Do People Prefer Cars That People Don’t Drive? A Survey Study on Autonomous Vehicles
Abstract
:1. Introduction
2. Literature Review and Establishment of Research Hypotheses
- Level 0: represents traditional vehicles fully controlled by a driver.
- Level 1: The driver and the system collaborate on specific functions, such as adaptive cruise control and parking assistance.
- Level 2: While the system manages acceleration, braking, and steering, the driver must monitor the process and be prepared to take over in a system failure. At this technological level, the driver must constantly grasp the driving process in order to conduct interventions.
- Level 3: The driver can read, write, or rest while driving, but a significant issue is that the driver must take control if automatic functions fail or the vehicle cannot cope with complex traffic situations.
- Level 4: At this level, the driver can sit or sleep in the passenger seat. At the same time, the vehicle provides all the necessary operations of driving control without the need for human intervention. The driver can handle and steer the vehicle by hand, at his or her request, or with system malfunctions, but the car can drive itself in general.
- Level 5: Human participation is no longer needed. A possible example is a robotic vehicle. In other words, we can talk about a fully autonomous vehicle. Vehicles at this level are robots that can transport passengers and goods independently.
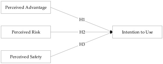
- The research model is given in Figure 1.
2.1. Perceived Advantage
2.2. Perceived Risk
2.3. Perceived Safety
3. Materials and Methods
3.1. Sample and Data Collection
3.2. Measurement Instrument
- Perceived Risk (PR); adopted from Lee et al. (2019) [31], and based on four items.
3.3. Data Analysis
4. Results
5. Discussion: Implications and Limitations
5.1. Implications
5.2. Limitations of the Study
6. Conclusions
- Perceived advantage positively affects the intention to use;
- Perceived risk negatively affects the intention to use;
- Perceived safety positively affects the intention to use.
Author Contributions
Funding
Institutional Review Board Statement
Informed Consent Statement
Data Availability Statement
Conflicts of Interest
Appendix A
| Perceived Advantage | |
| 1 | AVs would reduce my travel time compared with other methods of transportation. (Yuen et al. (2020) [35]) |
| 2 | AVs would lead to fewer traffic jams compared to conventional vehicles. (Yuen et al. (2020) [35]) |
| 3 | AVs would allow better access to my intended destinations. (Yuen et al. (2020) [35]) |
| 4 | Using AVs will decrease my accident risk compared to conventional vehicles. (Yuen et al. (2020) [35]) |
| 5 | AVs would allow me to spend my time on things other than driving. (Yuen et al. (2020) [35]) |
| 6 | AVs would be more advantageous compared to using conventional vehicles. (Yuen et al. (2020) [35]) |
| 7 | AVs would solve problems that I have encountered with conventional cars. (Yuen et al. (2020) [9]) |
| 8 | AVs would be an environmentally friendly option. (Yuen et al. (2020) [9]) |
| 9 | Traveling in a driverless car would enable me to communicate with my family, friends and colleagues. (Acheampong & Cugurullo (2019) [40]) |
| 10 | Driverless cars would reduce the stress of driving. (Acheampong & Cugurullo (2019) [40]) |
| 11 | Traveling in a driverless car would be comfortable. (Acheampong & Cugurullo (2019) [40]) |
| Perceived Risk | |
| 1 | A system in the autonomous vehicle may not enough to drive. (Lee et al. (2019) [31]) |
| 2 | Using an autonomous vehicle may not perform well and create problems. (Lee et al. (2019) [31]) |
| 3 | An autonomous vehicle may not work properly. (Lee et al. (2019) [31]) |
| 4 | An autonomous vehicle may perform unstably and incorrectly. (Lee et al. (2019) [31]) |
| Perceived Safety | |
| 1 | Overall. AVs would help make my journeys safer than they are when I use conventional cars. (Lijarcio et al. (2019) [49]) |
| 2 | AVs would act better than myself in a complicated traffic situation. (Lijarcio et al. (2019) [49]) |
| 3 | A driverless/automated vehicle may be not ““““smart”””” enough for guaranteeing my safety during the journey (-). (Lijarcio et al. (2019) [49]) |
| 4 | AV-related systems could easily break down, or be hacked, thus compromising my safety (-). (Lijarcio et al. (2019) [49]) |
