Evaluation of Communal Waste in Slovakia from the View of Chosen Economic Indicators
Abstract
1. Introduction
2. Present State of Problem Solving
3. Materials and Methods
3.1. Indexes of the Analysis
3.2. Analysis of Economic and Waste Indexes from the View of Verification of Statistical Importance of Regions and Year to the Development of Index Values
- Communal waste in t per 1 household—komnadom
- Separated waste in t per 1 household—sepnadom
- Separated waste in t per 1 household/communal waste in t per 1 household—prodsep
- Waste cost in €—waste cost
- Average household disposable income in €/month—pdepdom
- Net money expenditure of households in €—cpvd
- People below the poverty line per 1 household—ospodchnadom
- Measure of poverty risk: 60% median (%)—mieraregch
- Level of significance 0.05 was used for all statistical analysis.
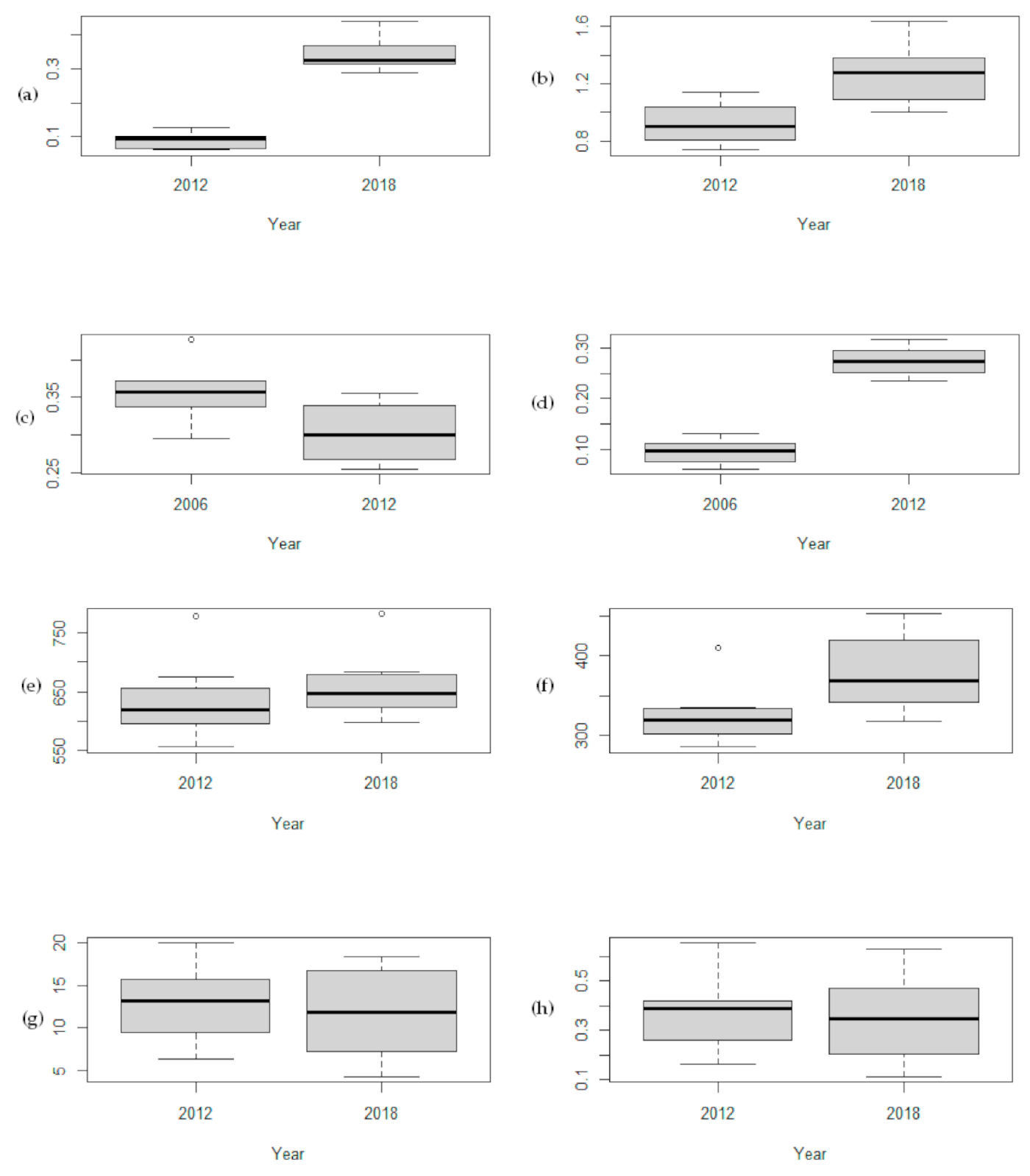
4. Results
4.1. Evaluation of Communal Waste Productivity
- In 2012 it increased against basis period 2006 by 6.4%.
