Framework for Developing a Low-Carbon Energy Demand in Residential Buildings Using Community-Government Partnership: An Application in Saudi Arabia
Abstract
1. Introduction
1.1. Background
1.2. Literature Review
2. Methodology
2.1. Framework Development
2.1.1. GHG Emissions Reduction Approach
2.1.2. Building Intervention Approach (Community)
Building Modeling and Long-Range Energy Estimation and GHG Emissions
- First step: collect required data (e.g., residential building design, geographical climate condition, population).
- Second step: develop a residential building model through Revit or another 3-D design software.
- Third step: integrate residential building modeling design into Design Builder software for comprehensive energy analysis.
- Fourth step: calculate energy consumption and GHG emissions mathematically. The Long-range Energy Alternative Planning System (LEAP) is a widely used software system for energy and environmental policy analyses in over 190 countries. LEAP software is used to calculate the energy demand based on the total activity level and energy intensity for each branch (i.e., region or country) [12].
Life Cycle Costing Analysis (LCCA)
Multi-Criteria Decision Analysis: TOPSIS
- First Step: calculate normalized rating vector normalization using Equation (8).i = 1, 2, …, m,j = 1, 2, 3, …, n.
- Second Step: calculate weighted normalized ratings using Equation (9)i = 1, 2, …, m,j = 1, 2, 3, …, n.
- Third Step: identify positive () and negative () ideal solutions using Equations (10) and (11).
- Fourth Step: calculate separation distances:
2.1.3. Clean Energy Approach (Government)
V Power Structure Calculation
Wind Turbine Power Structure
Multi-Criteria Decision Analysis: Grey Relational Analysis
2.2. Framework Application
2.2.1. Study Area: Saudi Arabia
2.2.2. Identification of National GHG Emissions Reduction Vision
2.2.3. Communities’ Building Intervention Approach
Energy-Saving Options in Residential Building
Ranking Energy Interventions Using TOPSIS
2.2.4. Government’s Clean Energy Approach
Clean Energy Options in Residential Building
Weighting Scenarios
Ranking Clean Energy Alternatives Using GRA
3. Results and Discussion
3.1. Saudi Arabia’s GHG emissions Reduction Visions and Initiatives
3.1.1. GHG Emissions Reduction Vision
- In December 2017, it was reported that the country planned to minimize the fossil fuel subsidy to enhance the economy;
- The National Renewable Energy Plan; Saudi Arabia is taking action to grow renewable electricity generation. The country has invested US$30bn to US$50bn in clean energy actions since 2017;
