Next Article in Journal
Design Consideration of Bidirectional Wireless Power Transfer and Full-Duplex Communication System via a Shared Inductive Channel
Previous Article in Journal
Assessing the Energy, Indoor Air Quality, and Moisture Performance for a Three-Story Building Using an Integrated Model, Part Two: Integrating the Indoor Air Quality, Moisture, and Thermal Comfort
 
 
Font Type:
Arial Georgia Verdana
Font Size:
Aa Aa Aa
Line Spacing:
Column Width:
Background:
Article

The Application of X-rays for an Electrodeposition of Composite Coatings with Modified Structures and Properties

1
Department of General Physics, Yanka Kupala State University of Grodno, 22, Ozheshko Str., 230023 Grodno, Belarus
2
Department of Solid State Physics, Belarusian State University, 4, Nezavisimosti Ave., 220030 Minsk, Belarus
3
Department of Electrical Devices and High Voltage Technology, Lublin University of Technology, 38d, Nadbystrzycka Str., 20-618 Lublin, Poland
*
Author to whom correspondence should be addressed.
Energies 2021, 14(16), 4913; https://doi.org/10.3390/en14164913
Submission received: 6 July 2021 / Revised: 4 August 2021 / Accepted: 8 August 2021 / Published: 11 August 2021
(This article belongs to the Section D1: Advanced Energy Materials)

Abstract

Experimental studies of the effect of X-rays on the process of electrolytic deposition of composite coatings are reviewed in this paper. Particular emphasis will be on the applications of X-rays for both the modification of a structure and the mechanical characteristics of galvanic coatings. In particular, this research investigates the Co/SiO2 coatings deposited from aqueous solutions under the effect of X-rays. The results of extensive investigations into the dispersing ability of electrolytes with SiO2 nanoparticles and a mass rate of composite coatings Co/SiO2 indicates that the method of electroplating under the effect of X-rays during the process results in the intensification of diffusion in the electrolyte volume and creates dense, uniform coatings. This research demonstrates that exposure of an electrolytic cell to X-rays during the electroplating process of Co/SiO2 results in an orienting effect on the formation of crystal grains and allows for the creation of dense, morphology uniform coatings with increased hardness and improved adhesion.

1. Introduction

Electroplated composite coatings with included nanoparticles occupy an important place among the various types of protective coatings and thin nanocomposite films. Electroplating is widely used in different fields of industry on objects of various sizes. Today, methods of electrolytic plating used in industry are significantly cheaper when compared with different methods of covering objects, such as plasma-assisted chemical vapor deposition [1,2,3,4,5], ion implantation [6,7], ion-beam [8,9] and magnetron sputtering [10,11], or other plasma techniques and chemical methods [12,13,14] which can be used primarily for the protection of small objects.
The formation of composite coatings with included nanoparticles that have the required surface morphology, microstructure and excellent properties across different applications depends on the composition of a reaction medium, electrodeposition conditions and modes. In most instances, it also depends on the sedimentation stability of nanoparticles in an electrolyte. The most commonly employed method for supporting the sedimentation stability of nanoparticles is by means of different additives which prevent the coagulation of nanoparticles. The most visible disadvantage of employing additives is that it results in a change in the chemical composition of electrolytes, leading to narrowed range of working current densities of electrodeposition. In light of this, it is important to note that additives can contribute to form composite coatings with a deterioration of qualities and properties [15,16,17].
The effect of external factors on the formation of composite coatings with the required properties are widely applied, alongside multipurpose electroplating of electrolytes using insoluble suspended nanoparticles [18,19].
The well-known method for obtaining deposition composite coatings with included nanoparticles involves creating a suspended aqueous solution by means of electrodeposition under ultrasonic vibrations. The application of an ultrasonic field for suspending liquid and manufacturing of new materials has a long history and indicates broad prospects in the microstructure control and performance improvement for electroplated metals and alloys. Despite abundant research on the sedimentation stability of electrolytes containing nanoparticles with the help of ultrasonic technologies, the refinement mechanism of ultrasonic treatment during the electrodeposition process is still controversial. Of particular note is the surprising laboriousness and increasing energy consumption that is involved in the implementation of ultrasounds in the technological process. This implementation is associated with the need to prevent the formation of standing sound waves caused by reflecting ultrasonic waves transferring back and forth from the surface of a cathode. The formation of standing waves also causes a decrease in diffusion and the net ion flow to the cathode surface, promoting the accumulation of nanoparticles under the source of ultrasonic vibrations. It is obvious that the accumulation of nanoparticles near the ultrasonic vibrations source leads to coagulation of insoluble particles, to a reduction of the dispersing ability and to the concomitant deterioration of the operational properties of coatings and, subsequently, leads to a decrease in the economic efficiency of the technological process [20].
In order to overcome these limitations, the present research focuses on the process of electroplating composite coatings with nanoparticles under the effect of X-rays [21,22,23]. The benefits and uses of this process make this method an appealing option for a lot of industries. The main mechanisms of X-ray irradiation of suspended electrolytes are based on the formation of active and mobile radiolysis products in the irradiated electrolyte, which contribute to a natural mixing of electrolyte, leading to an increase in its dispersing ability and to an intensification of the electroplating process. This makes it possible to form dense, fine-grained coatings that are uniform in thickness, with improved operational properties [24].
Of particular interest are electroplated Co-coatings that are used in the manufacturing of reflectors, mirrors, and jewelry. The high abrasion resistance and the lower cost of producing electroplated Co-coatings enables its use it in more applications.
The main aim of this study is to undertake an experimental investigation on the effect of X-rays on the process of electrochemical deposition of composite coatings Co/SiO2, underlining the application of X-rays for the modification of microstructural characteristics and mechanical performances of protective electrodeposited coatings.