- In 2018 it increased against basis period 2006 by 45.75%.
- In 2018 it increased against 2012 by 29.7%.
4.2. Evaluation of Separated Waste Productivity
- In 2012 it increased against basis period 2006 by 103.4%
- In 2018 it increased against basis period 2006 by 709.8%.
- In 2018 it increased against 2012 by 17.2%.
4.3. Evaluation of Waste Sorting Productivity
4.4. Evaluation of Waste Cost
4.5. Analysis of Economic and Waste Indexes from the View of Verification of Statistical Importance of Regions and Year to the Development of Indexes Value
5. Discussion
6. Conclusions
Author Contributions
Funding
Institutional Review Board Statement
Informed Consent Statement
Data Availability Statement
Acknowledgments
Conflicts of Interest
References
- Dong, J.; Chi, Y.; Zou, D.; Fu, C.; Huang, Q.; Ni, M. Comparison of municipal solid waste treatment Technologies form a life cycle perspective in China. Waste Manag. Res. 2014, 32, 13–23. [Google Scholar] [CrossRef]
- Alan, Y.; Gao, G.P.; Gaur, V. Does inventory productivity predict future stock returns? A retailing industry perspective. Manag. Sci. 2014, 60, 2416–2434. [Google Scholar] [CrossRef]
- Badran, M.F.; El-Haggar, S.M. Optimization of municipal solid waste management in Port Said—Egypt. Waste Manag. 2006, 26, 534–545. [Google Scholar] [CrossRef] [PubMed]
- Adamisin, P.; Kotulic, R.; Mura, L.; Kravcakova Vozarova, I.; Vavrek, R. Managerial approaches of environmental projects: An empirical study. Pol. J. Manag. Stud. 2018, 17, 27–38. [Google Scholar] [CrossRef]
- Gomes, L.A.; Santos, A.F.; Pinheiro, C.T.; Góis, J.C.; Quina, M.J. Screening of waste materials as adjuvants for drying sewage sludge based on environmental, technical and economic criteria. J. Clean. Prod. 2020, 259, 120927. [Google Scholar] [CrossRef]
- Pearce, D. Green Economics. Environ. Values 1992, 1, 3–13. Available online: http://www.environmentandsociety.org/node/5454/ (accessed on 1 September 2018). [CrossRef]
- Čech, J. Economic Growth and Evaluation of Living Environment. Acta Montan. Slovaca 2007, 12, 194–204. Available online: https://actamont.tuke.sk/pdf/2007/n3/4cech.pdf/ (accessed on 20 October 2018). (In Slovak).
- Ardolino, F.; Lodato, C.; Astrup, T.F.; Arena, U. Energy recovery from plastic and biomass waste by means of fluidized bed gasification: A life cycle inventory model. Energy 2018, 165, 299–314. [Google Scholar] [CrossRef]
- Winans, K.; Kendall, A.; Deng, H. The History and Current Applications of the Circular Economy concept. In Renewable and Sustainable Energy Reviews; Available online: http://linkinghub.elsevier.com/retrieve/pii/S1364032116306323/ (accessed on 29 June 2017).