| 5 | AVs would respond adequately to unexpected situations that commonly require rapid responses from drivers. (Lijarcio et al. (2019) [49]) |
| 6 | Driverless cars will reduce crashes. (Acheampong & Cugurullo (2019) [40]) |
| Intention to Use | |
| 1 | I would prefer using an AV more than a conventional car when driving on urban/city roads. (Lijarcio et al. (2019) [49]) |
| 2 | If during the next years I will have enough budget, I plan to buy an AV. (Lijarcio et al. (2019) [49]) |
| 3 | I would prefer using an AV than a conventional car if I were tired. (Lijarcio et al. (2019) [49]) |
| 4 | I am totally against the option of buying an autonomous car (-). (Lijarcio et al. (2019) [49]) |
| 5 | Considering the need of adapting to transport dynamics, planning to buy an AVs at some point in the next years sounds adequate. (Lijarcio et al. (2019) [49]) |
| 6 | I intend to use AVs in the future. (Yuen et al. (2020) [35]) |
| 7 | I plan to use AVs in the future. (Yuen et al. (2020) [35]) |
| 8 | I have positive things to say about AVs. (Yuen et al. (2020) [35]) |
| 9 | I would encourage others to use AVs. (Yuen et al. (2020) [35]) |
Appendix B
| Sum of Squares | df | Mean Square | F | Sig. | ||
|---|---|---|---|---|---|---|
| Perceived Advantage | Between Groups | 8.018 | 4 | 2.004 | 4.273 | 0.002 |
| Within Groups | 284.269 | 606 | 0.469 | - | - | |
| Total | 292.286 | 610 | - | - | - | |
| Perceived Risk | Between Groups | 4.588 | 4 | 1.147 | 1.744 | 0.139 |
| Within Groups | 398.618 | 606 | 0.658 | - | - | |
| Total | 403.206 | 610 | - | - | - | |
| Perceived Safety | Between Groups | 6.398 | 4 | 1.600 | 2.888 | 0.022 |
| Within Groups | 335.621 | 606 | 0.554 | - | - | |
| Total | 342.019 | 610 | - | - | - | |
| Intention to Use | Between Groups | 4.833 | 4 | 1.208 | 2.248 | 0.063 |
| Within Groups | 325.647 | 606 | 0.537 | - | - | |
| Total | 330.480 | 610 | - | - | - | |
| Sum of Squares | df | Mean Square | F | Sig. | ||
|---|---|---|---|---|---|---|
| Perceived Advantage | Between Groups | 3.248 | 5 | 0.650 | 1.360 | 0.238 |
| Within Groups | 289.038 | 605 | 0.478 | - | - | |
| Total | 292.286 | 610 | - | - | - | |
| Perceived Risk | Between Groups | 19.894 | 5 | 3.979 | 6.280 | 0.000 |
| Within Groups | 383.312 | 605 | 0.634 | - | - | |
| Total | 403.206 | 610 | - | - | - | |
| Perceived Safety | Between Groups | 7.619 | 5 | 1.524 | 2.757 | 0.018 |
| Within Groups | 334.400 | 605 | 0.553 | - | - | |
| Total | 342.019 | 610 | - | - | - | |
| Intention to Use | Between Groups | 4.041 | 5 | 0.808 | 1.498 | 0.189 |
| Within Groups | 326.440 | 605 | 0.540 | - | - | |
| Total | 330.480 | 610 | - | - | - | |
References
- Le Hong, Z.; Zimmerman, N. Air quality and greenhouse gas implications of autonomous vehicles in Vancouver, Canada. Transp. Res. Part D Transp. Environ. 2021, 90, 102676. [Google Scholar] [CrossRef]
- Pettigrew, S.; Nelson, J.D.; Norman, R. Autonomous vehicles and cycling: Policy implications and management issues. Transp. Res. Interdiscip. Perspect. 2020, 7, 100188. [Google Scholar] [CrossRef] [PubMed]
- Wu, J.; Liao, H.; Wang, J.-W. Analysis of consumer attitudes towards autonomous, connected, and electric vehicles: A survey in China. Res. Transp. Econ. 2020, 80, 100828. [Google Scholar] [CrossRef]
- Jing, P.; Xu, G.; Chen, Y.; Shi, Y.; Zhan, F. The Determinants behind the Acceptance of Autonomous Vehicles: A Systematic Review. Sustainability 2020, 12, 1719. [Google Scholar] [CrossRef] [Green Version]
- Campisi, T.; Severino, A.; Al-Rashid, M.A.; Pau, G. The Development of the Smart Cities in the Connected and Autonomous Vehicles (CAVs) Era: From Mobility Patterns to Scaling in Cities. Infrastructures 2021, 6, 100. [Google Scholar] [CrossRef]
- Severino, A.; Curto, S.; Barberi, S.; Arena, F.; Pau, G. Autonomous Vehicles: An Analysis Both on Their Distinctiveness and the Potential Impact on Urban Transport Systems. Appl. Sci. 2021, 11, 3604. [Google Scholar] [CrossRef]
- Meidute-Kavaliauskiene, I.; Yıldız, B.; Çiğdem, Ş.; Činčikaitė, R. An Integrated Impact of Blockchain on Supply Chain Applications. Logistics 2021, 5, 33. [Google Scholar] [CrossRef]
- Acheampong, R.A.; Cugurullo, F.; Gueriau, M.; Dusparic, I. Can autonomous vehicles enable sustainable mobility in future cities? Insights and policy challenges from user preferences over different urban transport options. Cities 2021, 112, 103134. [Google Scholar] [CrossRef]