2. Experimental

Co/SiO2 composite coatings were electrodeposited from the additive-free sulfate electrolyte with following composition: CoSO4∙7H2O–200 g/dm3, H3BO3–15 g/dm3 and NaCl–10 g/dm3. The concentration of SiO2 nanoparticles was 0.5 g/dm3 and 1 g/dm3. Deposition was performed with a preliminary reverse over a duration of 5 min. Low-carbon steel with a carbon content of 0.05–0.12% was used as a substrate. Before plating, all substrates were polished with the help of a polishing machine, BAINPOL VT Auto, in order to prepare samples with an average roughness 0.05 μm. Coatings were electrodeposited for 1h in the X-ray field (Peks = 100 R/h) at a controlled temperature of 23 °C [25].
Electroplating was carried out in the thermostatic bath with two cells of 100 mL (Figure 1). One cell was used for depositing coatings under X-rays’ irradiation, effecting the electrolyte directly. Another cell was used for the deposition of reference coatings.
The current densities were chosen in the range from 1 to 3 A/dm2. Coatings formed in the X-ray field (the irradiated samples (Irr)) and coatings formed without exposure to X-rays (the reference samples (Ref)) were compared in order to estimate the structural variations caused by X-ray exposure. The thickness was measured with a MTTs-3 m (Minsk, Belarus). The mass gain and thickness of the Co/SiO2 coatings were determined by taking the average of 10 measurements (10 samples). The surface morphology and elemental composition were studied by means of a JSM-5610 LV scanning electron microscope equipped with the EDX JED-2201 chemical analysis system (JEOL, Akishima, Japan). The accelerating voltage was recorded as 20 keV. The estimated depth range of electrons did not exceed 0.98 µm. The energy resolution of the detector was approximately 0.137 keV. The phase Co/SiO2 composition was studied by X-ray diffraction (XRD) with the help of a DRON-3M diffractometer in the CuKα radiation (Burevestnik, St. Petersburg, Russia). The microhardness of the coating surfaces were measured with a CASON-59 HV microhardness tester (Jinan Kason Testing Equipment Co, Jinan City, Shandong Province, China). The adhesion of Co/SiO2 coatings to the steel was investigated using the scratch method, which is based on the application of a scratch grid to the surface of testing coatings. The adhesion tests were carried out in accordance with the Interstate standard [26]. The dispersing ability of the electrolytes was studied with the help of a Moler’s cell [27]. The Moler’s cell has a rectangular shape with a collapsible cathode block. The cathode block consists of 10 indifferent aluminum cathodes. The main characteristic of the Moler’s cell is that the cathode space is separated from the anode space with a non-conductive partition. Between the partition and one of the side bath walls there must be a space of 1 or 2 mm. In this case, the slight gap is a non-polarizable anode that does not cause concentration changes in a solution. The advantage of the Moler’s cell is that the cathode current distribution in it does not depend on the shape or the anode location.
The value of the dispersing ability was computed by measuring the mass distribution on all Al-cathodes according to the Unified System of corrosion and ageing protection of the galvanic coating. The designation of the dispersing ability of electrolytes was determined during the creation of coverings [27]. The relative error of the method did not exceed 5%.

