Numerical Investigation into the Effects of Design Parameters on the Flow Characteristics in a Turbine Exhaust Diffuser
Abstract
:1. Introduction and Literature Review
2. Geometry of Turbine Exhaust Diffuser
3. Computational Method
3.1. Computational Domain and Mesh Generation
3.2. Boundary Conditions
3.3. Performance Evaluation
3.4. Grid Independency and Turbulence Model Test
4. Parametric Study
4.1. Strut Thickness
4.2. Strut Lean Angle
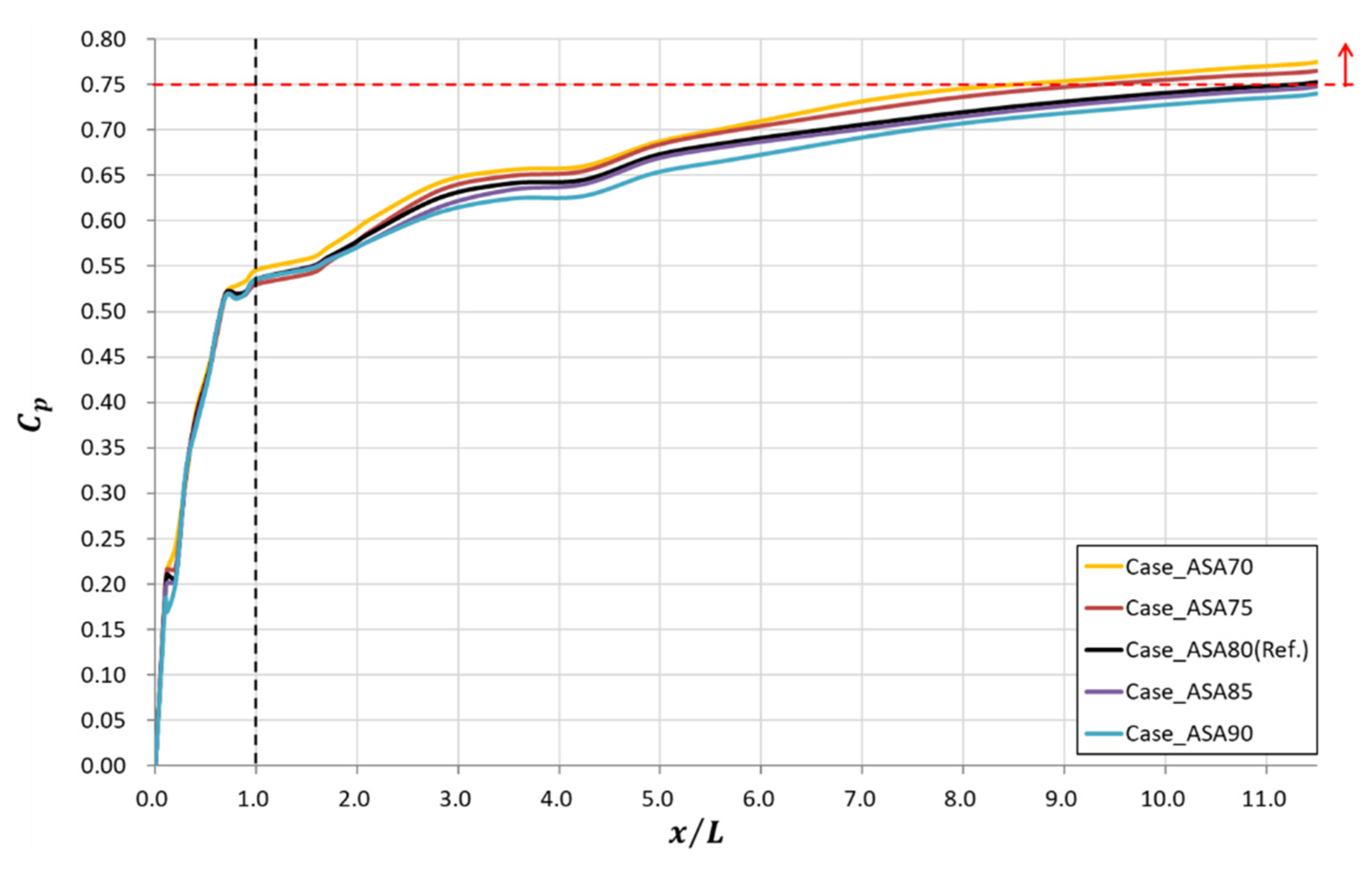