- Yuen, K.F.; Wong, Y.D.; Ma, F.; Wang, X. The determinants of public acceptance of autonomous vehicles: An innovation diffusion perspective. J. Clean. Prod. 2020, 270, 121904. [Google Scholar] [CrossRef]
- Bennett, R.; Vijaygopal, R.; Kottasz, R. Attitudes towards autonomous vehicles among people with physical disabilities. Transp. Res. Part A Policy Pr. 2019, 127, 1–17. [Google Scholar] [CrossRef]
- Choi, J.K.; Ji, Y.G. Investigating the Importance of Trust on Adopting an Autonomous Vehicle. Int. J. Hum. Comput. Interact. 2015, 31, 692–702. [Google Scholar] [CrossRef]
- Silva, D.; Földes, D.; Csiszár, C. Autonomous Vehicle Use and Urban Space Transformation: A Scenario Building and Analysing Method. Sustainability 2021, 13, 3008. [Google Scholar] [CrossRef]
- Golbabaei, F.; Yigitcanlar, T.; Paz, A.; Bunker, J. Individual Predictors of Autonomous Vehicle Public Acceptance and Intention to Use: A Systematic Review of the Literature. J. Open Innov. Technol. Mark. Complex. 2020, 6, 106. [Google Scholar] [CrossRef]
- Baccarella, C.V.; Wagner, T.F.; Scheiner, C.W.; Maier, L.; Voigt, K.-I. Investigating consumer acceptance of autonomous technologies: The case of self-driving automobiles. Eur. J. Innov. Manag. 2021, 24, 1210–1232. [Google Scholar] [CrossRef]
- Keszey, T. Behavioural intention to use autonomous vehicles: Systematic review and empirical extension. Transp. Res. Part C Emerg. Technol. 2020, 119, 102732. [Google Scholar] [CrossRef]
- Dirsehan, T.; Can, C. Examination of trust and sustainability concerns in autonomous vehicle adoption. Technol. Soc. 2020, 63, 101361. [Google Scholar] [CrossRef]
- Miralles-Guasch, C.; Melo, M.M.; Sarda, O.M. On user perception of private transport in Barcelona Metropolitan area: An experience in an academic suburban space. J. Transp. Geogr. 2014, 36, 24–31. [Google Scholar] [CrossRef]
- Campisi, T.; Basbas, S.; Al-Rashid, M.A.; Tesoriere, G.; Georgiadis, G. A region-wide survey on emotional and psychological impacts of COVID-19 on public transport choices in Sicily, Italy. Trans. Transp. Sci. 2021. [Google Scholar] [CrossRef]
- Bellone, M.; Ismailogullari, A.; Kantala, T.; Mäkinen, S.; Soe, R.-M.; Kyyrö, M. A cross-country comparison of user experience of public autonomous transport. Eur. Transp. Res. Rev. 2021, 13, 1–13. [Google Scholar] [CrossRef]
- Kamble, S.S.; Gunasekaran, A.; Gawankar, S.A. Sustainable Industry 4.0 framework: A systematic literature review identifying the current trends and future perspectives. Process Saf. Environ. Prot. 2018, 117, 408–425. [Google Scholar] [CrossRef]
- Vermesan, O.; Bahr, R.; Ottella, M.; Serrano, M.; Karlsen, T.; Wahlstrøm, T.; Sand, H.-E.; Ashwathnarayan, M.; Gamba, M.T. Internet of robotic things intelligent connectivity and platforms. Front. Robot. AI 2020, 7, 104. [Google Scholar] [CrossRef] [PubMed]
- Reggio, G.; Leotta, M.; Cerioli, M.; Spalazzese, R.; Alkhabbas, F. What are IoT systems for real? An experts’ survey on software engineering aspects. Internet Things 2020, 12, 100313. [Google Scholar] [CrossRef]
- Koopman, P.; Wagner, M. Autonomous Vehicle Safety: An Interdisciplinary Challenge. IEEE Intell. Transp. Syst. Mag. 2017, 9, 90–96. [Google Scholar] [CrossRef]
- Tang, C.S.; Veelenturf, L.P. The strategic role of logistics in the industry 4.0 era. Transp. Res. Part E Logist. Transp. Rev. 2019, 129, 1–11. [Google Scholar] [CrossRef]
- Schneiderman, R. Unmanned Drones are Flying High in the Military/Aerospace Sector [Special Reports]. IEEE Signal Process. Mag. 2011, 29, 8–11. [Google Scholar] [CrossRef]
- Fagnant, D.J.; Kockelman, K. Preparing a nation for autonomous vehicles: Opportunities, barriers and policy recommendations. Transp. Res. Part A Policy Pract. 2015, 77, 167–181. [Google Scholar] [CrossRef]
- Aufrère, R.; Gowdy, J.; Mertz, C.; Thorpe, C.; Wang, C.-C.; Yata, T. Perception for collision avoidance and autonomous driving. Mechatronics 2003, 13, 1149–1161. [Google Scholar] [CrossRef]
- SAE. J3016B: Taxonomy and Definitions for Terms Related to Driving Automation Systems for On-Road Motor Vehicles—SAE International. Available online: https://www.sae.org/standards/content/j3016_201806/ (accessed on 13 June 2021).