3. Results

Figure 1 shows the SEM images of surface morphology and cross sections of Co/SiO2 composite coatings, formed under the effect of X-rays, and the reference sample formed from electrolytes with SiO2 concentration of 0.5 g/dm3. As shown in Figure 1a, the reference sample formed without irradiation is characterized by needle-shaped crystallites normally oriented to the substrate plane and by coarse and inhomogeneous grains oriented lengthwise (parallel) to the substrate plane. This structure is typical for a cobalt microstructure [24]. By contrast, a detailed examination of micrographs as seen in Figure 1b reveals that the irradiated samples differ from the geometry surface with crystalline grains only parallel directed to the substrate. The observed differences in the microstructure of irradiated and reference samples is caused by destruction of the primary structure of an electrolyte affected by X-rays and radiolysis transformations.
Based on a comparative analysis of Figure 2 and Figure 3, it is obvious that well visible normally oriented grains on the references samples gradually become smaller (Figure 3a) and are almost entirely eliminated on the surface of the irradiated Co/SiO2 coatings (Figure 3b). It should be noted that coatings demonstrated on Figure 2 were formed from an electrolyte with a SiO2 concentration of 1 g/dm3.
It should be noted that the Co/SiO2 coatings deposited from an electrolyte with SiO2 nanoparticles of 1 g/dm3 are characterized with more developed surface geometry in comparison to coatings which were deposited from the electrolyte with an SiO2 concentration of 0.5 g/dm3. As such, it can be suggested that the structure of Co/SiO2 coatings is affected by the SiO2 concentration. However, it is clear that the reference deposit consists of two types of crystalline grains: normal and parallel oriented to the substrate plane.
A comparative analysis of the irradiated and reference cross sections of composite coatings Co/SiO2 (Figure 2) allows us to conclude that the rate of deposition under the effect of X-radiation is significantly higher and that nonporous dense coatings are formed in the X-ray’s field.
Therefore, unlike the traditional electroplating process, the interfusion of the electrolyte with radical particles in the X-ray irradiated electrolyte prevents the formation of cohesive contacts between SiO2 nanoparticles and reduces the likelihood of coagulation and sedimentation. Due to this, the SiO2 nanoparticles transfer to the cathode surface, where they are plated by a reduced metal, forming their own finely dispersed agglomerate with an increased content of nanoparticles and with improved operational properties [21].
The tendencies to change the geometry surface of irradiated coatings of Co/SiO2 positively correlate with data on the study of mass gains per unit area and thickness per time. The comparative relationships between the results of studies of mass rates at different current densities and the composite coatings of Co/SiO2 from electrolytes containing different SiO2 concentrations are presented in the Figure 4.
As well already described, the mass gain per unit area increases with increases in a current density, corresponding with Faraday’s laws. It is evident that the mass gain of an irradiated deposit is higher when compared with the references samples. The dependencies of thickness over current densities are presented in Figure 5. This analysis shows the correlation between the mass rate of composite coatings with Co/SiO2. On one hand, increases in the mass gain of samples deposited through the use of X-rays is caused by increasing the number of ions that are transferred to the cathode surface through the diffusion layer due to solution radiolysis. On the other hand, the increase is also caused by the change in pH of electrolyte [27]. In particular, the pH reduction prevents the formation of coagulants consisting of hydroxide compounds. Hence, the lack of their absorption on the cathode surface promotes the formation of more perfect, compact and non-porous coatings than in the reference sample [24]. From another perspective, an increase in the mass rate of Co/SiO2 coatings indicates that the incremental increase of the number of nanoparticles included in the base metal matrix is due to increasing the dispersing ability of electrolytes.
Figure 5 illustrates the dispersing ability of electrolytes that are used for the deposition Co/SiO2 coatings at the 0.5 g/dm3 and 1 g/dm3 concentration of SiO2 nanoparticles. It is clear in Figure 6 that the X-ray irradiation of electrolytes leads to an increase in the dispersing ability of electrolytes with suspended nanoparticles. As is well known, the dispersing ability of electrolytes points to the uniform distribution of an electric current over the cathode surface, causing the formation of a homogeneous deposit. Thus, it can be surmised that the X-rays’ irradiation of electrolytes promotes the formation of compact Co/SiO2 coatings.
As can be seen in Figure 6, an increase in the concentration of nanoparticles in electrolytes reduces their dispersing ability. Hence, the obtained data allows us to suggest that, since the SiO2 nanoparticles have a high ability to aggregate in aqueous solutions, X-ray irradiation degrades nanoparticles clusters due to an increase in the dispersing ability of electrolytes, contributing to the formation of composite coatings with evenly distributed nanoparticles that have an improved structure and properties.
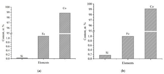
Figure 7 presents the results of the elemental analysis of composite Co/SiO2 coatings. It demonstrates the effect of the X-ray on the electroplating cell during the electrodeposition process which promotes the formation of composite coatings with slightly more SiO2 concentration compared with the reference. It should be mentioned that the difference in SiO2 content is less than 0.1%, which is why we can consider this data to be only indicative of a qualitative characteristic.
The obtained date can be explained by suggesting that the X-ray effect on the solution containing nanoparticles is the destruction of nanoparticles clusters due to an increase in the dispersing ability of electrolytes. The obtained data correlate with the study of the mass gain, thickness and dispersing ability. It is worth paying attention to the Fe content in the Co/SiO2. The Fe content in the coatings formed from electrolytes at 1 g/dm3 SiO2 (Figure 8) is less than in the deposits formed from electrolytes at 0.5 g/dm3 SiO2 (Figure 7). The reduction in Fe content can be caused by increasing the thickness and mass gain of the irradiated coatings. As for Fe content in the coatings, Fe can appear due to the preliminary reversal of a direct electric current in the 5 min period before the electroplating and some amount of Fe ions can be transferred to the solution after the reversal.
Figure 9 demonstrates the XRD patterns of reference for Co-coatings, Co-coatings obtained in X-rays, and Co/SiO2 obtained from electrolytes at 0.5 and 1 g/dm3 SiO2 under irradiation and without. It can be seen in these results that all the investigated samples appear to consist of the Co-phase and oxide phase CoFe2O4. The phase CoFe2O4 was formed due to the preliminary reversal of the depositing electric current. According to the low amount of SiO2, there are no any peaks from SiO2. However, it is evident that the addition of some SiO2 into the electrolyte leads to the formation of CoSiO2 coatings with a modified structure, characterized by a crystalline orientation of (110). It should be noted that the intensity of the main peaks of irradiated coatings are higher than the intensity of reference samples. This proves the hypothesis that the X-rays’ irradiation of electrolytes during the electroplating process induces the orienting effect on the forming crystal grains of the Co/SiO2 coatings, due to the radiation transformation in the irradiated electrolyte.
The tendency of the structure of composite coatings Co/SiO2 to change is what generated the interest in investigating any operational properties that may be produced.
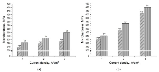
As seen in Figure 10, the microhardness of the irradiated samples markedly increased in comparison with the reference samples. In particular, the difference between the microhardness of the reference samples and irradiated Co/SiO2 coatings formed from the electrolyte with SiO2 of 0.5% is around 7%.
Finally, the adhesion tests of the Co/SiO2 irradiated coatings to the steel substrate showed no separation from the base metal after undergoing scratching tests. It was confirmed that the composite coatings Co/SiO2 have excellent adhesion, equal to 1, according to the scale of the scratch method (in which there is a 1–4 scale, where 1 is the best rating), unlike the reference samples which achieved an adhesion of only 2 on the scratch method scale. The structural changes in matter can occur via the primary radiolysis effects as a result of the adsorption radiation by aqueous electrolytes. Hence, these experimental results can be explained from the point of view of radiation chemistry and the radiolysis of aqueous solutions.