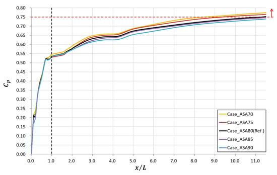
4.3. Strut Swept Angle
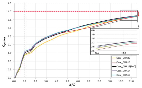
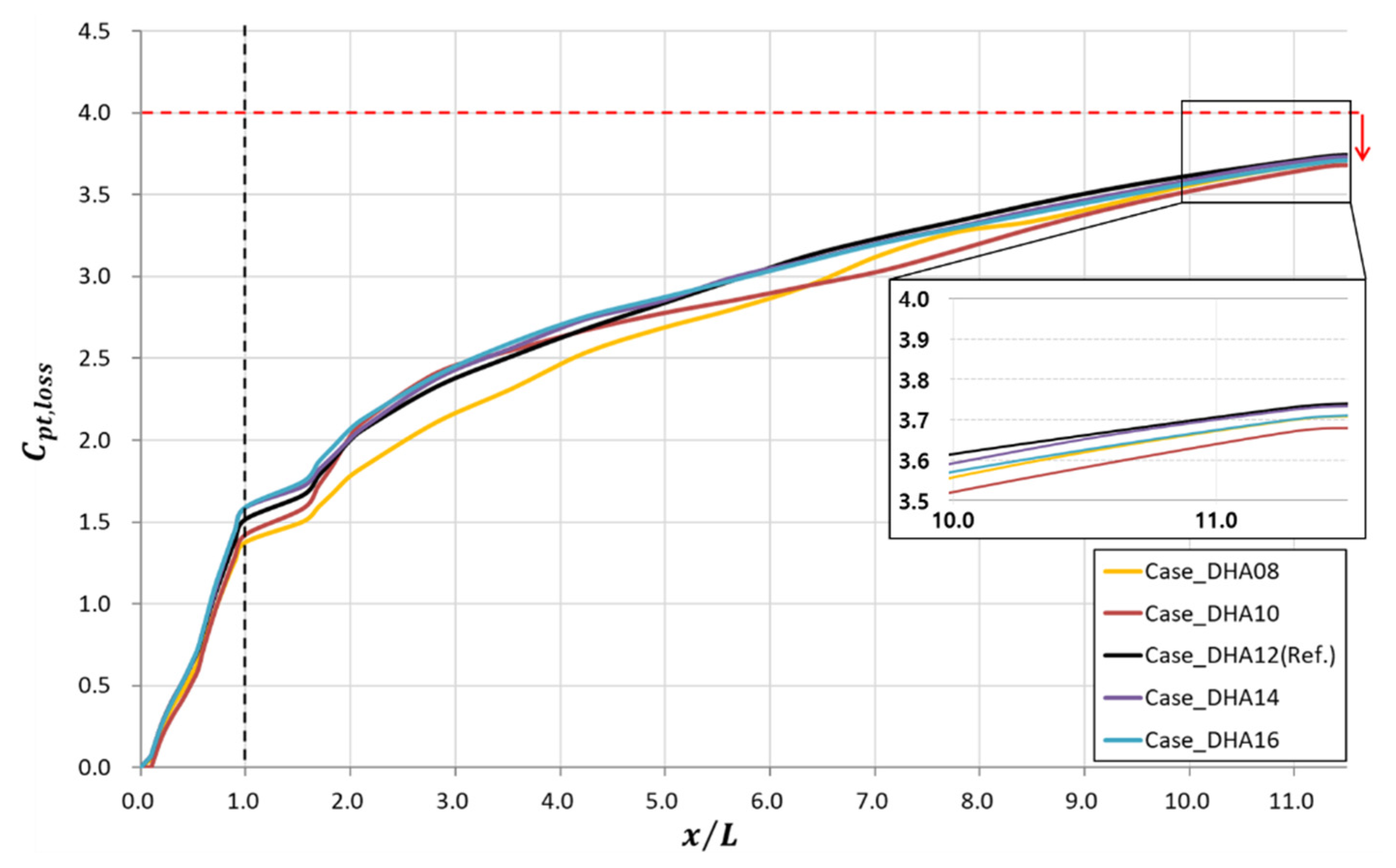
4.4. Diffuser Hade Angle
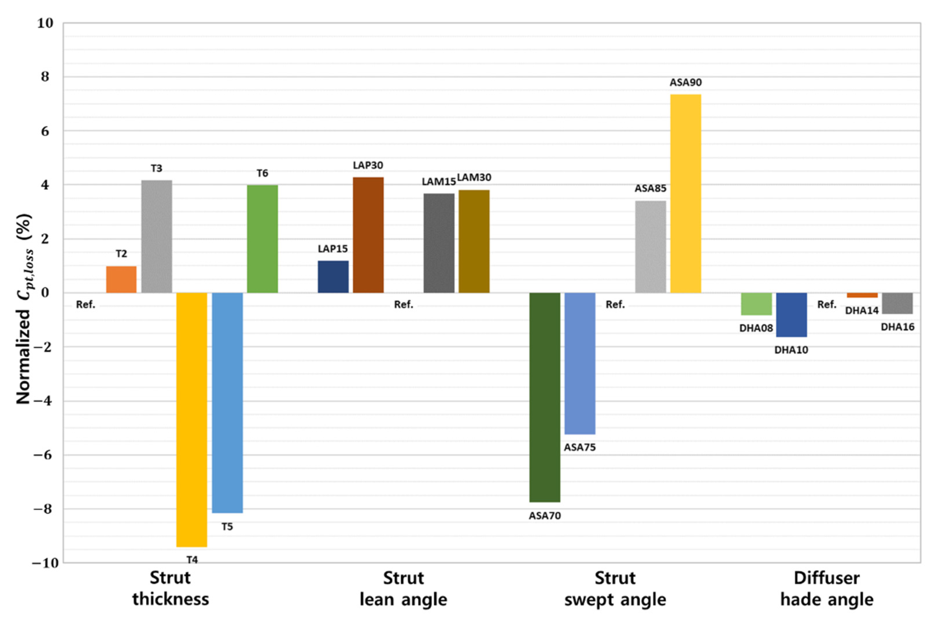
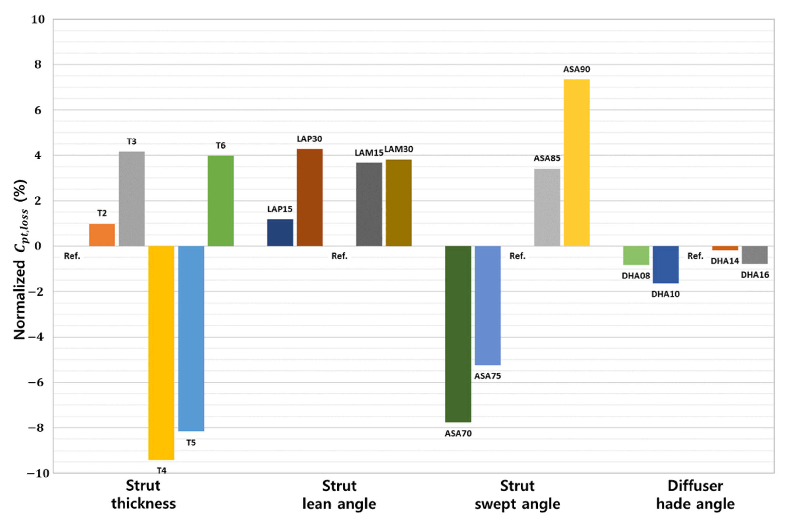
4.5. Evaluation of the Influence of Geometric Parameters
5. Conclusions
- When varying strut thickness, there is a conflict between the performance enhancement gained by increasing the axial velocity between the struts and the performance degradation caused by the wake generated at the strut trailing edge. We expect that there is an optimal strut thickness that gives the maximum and minimum . In the present study, the Case_T4 strut, which was 1.4 times thicker than the reference strut, produced an increase of 3.5% in and a decrease of 8.9% in compared to the reference.
- Applying a lean angle to the struts was shown to have a negative effect on aerodynamic performance in terms of both the pressure recovery and the total pressure loss.