- Guang, X.; Gao, Y.; Leung, H.; Liu, P.; Li, G. An Autonomous Vehicle Navigation System Based on Inertial and Visual Sensors. Sensors 2018, 18, 2952. [Google Scholar] [CrossRef] [Green Version]
- Sun, X.; Cao, S.; Tang, P. Shaping driver-vehicle interaction in autonomous vehicles: How the new in-vehicle systems match the human needs. Appl. Ergon. 2021, 90, 103238. [Google Scholar] [CrossRef]
- Lee, J.; Lee, D.; Park, Y.; Lee, S.; Ha, T. Autonomous vehicles can be shared, but a feeling of ownership is important: Examination of the influential factors for intention to use autonomous vehicles. Transp. Res. Part C Emerg. Technol. 2019, 107, 411–422. [Google Scholar] [CrossRef]
- Pakusch, C.; Stevens, G.; Boden, A.; Bossauer, P. Unintended Effects of Autonomous Driving: A Study on Mobility Preferences in the Future. Sustainability 2018, 10, 2404. [Google Scholar] [CrossRef] [Green Version]
- Liu, H.; Yang, R.; Wang, L.; Liu, P. Evaluating Initial Public Acceptance of Highly and Fully Autonomous Vehicles. Int. J. Hum.-Comput. Interact. 2019, 35, 919–931. [Google Scholar] [CrossRef]
- Zhao, C.; Li, L.; Pei, X.; Li, Z.; Wang, F.-Y.; Wu, X. A comparative study of state-of-the-art driving strategies for autonomous vehicles. Accid. Anal. Prev. 2021, 150, 105937. [Google Scholar] [CrossRef] [PubMed]
- Yuen, K.F.; Cai, L.; Qi, G.; Wang, X. Factors influencing autonomous vehicle adoption: An application of the technology acceptance model and innovation diffusion theory. Technol. Anal. Strateg. Manag. 2021, 33, 505–519. [Google Scholar] [CrossRef]
- Zandieh, R.; Acheampong, R.A. Mobility and healthy ageing in the city: Exploring opportunities and challenges of autonomous vehicles for older adults’ outdoor mobility. Cities 2021, 112, 103135. [Google Scholar] [CrossRef]
- Sheela, P.V.; Mannering, F. The effect of information on changing opinions toward autonomous vehicle adoption: An exploratory analysis. Int. J. Sustain. Transp. 2020, 14, 475–487. [Google Scholar] [CrossRef]
- Yuen, K.F.; Chua, G.; Wang, X.; Ma, F.; Li, K.X. Understanding Public Acceptance of Autonomous Vehicles Using the Theory of Planned Behaviour. Int. J. Environ. Res. Public Health 2020, 17, 4419. [Google Scholar] [CrossRef] [PubMed]
- Panagiotopoulos, I.; Dimitrakopoulos, G. An empirical investigation on consumers’ intentions towards autonomous driving. Transp. Res. Part C Emerg. Technol. 2018, 95, 773–784. [Google Scholar] [CrossRef]
- Acheampong, R.A.; Cugurullo, F. Capturing the behavioural determinants behind the adoption of autonomous vehicles: Conceptual frameworks and measurement models to predict public transport, sharing and ownership trends of self-driving cars. Transp. Res. Part F Traffic Psychol. Behav. 2019, 62, 349–375. [Google Scholar] [CrossRef] [Green Version]
- Jing, P.; Huang, H.; Ran, B.; Zhan, F.; Shi, Y. Exploring the Factors Affecting Mode Choice Intention of Autonomous Vehicle Based on an Extended Theory of Planned Behavior—A Case Study in China. Sustainability 2019, 11, 1155. [Google Scholar] [CrossRef] [Green Version]
- Dai, J.; Li, R.; Liu, Z. Does initial experience affect consumers’ intention to use autonomous vehicles? Evidence from a field experiment in Beijing. Accid. Anal. Prev. 2021, 149, 105778. [Google Scholar] [CrossRef]