4. Conclusions

The results of these extensive investigations into the effect of X-rays on the electroplating process of composite coatings Co/SiO2 from an aqueous solution demonstrate an increase in the dispersing ability of electrolytes containing SiO2 nanoparticles, mass gain and thickness per time under irradiation. This is due to the intensification of diffusion in the electrolyte through the products of radiolysis.
This study demonstrated that the effect of the bath by X-rays during the electroplating process of the Co/SiO2 coatings results in the orienting effect on the formation of crystal grains, allowing for the creation of dense, morphologically uniform coatings with increased hardness and improved adhesion.
In conclusion, the authors of this paper have found enough evidence to find that the electroplating of composite coatings under the effect of X-rays makes it possible to achieve a technical result that consists of an increase in the dispersing ability of electrolytes, containing nanoparticles, reducing aggregation, and increasing the sedimentation stability of nanoparticles This allows for modification of the microstructure and enhancement of the performances of properties of composite coatings with included SiO2 nanoparticles.

Author Contributions

Conceptualization, N.V. and T.N.K.; methodology, N.V.; software, N.V., W.E., V.B. and P.O.; validation, N.V. and V.A.; formal analysis, N.V., V.A. and T.N.K.; investigation, N.V., W.E. and V.A.; resources, N.V., W.E. and T.N.K.; data curation, W.E., V.B. and P.O.; writing—original draft preparation, N.V.; writing—review and editing, T.N.K.; visualization, T.N.K.; supervision, N.V.; funding acquisition, V.B., P.O. and T.N.K. All authors have read and agreed to the published version of the manuscript.

Funding

The research was supported by the Ministry of Education of the Republic of Belarus and by the subsidy of the Ministry of Education and Science (Poland) for the Lublin University of Technology as funds allocated for scientific activities in the scientific discipline of Automation, Electronics and Electrical Engineering–grants: FD-20/EE-2/701, FD-20/EE-2/703 and FD-20/EE-2/705.

Institutional Review Board Statement

Not applicable.

Informed Consent Statement

Not applicable.

Data Availability Statement

Not applicable.

Conflicts of Interest

The author declare no conflict of interest.