- When the strut swept angle was increased, the total pressure loss due to horseshoe vortexes generated at the strut leading edge near the casing and the total pressure loss due to separation at the annular diffuser hub both increased. In the present study, the Case_ASA70 strut, which had a strut swept angle of 70° provided an increase of 2.9% in and a decrease of 7.8% in compared to the reference.
- When the diffuser hade angle was varied, no definite effects on performance were found, and the and at the conical diffuser remained much the same.
Author Contributions
Funding
Institutional Review Board Statement
Informed Consent Statement
Data Availability Statement
Conflicts of Interest
References
- Ubertini, S.; Desideri, U. Experimental performance analysis of an annular diffuser with and without struts. Exp. Therm. Fluid Sci. 2000, 22, 183–195. [Google Scholar] [CrossRef]
- Vassiliev, V.; Irmisch, S.; Claridge, M.; Richardson, D.P. Experimental and Numerical Investigation of the Impact of Swirl on the Performance of Industrial Gas Turbines Exhaust Diffusers. In Proceedings of the ASME Turbo Expo 2003, Collocated with the 2003 International Joint Power Generation Conference, Atlanta, GA, USA, 16–19 June 2003; pp. 19–29. [Google Scholar]
- Vassiliev, V.; Rothbrust, M.; Irmisch, S. Refitting of Exhaust Diffuser of Industrial Gas Turbine. In Proceedings of the ASME Turbo Expo 2008: Power for Land, Sea, and Air, Berlin, Germany, 9–13 June 2008; pp. 979–987. [Google Scholar]
- Sieker, O.; Seume, J.R. Effects of Rotating Blade Wakes on Separation and Pressure Recovery in Turbine Exhaust Diffusers. In Proceedings of the ASME Turbo Expo 2008: Power for Land, Sea, and Air, Berlin, Germany, 9–13 June 2008; pp. 1921–1931. [Google Scholar]
- Kluß, D.; Stoff, H.; Wiedermann, A. Effect of Wakes and Secondary Flow on Re-attachment of Turbine Exit Annular Diffuser Flow. ASME J. Turbomach. 2009, 131, 041012. [Google Scholar] [CrossRef]
- Pradeep, A.M.; Roy, B.; Vaibhav, V.; Srinuvasu, D. Study of Gas Turbine Exhaust Diffuser Performance and Its Enhancement by Shape Modifications. In Proceedings of the ASME Turbo Expo 2010: Power for Land, Sea, and Air, Glasgow, UK, 14–18 June 2010; pp. 1101–1110. [Google Scholar]
- Babu, M.; Shukla, R.K.; Maru, A.; Pradeep, A.M.; Roy, B. Boundary Layer Control in Turbine Exhaust Diffusers Using Casing Injection and Design Modifications. In Proceedings of the ASME Turbo Expo 2012: Turbine Technical Conference and Exposition, Copenhagen, Denmark, 11–15 June 2012; pp. 1069–1079. [Google Scholar]
- Hirschmann, A.; Volkmer, S.; Casey, M.; Montgomery, M. Hub Extension in an Axial Gas Turbine Diffuser. In Proceedings of the ASME Turbo Expo 2012: Turbine Technical Conference and Exposition, Copenhagen, Denmark, 11–15 June 2012; pp. 1229–1238. [Google Scholar]
- Schaefer, P.; Hofmann, W.H.; Gieß, P. Multiobjective Optimization for Duct and Strut Design of an Annular Exhaust Diffuser. In Proceedings of the ASME Turbo Expo 2012: Turbine Technical Conference and Exposition, Copenhagen, Denmark, 11–15 June 2012; pp. 1679–1689. [Google Scholar]
- Vassiliev, V.; Irmisch, S.; Abdel-Wahab, S.; Granovskiy, A. Impact of the Inflow Conditions on the Heavy-Duty Gas Turbine Exhaust Diffuser Performance. ASME J. Turbomach. 2012, 134, 041018. [Google Scholar] [CrossRef]