- Zhou, Z.; Tang, Y.; Dong, J.; Chi, Y.; Ni, M.; Li, N.; Zhang, Y. Environmental performance evolution of municipal solid waste management by life cycle assessment in Hangzhou, China. J. Environ. Manag. 2018, 227, 23–33. [Google Scholar] [CrossRef]
- Pecorini, I.; Peruzzi, E.; Albini, E.; Doni, S.; Macci, C.; Masciandaro, G.; Iannelli, R. Evaluation of MSW compost and digestate mixture for a circular economy application. Sustainability 2020, 12, 3042. [Google Scholar] [CrossRef]
- Paul, S.; Choudhury, M.; Deb, U.; Pegu, R.; Das, S.; Bhattacharya, S.S. Assessing the ecological impacts of ageing on hazard potential of solid waste landfills: A green approach through vermitechnology. J. Clean. Prod. 2019, 236, 117643. [Google Scholar] [CrossRef]
- Ali, S.M.; Pervaiz, A.; Afzal, B.; Hamid, N.; Yasmin, A. Open dumping of municipal solid waste and its hazardous impacts on soil and vegetation diversity at waste dumping sites in Islamabad city. J. King Saud Univ. Sci. 2014, 26, 59–65. [Google Scholar] [CrossRef]
- Warguła, Ł.; Kukla, M.; Lijewski, P.; Dobrzyński, M.; Markiewicz, F. Influence of Innovative Woodchipper Speed Control Systems on Exhaust Gas Emissions and Fuel Consumption in Urban Areas. Energies 2020, 13, 3330. [Google Scholar] [CrossRef]
- Warguła, Ł.; Krawiec, P.; Waluś, K.J.; Kukla, M. Fuel Consumption Test Results for a Self-Adaptive, Maintenance-Free Wood Chipper Drive Control System. Appl. Sci. 2020, 10, 2727. [Google Scholar] [CrossRef]
- Warguła, Ł.; Kukla, M.; Lijewski, P.; Dobrzyński, M.; Markiewicz, F. Influence of the Use of Liquefied Petroleum Gas (LPG) Systems in Woodchippers Powered by Small Engines on Exhaust Emissions and Operating Costs. Energies 2020, 13, 5773. [Google Scholar] [CrossRef]
- Warguła, Ł.; Kukla, M.; Lijewski, P.; Dobrzyński, M.; Markiewicz, F. Impact of Compressed Natural Gas (CNG) Fuel Systems in Small Engine Wood Chippers on Exhaust Emissions and Fuel Consumption. Energies 2020, 13, 6709. [Google Scholar] [CrossRef]
- Warguła, Ł.; Kukla, M.; Krawiec, P.; Wieczorek, B. Reduction in Operating Costs and Environmental Impact Consisting in the Modernization of the Low-Power Cylindrical Wood Chipper Power Unit by Using Alternative Fuel. Energies 2020, 13, 2995. [Google Scholar] [CrossRef]
- Rogov, A.A.; Kublitckii, A.O.; Tokareva, M.V. The forest park areas maintenance activities improvement in metropolis, based on information and production technologies. In Proceedings of the 2019 IEEE Conference of Russian Young Researchers in Electrical and Electronic Engineering (EIConRus), Saint Petersburg and Moscow, Russia, 28–31 January 2019; pp. 1453–1457. [Google Scholar]
- Dangi, M.B.; Pretz, C.R.; Urynowicz, M.A.; Gerow, K.G.; Reddy, J.M. Municipal solid waste generation in Kathmandu, Nepal. J. Environ. Manag. 2011, 92, 240–249. [Google Scholar] [CrossRef]
- Roychoudhury, A.; Kumar, N.A.; Arutchelvan, V. Integrated waste management through symbiotic culture: A holistic approach. IOP Conf. Ser. Earth Environ. Sci. 2019, 344, 0120455. [Google Scholar] [CrossRef]
- Brzeszczak, A.; Imiołczyk, J. Ratio analysis of Poland’s sustainable development compared to the countries of the European Union. Acta Oecon. Univ. Selye 2016, 5, 31–41. [Google Scholar]
- Hazra, T.; Goel, S. Solid waste management in Kolkata, India: Practices and challenges. Waste Manag. 2009, 29, 470–478. [Google Scholar] [CrossRef]
- Zhou, H.; Shen, Y.; Meng, H.; Zhao, L.; Cheng, H.; Huo, L.; Dong, S. Research on rural waste recycling mode and its evaluation in village. Trans. Chin. Soc. Agric. Eng. 2018, 34, 206–212. [Google Scholar]
- Velenturf, A.P.M.; Jopson, J.S. Making the business case for resource recovery. Sci. Total Environ. 2018, 648, 1031–1041. [Google Scholar] [CrossRef] [PubMed]