References

  1. Milaniak, N.; Laroche, G.; Massines, F. Atmospheric-pressure plasma-enhanced chemical vapor deposition of nanocomposite thin films from ethyl lactate and silica nanoparticles. Plasma Process. Polym. 2020, 18, e2000153. [Google Scholar] [CrossRef]
  2. Liu, X.C.; Fecko, P.; Fohlerova, Z.; Karasek, T.; Pekarek, J.; Neuzil, P. Parylene micropillars coated with thermally grown SiO2. J. Vac. Sci. Technol. B 2020, 38, 063001. [Google Scholar] [CrossRef]
  3. Koltunowicz, T.N. Inductive type properties of FeCoZr–CaF2 and FeCoZr–PZT nanocomposites. J. Mater. Sci. Mater. Electron. 2015, 26, 6450–6457. [Google Scholar] [CrossRef][Green Version]
  4. Svito, I.; Fedotova, J.A.; Milosavljević, M.; Zhukowski, P.; Koltunowicz, T.N.; Saad, A.; Kierczynski, K.; Fedotov, A.K. Influence of sputtering atmosphere on hopping conductance in granular nanocomposite (FeCoZr)x(Al2O3)1−x films. J. Alloy. Compd. 2015, 615 (Suppl. 1), S344–S347. [Google Scholar] [CrossRef]
  5. Zhukowski, P.; Kołtunowicz, T.N.; Fedotova, J.A.; Larkin, A.V. An effect of annealing on electric properties of nanocomposites (CoFeZr)x(Al2O3)1−x produced by magnetron sputtering in the atmosphere of argon and oxygen beyond the percolation threshold. Prz. Elektrotechniczny 2010, 86, 157–159. [Google Scholar]
  6. Shang, H.; Fu, J.; Xie, C.; Li, Z.; Chen, D. Improving stress stability in low-pressure chemical vapor deposited silicon dioxide films by ion implantation. Thin Solid Film. 2016, 598, 103–108. [Google Scholar] [CrossRef]
  7. Sourani, F.; Enayati, M.H.; Ashrafizadeh, F.; Sayyedan, F.S.; Chu, P.K. Enhancing surface properties of (Fe,Cr)Al–Al2O3 nanocomposite by oxygen ion implantation. J. Alloy. Compd. 2021, 853, 156892. [Google Scholar] [CrossRef]
  8. Koltunowicz, T.N.; Zukowski, P.; Bondariev, V.; Fedotov, A.K.; Svito, I.; Fedotova, J.; Saad, A. Voltage and current resonance in nanocomposite (FeCoZr)x(CaF2)(100x) produced by ion-beam sputtering in pure argon atmosphere. Acta Phys. Pol. A 2015, 128, 897–900. [Google Scholar] [CrossRef]
  9. Becker, M.; Benz, S.L.; Chen, L.; Polity, A.; Klar, P.J.; Chatterjee, S. Controlled thin-film deposition of alpha or beta Ga2O3 by ion-beam sputtering. J. Vac. Sci. Technol. A 2020, 38, 063412. [Google Scholar] [CrossRef]
  10. Sun, K.X.; Zhang, S.Y.; Wasa, K.; Shui, X.J. Characterization of La-doped xBiInO3(1−x)PbTiO3 piezoelectric films deposited by the radio-frequency magnetron sputtering method. Chin. Phys. Lett. 2016, 33, 064301. [Google Scholar] [CrossRef]
  11. Guo, L.; Zhao, M.; Zhuang, D.; Gong, Q.; Tan, H.; Cao, M.; Ouyang, L. A study on phase transformation of SnOx thin films prepared by reactive magnetron sputtering. Mater. Sci. Semicond. Process. 2016, 46, 35–38. [Google Scholar] [CrossRef]
  12. Hoppe, C.; Mitschker, F.; Butterling, M.; Liedke, M.O.; de los Arcos, T.; Awakowicz, P.; Wagner, A.; Grundmeier, G. Characterisation of micropores in plasma deposited SiO(x) films by means of positron annihilation lifetime spectroscopy. J. Phys. Appl. Phys. 2020, 53, 475205. [Google Scholar] [CrossRef]
  13. Singh, J.; Chatha, S.S.; Singh, H. Characterization and corrosion behavior of plasma sprayed calcium silicate reinforced hydroxyapatite composite coatings for medical implant applications. Ceram. Int. 2021, 47, 782–792. [Google Scholar] [CrossRef]
  14. Ali, G.A.M.; Yusoff, M.M.; Ng, Y.H.; Lim, H.N.; Chong, K.F. Potentiostatic and galvanostatic electrodeposition of manganese oxide for supercapacitor application: A comparison study. Curr. Appl. Phys. 2015, 15, 1143–1147. [Google Scholar] [CrossRef]
  15. Aghazadeh, M. Cathodic Cathodic Electrochemical Deposition of Nanostructured Metal Oxides/Hydroxides and their Composites for Supercapacitor Applications: A Review. Anal. Bioanal. Electrochem. 2019, 11, 211–266. [Google Scholar]
