Strategies to Increase the Transient Active Power of Photovoltaic Units during Low Voltage Ride Through
Abstract
:1. Introduction
- (i)
- The characteristic and influence factors of active power supplied from the PV system in the fault are analyzed.
- (ii)
- Under the premise of ensuring the safety of equipment overcurrent and meeting the reactive power support requirements in the Chinese grid, the PV inverter control strategies corresponding to different active current calculation formulas are established. The LVRT control block is added to the current and voltage loops in a grid-connected PV system’s rotating orthonormal dq axes. The added LVRT control-block regulates the reference for the quadrature q component of the output three-phase inverter currents (iq_ref) according to the depth of the voltage sag, which attains an effective performance for reactive (Q) powers support during fault conditions. Meanwhile, the reference for the quadrature d component of the output three-phase inverter currents (id_ref) is regulated by different active current calculation formulas, obtaining different active power output.
- (iii)
- A three-phase single-stage large power grid-connected PV system is analyzed and tested under several grid faults in PowerFactory/DIgSILENT. The influence of the d component of inverter currents (id) calculation formulas and the limitation of the inverter’s output currents on the inverter’s reactive power output is analyzed through simulation results.
2. Grid-Connected PV System Model with LVRT Capability
2.1. PV System Model
2.2. Overall Control Model
2.2.1. Inverter Reactive Current in Fault Ride-Through Mode and Recovery Mode
2.2.2. Inverter Active Current in Fault Ride-Through Mode and Recovery Mode
2.3. Control of p and q
3. Results and Discussion
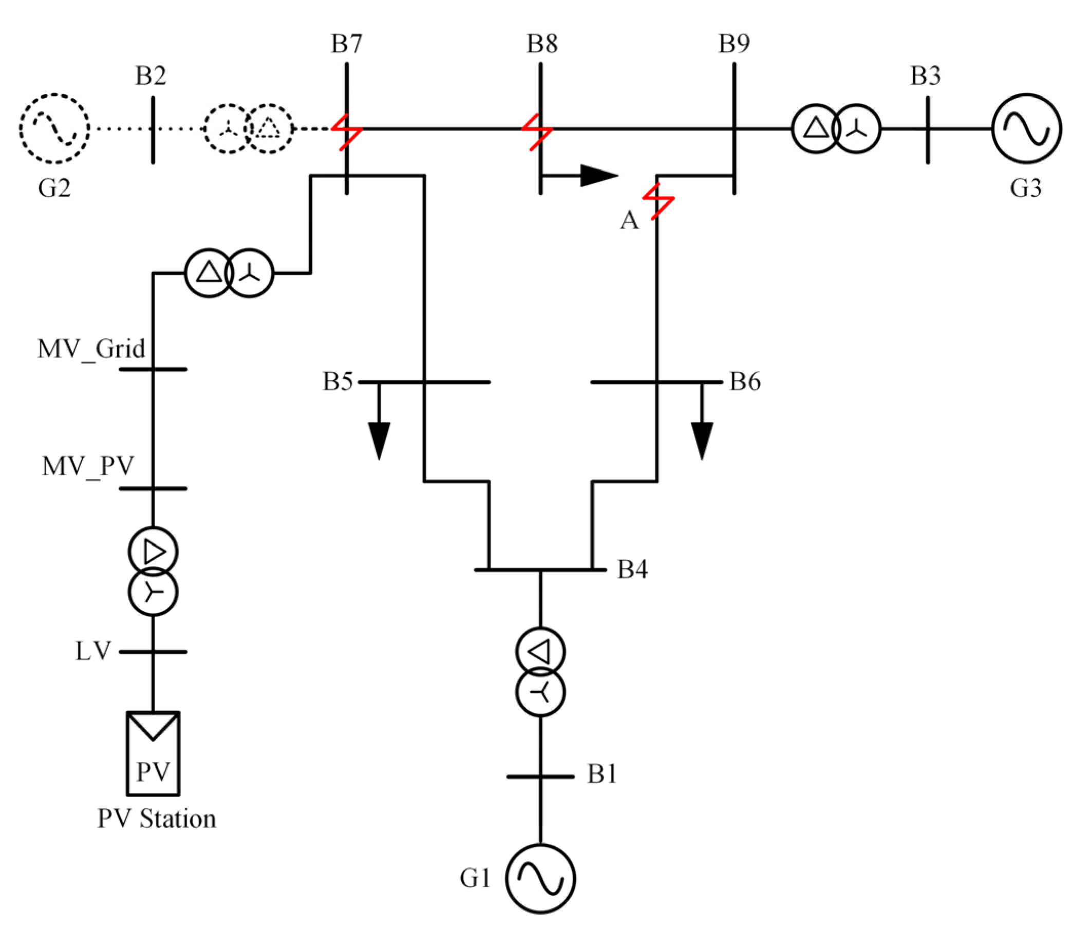
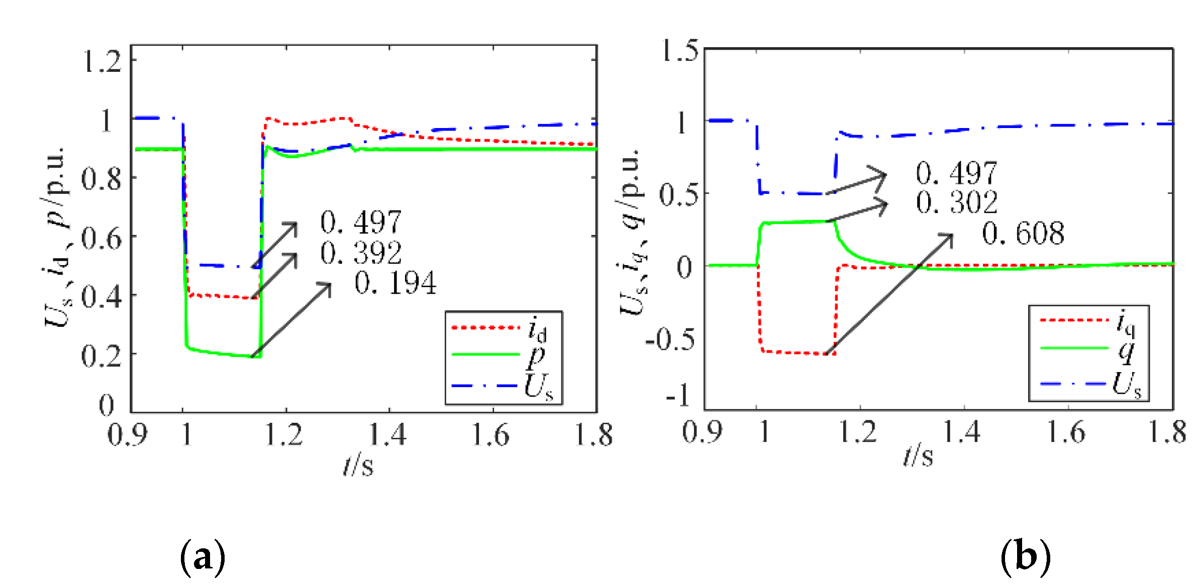
3.1. Three-Phase Short-Circuit Fault on a Location
3.2. Three-Phase Short-Circuit Fault of Bus8
3.3. Three-Phase Short-Circuit Fault of Bus7
4. Conclusions
- (i)
- The active current control strategies have minimal effect on the voltage for grid-connected PV generation systems at the point of common coupling, so the PV transient active power has the same change in trend as the transient active current during grid fault. Effective performance for active power (P) support is attained by choosing the appropriate calculation method of active current and Imax value when voltage faults are introduced to the utility grid. It is carried out to meet the requirement of reactive powers (Q) support capability in China grid codes.
- (ii)
- The error between the inverter current limitation (Imax) and reactive current is compared to obtain the active current values within the limits of the same value of Imax. Applying the orthogonal decomposition method to calculate the active current reference enhances the utilization factor of the inverter’s capacity and increase the inverter active output current. It improves the active power shortage and boosts the transient stability of the power system.