- D´Adamo, I.; Rosa, P.; Terzi, S. Challenges in waste electrical and electronic equipment management: A profitability assessment in three European countries. Sustainability 2016, 8, 633. [Google Scholar] [CrossRef]
- Pérez-Belis, V.; Bovea, M.D.; Ibáňez-Forés, V. An in-depth literature review of the waste electrical and electronic equipment context: Trends and evolution. Waste Manag. Res. 2015, 33, 3–29. [Google Scholar] [CrossRef]
- Pan, D.; Hong, W.; Kong, F. Efficiency evaluation of urban wastewater treatment: Evidence from 113 cities in the Yangtze River economic belt of China. J. Environ. Manag. 2020, 270, 110940. [Google Scholar] [CrossRef] [PubMed]
- Bian, Y.; Yan, S.; Xu, H. Efficiency evaluation for regional urban water use and wastewater decontamination systems in China: A DEA approach. Resour. Conserv. Recycl. 2014, 83, 2014, 15–23. [Google Scholar] [CrossRef]
- Dong, X.; Zhang, X.; Zeng, S. Measuring and explaining eco-efficiencies of wastewater treatment plants in China: An uncertainty analysis perspective. Water Res. 2017, 112, 195. [Google Scholar] [CrossRef] [PubMed]
- Warguła, Ł.; Wieczorek, B.; Kukla, M.; Krawiec, P.; Szewczyk, J.W. The Problem of Removing Seaweed from the Beaches: Review of Methods and Machines. Water 2021, 13, 736. [Google Scholar] [CrossRef]
- Vialkova, E.; Zemlyanova, M.; Fugaeva, A. Treatment and utilization of liquid communal waste in the cities. In Proceedings of the MATEC Web of Conferences, České Budějovice, Czech Republic, 6–7 November 2018; Volume 212, p. 030052018. [Google Scholar]
- Nayal, F.S.; Mammadov, A.; Ciliz, N. Environmental assessment of energy generation from agricultural and farm waste through anaerobic digestion. J. Environ. Manag. 2016, 184, 389–399. [Google Scholar] [CrossRef]
- Šourková, M.; Adamcová, D.; Winkler, J.; Vaverková, M.D. Phytotoxicity of Tires Evaluated in Simulated Conditions. Environments 2021, 8, 49. [Google Scholar] [CrossRef]
- Karagoz, M.; Uysal, C.; Agbulut, U.; Saridemir, S. Energy, exergy, economic and sustainability assessments of a compression ignition diesel engiene fueled with tire pyrolytic oil-diesel blends. J. Clean. Prod. 2020, 264, 121724. [Google Scholar] [CrossRef]
- Symeonides, D.; Loizia, P.; Zorpas, A.A. Tire waste management system in Cyprus in the framework of circular economy strategy. Environ. Sci. Pollut. Res. 2019, 26, 35445–35460. [Google Scholar] [CrossRef]
- Abreu, M.C.S.; Ceglia, D. On the implementation of a circular economy: The role of institutional capacity-building through industrial symbiosis. Resour. Conserv. Recycl. 2018, 138, 99–109. [Google Scholar] [CrossRef]
- Ellen MacArthur Foundation. Towards A Circular Economy: Business Rationale For An Accelerated Transition. Available online: https://www.ellenmacarthurfoundation.org/assets/downloads/TCE_Ellen-MacArthur-Foundation-9-Dec-2015.pdf/ (accessed on 29 June 2017).
- Martinico-Perez, M.F.G.; Schandl, H.; Tanikawa, H. Sustainability indicators from resource flow trends in the Philippines. Resour. Conserv. Recycl. 2018, 138, 74–86. [Google Scholar] [CrossRef]
- Yang, L.; Kong, F.L.; Xi, M.; Li, Y.; Wang, S. Environmental economic value calculation and sustainability assessment for constructed rapid infiltration system based on energy analysis. J. Clean. Prod. 2017, 167, 582–588. [Google Scholar] [CrossRef]
- Troschinetz, A.M.; Mihelcic, J.R. Sustainable recycling of municipal solid waste in developing countries. Waste Manag. 2009, 29, 915–923. [Google Scholar] [CrossRef]
- Zhuonan, S. Research on guarantee mechanism of waste concrete recycling logistics mode in Beijing city. International Conference on Logistics, Informatics and Service Science. Available online: http://toc.proceedings.com/28971webtoc.pdf/ (accessed on 14 December 2017).
- Eurostat. Available online: http://ec.europa.eu/eurostat/en/data/browse-statistics-by-theme (accessed on 1 March 2021).