- Hirschmann, A.; Volkmer, S.; Schatz, M.; Finzel, C.; Casey, M.; Montgomery, M. The Influence of the Total Pressure Profile on the Performance of Axial Gas Turbine Diffusers. ASME J. Turbomach. 2012, 134, 021017. [Google Scholar] [CrossRef]
- Dobhal, S.; Pradeep, A.M.; Roy, B. Effect of Geometry Changes in an Aggressive Turbine Exhaust Delivery System. In Proceedings of the ASME Turbo Expo 2013: Turbine Technical Conference and Exposition, San Antonio, TX, USA, 3–7 June 2013; p. V06AT36A005. [Google Scholar]
- Xu, L.; Hedlund, L.; Nilsson, Å. CFD Investigation of the Influence of Inflow Conditions on an Aggressive Axial Exhaust Diffuser for Steam Turbines. In Proceedings of the ASME Turbo Expo 2014: Turbine Technical Conference and Exposition, Düsseldorf, Germany, 16–20 June 2014; p. V01BT27A038. [Google Scholar]
- Schaefer, P.; Gieß, P.; Finzel, C.; Hofmann, W.H. Some Aspects on Inlet Blockage Affecting the Performance of a Heavy Duty Gas Turbine’s Exhaust Diffuser. In Proceedings of the ASME Turbo Expo 2014: Turbine Technical Conference and Exposition, Düsseldorf, Germany, 16–20 June 2014. V02CT38A016. [Google Scholar]
- Vassiliev, V.; Sommer, T.P.; Granovsky, A.; Prozorov, S. Exhaust Diffuser Characteristics at Off-Design Conditions. In Proceedings of the ASME Turbo Expo 2014: Turbine Technical Conference and Exposition, Düsseldorf, Germany, 16–20 June 2014; p. V02CT38A026. [Google Scholar]
- Rasouli Ghazi Kalayeh, K.; Schäfer, P.; Finzel, C.; Hofmann, W.H. Experimental and numerical study of a gas turbine exhaust diffuser applying different hub extension geometries. In Proceedings of the 11th European Conference on Turbomachinery Fluid dynamics & Thermodynamics, Madrid, Spain, 23–27 March 2015. [Google Scholar]
- Xue, S.; Guillot, S.; Ng, W.F.; Fleming, J.; Todd Lowe, K.; Samal, N.; Stang, U.E. An Experimental Investigation of the Performance Impact of Swirl on a Turbine Exhaust Diffuser/Collector for a Series of Diffuser Strut Geometries. ASME J. Eng. Gas Turbines Power 2016, 138, 092603. [Google Scholar] [CrossRef]
- Siorek, M.P.; Guillot, S.; Xue, S.; Ng, W.F. A Sensitivity Study of Gas Turbine Exhaust Diffuser-Collector Performance at Various Inlet Swirl Angles and Strut Stagger Angles. ASME J. Eng. Gas Turbines Power 2018, 140, 072602. [Google Scholar] [CrossRef]
- Mihailowitsch, M.; Schatz, M.; Vogt, D.M. Numerical Investigations of an Axial Exhaust Diffuser Coupling the Last Stage of a Generic Gas Turbine. ASME J. Eng. Gas Turbines Power 2019, 141, 031025. [Google Scholar] [CrossRef]
- Bauer, M.; Hummel, S.; Schatz, M.; Kegalj, M.; Vogt, D.M. Investigation of the Flow Field and the Pressure Recovery in a Gas Turbine Exhaust Diffuser at Design, Part-Load and Over-Load Condition. In Proceedings of the ASME Turbo Expo 2020: Turbomachinery Technical Conference and Exposition. Volume 2D: Turbomachinery, Virtual, Online, 21–25 September 2020; p. V02DT36A009. [Google Scholar]
- Sutherland, W. The viscosity of gases and molecular force. Philos. Mag. 1893, 5, 507–531. [Google Scholar] [CrossRef] [Green Version]
- Xu, L.; Xiong, Y.; Xi, L.; Gao, J.; Li, Y.; Zhao, Z. Numerical Simulation of Swirling Impinging Jet Issuing from a Threaded Hole under Inclined Condition. Entropy 2020, 22, 15. [Google Scholar] [CrossRef] [PubMed] [Green Version]