- (iii)
- Increasing Imax value can reduce the active power shortage during grid faults by increasing the active current output and improving the oscillation phenomenon in power recovery by reducing the excitation increment of active current and active power at the moment of fault clearing. However, increasing Imax value proportionally does not bring about an equal gradient of active power improvement effect, and the cost becomes larger. Considering the economic cost and transient stability, the best way to regulate active current is to set Imax value as 1.1 IN and apply the orthogonal decomposition method.
Author Contributions
Funding
Acknowledgments
Conflicts of Interest
References
- Ludin, N.; Mustafa, N.; Hanafiah, M.; Ibrahim, M.A.; Teridi, M.A.M.; Sepeai, S.; Zaharim, A.; Sopian, K. Prospects of life cycle assessment of renewable energy from solar photovoltaic technologies: A review. Renew. Sustain. Energy Rev. 2018, 96, 11–28. [Google Scholar] [CrossRef]
- Annapoorna, C.; Saha, K.; Mithulananthan, N. Harmonic impact of high penetration photovoltaic system on unbalanced distribution networks–learning from an urban photovoltaic network. IET Renew. Power Gener. 2016, 10, 485–494. [Google Scholar]
- Oon, K.; Tan, C.; Bakar, A.H.A.; Che, H.; Mokhlis, H.; Illias, H. Establishment of fault current characteristics for solar photovoltaic generator considering low voltage ride through and reactive current injection requirement. Renew. Sustain. Energy Rev. 2018, 92, 478–488. [Google Scholar] [CrossRef]
- Zhu, Y.; Kim, M.K.; Wen, H. Simulation and analysis of perturbation and observation-based self-adaptable step size maximum power point tracking strategy with low power loss for photovoltaics. Energies 2019, 12, 92. [Google Scholar] [CrossRef] [Green Version]
- Benali, A.; Khiat, M.; Allaoui, T.; Denaï, M. Power quality improvement and low voltage ride through capability in hybrid wind-PV farms grid-connected using dynamic voltage restorer. IEEE Access 2018, 6, 68634–68648. [Google Scholar] [CrossRef]
- Negnevitsky, M.; Nguyen, D.H.; Piekutowski, M. Risk assessment for power system operation planning with high wind power penetration. IEEE Trans. Power Syst. 2015, 30, 1359–1368. [Google Scholar] [CrossRef]
- Hooshyar, H.; Baran, M.E. Fault analysis on distribution feeders with high penetration of PV systems. IEEE Trans. Power Syst. 2013, 28, 2890–2896. [Google Scholar] [CrossRef]
- Bravo, R.J.; Yinger, R.; Robles, S.; Tamae, W. Solar PV inverter testing for model validation. In Proceedings of the IEEE Power Energy General Meeting, Detroit, MI, USA, 24–29 July 2011; pp. 1–7. [Google Scholar]
- Mirhosseini, M.; Pou, J.; Agelidis, V.G. Single- and two-stage inverter-based grid-connected photovoltaic power plants with ride-through capability under grid faults. IEEE Trans. Sustain. Energy 2015, 6, 1150–1159. [Google Scholar] [CrossRef]
- Wang, W.; Xv, W.; Liu, C. Technical Requirements for Connecting Photovoltaic Power Station to Power System; State Grid Corporation of China: Beijing, China, 2013. [Google Scholar]
- Sangwongwanich, A.; Yang, Y.; Sera, D.; Soltani, H.; Blaabjerg, F. Analysis and modeling of interharmonics from grid-connected photovoltaic systems. IEEE Trans. Power Electron. 2018, 33, 8353–8364. [Google Scholar] [CrossRef] [Green Version]