- In 2018, the Saudi government took actions in the free market for importing electric vehicles and regulating light-duty vehicles.
3.1.2. Energy Consumption Behavior and Energy-Saving Initiatives
3.1.3. Carbon Capture, Utilization, and Storage (CCUS)
3.2. Community Contribution: A Building Intervention Approach
3.2.1. Existing National Energy-Saving Regulation and Policy Actions
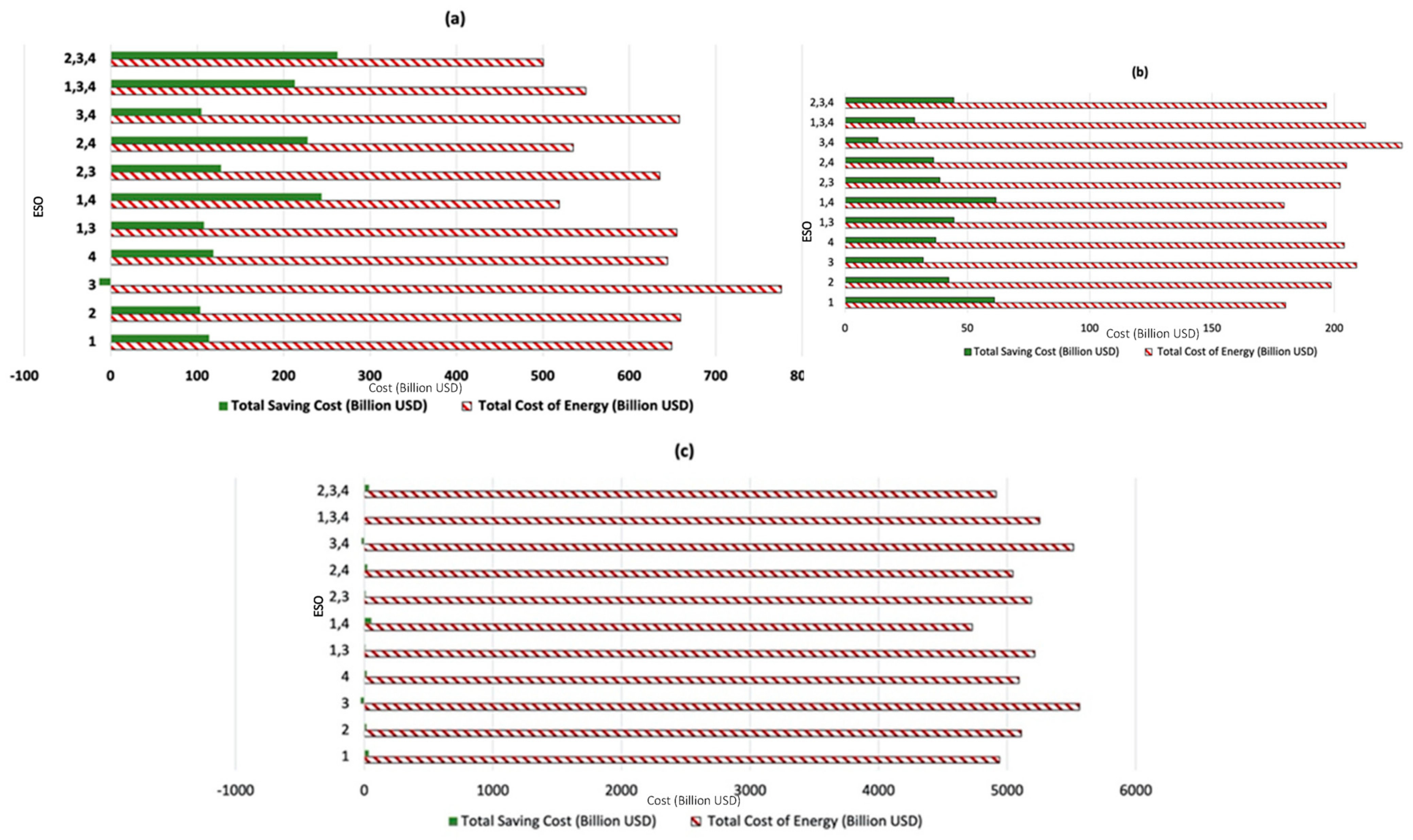
3.2.2. Evaluating the Performance of ESO Combinations Performance
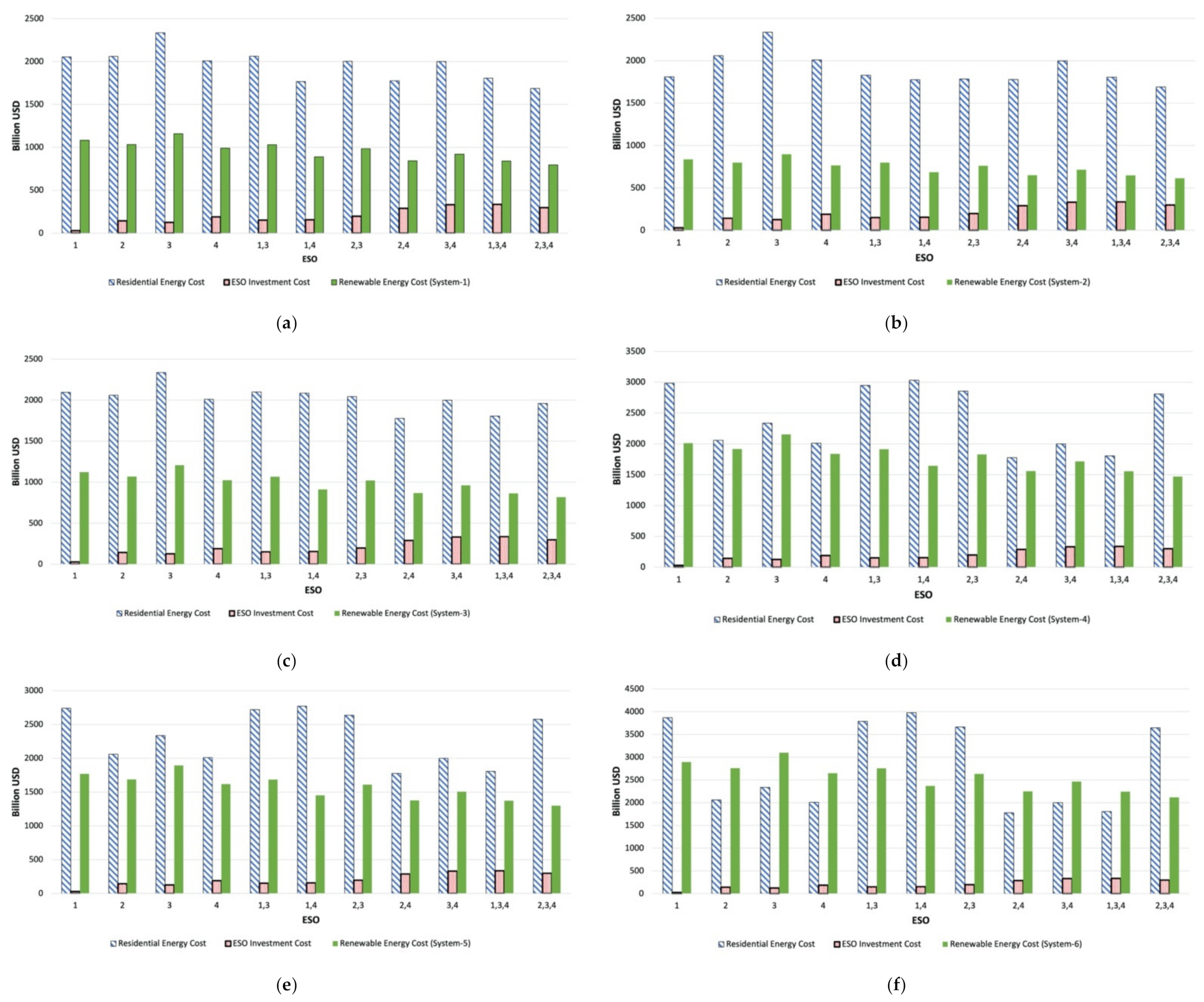
3.2.3. Performance of Building Energy Use
3.3. Government Contribution: Clean Energy Approach
3.3.1. Existing Clean Energy Actions in Saudi Arabia
3.3.2. Renewable Energy Cost in Saudi Arabia
- (1)
- Renewable energy generation;
- (2)
- Conventional energy generation;
- (3)
- Electricity distribution and transmission;
- (4)
- Energy conservation and management;
- (5)
- Energy storage;
- (6)
- Fuel cell and hydrogen;
- (7)
- Combustion.
3.3.3. Identification of Clean Energy Alternatives
- The total energy for the residential sector in Saudi Arabia is 143,000 GWh;
- The NDC’s goal is to cut 130 million tonnes of CO2e until 2030;
- CO2 factor for fossil fuel in Saudi Arabia is 0.5454;
- CO2 emissions of Fossil fuel in Saudi Arabia is 118 million metric tons of carbon;
- Petroleum products consumed 64.2% of fossil fuels;
- Residential building electricity tariff in Saudi Arabia is about 0.048 USD/kWh for energy consumption between 1 and 6000 kWh and 0.80 USD/kWh for energy consumption is more than 6000 kWh;
- International utility fuel production cost is estimated to be $0.1678 per kWh, and Saudi Arabia’s government subsidies of the electricity tariffs are around US$0.0479, which means 19.1 billion from 128.9 billion goes toward energy subsidies.
3.3.4. Sustainability Performance of Clean Energy Alternatives
4. Conclusions
- The solar radiation source is four to seven times greater than Europe;
- Expanding renewable energy programs by $30 to $50 billion including feasibility studies, actual initiatives, clean energy action, and focusing on clean technology research areas have been conducted in renewable energy. This has transformed the country into a healthy land for long-term investors
- Considering both the vertical and horizontal diversifications concepts toward renewable energy (e.g., using the vertical diversification concept) could lead to a potential development into a solar-to-renewable power generation plant in Saudi Arabia, which means utilizing the country’s mineral resources to expand in local renewable energy production and manufacture (Know-how) and exporting the outcome energy production to neighboring countries and Europe.