- Zeller, T.L.; Kostolansky, J.; Bozoudis, M. A changed taxonomy of retail financial ratios. J. Appl. Bus. Res. 2017, 33, 1069–1080. [Google Scholar] [CrossRef]
- Samson, A.A.; Mary, J.; Yemisi, B.F.; Erekpitan, I.O. The impact of working capital management on the profitability of small and 45medium scale enterprises in Nigeria. Res. J. Bus. Manag. 2012, 6, 61–69. [Google Scholar] [CrossRef][Green Version]
- Hebák, P.; Hustopecký, J.; Pecáková, I.; Plašil, M.; Prúša, M.; Řezanková, H.; Vlach, P.; Svobodová, A. Multi-Dimensional Statistic Methods 3; Praha, Informatorium: Prague, Czech Republic, 2007. (In Czech) [Google Scholar]
- Feng, M.; Li, C.; McVay, S.E. Does ineffective internal control over financial reporting affect a firm´s operations? Evidence from firm´s inventory management. Account. Rev. 2015, 90, 529–557. [Google Scholar] [CrossRef]
- Senova, A.; Pavlik, T.; Pavolova, H.; Domaracka, L.; Kuzevic, S. The evaluation process of production risks in the manufacturing plant. In Proceedings of the International Multidisciplinary Scientific GeoConference Surveying Geology and Mining Ecology Management (SGEM), Vienna, Austria, 27–29 November 2017; Volume 17, pp. 919–926. [Google Scholar]
- Kulisz, M.; Kujawska, J. Prediction of Municipal Waste Generation in Poland Using Neural Network Modeling. Sustainability 2020, 12, 10088. [Google Scholar] [CrossRef]
- Miezah, K.; Obiri-Danso, K.; Kádár, Z.; Fei-Baffoe, B.; Mensah, M.Y. Municipal solid waste characterization and quantification as a measure towards effective waste management in Ghana. Waste Manag. 2015, 15–27. [Google Scholar] [CrossRef] [PubMed]
- Lopes, A.C.P.; Robra, S.; Müller, W.; Meier, M.; Thumser, F.; Alessi, A.; Bockreis, A. Comparison of two mechanical pre-treatment systems for impurities reduction of source-separated biowaste. Waste Manag. 2019, 100, 66–74. [Google Scholar] [CrossRef] [PubMed]
- Straka, M.; Khouri, S.; Rosová, A.; Čulková, K. Utilization of computer simulation for waste separation design as a logistics system. Int. J. Simul. Model. 2018. [Google Scholar] [CrossRef]
- Feranecová, A.; Manová, E.; Meheš, M.; Simonidesová, J.; Stašková, S.; Blaščák, P. Possibilities of harmonization of direct taxes in the EU. Invest. Manag. Financ. Innov. 2017, 14, 191–199. [Google Scholar]
- Cucchiella, F.; D´Adamo, I.; Lenny Koh, S.C.; Rosa, P. A profitability assessment of European recycling processes treating printed circuit boards from waste electrical and electronic equipments. Renew. Sustain. Energy Rev. 2016, 64, 749–760. [Google Scholar] [CrossRef]
- Bindzárová Gergeľová, M.; Kuzevičová, Ž.; Kovanič, Ľ.; Kuzevič, Š. Automation of Spatial Model Creation in GIS Environment. In Inżynieria Mineralna; Polskie Towarzystwo Przeróbki Kopalin: Krakow, Poland, 2014; Volume 33, pp. 15–22, ISSN 1640-4920. [Google Scholar]
- Jurkasová, Z.; Cehlár, M.; Khouri, S. Tools for organizational changes managing in companies with high qualified employees. Prod. Manag. Eng. Sci. 2016, 409–412. [Google Scholar]