- Shang, L.; Zhu, W.; Li, P. Maximum power point tracking of PV system under partial shading conditions through flower pollination algorithm. Prot. Control. Mod. Power Syst. 2018, 3, 400–406. [Google Scholar] [CrossRef]
- Zadeh, M.J.Z.; Fathi, S.H. A new approach for photovoltaic arrays modeling and maximum power point estimation in real operating conditions. IEEE Trans. Ind. Electron. 2017, 64, 9334–9343. [Google Scholar] [CrossRef]
- Rey-Boué, A.B.; Guerrero-Rodríguez, N.F.; Stöckl, J.; Strasser, T.I. Modeling and design of the vector control for a three-phase single-stage grid-connected PV system with LVRT capability according to the Spanish grid code. Energies 2019, 12, 2899. [Google Scholar] [CrossRef] [Green Version]
- Chen, Y.; Liu, J.; Zhou, J.; Li, J. Research on the control strategy of PV grid-connected inverter upon grid fault. In Proceedings of the International Conference on Electrical Machines and Systems (ICEMS), Busan, Korea, 26–29 October 2013; pp. 2163–2167. [Google Scholar]
- Australian Energy Market Operator. Preliminary Report—Black System Event in South Australia on 28 September 2016; Australian Energy Market Operator Limited: Victoria Australia, 2016. [Google Scholar]
- Australian Energy Market Operator. Update Report—Black System Event in South Australia on 28 September 2016; Australian Energy Market Operator Limited: Victoria Australia, 2016. [Google Scholar]
- Australian Energy Market Operator. Black System South Australia 28 September 2016—Third Preliminary Report; Australian Energy Market Operator Limited: Victoria Australia, 2016. [Google Scholar]
- Marinopoulos, A.; Papandrea, F.; Reza, M.; Norrga, S.; Spertino, F.; Napoli, R. Grid integration aspects of large solar PV installations: LVRT capability and reactive power/voltage support requirements. In Proceedings of the 2011 IEEE PES Trondheim PowerTech Power Technol, Trondheim, Norway, 19–23 June 2011. [Google Scholar]
- Li, W.; Teng, Q.; Bin, Z.; Xiangjun, Z.; Qing, Y. Modeling and parameter optimization of grid-connected photovoltaic systems considering the low voltage ride-through control. Energies 2020, 13, 3972. [Google Scholar]
- Jaalam, N.; Rahim, N.A.; Bakar, A.H.A.; Eid, B.M. Strategy to enhance the low-voltage ride-through in photovoltaic system during multi-mode transition. Sol. Energy 2017, 153, 744–754. [Google Scholar] [CrossRef]
- Dehghani, T.H.; Maswood, A.I.; Konstantinou, G.; Pou, J.; Kandasamy, K.; Lim, Z.; Ooi, G.H.P. Low-voltage ride-thorough capability of photovoltaic grid-connected neutral-point-clamped inverters with active/reactive power injection. IET Renew. Power Gener. 2017, 11, 1182–1190. [Google Scholar] [CrossRef]
- Rey-Boué, A.B.; Martinez-Rodrigo, F.; Guerrero-Rodríguez, N.F.; Lucas, H.L.C.; Pablo, S. Enhanced controller for grid-connected modular multilevel converters in distorted utility grids. Electr. Power Syst. Res. 2018, 163, 310–327. [Google Scholar] [CrossRef]
- Theologitis, I.T. Comparison of Existing PV Models and Possible Integration under EU Grid Specifications. Tek. Och Teknol. 2011. Available online: https://www.semanticscholar.org/paper/Comparison-of-existing-PV-models-and-possible-under-Theologitis/6f2d8648a795a831e1c6bd835a81f8946c29130a (accessed on 13 August 2021).