  16. Ilyin, V.; Semyonichev, V.; Salakhova, R.; Naletov, B.; Tikhoobraz, A. Nickel-plating electrolyte. RU Patent 2,449,063, 5 April 2011. [Google Scholar]
  17. Pogrebnjak, A.D.; Bagdasaryan, A.A.; Pshyk, A.; Dyadyura, K. Adaptive multicomponent nanocomposite coatings in surface engineering. Phys. Uspekhi 2017, 60, 586–607. [Google Scholar] [CrossRef]
  18. Müller, T.; Grimwood, J.; Bachmaier, A.; Pippan, R. Electrodeposition of Fe-C Alloys from Citrate Baths: Structure, Mechanical Properties, and Thermal Stability. Metals 2018, 8, 363. [Google Scholar] [CrossRef]
  19. Misaelides, P.; Hatzidimitriou, A.; Noli, F.; Pogrebnjak, A.D.; Tyurin, Y.N.; Kosionidis, S. Preparation, characterization, and corrosion behavior of protective coatings on stainless steel samples deposited by plasma detonation techniques. Surf. Coat. Technol. 2004, 180, 290–296. [Google Scholar] [CrossRef]
  20. Jar-Mukhamedov, S. Method for electrodeposition of composite coatings and plant for its embodiment. RU Patent 2,109,855, 8 July 1991. [Google Scholar]
  21. Pikayev, A. Radiolysis of Gases and Liquids. Available online: https://www.researchgate.net/publication/285195827_Radiolysis_of_Gases_and_Liquids (accessed on 11 August 2021).
  22. Valko, N.; Moroz, N. Modification of a structure of the CoNiFe alloys by the X-ray irradiation. In Proceedings of the 9th International Conference New Electrical and Electronic Technologies and their Industrial Implementation, Zakopane, Poland, 23–26 June 2015; pp. 11–13. [Google Scholar]
  23. Koltunowicz, T.N.; Zhukowski, P.; Fedotova, J.A.; Bayev, V.G.; Streltsov, E.A.; Baran, L.V. Electrochemically Deposited Cobalt Nanoarrays in SiO2/n-Si Templates Produced by Swift Heavy Ion-Induced Modification Technology. Acta Phys. Pol. A 2013, 123, 929–931. [Google Scholar] [CrossRef]
  24. Valko, N.; Kasperovich, A.; Koltunowicz, T.N. Forming a structure of the CoNiFe alloys by X-ray irradiation. Funct. Mater. Lett. 2019, 11, 1850044. [Google Scholar] [CrossRef]
  25. Kucera, M.; Gutten, M.; Simko, M.; Sebok, M.; Korenciak, D.; Jarina, R.; Pitonak, M. Electromagnetic Compatibility and Radiation Analysis in Control Room. Meas. Sci. Rev. 2019, 19, 126–131. [Google Scholar] [CrossRef]
  26. GOST 9.302-88 Unified System of Protection against Corrosion and Aging. Metal and Non-Metal Coatings. Inorganic Control Methods. Available online: https://internet-law.ru/gosts/gost/19600 (accessed on 3 July 2021).
  27. GOST 9.309-86 Galvanic Coatings. Determination of the Ability of Electrolytes in a Dispersive Coating. Available online: http://gostrf.com/normadata/1/4294850/4294850372.pdf (accessed on 3 July 2021).
Figure 1. Schematic illustration of plating bath under effect of X-ray: (a) cell for deposition of reference sample; (b) cell for deposition of irradiated sample.
Figure 1. Schematic illustration of plating bath under effect of X-ray: (a) cell for deposition of reference sample; (b) cell for deposition of irradiated sample.
Energies 14 04913 g001
Figure 2. SEM images of surface and cross sections of Co/SiO2 formed at 2 A/dm2 current density from electrolyte at 0.5 g/dm3 SiO2 nanoparticles: (a) reference sample; (b) irradiated sample.
Figure 2. SEM images of surface and cross sections of Co/SiO2 formed at 2 A/dm2 current density from electrolyte at 0.5 g/dm3 SiO2 nanoparticles: (a) reference sample; (b) irradiated sample.
Energies 14 04913 g002
Figure 3. SEM images of surface of Co/SiO2 formed at 2 A/dm2 current density from electrolyte at 1 g/dm3 SiO2 nanoparticles: (a) reference sample; (b) irradiated sample.
Figure 3. SEM images of surface of Co/SiO2 formed at 2 A/dm2 current density from electrolyte at 1 g/dm3 SiO2 nanoparticles: (a) reference sample; (b) irradiated sample.