Author Contributions
Funding
Institutional Review Board Statement
Informed Consent Statement
Data Availability Statement
Conflicts of Interest
Appendix A. Population Prediction
| Year | Population | Yearly % | Yearly | Urban | Urban Population | Country’s Share of | World Population | Saudi Arabia |
|---|---|---|---|---|---|---|---|---|
| Change | Change | Pop % | World Pop | Global Rank | ||||
| 2050 | 44,562,476 | 0.42% | 182,728 | 91.40% | 40,708,624 | 0.46% | 9,735,033,990 | 46 |
| 2045 | 43,648,838 | 0.55% | 235,161 | 90.30% | 39,396,408 | 0.46% | 9,481,803,274 | 47 |
| 2040 | 42,473,031 | 0.67% | 279,931 | 89.20% | 37,878,811 | 0.46% | 9,198,847,240 | 44 |
| 2035 | 41,073,374 | 0.88% | 350,207 | 88.10% | 36,170,029 | 0.46% | 8,887,524,213 | 41 |
| 2030 | 39,322,338 | 1.09% | 414,684 | 86.80% | 34,142,975 | 0.46% | 8,548,487,400 | 42 |
| 2025 | 37,248,919 | 1.36% | 487,010 | 85.50% | 31,842,626 | 0.46% | 8,184,437,460 | 42 |
| 2020 | 34,813,871 | 1.88% | 619,241 | 84.00% | 29,255,576 | 0.45% | 7,794,798,739 | 41 |
| 2019 | 34,268,528 | 1.68% | 565,772 | 83.80% | 28,700,362 | 0.44% | 7,713,468,100 | 41 |
| 2018 | 33,702,756 | 1.82% | 601,577 | 83.50% | 28,133,138 | 0.44% | 7,631,091,040 | 41 |
| 2017 | 33,101,179 | 2.03% | 657,732 | 83.20% | 27,543,623 | 0.44% | 7,547,858,925 | 41 |
| 2016 | 32,443,447 | 2.29% | 725,780 | 83.00% | 26,918,214 | 0.43% | 7,464,022,049 | 41 |
| 2015 | 31,717,667 | 2.95% | 859,241 | 82.80% | 26,249,243 | 0.43% | 7,379,797,139 | 41 |
| 2010 | 27,421,461 | 2.86% | 721,056 | 82.10% | 22,512,101 | 0.39% | 6,956,823,603 | 45 |
| 2005 | 23,816,183 | 2.88% | 630,468 | 81.30% | 19,358,664 | 0.36% | 6,541,907,027 | 47 |
| 2000 | 20,663,843 | 2.08% | 405,011 | 80.20% | 16,579,826 | 0.34% | 6,143,493,823 | 49 |
| 1995 | 18,638,787 | 2.80% | 481,000 | 79.10% | 14,739,559 | 0.32% | 5,744,212,979 | 48 |
| 1990 | 16,233,785 | 4.35% | 622,958 | 77.00% | 12,503,513 | 0.30% | 5,327,231,061 | 51 |
| 1985 | 13,118,993 | 6.24% | 685,503 | 73.00% | 9,581,553 | 0.27% | 4,870,921,740 | 52 |
| 1980 | 9,691,476 | 5.49% | 454,397 | 66.20% | 6,415,124 | 0.22% | 4,458,003,514 | 61 |
| 1975 | 7,419,493 | 4.92% | 316,621 | 58.40% | 4,334,558 | 0.18% | 4,079,480,606 | 71 |
| 1970 | 5,836,389 | 3.80% | 198,551 | 48.70% | 2,840,506 | 0.16% | 3,700,437,046 | 76 |
| 1965 | 4,843,635 | 3.46% | 151,419 | 38.80% | 1,877,805 | 0.15% | 3,339,583,597 | 84 |
| 1960 | 4,086,539 | 2.81% | 105,677 | 31.30% | 1,277,054 | 0.13% | 3,034,949,748 | 83 |
| 1955 | 3,558,155 | 2.65% | 87,364 | 26.00% | 923,917 | 0.13% | 2,773,019,936 | 84 |
| Geographical Region | Detached Residential Building | Attached Residential Building | Low-Rise Apartment Building | Total | |||
|---|---|---|---|---|---|---|---|
| Villa | A Floor in Villa | Traditional House | A Floor in Traditional House | Other | |||
| Central | 3,499,233 | 2,060,644 | 1,196,786 | 422,082 | 765,429 | 6,194,623 | 14,138,797 |
| Western | 726,678 | 440,625 | 3,479,207 | 401,604 | 630,561 | 9,576,672 | 15,255,347 |
| Eastern | 1,274,349 | 410,142 | 455,301 | 150,324 | 213,422 | 3,682,621 | 6,186,159 |
| Southern | 819,437 | 740,376 | 1,657,696 | 322,766 | 177,045 | 2,874,929 | 6,592,249 |
| Northern | 186,155 | 132,197 | 629,285 | 92,096 | 152,741 | 1,197,448 | 2,389,923 |
| Total | 6,505,852 | 3,783,984 | 7,418,276 | 1,388,872 | 1,939,199 | 23,526,293 | 44,562,476 |

Appendix B. Energy Analysis Systems Suite the Environment in Saudi Arabia
- (i)
- Increasing production capacities of the industrial sector;
- (ii)
- Enhancing the quality of the services sector;
- (iii)
- Developing the non-oil based economic activities in non-oil sectors;
- (iv)
- Encourage the private sector to invest in energy sources projects;
- (v)
- Encourage non-oil exports;
- (vi)
- Developing low-water-consuming agricultural products and fishing products;
- (vii)
- Developing local and foreign strategic partnerships to introduce investment program that contributes into the economic diversification.
- (i)
- Economic diversification initiatives;
- (ii)
- Climate change initiatives;
- (iii)
- R&D activities on climate change;
- (iv)
- Attempts to reduce impacts of international climate change policy responses.
- (i)
- Energy efficiency & renewable energy;
- (ii)
- Carbon capture, utilization, and storage;
- (iii)
- Utilization of gas;
- (iv)
- Methane recovery;
- (i)
- Water and wastewater management;
- (ii)
- Urban planning;
- (iii)
- Marine protection;
- (iv)
- Reduced desertification;
- (v)
- Integrated Coastal Zone Management Plan (ICZMP);
- (vi)
- Early Warning Systems (EWS);
- (vii)
- Integrated Water Management Plan (IWMP)
Appendix C. Research and Development in Saudi Arabia
| Responsible Source | Research Proposal | Location | Research Note |
|---|---|---|---|
| Saudi Aramco | The company established a fuel research center to develop more efficient combustion engines using modification petroleum formulations methods. | Paris, France | [59] |
| Saudi Aramco | The company established the Mobility Center to deploy and engage with automobile manufacturers in the USA to find suitable technological solutions to reduce the carbon emissions that cause by automobile products. | Detroit, USA | [59] |
| Ministry of Education | The Ministry has initiated to established centers of research excellence in clean technologies. | - | Ministry of Education |
| King Abdulaziz City of Science and Technology (KACST) | The center builds an infrastructure to support the scientific community through managing research grants, the availability of databases, and executing applied research. | KACST | [60] |
| King Abdulaziz City of Science and Technology (KACST) | Establishing a long-term initial program to encourage local technology projects through the National Science, Technology, and Innovation Center. | Technology Development Center, KACST | KACST |
| Massachusetts Institute of Technology (MIT) and KFUPM | The Center for Clean Water and Clean Energy was established to research desalination, low carbon energy, and applied research and manufacturing. The center granted achievement in the water field for more than 20 IPs and three new technologies. | MIT | KFUPM |
| KACST and Advance Water Technology Company (AWTC) | The institutions signed an agreement to study solar water desalination plants based on planning the design and construction. This plant production capacity of 60,000 cubic meters/day. | Al Khafaji | [57] |
| The center for Clean Water and Clean Energy | The center collaborates between these two academic institutions to manage research for new technology to enhance freshwater production and low carbon energy. | MIT and KFUPM | KFUPM |
| Center of Research Excellence in Renewable Energy | The center aims to collaborate with other institutions to enhance the science and technology related to renewable energy in significant solar cells, solar cooling, heating PV, and energy storage. | KFUPM | KFUPM |
Appendix D. Energy-Saving Regulation and Policy Actions in Saudi Arabia
| Initiative/Responsible Sector | Actions |
|---|---|