- Gamannossi, A.; Amerini, A.; Mazzei, L.; Bacci, T.; Poggiali, M.; Andreini, A. Uncertainty Quantification of Film Cooling Performance of an Industrial Gas Turbine Vane. Entropy 2020, 22, 16. [Google Scholar] [CrossRef] [PubMed] [Green Version]
- Zamiri, A.; Park, K.S.; Choi, M.; Chung, J.T. Transient Analysis of Flow Unsteadiness and Noise Characteristics in a Centrifugal Compressor with a Novel Vaned Diffuser. Appl. Sci. 2021, 11, 3191. [Google Scholar] [CrossRef]
- Norheim, S.; Amzin, S. Numerical Investigation of a Radially Cooled Turbine Guide Vane Using Air and Steam as a Cooling Medium. Computation 2021, 9, 63. [Google Scholar] [CrossRef]
- Wei, Z.; Ren, G.; Gan, X.; Ni, M.; Chen, W. Influence of Shock Wave on Loss and Breakdown of Tip-Leakage Vortex in Turbine Rotor with Varying Backpressure. Appl. Sci. 2021, 11, 4991. [Google Scholar] [CrossRef]



























| Gas Component | Argon | ||||
|---|---|---|---|---|---|
| Mass fraction | 0.01249 | 0.06364 | 0.05658 | 0.13251 | 0.73478 |
| Total Number of Mesh | Mass-Averaged Static Pressure [Pa] | Relative Error [%] | |
|---|---|---|---|
| Very coarse | 612,828 | 103,140 | −0.164 |
| Coarse | 1,587,128 | 103,199 | −0.106 |
| Moderate | 2,699,986 | 103,250 | −0.057 |
| Fine | 4,774,610 | 103,294 | −0.015 |
| Very fine | 6,063,871 | 103,309 | - |
| Strut | Major Axis Length of Strut LE | Minor Axis Length of Strut LE | Strut Thickness |
|---|---|---|---|
| Reference | 3.183 | 1 | 1 → 0.5 |
| Case_T1 | 3.183 | 1 | 1 |
| Case_T2 | 3.183 | 1.1305 | 1.1305 |
| Case_T3 | 3.183 | 1.2610 | 1.2610 |
| Case_T4 | 3.183 | 1.3915 | 1.3915 |
| Case_T5 | 3.183 | 1.5220 | 1.5220 |
| Strut | Reference | Case_LAP15 | Case_LAP30 | Case_LAM15 | Case_LAM30 |
|---|---|---|---|---|---|
| Lean angle of strut | 0° | +15° | +30° | −15° | −30° |
| Strut | Case_ASA70 | Case_ASA75 | Case_ASA80 (Ref.) | Case_ASA85 | Case_ASA90 |
|---|---|---|---|---|---|
| Swept angle of strut | 70° | 75° | 80° | 85° | 90° |
| Model | Case_DHA08 | Case_DHA10 | Case_DHA12 (Ref.) | Case_DHA14 | Case_DHA16 |
|---|---|---|---|---|---|
| Hade angle | 8° | 10° | 12° | 14° | 16° |
Publisher’s Note: MDPI stays neutral with regard to jurisdictional claims in published maps and institutional affiliations. |
© 2021 by the authors. Licensee MDPI, Basel, Switzerland. This article is an open access article distributed under the terms and conditions of the Creative Commons Attribution (CC BY) license (https://creativecommons.org/licenses/by/4.0/).
Share and Cite
Lee, B.J.; Chung, J.T. Numerical Investigation into the Effects of Design Parameters on the Flow Characteristics in a Turbine Exhaust Diffuser. Energies 2021, 14, 5171. https://doi.org/10.3390/en14165171
Lee BJ, Chung JT. Numerical Investigation into the Effects of Design Parameters on the Flow Characteristics in a Turbine Exhaust Diffuser. Energies. 2021; 14(16):5171. https://doi.org/10.3390/en14165171
Chicago/Turabian StyleLee, Byung Ju, and Jin Taek Chung. 2021. "Numerical Investigation into the Effects of Design Parameters on the Flow Characteristics in a Turbine Exhaust Diffuser" Energies 14, no. 16: 5171. https://doi.org/10.3390/en14165171
APA StyleLee, B. J., & Chung, J. T. (2021). Numerical Investigation into the Effects of Design Parameters on the Flow Characteristics in a Turbine Exhaust Diffuser. Energies, 14(16), 5171. https://doi.org/10.3390/en14165171