- Warguła, Ł.; Kukla, M. Determination of maximum torque during carpentry waste comminution. Wood Res. 2020, 65, 771–784. [Google Scholar] [CrossRef]














| Basic Period | Common Period | Laspeyres Extensive Index | Paasche Extensive Index | Fisher Extensive Index |
|---|---|---|---|---|
| 2006 | 2012 | 1.062 | 1.067 | 1.064 |
| 2006 | 2018 | 1.455 | 1.460 | 1.458 |
| 2012 | 2018 | 1.228 | 1.371 | 1.298 |
| Basic Period | Common Period | Laspeyres Extensive Index | Paasche Extensive Index | Fisher Extensive Index |
|---|---|---|---|---|
| 2006 | 2012 | 1.914 | 2.162 | 2.034 |
| 2006 | 2018 | 7.359 | 8.912 | 8.098 |
| 2012 | 2018 | 0.335 | 4.106 | 1.172 |
| Basic Period | Common Period | Laspeyres Extensive Index | Paasche Extensive Index | Fisher Extensive Index |
|---|---|---|---|---|
| 2006 | 2012 | 1.060 | 1.053 | 1.056 |
| 2006 | 2018 | 1.450 | 1.443 | 1.448 |
| 2012 | 2018 | 1.374 | 1.374 | 1.371 |
| Test | Komnadom | Prodsep | Waste Cost | Pdedom | Cpvd | Ospodchnadom | Mieraregch |
|---|---|---|---|---|---|---|---|
| ANOVA/region | 0.000 | 0.021 | 0.000 | 0.000 | 0.000 | 0.000 | 0.005 |
| ANOVA/period | 0.000 | 0.000 | 0.001 | 0.000 | 0.000 | 0.412 | 0.846 |
| Bartlett test of variances homogeneity/period | 0.994 | 1.000 | 0.780 | 1.000 | 0.952 | 0.922 | 0.958 |
| Bartlett test of variances homogeneity/region | 0.602 | 0.781 | 0.692 | 0.713 | 0.456 | 0.364 | 0.254 |
| Shapiro–Wilk normality test of residuals | 0.455 | 0.295 | 0.420 | 0.591 | 0.420 | 0.368 | 0.325 |
| Period | Komnadom | Sepnadom | Podsep | Waste Cost | Pedom | Cpvd |
|---|---|---|---|---|---|---|
| Y_2012-Y_2006 | 0.339 | 0.157 | 0.001 | 0.089 | 0.000 | 0.000 |
| Y_2018-Y_2006 | 0.000 | 0.000 | 0.000 | 0.072 | 0.000 | 0.000 |
| Y_2018-Y_2012 | 0.000 | 0.036 | 0.000 | 0.001 | 0.060 | 0.000 |
| Pair | Komnadom | Prodsep | Waste Cost | Pedom | Cpvd | Ospodchnadom | Mieraregch |
|---|---|---|---|---|---|---|---|
| Bratislavský–Banskobystrický | 0.000 | 0.223 | 0.260 | 0.000 | 0.000 | 0.001 | 0.000 |
| Košický–Banskobystrický | 1.000 | 0.099 | 0.414 | 0.989 | 0.623 | 1.000 | 0.980 |
| Nitriansky–Banskobystrický | 0.002 | 0.011 | 0.004 | 0.962 | 1.000 | 0.755 | 0.668 |
| Prešovský–Banskobystrický | 0.600 | 0.059 | 0.035 | 0.670 | 0.416 | 0.012 | 0.730 |
| Trenčiansky–Banskobystrický | 0.058 | 0.628 | 0.351 | 0.027 | 0.376 | 0.021 | 0.006 |
| Trnavský–Banskobystrický | 0.000 | 0.078 | 0.000 | 0.187 | 0.308 | 0.036 | 0.011 |
| Žilinský–Banskobystrický | 0.003 | 0.588 | 0.017 | 0.672 | 0.969 | 0.960 | 0.430 |
| Košický–Bratislavský | 0.000 | 0.999 | 1.000 | 0.000 | 0.000 | 0.000 | 0.001 |
| Nitriansky–Bratislavský | 0.539 | 0.666 | 0.300 | 0.000 | 0.000 | 0.009 | 0.007 |
| Prešovský–Bratislavský | 0.001 | 0.990 | 0.919 | 0.000 | 0.000 | 0.000 | 0.000 |
| Trenčiansky–Bratislavský | 0.022 | 0.988 | 1.000 | 0.000 | 0.006 | 0.474 | 0.706 |
| Trnavský–Bratislavský | 0.059 | 0.997 | 0.007 | 0.000 | 0.007 | 0.331 | 0.540 |
| Žilinský–Bratislavský | 0.335 | 0.992 | 0.738 | 0.000 | 0.001 | 0.003 | 0.016 |