- Hulse, L.M.; Xie, H.; Galea, E.R. Perceptions of autonomous vehicles: Relationships with road users, risk, gender and age. Saf. Sci. 2018, 102, 1–13. [Google Scholar] [CrossRef]
- Tork, N.; Amirkhani, A.; Shokouhi, S.B. An adaptive modified neural lateral-longitudinal control system for path following of autonomous vehicles. Eng. Sci. Technol. Int. J. 2021, 24, 126–137. [Google Scholar] [CrossRef]
- Ahmed, S.S.; Pantangi, S.S.; Eker, U.; Fountas, G.; Still, S.E.; Anastasopoulos, P.C. Analysis of safety benefits and security concerns from the use of autonomous vehicles: A grouped random parameters bivariate probit approach with heterogeneity in means. Anal. Methods Accid. Res. 2020, 28, 100134. [Google Scholar] [CrossRef]
- Li, G.; Yang, Y.; Zhang, T.; Qu, X.; Cao, D.; Cheng, B.; Li, K. Risk assessment based collision avoidance decision-making for autonomous vehicles in multi-scenarios. Transp. Res. Part C Emerg. Technol. 2021, 122, 102820. [Google Scholar] [CrossRef]
- Ha, T.; Kim, S.; Seo, D.; Lee, S. Effects of explanation types and perceived risk on trust in autonomous vehicles. Transp. Res. Part F Traffic Psychol. Behav. 2020, 73, 271–280. [Google Scholar] [CrossRef]
- Tang, P.; Sun, X.; Cao, S. Investigating user activities and the corresponding requirements for information and functions in autonomous vehicles of the future. Int. J. Ind. Ergon. 2020, 80, 103044. [Google Scholar] [CrossRef]
- Lijarcio, J.I.; Useche, S.A.; Llamazares, F.J.; Montoro, L. Perceived benefits and constraints in vehicle automation: Data to assess the relationship between driver’s features and their attitudes towards autonomous vehicles. Data Brief 2019, 27, 104662. [Google Scholar] [CrossRef]
- Penmetsa, P.; Adanu, E.K.; Wood, D.; Wang, T.; Jones, S.L. Perceptions and expectations of autonomous vehicles—A snapshot of vulnerable road user opinion. Technol. Forecast. Soc. Chang. 2019, 143, 9–13. [Google Scholar] [CrossRef]
- Field, A. Discovering Statistics Using IBM SPSS Statistics, 5th ed.; SAGE Publications: Thousand Oaks, CA, USA, 2017; ISBN 978-1-5264-1952-1/978-1-5264-1951-4. [Google Scholar]
- Kim, S.-T.; Han, C.-H. Measuring Environmental Logistics Practices. Asian J. Shipp. Logist. 2011, 27, 237–258. [Google Scholar] [CrossRef] [Green Version]
- Fornell, C.; Larcker, D.F. Structural Equation Models with Unobservable Variables and Measurement Error: Algebra and Statistics. J. Mark. Res. 1981, 18, 382–388. [Google Scholar] [CrossRef]
- Hair, J.; Anderson, R.; Black, B.; Babin, B. Multivariate Data Analysis; Pearson Education: UK, London, 2016; ISBN 978-0-13-379268-3. [Google Scholar]
- Huang, C.-C.; Wang, Y.-M.; Wu, T.-W.; Wang, P.-A. An Empirical Analysis of the Antecedents and Performance Consequences of Using the Moodle Platform. Int. J. Inf. Educ. Technol. 2013, 3, 217–221. [Google Scholar] [CrossRef] [Green Version]
- Straub, D.; Boudreau, M.-C.; Gefen, D. Validation guidelines for IS positivist research. Commun. Assoc. Inf. Syst. 2004, 13, 24. [Google Scholar] [CrossRef]
- Kline, R.B. Principles and Practice of Structural Equation Modeling, 3rd ed.; Guilford Press: New York, NY, USA, 2011; ISBN 978-1-60623-877-6/978-1-60623-876-9. [Google Scholar]
