 | 800 Ω |
| Diode: D1–D5 | low VF, Schottky (RBR3MM30A) |
| MOSFET: M1 | n-channel (RE1C002UN) |
| Resistance: RLOAD | 1 kΩ–5 MΩ |
Publisher’s Note: MDPI stays neutral with regard to jurisdictional claims in published maps and institutional affiliations. |
© 2021 by the authors. Licensee MDPI, Basel, Switzerland. This article is an open access article distributed under the terms and conditions of the Creative Commons Attribution (CC BY) license (https://creativecommons.org/licenses/by/4.0/).
Share and Cite
Sun, X.; Iijima, H.; Saggini, S.; Takemura, Y. Self-Oscillating Boost Converter of Wiegand Pulse Voltage for Self-Powered Modules. Energies 2021, 14, 5373. https://doi.org/10.3390/en14175373
Sun X, Iijima H, Saggini S, Takemura Y. Self-Oscillating Boost Converter of Wiegand Pulse Voltage for Self-Powered Modules. Energies. 2021; 14(17):5373. https://doi.org/10.3390/en14175373
Chicago/Turabian StyleSun, Xiaoya, Haruchika Iijima, Stefano Saggini, and Yasushi Takemura. 2021. "Self-Oscillating Boost Converter of Wiegand Pulse Voltage for Self-Powered Modules" Energies 14, no. 17: 5373. https://doi.org/10.3390/en14175373
APA StyleSun, X., Iijima, H., Saggini, S., & Takemura, Y. (2021). Self-Oscillating Boost Converter of Wiegand Pulse Voltage for Self-Powered Modules. Energies, 14(17), 5373. https://doi.org/10.3390/en14175373