| Nitriansky–Košický | 0.004 | 0.909 | 0.179 | 1.000 | 0.453 | 0.654 | 0.989 |
| Prešovský–Košický | 0.856 | 1.000 | 0.773 | 0.254 | 1.000 | 0.017 | 0.249 |
| Trenčiansky–Košický | 0.132 | 0.872 | 1.000 | 0.113 | 0.019 | 0.015 | 0.037 |
| Trnavský–Košický | 0.000 | 1.000 | 0.004 | 0.553 | 0.015 | 0.026 | 0.063 |
| Žilinský–Košický | 0.007 | 0.898 | 0.540 | 0.979 | 0.171 | 0.914 | 0.909 |
| Prešovský–Nitriansky | 0.044 | 0.977 | 0.910 | 0.183 | 0.279 | 0.001 | 0.060 |
| Trenčiansky–Nitriansky | 0.505 | 0.246 | 0.218 | 0.162 | 0.536 | 0.301 | 0.164 |
| Trnavský–Nitriansky | 0.002 | 0.948 | 0.400 | 0.680 | 0.454 | 0.437 | 0.257 |
| Žilinský–Nitriansky | 1.000 | 0.273 | 0.989 | 0.996 | 0.996 | 1.000 | 1.000 |
| Trenčiansky–Prešovský | 0.749 | 0.728 | 0.836 | 0.001 | 0.010 | 0.000 | 0.000293 |
| Trnavský–Prešovský | 0.000 | 1.000 | 0.058 | 0.009 | 0.007 | 0.000 | 0.000 |
| Žilinský–Prešovský | 0.086 | 0.766 | 1.000 | 0.056 | 0.093 | 0.002 | 0.028 |
| Trnavský–Trenčiansky | 0.000 | 0.810 | 0.005 | 0.941 | 1.000 | 1.000 | 1.000 |
| Žilinský–Trenčiansky | 0.729 | 1.000 | 0.614 | 0.438 | 0.895 | 0.131 | 0.312 |
| Žilinský–Trnavský | 0.001 | 0.842 | 0.118 | 0.964 | 0.835 | 0.206 | 0.453 |
| Region | Komnadom | Waste Cost | Pdedom | Cpvd | Ospodchnadom | Mierarchud |
|---|---|---|---|---|---|---|
| Bratislavský | 1.099 | 11.52 | 778.17 | 12,663.38 | 0.161 | 6.3 |
| Trnavský | 1.138 | 9.61 | 637.69 | 10,935.85 | 0.289 | 10.6 |
| Trenčiansky | 0.915 | 11.93 | 674.01 | 10,909.04 | 0.231 | 8.3 |
| Nitriansky | 0.983 | 10.10 | 600.71 | 9919.25 | 0.419 | 15.9 |
| Žilinský | 0.895 | 12.94 | 636.79 | 11,577.80 | 0.367 | 12.7 |
| Banskobystrický | 0.735 | 13.70 | 592.2 | 10,069.38 | 0.417 | 15.6 |
| Prešovský | 0.802 | 14.01 | 555.88 | 11,231.08 | 0.652 | 19.9 |
| Košický | 0.810 | 12.85 | 603.05 | 10,418.23 | 0.405 | 13.5 |
| Indicator | Mean | SD | Median | Min | Max | Range | Skew | Kurtosis | SE |
|---|---|---|---|---|---|---|---|---|---|
| komnadom | 0.92 | 0.14 | 0.90 | 0.74 | 1.14 | 0.40 | 0.26 | −1.60 | 0.05 |
| waste cost | 12.80 | 1.61 | 12.39 | 9.61 | 14.10 | 4.40 | −0.32 | −1.61 | 0.57 |
| pdedom | 634.81 | 67.95 | 619.92 | 555.88 | 778.17 | 222.29 | 0.94 | −0.25 | 24.20 |
| cpvd | 10,965.50 | 888.78 | 10,922.44 | 9919.25 | 12,663.38 | 2744.13 | 0.55 | −0.92 | 314.23 |
| ospodchnadom | 0.37 | 0.15 | 0.39 | 0.16 | 0.65 | 0.49 | 0.44 | −0.76 | 0.05 |
| mierarchud | 12.85 | 4.40 | 13.10 | 6.30 | 19.90 | 13.60 | 0.02 | −1.37 | 1.56 |
| Region | Komnadom | Waste Cost | Pdedom | Cpvd | Ospodchnadom | Mieraregch |
|---|---|---|---|---|---|---|
| Bratislavský | 1.375 | 10.31 | 782.18 | 14,167.32 | 0.112 | 4.3 |
| Trnavský | 1.638 | 8.81 | 682.31 | 14,432.99 | 0.229 | 7.9 |
| Trenčiansky | 1.187 | 11.80 | 675.23 | 14,007.71 | 0.183 | 6.6 |
| Nitriansky | 1.383 | 8.56 | 658.4 | 11,834.70 | 0.292 | 10.8 |
| Žilinský | 1.369 | 10.09 | 633.33 | 13,817.62 | 0.399 | 12.9 |
| Banskobystrický | 1.036 | 11.08 | 615.11 | 11,476.04 | 0.465 | 17.6 |