| National Strategy: smart meters and smart grids | Improving the reliability of the networking system and the quality of service. Also, increasing the efficiency of the option. Enhancing and utilizing assets, the benefits of the initiative are: Reduce complaints Reduce the cost of reading the meters Providing additional services to consumers The flexibility of renewable energy integration into the system [63] |
| King Abdullah City for Atomic and Renewable Energy (KACARE) | ECRA conducted a framework study for electricity generation activities, a heat recovery steam generator, and water desalination by applying atomic and renewable energy [64]. |
| Ministry of Energy, Industry, and Mineral Resources (MEIM) | MEIM is seeking to reduce the peak demand to target the large air condition loads to incorporate thermal energy storage systems through establishing a demand-side management program [65]. |
| Saudi Electricity Company | The private sector contributes to the new power generation projects while reorganizing the electricity sector into three main sectors: generation, transmission, and distribution. |
| Energy Conservation and Awareness Department in MEIM | The department implements energy conservation initiatives: Enabling commercial, governmental, agricultural, and industrial sectors to reduce energy consumption and shift peak loads. Prohibition of irrigation during peak load times in the agriculture sector. Initiate Energy Conservation and Load Management Consumers Guide. Promoting Public awareness of energy conservation throughout workshops and meetings. Promoting energy conservation procedures and load reduction tools to the primary consumers in the governmental sector [66]. |
| Power Generation Sector | Adapting combined-cycle operation through: Can reduce the fuel consumption by converting inefficient single-cycle gas turbines to the combined- cycle [67]. Increase the electricity generation from 35 generators in 2005 to 74 generators in 2014. Thus the cogeneration entities’ capacities in 2013 were 15,375 MW of electricity, 5,240,001 m3/day of water, and 14,374 ton/hour of steam [64]. |
| Petroleum Sector | Reasonable use of energy resources: Energy conservation savings program saves 112.81 thousand barrels eq. Per day between 2000 to 2010. Also, it saved approximately 170 million cubic feet of gas per day in 2013. The energy conservation program is responsible for reducing 3% of refining energy intensity in 2014. To eliminate gas flaring and liquid hydrocarbon by using zero-discharge technology at onshore and offshore well-site, it minimized the flaring from 0.89% to 0.72% in all upstream in 2013. Resulting in a reasonable use in the operations sector by 160.85 thousand barrels of oil eq. Per day between 2002 to 2014 [68]. |
| Petrochemical Sector | Implementing SEEC’s energy efficiency standards: Achieving reduction compare by 2010 and 2013 in GHG intensity by 2% to 5% energy consumption intensity, 5% water consumption intensity, and 10% material loss intensity [69]. Reduction in GHG emissions by 15% and 9% in energy consumption by retooling boilers and upgrading in the operational phase [69]. Reducing GHG emissions by 125,000 tonnes and saving 784,000 GJ of energy yearly by processing vent gas reutilization projects [70]. Saving 99 thousand ton/year of natural gas and 4.160 million GJ/year of energy consumption reduction and 229 thousand CO2e/year of GHG emissions reduction, and 1.040 million ton/year of additional steam through high-pressure steam extraction implementation [70]. |
| Buildings Sector | Adaptation of Green Building concept: Recently, the country has more than 300 green building projects and 20 million m2 occupied area by green building in 2014. The country plans to build 90,000 eco-environment mosques using renewable energy sources [12]. |
Appendix E. Clean Energy Technology in Saudi Arabia
| Clean Energy System | Responsible Sector | Clean Energy Action | Location/Date | Capacity | Resource |
|---|---|---|---|---|---|
| Solar system | Energy Project Development Office (REPDO) of Kingdom’s Ministry of Energy, Industry and Mineral Resources (MEIMR) | The department has licensed several companies for this project | Sakaka city, AlJouf | 300 MW | Kingdom’s Ministry of Energy, Industry and Mineral Resources (MEIMR) |
| solar thermal plant | (REPDO) in (MEIMR) | The department has qualified several companies for this project | Riyadh, 2012 | 25 MWh | Kingdom’s Ministry of Energy, Industry and Mineral Resources (MEIMR) |
| Solar system | The General Authority of Civil Aviation (GACA) | GACA established ground-mounted of the solar system for long term clean energy approach | GACA, June 2013 | 9.3 GWh/year | The General Authority of Civil Aviation (GACA) |
| Solar system | Saudi Electric Company (SEC) and Showa Shell Sekiyu | Both companies commissioned a pilot | Farasan Island, Jazan, 2011 | 864 MWh/year | Saudi Electric Company (SEC) |
| Solar system | Saudi ARAMCO | The car park mounted the system in the company location | Saudi ARAMCO, 2012 | 17.5 GWh/year | Saudi ARAMCO |
| Solar system | Saudi ARAMCO | The company established the solar park and installed around 130 solars to powered lighting bollards and powered streetlight in the campus residential compound | King Abdullah University of Science & Technology (KAUST) | - | Saudi ARAMCO |
| Solar system | Saudi ARAMCO | The company assigned a ground-mounted solar system | King Abdullah Petroleum Studies and Research Center (KAPSARC), 2013 | 5.8 GWh/year | Saudi ARAMCO |
| Solar system | Saudi ARAMCO | The company assigned the second project the ground-mounted solar system | King Abdullah Petroleum Studies and Research Center (KAPSARC), 2014 | 3 GWh/year | Saudi ARAMCO |
| Solar system | Saudi ARAMCO | The company assigned a solar rooftop-mounted array | King Abdullah Financial District Riyadh, 2012 | 330 MWh/year | Saudi ARAMCO |
| Utility-scale solar plant | Saudi Arabia Government | The Government assign the project | Makkah, 2018 | 385 GWh/year | Saudi ARAMCO |
| Wind system | Saudi Arabia Government | The Government developed a renewable energy atlas for collecting wind resources monitoring data for developers, researchers, and stakeholder | Saudi Arabia | 40 sites throughout the Kingdom | [71] |
| Wind system | Saudi ARAMCO | The company planned to install the system at its facility | Turaif | 3.3 MW | Saudi ARAMCO |
| Wind system | Saudi ARAMCO | The company planned to install two wind turbines to generate power for the communication towers | Two different remote location | 6 KW | Saudi ARAMCO |
| Wind Farm | Energy Project Development Office (REPDO) of Kingdom’s Ministry of Energy, Industry and Mineral Resources (MEIMR) | The Government has qualified several companies to build the system | Midyan | 400 MW | Kingdom’s Ministry of Energy, Industry and Mineral Resources (MEIMR) |
| natural gas with solar systems | Saudi Arabian Government | The Government planned to build a power plant of natural gas-fired integrated with solar combined cycle | Saudi Arabia, 2017 | 550 MW + 50 MW | Saudi ARAMCO |