- Zheng, F.; Ding, M.; Zhang, J. Modelling and simulation of grid-connected PV system in DIgSILENT/powerfactory. In Proceedings of the 2nd IET Renewable Power Generation Conference (RPG 2013), Beijing, China, 9–11 September 2013; pp. 1–6. [Google Scholar]
- Zhu, L.; Ding, J.; Qu, L. Guide for Modeling Photovoltaic Power System: GB/T32826—2016; State Grid Corporation of China: Beijing, China, 2017. [Google Scholar]
- Chao, P.; Li, W.; Peng, S.; Liang, X.; Xu, D.; Zhang, L.; Chen, N.; Sun, Y. A unified modeling method of photovoltaic generation systems under balanced and unbalanced voltage dips. IEEE Trans. Sustain. Energy 2019, 10, 1764–1774. [Google Scholar] [CrossRef]
- Fan, S.; Chao, P.; Zhang, F. Modelling and simulation of the photovoltaic power station considering the LVRT and HVRT. J. Eng. 2017, 13, 1206–1209. [Google Scholar] [CrossRef]













| Generator | P(MW) | SN (MVA) |
|---|---|---|
| G01 | 73.2 | 247.5 |
| G02 | 163 | 192 |
| G03 | 85 | 128 |
| PV | 163.1 | 182 |
| Parameter | Symbol | Value |
|---|---|---|
| Deadband for AC voltage support [p.u.] | deadband | 0.1 |
| Static for AC voltage support [-] | droop | 1 |
| MPP voltage of module in STC [V] | Umpp0 | 35 |
| MPP current of module in STC [A] | Impp0 | 4.58 |
| Initial DC voltage [V] | Udc0 | 700 |
| Fault Location | Working Condition | id Calculation Formula | Imax (IN) |
|---|---|---|---|
| Line5/Bus7/Bus8 | 1 | Equation (2) | 1 |
| 2 | 1.1 | ||
| 3 | 1.2 | ||
| 4 | 1.3 | ||
| 5 | Equation (3) | 1 | |
| 6 | 1.1 | ||
| 7 | 1.2 | ||
| 8 | 1.3 |
| Working Condition | Pfrtmax (p.u.) | Δpfrt (p.u.) | Prsmax (p.u.) |
|---|---|---|---|
| 1 | 0.189 | - | 0.905 |
| 2 | 0.233 | 0.044 | 0.985 |
| 3 | 0.275 | 0.042 | 1.035 |
| 4 | 0.313 | 0.038 | 1.073 |
| 5 | 0.351 | - | 0.870 |
| 6 | 0.389 | 0.038 | 0.934 |
| 7 | 0.418 | 0.029 | 0.979 |
| 8 | 0.436 | 0.018 | 1.011 |
| Working Condition | Pfrtmax (p.u.) | Δpfrt (p.u.) | Prsmax (p.u.) |
|---|---|---|---|
| 1 | 0.055 | - | 0.959 |
| 2 | 0.082 | 0.027 | 1.047 |
| 3 | 0.109 | 0.027 | 1.104 |
| 4 | 0.134 | 0.0025 | 1.166 |
| 5 | 0.145 | - | 0.928 |
| 6 | 0.180 | 0.035 | 0.988 |
| 7 | 0.210 | 0.030 | 1.035 |
| 8 | 0.236 | 0.026 | 1.068 |
Publisher’s Note: MDPI stays neutral with regard to jurisdictional claims in published maps and institutional affiliations. |
© 2021 by the authors. Licensee MDPI, Basel, Switzerland. This article is an open access article distributed under the terms and conditions of the Creative Commons Attribution (CC BY) license (https://creativecommons.org/licenses/by/4.0/).
Share and Cite
Yan, X.; Liang, B.; Jia, J.; Aslam, W.; Wang, C.; Zhang, S.; Ma, H. Strategies to Increase the Transient Active Power of Photovoltaic Units during Low Voltage Ride Through. Energies 2021, 14, 5236. https://doi.org/10.3390/en14175236
Yan X, Liang B, Jia J, Aslam W, Wang C, Zhang S, Ma H. Strategies to Increase the Transient Active Power of Photovoltaic Units during Low Voltage Ride Through. Energies. 2021; 14(17):5236. https://doi.org/10.3390/en14175236
Chicago/Turabian StyleYan, Xiangwu, Baixue Liang, Jiaoxin Jia, Waseem Aslam, Chenguang Wang, Shizheng Zhang, and Hongbin Ma. 2021. "Strategies to Increase the Transient Active Power of Photovoltaic Units during Low Voltage Ride Through" Energies 14, no. 17: 5236. https://doi.org/10.3390/en14175236
APA StyleYan, X., Liang, B., Jia, J., Aslam, W., Wang, C., Zhang, S., & Ma, H. (2021). Strategies to Increase the Transient Active Power of Photovoltaic Units during Low Voltage Ride Through. Energies, 14(17), 5236. https://doi.org/10.3390/en14175236