- Lin, Y.; Luo, J.; Cai, S.; Ma, S.; Rong, K. Exploring the service quality in the e-commerce context: A triadic view. Ind. Manag. Data Syst. 2016, 116, 388–415. [Google Scholar] [CrossRef]
- Lloret, S.; Ferreres, A.; Hernández, A.; Tomás, I. The exploratory factor analysis of items: Guided analysis based on empirical data and software. Anales de Psicología 2017, 33, 417–432. [Google Scholar] [CrossRef] [Green Version]
- Joreskog, K.G.; Sorbom, D. LISREL 8: User’s Reference Guide; Scientific Software Inc.: Chicago, IL, USA, 1989. [Google Scholar]
- Müller, J.M. Comparing Technology Acceptance for Autonomous Vehicles, Battery Electric Vehicles, and Car Sharing—A Study across Europe, China, and North America. Sustainability 2019, 11, 4333. [Google Scholar] [CrossRef] [Green Version]
- Kim, K.; Kim, J.S.; Jeong, S.; Park, J.-H.; Kim, H.K. Cybersecurity for autonomous vehicles: Review of attacks and defense. Comput. Secur. 2021, 103, 102150. [Google Scholar] [CrossRef]
- Singleton, P.A. Discussing the “positive utilities” of autonomous vehicles: Will travellers really use their time productively? Transp. Rev. 2018, 39, 50–65. [Google Scholar] [CrossRef] [Green Version]
- Zhang, T.; Gao, K. Will autonomous vehicles improve traffic efficiency and safety in urban road bottlenecks? The penetration rate matters. In Proceedings of the 2020 IEEE 5th International Conference on Intelligent Transportation Engineering (ICITE), Beijing, China, 11–13 September 2020; pp. 366–370. [Google Scholar]
- Zhang, W.; Guhathakurta, S.; Fang, J.; Zhang, G. Exploring the impact of shared autonomous vehicles on urban parking demand: An agent-based simulation approach. Sustain. Cities Soc. 2015, 19, 34–45. [Google Scholar] [CrossRef]
- Moták, L.; Neuville, E.; Chambres, P.; Marmoiton, F.; Monéger, F.; Coutarel, F.; Izaute, M. Antecedent variables of intentions to use an autonomous shuttle: Moving beyond TAM and TPB? Eur. Rev. Appl. Psychol. 2017, 67, 269–278. [Google Scholar] [CrossRef]
- Rahman, M.M.; Lesch, M.F.; Horrey, W.J.; Strawderman, L. Assessing the utility of TAM, TPB, and UTAUT for advanced driver assistance systems. Accid. Anal. Prev. 2017, 108, 361–373. [Google Scholar] [CrossRef] [PubMed]
- Wang, S.; Jiang, Z.; Noland, R.B.; Mondschein, A.S. Attitudes towards privately-owned and shared autonomous vehicles. Transp. Res. Part F Traffic Psychol. Behav. 2020, 72, 297–306. [Google Scholar] [CrossRef]
- Zang, S.; Ding, M.; Smith, D.; Tyler, P.; Rakotoarivelo, T.; Kaafar, M.A. The Impact of Adverse Weather Conditions on Autonomous Vehicles: How Rain, Snow, Fog, and Hail Affect the Performance of a Self-Driving Car. IEEE Veh. Technol. Mag. 2019, 14, 103–111. [Google Scholar] [CrossRef]
- Taeihagh, A.; Lim, H.S.M. Governing autonomous vehicles: Emerging responses for safety, liability, privacy, cybersecurity, and industry risks. Transp. Rev. 2018, 39, 103–128. [Google Scholar] [CrossRef] [Green Version]
- Ward, C.; Raue, M.; Lee, C.; D’Ambrosio, L.; Coughlin, J.F. Acceptance of automated driving across generations: The role of risk and benefit perception, knowledge, and trust. In Human-Computer Interaction. User Interface Design, Development and Multimodality; Kurosu, M., Ed.; Springer International Publishing: Cham, Switzerland, 2017; pp. 254–266. ISBN 978-3-319-58071-5. [Google Scholar]