| Solar system | First Energy Bank and Vinmar International Company | The companies announced a plan to build a polysilicon plant to meet the growing demand for the system | Saudi Arabia | 7500 tons/year | Saudi ARAMCO |
| Solar system | IDEA Polysilicon Company and Solar Wafers Company | The companies will build high purity polysilicon plant and wafers | Yanbu Industrial City | 10,000 tons/year | Saudi ARAMCO |
| Solar system | KFUPM | A research team at the institution won the World Solar Challenge in 2011 by manufacturing a solar vehicle. | Australia | cruising speed was 80 km/h with a max speed was 140 km/h | KFUPM |
Appendix F. Feasibility Study Projects for Future Clean Energy Technology in Saudi Arabia
| Clean Energy System | Feasibility Study Project | System Location | Cost of Energy (COE)/Unit Energy | Resources |
|---|---|---|---|---|
| PV | By using 2 kW convertors & 7 Batteries | Yanbu Region, Saudi Arabia | 0.609 $/kWh | [72,73] |
| wind-photovoltaic (PV)-fuel cell (FC) (Cost of Energy) | - | Abha Region, Saudi Arabia | 208 $/kWh | [74,75] |
| Wind-PV-FC (Cost of Hydrogen) | - | Abha Region, Saudi Arabia | 43.1 $/kg | [49,76] |
| Wind | economic feasibility study of 600 kW wind power plants in the coastal areas | Al- Wajh, Jeddah, Yanbu and Jizan, Saudi Arabia | 0.0594 $/kWh | [49,76,77] |
| Wind-PV with Diesel Hybrid | economic feasibility study of 500 kW of PV and 4 Diesel generators system | North-Eastern region, Saudi Arabia | 0.038 $/kWh | [78] |
| Wind-PV with Battery Storage | Studied the performance of loading demand of 1 kW for 12 h/day in 2 wind turbines-40PV modules-6 batteries system | Dhahran, Saudi Arabia | 0.624 $/kWh | [79] |
| Wind-PV with Diesel | Feasibility studied of 3-wind turbines each 600 kW/1000 kW PV panels/4-Diesel Generators system | The village, Saudi Arabia | 0.212 $/kWh | [73] |
| Wind-PV with Diesel | Studied the electrical energy demand of 15,943 MWh yearly in the remote village | Rawdhat Bin Habbas, Saudi Arabia | 0.118 $/kWh | [80] |
| Wind-PV | The government initiate projects planning | Ten remote locations across Saudi Arabia | 300 MW | [68] |
| Wind | Provided the data collection and in the western region through Global Wind Energy | Red Sea shore | 20 MW | [81] |
| Geothermal | Studies show that the Jazan province characteristic of high heat flow and high geothermal gradient | Jazan province | 134 × 106 kWh | [82] |
| Geothermal | The study conducted there is a potential of geothermal resource | Al-Kouba, Jazan | 17.847 MWh | [83] |
| Geothermal | The location has the most potential geothermal resource | Wadi Al-Lith | 1.713 × 1017 J + 26.99 MWh | [84] |
References
- Ahmed, W.; Fardan, H.; Asif, M. Integration of building energy modeling in the design process to improve sustainability standards in the residential sector—Case study of the Eastern Province of Saudi Arabia. In Proceedings of the 2017 IEEE International Conference on Smart Energy Grid Engineering (SEGE), Oshawa, ON, Canada, 14–17 August 2017; pp. 309–314. [Google Scholar]
- Alrashed, F.; Asif, M. Trends in Residential Energy Consumption in Saudi Arabia with Particular Reference to the Eastern Province. J. Sustain. Dev. Energy Water Environ. Syst. 2014, 2, 376–387. [Google Scholar] [CrossRef]
- Tiseo, I. Carbon Dioxide Emissions from Fossil Fuel and Industrial Purposes in Saudi Arabia from 1990 to 2018. 2020. Available online: https://www.statista.com/statistics/486065/co2-emissions-saudi-arabia-fossil-fuel-and-industrial-purposes/ (accessed on 20 February 2021).
- Alhashmi, M.; Haider, H.; Hewage, K.; Sadiq, R. Energy Efficiency and Global Warming Potential in the Residential Sector: Comparative Evaluation of Canada and Saudi Arabia. J. Arch. Eng. 2017, 23, 04017009. [Google Scholar] [CrossRef]
- Harris, J.; Diamond, R.; Iyer, M.; Payne, C.; Blumstein, C.; Siderius, H.-P. Towards a sustainable energy balance: Progressive efficiency and the return of energy conservation. Energy Effic. 2008, 1, 175–188. [Google Scholar] [CrossRef]
- Acemoglu, D.; Zilibotti, F. Was Prometheus Unbound by Chance? Risk, Diversification, and Growth. J. Politi Econ. 1997, 105, 709–751. [Google Scholar] [CrossRef]
- Dornbusch, B.R.; Fischer, S.; Samuelson, P.A. American Economic Association Comparative Advantage, Trade, and Payments in a Ricardian Model with a Continuum of Goods. Am. Econ. Rev. 1977, 67, 823–839. [Google Scholar]
- Södersten, B.; Burenstam-Linder, S. An Essay on Trade and Transformation. Èkon. Tidskr. 1961, 63, 284. [Google Scholar] [CrossRef]
- Office for Official Publications of the European Communities. Green Paper on Energy Eficiency or Doing More with Less; Document 52005DC0265; Office for Official Publications of the European Communities: Brussels, Belgium, 2005. [Google Scholar]
- Kuronen, M.; Junnila, S.; Majamaa, W.; Niiranen, I. Public-Private-People Partnership as a Way to Reduce Carbon Dioxide Emissions from Residential Development. Int. J. Strat. Prop. Manag. 2010, 14, 200–216. [Google Scholar] [CrossRef]
- Ruparathna, R.; Hewage, K.; Sadiq, R. Improving the energy efficiency of the existing building stock: A critical review of commercial and institutional buildings. Renew. Sustain. Energy Rev. 2016, 53, 1032–1045. [Google Scholar] [CrossRef]
- Zatari, T.M.; Alsarhan, M.A.; UNFCCC. Third National Communication of the Kingdom of Saudi Arabia. The United Nations Framework Convention on Climate Change. 2016. Available online: https://unfccc.int/files/national_reports/non-annex_i_natcom/application/pdf/saudi_arabia_nc3_22_dec_2016.pdf (accessed on 24 February 2021).
- Chhipi-Shrestha, G.; Hewage, K.; Sadiq, R. Impacts of neighborhood densification on water-energy-carbon nexus: Investigating water distribution and residential landscaping system. J. Clean. Prod. 2017, 156, 786–795. [Google Scholar] [CrossRef]
- Kuosmanen, T.; Kortelainen, M. Valuing environmental factors in cost–benefit analysis using data envelopment analysis. Ecol. Econ. 2007, 62, 56–65. [Google Scholar] [CrossRef]
- Crawford, R.H.; Czerniakowski, I.; Fuller, R.J. A comprehensive framework for assessing the life-cycle energy of building construction assemblies. Arch. Sci. Rev. 2010, 53, 288–296. [Google Scholar] [CrossRef]
- Alhashmi, M.; Chhipi-shrestha, G.; Ruparathna, R.; Nahiduzzaman, K.; Kasun, H.; Sadiq, R. Energy Performance Assessment Framework for Residential Buildings in Saudi Arabia. Sustainability 2021, 13, 2232. [Google Scholar] [CrossRef]
- Wang, C.; Zhang, S.H.; Wang, P.F.; Hou, J.; Zhang, W.J.; Li, W.; Lin, Z.P. The effect of excess Zn on mineral nutrition and antioxidative response in rapeseed seedlings. Chemosphere 2009, 75, 1468–1476. [Google Scholar] [CrossRef]
- Aljarboua, Z. The national energy strategy for Saudi Arabia. World Acad. Sci. Eng. Technol. 2009, 33, 501–510. [Google Scholar] [CrossRef]
- Goldenberg, S. Conservative Thinktanks Step Up Attacks Against Obama’s Clean Energy Strategy, 8–10. 2012. Available online: http://www.wwnw.org/uploads/home/Guardianstory050812.pdf (accessed on 12 January 2021).