| Prešovský | 1.144 | 11.40 | 596.63 | 13,045.08 | 0.629 | 18.4 |
| Košický | 1.005 | 11.57 | 630.98 | 11,629.90 | 0.475 | 15.8 |
| Indicator | Mean | SD | Median | Min | Max | Range | Skew | Kurtosis | SE |
|---|---|---|---|---|---|---|---|---|---|
| komnadom | 1.27 | 0.21 | 1.28 | 1.1 | 1.64 | 0.63 | 0.29 | −1.34 | 0.08 |
| nakladovost | 10.45 | 1.24 | 10.69 | 8.56 | 11.80 | 3.24 | −0.41 | −1.63 | 0.441 |
| pdedom | 659.27 | 57.62 | 645.86 | 596.63 | 782.18 | 185.55 | 0.98 | −0.18 | 20.37 |
| cpvd | 13,051.42 | 1232.80 | 13,431.35 | 11,476.04 | 14,432.96 | 134.50 | −0.22 | −1.98 | 435.86 |
| ospodchnadom | 0.35 | 0.17 | 0.35 | 0.11 | 0.63 | 0.52 | 0.15 | −1.53 | 0.06 |
| mierarchud | 11.79 | 5.26 | 11.85 | 4.30 | 18.40 | 14.10 | −0.06 | −1.79 | 1.86 |
| Region | Bratislavský | Trnavský | Trenčiansky | Nitriansky | Žilinský | Banskobystrický | Prešovský |
|---|---|---|---|---|---|---|---|
| Trnavský | 3.35 | ||||||
| Trenčiansky | 2.90 | 2.28 | |||||
| Nitriansky | 5.06 | 2.26 | 2.92 | ||||
| Žilinský | 3.56 | 2.86 | 1.76 | 2.82 | |||
| Banskobystrický | 5.63 | 4.21 | 3.07 | 2.83 | 2.31 | ||
| Prešovský | 6.36 | 5.00 | 4.52 | 3.66 | 2.97 | 2.39 | |
| Košický | 4.81 | 3.30 | 2.24 | 2.24 | 1.55 | 0.98 | 2.59 |
| Region | Bratislavský | Trnavský | Trenčiansky | Nitriansky | Žilinský | Banskobystrický | Prešovský |
|---|---|---|---|---|---|---|---|
| Trnavský | 2.63 | ||||||
| Trenčiansky | 2.459 | 3.247 | |||||
| Nitriansky | 3.574 | 2.555 | 3.447 | ||||
| Žilinský | 3.492 | 2.343 | 2.481 | 2.02 | |||
| Banskobystrický | 5.161 | 4.871 | 3.626 | 3.182 | 2.784 | ||
| Prešovský | 5.400 | 4.741 | 3.768 | 3.802 | 2.421 | 1.719 | |
| Košický | 4.935 | 4.899 | 3.309 | 3.363 | 2.872 | 0.621 | 1.772 |
Publisher’s Note: MDPI stays neutral with regard to jurisdictional claims in published maps and institutional affiliations. |
© 2021 by the authors. Licensee MDPI, Basel, Switzerland. This article is an open access article distributed under the terms and conditions of the Creative Commons Attribution (CC BY) license (https://creativecommons.org/licenses/by/4.0/).
Share and Cite
Stehlíková, B.; Čulková, K.; Taušová, M.; Štrba, Ľ.; Mihaliková, E. Evaluation of Communal Waste in Slovakia from the View of Chosen Economic Indicators. Energies 2021, 14, 5052. https://doi.org/10.3390/en14165052
Stehlíková B, Čulková K, Taušová M, Štrba Ľ, Mihaliková E. Evaluation of Communal Waste in Slovakia from the View of Chosen Economic Indicators. Energies. 2021; 14(16):5052. https://doi.org/10.3390/en14165052
Chicago/Turabian StyleStehlíková, Beáta, Katarína Čulková, Marcela Taušová, Ľubomír Štrba, and Eva Mihaliková. 2021. "Evaluation of Communal Waste in Slovakia from the View of Chosen Economic Indicators" Energies 14, no. 16: 5052. https://doi.org/10.3390/en14165052
APA StyleStehlíková, B., Čulková, K., Taušová, M., Štrba, Ľ., & Mihaliková, E. (2021). Evaluation of Communal Waste in Slovakia from the View of Chosen Economic Indicators. Energies, 14(16), 5052. https://doi.org/10.3390/en14165052