- Wintersberger, S.; Azmat, M.; Kummer, S. Are We Ready to Ride Autonomous Vehicles? A Pilot Study on Austrian Consumers’ Perspective. Logistics 2019, 3, 20. [Google Scholar] [CrossRef] [Green Version]
- Cugurullo, F.; Acheampong, R.A.; Gueriau, M.; Dusparic, I. The transition to autonomous cars, the redesign of cities and the future of urban sustainability. Urban Geogr. 2020, 1–27. [Google Scholar] [CrossRef]
- Chen, H.-K.; Yan, D.-W. Interrelationships between influential factors and behavioral intention with regard to autonomous vehicles. Int. J. Sustain. Transp. 2018, 13, 511–527. [Google Scholar] [CrossRef]


| Gender | Frequency | Percent |
|---|---|---|
| Female | 343 | 56.1 |
| Male | 268 | 43.9 |
| Total | 611 | 100.0 |
| Age | ||
| 18–25 | 82 | 13.4 |
| 26–35 | 140 | 22.9 |
| 36–45 | 274 | 44.8 |
| 46–55 | 72 | 11.8 |
| 56 and Above | 43 | 7.0 |
| Total | 611 | 100.0 |
| Educational Status | ||
| Primary education | 52 | 8.5 |
| Secondary education | 119 | 19.5 |
| Associate degree | 100 | 16.4 |
| License | 252 | 41.2 |
| Master’s degree | 56 | 9.2 |
| Doctorate | 32 | 5.2 |
| Total | 611 | 100.0 |
| Job Status | ||
| private sector employee | 182 | 29.8 |
| public sector employee | 222 | 36.3 |
| Self-employed (pharmacist. lawyer. etc.) | 50 | 8.2 |
| Artisan/company owner/merchant | 39 | 6.4 |
| Retired | 17 | 2.8 |
| Housewife | 47 | 7.7 |
| Student | 54 | 8.8 |
| Total | 611 | 100.0 |
| Items | Factor Loadings | Skewness | Kurtosis | Mean | Std. Deviation |
|---|---|---|---|---|---|
| Advantage | |||||
| ADV1: | 0.684 | −0.389 | −0.301 | 3.37 | 0.961 |
| ADV2: | 0.686 | −0.306 | −0.507 | 3.36 | 0.945 |
| ADV3: | 0.748 | −0.508 | 0.087 | 3.45 | 0.899 |
| ADV4: | 0.752 | −0.336 | −0.271 | 3.41 | 0.961 |
| ADV5: | 0.692 | −0.488 | −0.053 | 3.50 | 0.929 |
| ADV6: | 0.758 | −0.437 | 0.004 | 3.51 | 0.888 |
| ADV7: | 0.738 | −0.366 | −0.138 | 3.39 | 0.968 |
| ADV8: | 0.682 | −0.645 | 0.241 | 3.58 | 0.946 |
| ADV9: | 0.730 | −0.672 | −0.019 | 3.55 | 0.999 |
| ADV10: | 0.723 | −0.499 | −0.368 | 3.44 | 1.068 |
| ADV11: | 0.708 | −0.498 | −0.243 | 3.42 | 1.038 |
| KMO: 0.916 Approx. Chi-Square: 3200.552 df:55 sig.: 0.000 Total Variance Explained: % 51.650 | |||||
| Perceived Risk | |||||
| PR1 | 0.804 | −0.347 | −0.322 | 3.27 | 0.973 |
| PR2 | 0.843 | −0.309 | −0.469 | 3.29 | 0.956 |
| PR3 | 0.874 | −0.308 | −0.476 | 3.27 | 0.977 |
| PR4 | 0.854 | −0.371 | −0.384 | 3.30 | 0.949 |
| KMO: 0.814 Approx. Chi-Square: 1149.796 df:6 sig.: 0.000 Total Variance Explained: % 71.250 | |||||
| Perceived Safety | |||||
| PS1 | 0.802 | −0.541 | −0.122 | 3.40 | 1.017 |
| PS2 | 0.802 | −0.436 | −0.141 | 3.32 | 0.984 |
| PS5 | 0.749 | −0.284 | 0.051 | 3.37 | 0.899 |
| PS6 | 0.757 | −0.335 | −0.050 | 3.38 | 0.948 |
| KMO: 0.769 Approx. Chi-Square: 654.325 df:6 sig.: 0.000 Total Variance Explained: % 60.493 | |||||
| Intention to Use | |||||
| ITU1 | 0.753 | −0.323 | −0.403 | 3.36 | 0.994 |
| ITU2 | 0.799 | −0.180 | −0.484 | 3.27 | 1.014 |
| ITU3 | 0.757 | −0.542 | −0.151 | 3.56 | 0.979 |
| ITU5 | 0.732 | −0.065 | −0.171 | 3.33 | 0.886 |