- Kotzebue, J.R.; Weissenbacher, M. The EU’s Clean Energy strategy for islands: A policy perspective on Malta’s spatial governance in energy transition. Energy Policy 2020, 139, 111361. [Google Scholar] [CrossRef]
- Al-Sharafi, A.; Sahin, A.Z.; Ayar, T.; Yilbas, B.S. Techno-economic analysis and optimization of solar and wind energy systems for power generation and hydrogen production in Saudi Arabia. Renew. Sustain. Energy Rev. 2017, 69, 33–49. [Google Scholar] [CrossRef]
- Ko, W.; Al-Ammar, E.; Almahmeed, M. Development of Feed-in Tariff for PV in the Kingdom of Saudi Arabia. Energies 2019, 12, 2898. [Google Scholar] [CrossRef]
- Hu, G.; Mian, H.R.; Kaur, M.; Hager, J.; Hewage, K.; Sadiq, R. Optimization of Wastewater Treatment for Small Canadian Communities: An Integrated Fuzzy AHP and Grey Relational Analysis Approach; Technical Report; School of Engineering, University of British Columbia: Vancouver, BC, Canada, 2018. [Google Scholar]
- Esangbedo, M.O.; Che, A. Grey Weighted Sum Model for Evaluating Business Environment in West Africa. Math. Probl. Eng. 2016, 2016, 1–14. [Google Scholar] [CrossRef][Green Version]
- General Authority for Statistics. Housing Bulletin Semi Annual; General Authority for Statistics: Riyadh, Saudi Arabia, 2018. [Google Scholar]
- Almazroui, M.; Islam, M.N.; Saeed, S.; Saeed, F.; Ismail, M. Future Changes in Climate over the Arabian Peninsula based on CMIP6 Multimodel Simulations. Earth Syst. Environ. 2020, 4, 611–630. [Google Scholar] [CrossRef]
- Environment Canada. Recent climate change in the Arabian Peninsula: Seasonal rainfall and temperature climatology of Saudi Arabia for 1979-2009. Climate 2016, 3, 578–626. [Google Scholar]
- Krishna, L. Long Term Temperature Trends in Four Different Climatic Zones of Saudi Arabia. Int. J. Appl. Sci. Technol. 2014, 4, 233–242. [Google Scholar]
- Almazroui, M.; Islam, P.D.M.N.; Jones, P.; Athar, H.; Rahman, M.A. Recent climate change in the Arabian Peninsula: Seasonal rainfall and temperature climatology of Saudi Arabia for 1979–2009. Atmos. Res. 2012, 111, 29–45. [Google Scholar] [CrossRef]
- bp Solar. 50 Watt Photovoltaic Module Bp 350. 2020. Available online: www.bpsolar.com (accessed on 1 January 2021).
- Sun Xtender. PVX-2120L Solar Battery (Volume 76). 2009. Available online: www.sunxtender.com (accessed on 19 February 2021).
- Wogan, D.; Carey, E.; Cooke, D. Policy Pathways to Meet Saudi Arabia’s Contributions to the Paris Agreement; Technical Report; The King Abdullah Petroleum Studies and Research Center: Riyadh, Saudi Arabia, August 2019; p. 28. [Google Scholar]
- Wogan, D.; Carey, E.; Cooke, D. Policy Pathways to Meet Saudi Arabia’s Contribution to the Paris Agreement; Technical Report; The King Abdullah Petroleum Studies and Research Center: Riyadh, Saudi Arabia, February 2019; p. 44. [Google Scholar]
- Alegana, V.A.; Atkinson, P.; Pezzulo, C.; Sorichetta, A.; Weiss, D.; Bird, T.; Erbach-Schoenberg, E.; Tatem, A.J. Fine resolution mapping of population age-structures for health and development applications. J. R. Soc. Interface 2015, 12, 20150073. [Google Scholar] [CrossRef]
- Climate Transparency. Brown to Green: The G20 Transition to a Low-Carbon Economy—Saudi Arabia. 2018. Available online: https://www.climate-transparency.org/wp-content/uploads/2019/01/2018-BROWN-TO-GREEN-REPORT-FINAL.pdf (accessed on 20 January 2021).
- Chen, C.; Noble, I.; Hellmann, J.; Coffee, J.; Murillo, M.; Chawla, N.R. University of Notre Dame Global Adaptation Index Country Index Technical Report; University of Notre Dame: Notre Dame, IN, USA, 2015. [Google Scholar]
- CDIAC. Saudi Arabia Fossil-Fuel CO2 Emissions. 2019. Available online: https://cdiac.ess-dive.lbl.gov/trends/emis/tre_sau.html (accessed on 23 January 2021).
- United States Environmental Protection Agency. Greenhouse Gas Equivalencies Calculator. 2020. Available online: https://www.epa.gov/energy/greenhouse-gas-equivalencies-calculator (accessed on 25 January 2021).
- International Energy Agency. Key World Energy Statistics 2014. Available online: https://www.oecd-ilibrary.org/energy/key-world-energy-statistics-2014_key_energ_stat-2014-en (accessed on 27 January 2021).
- Krarti, M.; Dubey, K.; Howarth, N. Evaluation of building energy efficiency investment options for the Kingdom of Saudi Arabia. Energy 2017, 134, 595–610. [Google Scholar] [CrossRef]
- Saudi Energy Efficiency Center About SEEC. 2020. Available online: https://www.seec.gov.sa/en/content/objective (accessed on 3 January 2021).
- Saudi Energy Efficiency Center About SEEP. 2020. Available online: https://www.seec.gov.sa/en/content/about-program (accessed on 3 January 2021).
- Electricity & Congeneration Regulatory Authority. Electricity Industry Restructuring Plan. 2020. Available online: https://www.ecra.gov.sa/en-us/AboutECRA/pages/Mission.aspx (accessed on 2 February 2021).
- Saudi Aramco. The Many Layers of Opportunity. 2016. Available online: https://www.aramco.com/-/media/publications/corporate-reports/2016-annualreview-full-en.pdf (accessed on 4 February 2021).
- Aramco, S. Energy Is Opportunity. Annu. Rev. 2013, 53, 1689–1699. [Google Scholar] [CrossRef]
- SABIC. Together for Success. 2017. Available online: https://www.sabic.com/assets/en/Images/SABIC_SR_FINAL_2018_tcm1010-18598.pdf (accessed on 6 February 2021).
- Saudi Arabian Monetary Authority. Saudi Arabia Short Term Interest Rate. 2020. Available online: https://www.ceicdata.com/en/indicator/saudi-arabia/short-term-interest-rate (accessed on 7 February 2021).
- Jun, H. Saudi Arabia’s Domestic Energy Situation and Policy: Focusing on Its Power Sector. Kyoto Bull. Islam. Area Stud. 2013, 6, 107–135. [Google Scholar]
- Alrashed, F.; Asif, M. Analysis of critical climate related factors for the application of zero-energy homes in Saudi Arabia. Renew. Sustain. Energy Rev. 2015, 41, 1395–1403. [Google Scholar] [CrossRef]
- Ministry of Industry and Mineral Resources. Saudi Arabia National Renewable Energy Program National Renewable Energy Program. 2018. Available online: https://ksa-climate.com/wp-content/uploads/2018/12/Saudi-Arabia-National-Renewable-Energy-Program.pdf (accessed on 13 February 2021).