Energies 14 04913 g003
Figure 4. Mass rate in a unit area of the Co/SiO2 coatings formed at different current densities of 1–3 A/dm2: 1–reference sample, formed from electrolytes at 0.5 g/dm3 SiO2; 2–reference sample, formed from electrolytes at 1 g/dm3 SiO2; 3–irradiated sample, formed from electrolytes at 0.5 g/dm3 SiO2; 4–irradiated sample, formed from electrolytes at 1 g/dm3 SiO2.
Figure 4. Mass rate in a unit area of the Co/SiO2 coatings formed at different current densities of 1–3 A/dm2: 1–reference sample, formed from electrolytes at 0.5 g/dm3 SiO2; 2–reference sample, formed from electrolytes at 1 g/dm3 SiO2; 3–irradiated sample, formed from electrolytes at 0.5 g/dm3 SiO2; 4–irradiated sample, formed from electrolytes at 1 g/dm3 SiO2.
Energies 14 04913 g004
Figure 5. Thickness of Co/SiO2 formed at different current densities: 1–reference sample formed from electrolytes at 0.5 g/dm3 SiO2; 2–irradiated sample formed from electrolytes at 0.5 g/dm3 SiO2; 3–reference sample formed from electrolytes at 1 g/dm3 SiO2; 4–irradiated sample formed from electrolytes at 1 g/dm3 SiO2.
Figure 5. Thickness of Co/SiO2 formed at different current densities: 1–reference sample formed from electrolytes at 0.5 g/dm3 SiO2; 2–irradiated sample formed from electrolytes at 0.5 g/dm3 SiO2; 3–reference sample formed from electrolytes at 1 g/dm3 SiO2; 4–irradiated sample formed from electrolytes at 1 g/dm3 SiO2.
Energies 14 04913 g005
Figure 6. The dispersing ability of irradiated and nonirradiated electrolytes at 0.5 g/dm3 and 1 g/dm3 concentration of SiO2 nanoparticles.
Figure 6. The dispersing ability of irradiated and nonirradiated electrolytes at 0.5 g/dm3 and 1 g/dm3 concentration of SiO2 nanoparticles.
Energies 14 04913 g006
Figure 7. Elemental composition of Co/SiO2, formed from the bath at 0.5 g/dm3 SiO2, under current density of 0.5 A/dm2 (a) reference sample; (b) irradiated sample.
Figure 7. Elemental composition of Co/SiO2, formed from the bath at 0.5 g/dm3 SiO2, under current density of 0.5 A/dm2 (a) reference sample; (b) irradiated sample.
Energies 14 04913 g007
Figure 8. Elemental composition of Co/SiO2, formed from the bath at 1 g/dm3 SiO2, under current density of 1 A/dm2 (a) reference sample; (b) irradiated sample.
Figure 8. Elemental composition of Co/SiO2, formed from the bath at 1 g/dm3 SiO2, under current density of 1 A/dm2 (a) reference sample; (b) irradiated sample.
Energies 14 04913 g008
Figure 9. XRD patterns of CoSiO2 coatings deposited in X-rays: 1—reference Co-coating without SiO2, 2—Co-coating, formed under irradiation; 3—CoSiO2 deposited from the bath at 0.5 g/dm3 SiO2, 4—CoSiO2 deposited from the bath at 0.5 g/dm3 SiO2 in the X-ray, 5—CoSiO2 deposited from the bath at 1 g/dm3 SiO2, 6—CoSiO2 deposited from the bath at 1 g/dm3 SiO2 in the X-ray.
Figure 9. XRD patterns of CoSiO2 coatings deposited in X-rays: 1—reference Co-coating without SiO2, 2—Co-coating, formed under irradiation; 3—CoSiO2 deposited from the bath at 0.5 g/dm3 SiO2, 4—CoSiO2 deposited from the bath at 0.5 g/dm3 SiO2 in the X-ray, 5—CoSiO2 deposited from the bath at 1 g/dm3 SiO2, 6—CoSiO2 deposited from the bath at 1 g/dm3 SiO2 in the X-ray.
Energies 14 04913 g009
Figure 10. Microhardness of irradiated (Irr) and non-irradiated (Ref) Co/SiO2 formed at current densities of 1–3 A/dm2 from electrolyte with SiO2 nanoparticles of 0.5 g/dm3 (a) and 1 g/dm3 (b).
Figure 10. Microhardness of irradiated (Irr) and non-irradiated (Ref) Co/SiO2 formed at current densities of 1–3 A/dm2 from electrolyte with SiO2 nanoparticles of 0.5 g/dm3 (a) and 1 g/dm3 (b).
Energies 14 04913 g010
Publisher’s Note: MDPI stays neutral with regard to jurisdictional claims in published maps and institutional affiliations.