| ITU6 | 0.794 | −0.355 | −0.263 | 3.39 | 0.966 |
| ITU7 | 0.828 | −0.334 | −0.237 | 3.39 | 0.958 |
| ITU8 | 0.736 | −0.477 | 0.081 | 3.51 | 0.895 |
| ITU9 | 0.776 | −0.270 | −0.208 | 3.35 | 0.930 |
| KMO: 0.924 Approx. Chi-Square: 2462.205 df:28 sig.: 0.000 Total Variance Explained: % 59.678 | |||||
| Variable | χ2 | df | χ2/df | GFI | CFI | AGFI | TLI | RMSEA |
|---|---|---|---|---|---|---|---|---|
| Criterion | - | - | ≤5 | ≥0.90 | ≥0.90 | ≥0.90 | ≥0.90 | ≤0.08 |
| Perceived Advantage | 179.904 | 41 | 4.387 | 0.948 | 0.956 | 0.912 | 0.937 | 0.077 |
| Perceived Risk | 0.017 | 2 | 0.008 | 1.000 | 1.000 | 1.000 | 1.000 | 0.000 |
| Perceived Safety | 0.914 | 2 | 0.457 | 0.999 | 1.000 | 0.993 | 1.000 | 0.000 |
| Intention to Use | 88.845 | 20 | 4.442 | 0.967 | 0.972 | 0.941 | 0.961 | 0.075 |
| Variable | AVE | CR | Cronbach’ Alpha |
|---|---|---|---|
| Perceived Advantage | 0.460 | 0.903 | 0.906 |
| Perceived Risk | 0.632 | 0.873 | 0.865 |
| Perceived Safety | 0.500 | 0.799 | 0.782 |
| Intention to Use | 0.540 | 0.903 | 0.903 |
| Items | Perceived Advantage | Perceived Risk | Perceived Safety | Intention to Use |
|---|---|---|---|---|
| Perceived Advantage | 1 | - | - | - |
| Perceived Risk | −0.232 ** | 1 | - | - |
| Perceived Safety | 0.752 ** | −0.216 ** | 1 | - |
| Intention to Use | 0.714 ** | −0.106 ** | 0.762 ** | 1 |
| Variable | χ2 | df | χ2/df | GFI | CFI | AGFI | TLI | RMSEA |
|---|---|---|---|---|---|---|---|---|
| Criterion | - | - | ≤5 | ≥0.90 | ≥0.90 | ≥0.90 | ≥0.90 | ≤0.08 |
| Model | 990.066 | 318 | 3.113 | 0.893 | 0.925 | 0.872 | 0.916 | 0.059 |
| Analyzed Path | B | β | SE. | CR. | p | ||
|---|---|---|---|---|---|---|---|
| Intention to Use | <--- | Perceived Safety | 0.598 | 0.718 | 0.056 | 10.744 | - |
| Intention to Use | <--- | Advantage | 0.403 | 0.435 | 0.051 | 7.898 | - |
| Intention to Use | <--- | Perceived Risk | −0.089 | −0.11 | 0.027 | −3.258 | 0.001 |
Publisher’s Note: MDPI stays neutral with regard to jurisdictional claims in published maps and institutional affiliations. |
© 2021 by the authors. Licensee MDPI, Basel, Switzerland. This article is an open access article distributed under the terms and conditions of the Creative Commons Attribution (CC BY) license (https://creativecommons.org/licenses/by/4.0/).
Share and Cite
Meidute-Kavaliauskiene, I.; Yıldız, B.; Çiğdem, Ş.; Činčikaitė, R. Do People Prefer Cars That People Don’t Drive? A Survey Study on Autonomous Vehicles. Energies 2021, 14, 4795. https://doi.org/10.3390/en14164795
Meidute-Kavaliauskiene I, Yıldız B, Çiğdem Ş, Činčikaitė R. Do People Prefer Cars That People Don’t Drive? A Survey Study on Autonomous Vehicles. Energies. 2021; 14(16):4795. https://doi.org/10.3390/en14164795
Chicago/Turabian StyleMeidute-Kavaliauskiene, Ieva, Bülent Yıldız, Şemsettin Çiğdem, and Renata Činčikaitė. 2021. "Do People Prefer Cars That People Don’t Drive? A Survey Study on Autonomous Vehicles" Energies 14, no. 16: 4795. https://doi.org/10.3390/en14164795
APA StyleMeidute-Kavaliauskiene, I., Yıldız, B., Çiğdem, Ş., & Činčikaitė, R. (2021). Do People Prefer Cars That People Don’t Drive? A Survey Study on Autonomous Vehicles. Energies, 14(16), 4795. https://doi.org/10.3390/en14164795