- Rahman, F.; Rehman, S.; Abdul-Majeed, M.A. Overview of energy storage systems for storing electricity from renewable energy sources in Saudi Arabia. Renew. Sustain. Energy Rev. 2012, 16, 274–283. [Google Scholar] [CrossRef]
- El Khashab, H.; Al Ghamedi, M. Comparison between hybrid renewable energy systems in Saudi Arabia. J. Electr. Syst. Inf. Technol. 2015, 2, 111–119. [Google Scholar] [CrossRef]
- Eltamaly, A.M.; Mohamed, M.A.; Alolah, A.I. A novel smart grid theory for optimal sizing of hybrid renewable energy systems. Sol. Energy 2016, 124, 26–38. [Google Scholar] [CrossRef]
- Mas’ud, A.A. An optimal sizing algorithm for a hybrid renewable energy system. Int. J. Renew. Energy Res. 2017, 7, 1595–1602. [Google Scholar]
- Mohamed, M.A.; Eltamaly, A.M.; Alolah, A.I. PSO-Based Smart Grid Application for Sizing and Optimization of Hybrid Renewable Energy Systems. PLoS ONE 2016, 11, e0159702. [Google Scholar] [CrossRef] [PubMed]
- Designated National Authority. The First Biennial Update Report: Kingdom of Saudi Arabia. 2018. Available online: https://unfccc.int/sites/default/files/resource/FSV_Saudi%20Arabia_COP25_Madrid.pdf (accessed on 10 February 2021).
- Oxford Business Group. Expansion Ahead Ongoing Development Six Economic Cities Focus Non-Oil Growth. 2017. Available online: https://www.oxfordbusinessgroup.com/overview/expansion-ahead-ongoing-development-six-economic-cities-focus-non-oil-growth%0A (accessed on 14 January 2021).
- Defignated National Authority. The First Biennial Update Report Kingdon of Saudi Arabia. 2018. Available online: https://unfccc.int/sites/default/files/resource/18734625_Saudi%20Arabia-BUR1-1-BUR1-Kingdom%20of%20Saudi%20Arabia.pdf (accessed on 14 February 2021).
- Gaafar, A.; Iqniebi, A.; Sheereen, A.; Eldali, A.; Turpeinen, H.; Adra, C.; Al Meshari, K.; Al Hussein, K. Study of the cytokine polymorphisms in correlation to rejection and graft survival in renal allograft donors and recipients from a homogenous Saudi population. Transpl. Immunol. 2014, 30, 34–39. [Google Scholar] [CrossRef]
- Khorsheed, M.S.; Al-Fawzan, M.A.; Al-Hargan, A. Promoting techno-entrepreneurship through incubation: An overview at BADIR program for technology incubators. Innovation 2014, 16, 238–249. [Google Scholar] [CrossRef]
- Jadwa Investment. Natural Gas and the Vision 2030 Summary. 2016. Available online: http://www.jadwa.com (accessed on 2 February 2021).
- Climate Action Tracker. Saudi Arabia. 2019. Available online: https://climateactiontracker.org/countries/saudi-arabia/ (accessed on 5 January 2021).
- Ontario Power Authority. Look for These Energy-Efficient Features when Buying a New Home. 2007. Available online: https://www.saveonenergy.ca (accessed on 19 February 2021).
- Electricity and Cogeneration Regulatory Authority. Electricity Service Guide Saudi Arabia. 2019. Available online: https://www.ecra.gov.sa/en-us/ECRARegulations/Evidences/Evidences/Electricity%20Service%20Guide.pdf (accessed on 20 February 2021).
- Ministry of Energy, Industry, and M.R. Energy Action. 2020. Available online: https://www.meim.gov.sa/arabic/Pages/default.aspx (accessed on 10 February 2021).
- Saudi Energy Efficiency Center. Saudi Energy Efficiency Program. 2018. Available online: https://cdn.ymaws.com/www.linkme.qa/resource/resmgr/Presentations/Saudi_Energy_Efficiency_Prog.pdf (accessed on 22 February 2021).
- Matar, W.; Murphy, F.; Pierru, A.; Rioux, B.; Wogan, D. Efficient industrial energy use: The first step in transitioning Saudi Arabia’s energy mix. Energy Policy 2017, 105, 80–92. [Google Scholar] [CrossRef]
- Saudi Aramco. Annual Review. 2014. Available online: https://www.aramco.com/-/media/publications/corporate-reports/ar-2014-saudiaramco-english-full.pdf (accessed on 24 February 2021).
- SABIC. From Challenge to Achivement. 2013. Available online: https://www.annualreports.com/HostedData/AnnualReportArchive/s/sabic_2013.pdf (accessed on 25 February 2021).
- SABIC. VISION & PERFORMANCE. 2011. Available online: https://www.sabic.com/assets/zh/Images/SABIC-Annual-Report-ENGLISH_tcm11-12625.pdf (accessed on 26 February 2021).
- AlYahya, S.; Irfan, M.A. Analysis from the new solar radiation Atlas for Saudi Arabia. Sol. Energy 2016, 130, 116–127. [Google Scholar] [CrossRef]
- Mokheimer, E.M.A.; Al-Sharafi, A.; Habib, M.A.; Alzaharnah, I. A New Study for Hybrid PV/Wind off-Grid Power Generation Systems with the Comparison of Results from Homer. Int. J. Green Energy 2014, 12, 526–542. [Google Scholar] [CrossRef]
- Rehman, S.; Alam, M.; Meyer, J.; Al-Hadhrami, L.M. Feasibility study of a wind–pv–diesel hybrid power system for a village. Renew. Energy 2012, 38, 258–268. [Google Scholar] [CrossRef]
- Elhadidy, M. Performance evaluation of hybrid (wind/solar/diesel) power systems. Renew. Energy 2002, 26, 401–413. [Google Scholar] [CrossRef]
- Rehman, S. Wind energy resources assessment for Yanbo, Saudi Arabia. Energy Convers. Manag. 2004, 45, 2019–2032. [Google Scholar] [CrossRef]
- Shaahid, S.; Al-Hadhrami, L.; Rahman, M. Economic feasibility of development of wind power plants in coastal locations of Saudi Arabia—A review. Renew. Sustain. Energy Rev. 2013, 19, 589–597. [Google Scholar] [CrossRef]
- Brander, A.M. Overview: Global Tracking Framework. World Bank 2013, 2, 40. [Google Scholar]
- Rehman, S.; El-Amin, I. Study of a Solar Pv/Wind/Diesel Hybrid Power System for a Remotely Located Population near Arar, Saudi Arabia. Energy Explor. Exploit. 2015, 33, 591–620. [Google Scholar] [CrossRef]
- Mokheimer, E.M.; Sahin, A.Z.; Al-Sharafi, A.; Ali, A.I. Modeling and optimization of hybrid wind–solar-powered reverse osmosis water desalination system in Saudi Arabia. Energy Convers. Manag. 2013, 75, 86–97. [Google Scholar] [CrossRef]
- Shaahid, S.; El-Amin, I. Techno-economic evaluation of off-grid hybrid photovoltaic–diesel–battery power systems for rural electrification in Saudi Arabia—A way forward for sustainable development. Renew. Sustain. Energy Rev. 2009, 13, 625–633. [Google Scholar] [CrossRef]
- GWEC. Global Wind Energy Council Report 2018. Wind Global Council Energy, (April), 1–61. 2019. Available online: www.gwec.net (accessed on 17 January 2021).