Share and Cite

MDPI and ACS Style

Valko, N.; Evstigneeva, W.; Anishchik, V.; Bondariev, V.; Okal, P.; Koltunowicz, T.N. The Application of X-rays for an Electrodeposition of Composite Coatings with Modified Structures and Properties. Energies 2021, 14, 4913. https://doi.org/10.3390/en14164913

AMA Style

Valko N, Evstigneeva W, Anishchik V, Bondariev V, Okal P, Koltunowicz TN. The Application of X-rays for an Electrodeposition of Composite Coatings with Modified Structures and Properties. Energies. 2021; 14(16):4913. https://doi.org/10.3390/en14164913

Chicago/Turabian Style

Valko, Natalia, Wiktoria Evstigneeva, Victor Anishchik, Vitalii Bondariev, Pawel Okal, and Tomasz N. Koltunowicz. 2021. "The Application of X-rays for an Electrodeposition of Composite Coatings with Modified Structures and Properties" Energies 14, no. 16: 4913. https://doi.org/10.3390/en14164913

APA Style

Valko, N., Evstigneeva, W., Anishchik, V., Bondariev, V., Okal, P., & Koltunowicz, T. N. (2021). The Application of X-rays for an Electrodeposition of Composite Coatings with Modified Structures and Properties. Energies, 14(16), 4913. https://doi.org/10.3390/en14164913

Note that from the first issue of 2016, this journal uses article numbers instead of page numbers. See further details here.

Article Metrics

Back to TopTop