- Rathnaweera, T.; Ranjith, P.; Perera, S.; Haque, A.; Lashin, A.; Al-Arifi, N.; Chandrasekharam, D.; Yang, S.-Q.; Xu, T.; Wang, S.; et al. CO2-induced mechanical behaviour of Hawkesbury sandstone in the Gosford basin: An experimental study. Mater. Sci. Eng. A 2015, 641, 123–137. [Google Scholar] [CrossRef]
- Lashin, A.; Al Arifi, N. Geothermal energy potential of southwestern of Saudi Arabia “exploration and possible power generation”: A case study at Al Khouba area—Jizan. Renew. Sustain. Energy Rev. 2014, 30, 771–789. [Google Scholar] [CrossRef]
- Hussein, Z.; Hertel, T.; Golub, A. Climate change mitigation policies and poverty in developing countries. Environ. Res. Lett. 2013, 8, 035009. [Google Scholar] [CrossRef]














| Geographical Region | Detached Residential Building | Attached Residential Building | Apartment | |||||
|---|---|---|---|---|---|---|---|---|
| Villa | Floor in Villa | Total | Traditional House | A Floor in Traditional House | Other | Total | ||
| Central | 560,329 | 329,969 | 890,297 | 191,640 | 67,588 | 122,567 | 381,795 | 991,939 |
| Western | 116,362 | 70,557 | 186,919 | 557,122 | 64,308 | 100,971 | 722,401 | 1,533,503 |
| Eastern | 204,060 | 65,676 | 269,736 | 72,907 | 24,071 | 34,175 | 131,153 | 589,694 |
| Southern | 131,216 | 118,556 | 249,771 | 265,445 | 51,684 | 28,350 | 345,479 | 460,359 |
| Northern | 29,809 | 21,169 | 50,977 | 100,767 | 14,747 | 24,458 | 139,972 | 191,746 |
| Total | 1,041,776 | 605,926 | 1,647,701 | 1,187,881 | 222,399 | 310,522 | 1,720,802 | 3,767,242 |
| Pro-Economic Scenario: Cost > GHG > Energy | Weights | |||
| Pair-Wise Comparison Matrix | ||||
| Criteria | Energy | GHG | Cost | |
| Energy | 1 | 0.33 | 0.14 | 9% |
| GHG | 3.00 | 1 | 0.33 | 24% |
| Cost | 7 | 3 | 1 | 67% |
| Pro-Environmental Scenario: Energy > GHG > Cost | Weights | |||
| Pair-Wise Comparison Matrix | ||||
| Criteria | Energy | GHG | Cost | |
| Energy | 1 | 5 | 7 | 73% |
| GHG | 0.20 | 1 | 3 | 19% |
| Cost | 0.14 | 0.33 | 1 | 8% |
| Plan/Program | Initiatives |
|---|---|
| Saudi Energy Efficiency Center (SEEC) | Establishing a national energy efficiency program. Recommended energy efficiency policies and regulations. Promote awareness about energy efficiency [41]. |
| Saudi Energy Efficiency Program (SEEP) | SEEP is designing and implementing energy efficiency initiatives and focusing on three sectors: buildings, transport, and industry [42]. Improving Saudi Arabia’s energy efficiency using a bottom-up approach. Involve all stakeholders from inception. Enhancing setting targets of the collection of data and their enforcement. |
| Electricity and Cogeneration Regulatory Authority (ECRA) has a detailed restructuring plan which is Electricity Industry Restructuring Plan (EIRP). | EIRP is mainly divided into three significant milestones as follows: The opening market for generation and distribution by unbundling Saudi Electric Company SEC for a vertical integration entity. Establishing a company in the generation, distribution, and retail businesses. Creating the “Parallel Market” concept for customers and suppliers based on agreed prices and conditions [43]. |
| Plan/Program | Initiatives |
|---|---|
| The National Capacity | Initiatives are described in the following areas: Identifying and monitoring the sources of CO2 Minimizing CO2 formation Reducing CO2 emissions Transportation Development Storage system Development Developing carbon capture technologies by using a metal-organic framework (MOF) Applying biological process and chemical looping combustion to develop carbon capture technologies Producing polycarbonates and polyurethanes, enhancing oil recovery by utilizing CO2. Converting CO2 into valuable products [12] |
| Saudi ARAMCO Carbon Management Division | Some of CCUS initiatives: Saudi Aramco’s Uthmaniyah Carbon Dioxid Enhanced Oil Recovery (CO2-EOR) in Eastern Province of Saudi Arabia; it is a pilot project to capture approximately 800 thousand ton/year CO2 [44]. The Prototype vehicle has been presented 10% of its emissions and 20% of the second prototype in 2013 [45]. Building Ethylene Glycol plants to capture 500 thousand tons/year of CO2 in the industrial city of Jubail [46]. |
| LIRRB | Definition |
|---|---|
| 1 | Strong important solution |
| 2 | Less strong important solution |
| 3 | Essential important solution |
| 4 | Less important solution |
Publisher’s Note: MDPI stays neutral with regard to jurisdictional claims in published maps and institutional affiliations. |
© 2021 by the authors. Licensee MDPI, Basel, Switzerland. This article is an open access article distributed under the terms and conditions of the Creative Commons Attribution (CC BY) license (https://creativecommons.org/licenses/by/4.0/).
Share and Cite
AlHashmi, M.; Chhipi-Shrestha, G.; Nahiduzzaman, K.M.; Hewage, K.; Sadiq, R. Framework for Developing a Low-Carbon Energy Demand in Residential Buildings Using Community-Government Partnership: An Application in Saudi Arabia. Energies 2021, 14, 4954. https://doi.org/10.3390/en14164954
AlHashmi M, Chhipi-Shrestha G, Nahiduzzaman KM, Hewage K, Sadiq R. Framework for Developing a Low-Carbon Energy Demand in Residential Buildings Using Community-Government Partnership: An Application in Saudi Arabia. Energies. 2021; 14(16):4954. https://doi.org/10.3390/en14164954
Chicago/Turabian StyleAlHashmi, Mohammad, Gyan Chhipi-Shrestha, Kh Md. Nahiduzzaman, Kasun Hewage, and Rehan Sadiq. 2021. "Framework for Developing a Low-Carbon Energy Demand in Residential Buildings Using Community-Government Partnership: An Application in Saudi Arabia" Energies 14, no. 16: 4954. https://doi.org/10.3390/en14164954
APA StyleAlHashmi, M., Chhipi-Shrestha, G., Nahiduzzaman, K. M., Hewage, K., & Sadiq, R. (2021). Framework for Developing a Low-Carbon Energy Demand in Residential Buildings Using Community-Government Partnership: An Application in Saudi Arabia. Energies, 14(16), 4954. https://doi.org/10.3390/en14164954

